Sign in to use this feature.

Years

Between: -

Subjects

remove_circle_outline
remove_circle_outline
remove_circle_outline
remove_circle_outline
remove_circle_outline
remove_circle_outline
remove_circle_outline
remove_circle_outline
remove_circle_outline

Journals

Article Types

Countries / Regions

Search Results (238)

Search Parameters:
Keywords = nighttime light (NTL) data

Order results
Result details
Results per page
Select all
Export citation of selected articles as:
22 pages, 4278 KB  
Article
Integrating Nighttime Light and Household Survey Data to Monitor Income Inequality: Implications for China’s Socioeconomic Sustainability
by Li Zhuo, Qiuying Wu and Siying Guo
Sustainability 2026, 18(2), 734; https://doi.org/10.3390/su18020734 - 10 Jan 2026
Viewed by 163
Abstract
Accurate monitoring of income inequality is critical for sustainable socioeconomic development and realizing the United Nations Sustainable Development Goals (SDGs). However, assessing inequality for counties continues to be challenging because of the high cost of household surveys and the limited accuracy of traditional [...] Read more.
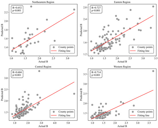
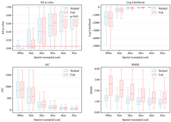
Accurate monitoring of income inequality is critical for sustainable socioeconomic development and realizing the United Nations Sustainable Development Goals (SDGs). However, assessing inequality for counties continues to be challenging because of the high cost of household surveys and the limited accuracy of traditional nighttime light (NTL) proxies. To address this gap, we develop the Distribution Matching-based Individual Income Inequality Estimation Model (DM-I3EM), which integrates NTL data with household surveys. The model employs a three-stage workflow: logarithmic transformation of NTL data, estimation of Gini coefficients through Weibull distribution fitting, and selection of region-specific regression models, enabling high-resolution mapping and spatiotemporal analysis of county-level income inequality across China. Results show that DM-I3EM achieves superior performance, with an R2 of 0.76 in China’s Eastern region (outperforming conventional NTL-based methods, R ≈ 0.5). By overcoming the spatiotemporal gaps of survey data, the model enables full-coverage estimation, revealing a regional divergence in income inequality across China from 2013 to 2022: inequality is intensifying in northern and western counties while stabilizing in the developed southern coastal regions. Furthermore, spatial agglomeration of inequality has strengthened, particularly in coastal urban clusters. These findings highlight emerging risks to socioeconomic sustainability. This study provides a robust, replicable framework for estimating inequality in data-scarce regions, offering policymakers actionable evidence to identify high-risk areas and design targeted strategies for advancing SDG 10 (Reduced Inequalities). Full article
Show Figures

Figure 1

25 pages, 10059 KB  
Article
Evaluating Small-Scale Urban Regeneration Using Nighttime Lights and Sentinel-2: Evidence from Republic of Korea
by Daso Jin and Seungbee Choi
Urban Sci. 2026, 10(1), 36; https://doi.org/10.3390/urbansci10010036 - 7 Jan 2026
Viewed by 171
Abstract
Developing effective evaluation frameworks for urban regeneration in non-metropolitan areas is increasingly challenging, particularly for small-scale projects where conventional administrative indicators are often insufficient on their own. This study examines 46 regeneration projects in Republic of Korea and integrates nighttime lights (NTL), Sentinel-2 [...] Read more.
Developing effective evaluation frameworks for urban regeneration in non-metropolitan areas is increasingly challenging, particularly for small-scale projects where conventional administrative indicators are often insufficient on their own. This study examines 46 regeneration projects in Republic of Korea and integrates nighttime lights (NTL), Sentinel-2 indices, and administrative statistics to identify how different project types produce observable changes. The results show that NTL is effective mainly in economy-based and central commercial area projects, where increases in radiance correspond to the expansion of commercial functions, higher business activity, and stronger evening economic operations. In contrast, NTL shows limited responsiveness in residential-support projects, reflecting the low baseline illumination and weak lighting elasticity of residential environments. For these areas, Sentinel-2 NDVI and NDBI provide clearer evidence of improvements, capturing localized changes in vegetation, built surfaces, and pedestrian environments that are not detectable through nighttime radiance. Comparative assessments indicate that most changes are concentrated within project boundaries, though external development projects occasionally influence spectral patterns in adjacent areas. These findings demonstrate that combining NTL and Sentinel-2 data offers a more context-sensitive approach to evaluating small-scale regeneration and highlights the importance of selecting indicators suited to specific project types. The study provides an empirical foundation for more adaptable, data-driven evaluation frameworks in non-metropolitan regeneration policy. Full article
Show Figures

Figure 1

27 pages, 7801 KB  
Article
A Machine Learning Framework for Predicting Regional Energy Consumption from Satellite-Derived Nighttime Light Imagery
by Monica Borunda, Jessica Gallegos, José Alberto Hernández-Aguilar, Guadalupe Lopez Lopez, Victor M. Alvarado, Gerardo Ruiz-Chavarría and O. A. Jaramillo
Appl. Sci. 2026, 16(1), 449; https://doi.org/10.3390/app16010449 - 31 Dec 2025
Viewed by 197
Abstract
Reliable estimates of regional energy consumption are essential to planning sustainable development and achieving decarbonization; however, this information is still not available for several regions worldwide. In this work, we propose a methodological framework that uses satellite-derived Nighttime Light (NTL) imagery and machine [...] Read more.
Reliable estimates of regional energy consumption are essential to planning sustainable development and achieving decarbonization; however, this information is still not available for several regions worldwide. In this work, we propose a methodological framework that uses satellite-derived Nighttime Light (NTL) imagery and machine learning to predict regional electricity consumption one year ahead. The methodology follows three stages: First, a Random Forest regression model is used to identify the relationship between NTL data and regional energy consumption. Thereafter, NTL values for the year ahead are forecasted using NTL values from previous years. Lastly, the obtained result is applied to estimate regional energy consumption from predicted NTL values for the year ahead. The country of Mexico is considered a case study to apply and validate this methodology, reproducing spatial consumption patterns with high correlation to official data (R2>0.85), thus confirming the success of this proposal. The proposed methodology demonstrates how energy demand can be estimated, even in areas of scarce information, providing a transparent and replicable approach for energy monitoring in data-limited regions. Full article
(This article belongs to the Section Energy Science and Technology)
Show Figures

Figure 1

25 pages, 3663 KB  
Article
Spatiotemporal Dynamics and Driving Factors of Vegetation Gross Primary Productivity in a Typical Coastal City: A Case Study of Zhanjiang, China
by Yuhe Hu, Wenqi Jia, Jia Wang, Longhuan Wang and Yujie Li
Remote Sens. 2026, 18(1), 89; https://doi.org/10.3390/rs18010089 - 26 Dec 2025
Viewed by 338
Abstract
Coastal wetlands, situated at the critical land–sea ecotone, play a vital role in sustaining ecological balance and supporting human activities. Currently, these ecosystems face dual stresses from climate change and intensified anthropogenic activities, making the quantitative assessment of ecosystem functions—represented by Gross Primary [...] Read more.
Coastal wetlands, situated at the critical land–sea ecotone, play a vital role in sustaining ecological balance and supporting human activities. Currently, these ecosystems face dual stresses from climate change and intensified anthropogenic activities, making the quantitative assessment of ecosystem functions—represented by Gross Primary Productivity (GPP)—essential for their protection and management. However, a knowledge gap remains regarding coastal–urban complex ecosystems, and existing studies on coastal wetlands often overlook macro-environmental drivers beyond sea-level rise. This study leveraged the MOD17A2H V006 dataset to generate a 500 m GPP product for Zhanjiang City. We analyzed the spatiotemporal dynamics of GPP, utilized land use data to examine the evolution of coastal wetlands, and employed the Geodetector model to quantify the contributions of various factors to GPP in Zhanjiang and its coastal wetlands. The results indicate that: (1) GPP in Zhanjiang exhibited an overall steady upward trend, increasing at an average rate of 13.8 g C·m2·yr1. However, it displayed strong spatial heterogeneity, characterized by higher values in the southwest and lower values in the northern and coastal regions. (2) The land use pattern in Zhanjiang underwent significant transformations over the past two decades. Cropland and impervious surfaces expanded markedly, increasing by 194.6 km2 and 290.42 km2, respectively, while coastal wetland areas showed a continuous decline, with degraded and newly formed areas of 101.5 km2 and 42 km2, respectively. (3) The Geodetector results revealed that the q-value of Nighttime Light (NTL) increased from negligible values to over 0.1, emerging as a dominant driving factor. Although the driving force of anthropogenic activity factors on Zhanjiang and its coastal wetlands has steadily increased, natural factors currently remain the dominant forces. These findings unravel the driving mechanisms of natural and anthropogenic factors on GPP in Zhanjiang, providing valuable scientific evidence for the sustainable development of coastal ecosystems. Full article
(This article belongs to the Special Issue Application of Remote Sensing Technology in Wetland Ecology)
Show Figures

Figure 1

29 pages, 12133 KB  
Article
GIS-Based Analysis of Retail Spatial Distribution and Driving Mechanisms in a Resource-Based Transition City: Evidence from POI Data in Taiyuan, China
by Xinrui Luo, Rosniza Aznie Che Rose and Azahan Awang
ISPRS Int. J. Geo-Inf. 2025, 14(12), 483; https://doi.org/10.3390/ijgi14120483 - 7 Dec 2025
Cited by 1 | Viewed by 684
Abstract
Rapid urbanization in China has reshaped retail spatial structures, creating challenges of accessibility and service equity. This study employs a Geographic Information Systems (GIS)-based analytical framework to examine the spatial distribution and driving mechanisms of retail outlets in Taiyuan, a resource-based transition city [...] Read more.
Rapid urbanization in China has reshaped retail spatial structures, creating challenges of accessibility and service equity. This study employs a Geographic Information Systems (GIS)-based analytical framework to examine the spatial distribution and driving mechanisms of retail outlets in Taiyuan, a resource-based transition city in central China. Using 2023 Point of Interest (POI) data and a 2 km × 2 km grid system, kernel density estimation (KDE), Average Nearest Neighbor (ANN) Analysis, Location Quotient (LQ), and spatial autocorrelation were applied to identify clustering patterns and functional specialization. The GeoDetector (Word version, downloaded 2025) model further quantified the explanatory power of twelve natural, social, economic, and transportation variables. Results reveal a polycentric retail structure, with high-density clusters in Yingze and Xiaodian districts and under-supply in Jiancaoping and Jinyuan. Population density, nighttime light (NTL) intensity, and school distribution emerged as the strongest drivers, while topography constrained expansion. By integrating GIS-based spatial statistics with GeoDetector, the study demonstrates a transferable framework for analyzing urban retail spatial patterns. The findings extend retail geography to transition cities and provide practical guidance for optimizing retail allocation, enhancing service equity, and supporting spatial decision-making for sustainable urban development. Full article
(This article belongs to the Topic Spatial Decision Support Systems for Urban Sustainability)
Show Figures

Figure 1

28 pages, 13796 KB  
Article
Analyzing Nighttime Lights Using Multi-Temporal Imagery from Luojia-1 and the International Space Station with In Situ and Land Use Data
by Shengjie Kris Liu, Chu Wing So and Chun Shing Jason Pun
Remote Sens. 2025, 17(22), 3739; https://doi.org/10.3390/rs17223739 - 17 Nov 2025
Viewed by 939
Abstract
Remotely sensed nighttime lights (NTLs) have become essential in urban and environmental research but are typically captured at fixed local times by sun-synchronous satellites, limiting their ability to capture changes throughout the night. In contrast, in situ measurements of night sky brightness (NSB) [...] Read more.
Remotely sensed nighttime lights (NTLs) have become essential in urban and environmental research but are typically captured at fixed local times by sun-synchronous satellites, limiting their ability to capture changes throughout the night. In contrast, in situ measurements of night sky brightness (NSB) can provide continuous records over time, but direct comparisons with NTLs have remained rare. This study first examines the relationship between in situ NSB and remotely sensed NTLs using multi-temporal imagery from Luojia-1 and the International Space Station (ISS), focusing on 10 sites in Hong Kong and Macau. We find moderate to strong correlations between NSB and Luojia-1 (R = 0.73) and between NSB and ISS imagery (R = 0.8–1.0), though notable spatial and temporal variations persist. Even images captured within seconds differ in brightness across locations (R = 0.88–0.96), driven by factors such as changing viewing angles in dense urban areas, variations in light transmission paths, and atmospheric conditions, all influenced by satellite position. Our further analysis reveals distinct temporal patterns across land use categories: port facilities and airports are brightest late at night, whereas commercial districts peak earlier and gradually dim throughout the night. Within individual ISS images, transportation-related lighting tends to be red, and commercial areas appear blue compared to other urban areas, which may be due to lamp type differences (high pressure sodium, LED). This study highlights the need to cross-examine in situ and remotely sensed data in NTL research, emphasizing that factors such as local pass time, viewing geometry, color sensitivity, and atmospheric conditions can influence observations and ultimately affect the conclusions. Full article
Show Figures

Figure 1

21 pages, 2324 KB  
Article
Analysis of Spatio-Temporal Development Patterns in Key Port Cities Along the Belt and Road Using Nighttime Light Data
by Ronglei Yang, Tiyan Shen, Weiwei Cao, Jidong Zhang and Shuai Jiang
Mathematics 2025, 13(21), 3477; https://doi.org/10.3390/math13213477 - 31 Oct 2025
Viewed by 646
Abstract
The Belt and Road Initiative (BRI) has reshaped global trade and infrastructure, with port cities as key nodes in its Maritime Silk Road. Quantifying their spatiotemporal development is challenging due to data limitations in emerging economies. This study employs VIIRS nighttime light (NTL) [...] Read more.
The Belt and Road Initiative (BRI) has reshaped global trade and infrastructure, with port cities as key nodes in its Maritime Silk Road. Quantifying their spatiotemporal development is challenging due to data limitations in emerging economies. This study employs VIIRS nighttime light (NTL) data from 2013 to 2023 to analyze urbanization patterns in twelve BRI port cities spanning Asia, Africa, Europe, and South America. We compile a 12-city cohort; inferential analyses are conducted for a pre-specified six-city subset, while descriptive NTL trends cover all 12. This study makes three contributions: (i) we assemble a cross-sensor harmonized VIIRS NTL record for 12 BRI port cities during 2013–2023; (ii) we integrate Standard Deviational Ellipse(SDE) parameters with rank-size dynamics as a joint diagnostic of urban hierarchy; and (iii) we triangulate NTL with external indicators (GDP, population, port throughput) to validate interpretation. Three key findings emerge: Asian ports experienced pronounced NTL growth, with Singapore approaching saturation, consistent with the luminosity-ceiling hypothesis; SDE analysis shows varied expansion patterns shaped by geophysical and policy factors; and rank-size trends indicate decentralization during the BRI decade, with |q| declining in most cities, challenging the primate-city model. To optimize development, we highlight polycentric infrastructure investment, institutionalized NTL monitoring, and green port certification aligned with sustainability goals. Full article
(This article belongs to the Special Issue Spatial Statistics: Methods and Applications)
Show Figures

Figure 1

19 pages, 3709 KB  
Article
Evaluating the Influence of Aerosol Optical Depth on Satellite-Derived Nighttime Light Radiance in Asian Megacities
by Hyeryeong Park, Jaemin Kim and Yun Gon Lee
Remote Sens. 2025, 17(20), 3492; https://doi.org/10.3390/rs17203492 - 21 Oct 2025
Cited by 1 | Viewed by 629
Abstract
The Visible Infrared Imaging Radiometer Suite (VIIRS) Day/Night Band (DNB) provides invaluable nighttime light (NTL) radiance data, widely employed for diverse applications including urban and socioeconomic studies. However, the inherent reliability of NTL data as a proxy for socioeconomic activities is significantly compromised [...] Read more.
The Visible Infrared Imaging Radiometer Suite (VIIRS) Day/Night Band (DNB) provides invaluable nighttime light (NTL) radiance data, widely employed for diverse applications including urban and socioeconomic studies. However, the inherent reliability of NTL data as a proxy for socioeconomic activities is significantly compromised by atmospheric conditions, particularly aerosols. This study analyzed the long-term spatiotemporal variations in NTL radiance with respect to atmospheric aerosol optical depth (AOD) in nine major Asian cities from January 2012 to May 2021. Our findings reveal a complex and heterogeneous interplay between NTL radiance and AOD, fundamentally influenced by a region’s unique atmospheric characteristics and developmental stages. While major East Asian cities (e.g., Beijing, Tokyo, Seoul) exhibited a statistically significant inverse correlation, indicating aerosol-induced NTL suppression, other regions showed different patterns. For instance, the rapidly urbanizing city of Dhaka displayed a statistically significant positive correlation, suggesting a concurrent increase in NTL and AOD due to intensified urban activities. This highlights that the NTL-AOD relationship is not solely a physical phenomenon but is also shaped by independent socioeconomic processes. These results underscore the critical importance of comprehensively understanding these regional discrepancies for the reliable interpretation and effective reconstruction of NTL radiance data. By providing nuanced insights into how atmospheric aerosols influence NTL measurements in diverse urban settings, this research aims to enhance the utility and robustness of satellite-derived NTL data for effective socioeconomic analyses. Full article
Show Figures

Figure 1

30 pages, 12156 KB  
Article
Spatial and Data-Driven Approaches for Mitigating Urban Heat in Coastal Cities
by Ke Li and Haitao Wang
Buildings 2025, 15(19), 3544; https://doi.org/10.3390/buildings15193544 - 2 Oct 2025
Viewed by 973
Abstract
With accelerating urbanization and global climate warming, Urban Heat Islands (UHIs) pose serious threats to urban development. Existing UHI research mainly focuses on inland regions, lacking systematic understanding of coastal city heat island mechanisms. We selected eight Chinese coastal cities with different backgrounds, [...] Read more.
With accelerating urbanization and global climate warming, Urban Heat Islands (UHIs) pose serious threats to urban development. Existing UHI research mainly focuses on inland regions, lacking systematic understanding of coastal city heat island mechanisms. We selected eight Chinese coastal cities with different backgrounds, quantitatively assessed urban heat island intensity based on summer 2023 Landsat 8 remote sensing data, established block-LCZ spatial analysis units, and employed a combination of machine learning models and causal inference methods to systematically analyze the regional differentiation characteristics of Urban Heat Island Intensity (UHII) and the influence mechanisms of multi-dimensional driving factors within land–sea interaction contexts. The results revealed the following: (1) UHII in the study area presents obvious spatial differentiation, with the highest value occurring in Hong Kong (2.63 °C). Northern cities generally had higher values than southern ones. (2) Different Local Climate Zone (LCZ) types show significant differences in thermal contributions, with LCZ2 (compact midrise) blocks presenting the highest UHII values in most cities, while LCZ G (water) and LCZ A (dense trees) blocks exhibit stable cooling effects. Nighttime light (NTL) and distance to sea (DS) are dominant factors affecting UHII, with NTL marginal effect curves generally presenting hump-shaped characteristics, while DS shows different response patterns across cities. (3) Causal inference reveals true causal driving mechanisms beyond correlations, finding that causal effects of key factors exhibit significant spatial heterogeneity. The research findings provide a new cognitive framework for understanding the formation mechanisms of thermal environments in Chinese coastal cities and offer a quantitative basis for formulating regionalized UHI mitigation strategies. Full article
(This article belongs to the Section Architectural Design, Urban Science, and Real Estate)
Show Figures

Figure 1

23 pages, 4493 KB  
Article
Future Scenarios of Global Urban Expansion and Carbon Emissions with National Heterogeneity: A Mixed-Effects Model Based on Urban Nighttime Lights
by Jiaoyi Xu, Masanobu Kii, Yoshinori Okano and Chun-Chen Chou
Remote Sens. 2025, 17(18), 3251; https://doi.org/10.3390/rs17183251 - 20 Sep 2025
Cited by 1 | Viewed by 1407
Abstract
Cities play a pivotal role in environmental transformation and climate change mitigation. Urban expansion has substantial impacts on socioeconomic development and carbon emissions. This study develops a predictive model for future urban expansion and CO2 emissions based on nighttime light (NTL) data, [...] Read more.
Cities play a pivotal role in environmental transformation and climate change mitigation. Urban expansion has substantial impacts on socioeconomic development and carbon emissions. This study develops a predictive model for future urban expansion and CO2 emissions based on nighttime light (NTL) data, under five SSP-RCP scenarios (SSP1–2.6, SSP2–4.5, SSP3–6.0, SSP4–6.0, and SSP5–8.5) projected to 2053. This study introduces three key improvements from previous literature: (1) a mixed-effects model to capture cross- national and regional differences in urban expansion patterns; (2) incorporation of grid-level random effects to reflect inter-city growth heterogeneity; and (3) integration of SSP-RCP scenarios to incorporate the influence of emission efficiency and socioeconomic policies. Using this improved framework, we estimate future urban expansion and carbon emissions for 555 global cities. The results show that the sensitivity of urban expansion to GDP and population growth varies across countries, leading to diverse urban expansion trajectories. Nonetheless, urban areas are projected to increase under all scenarios. Meanwhile, improvements in emission efficiency under the SSP-RCP scenarios are expected to curb future emission trajectories. This study enhances urban scenario modeling and contributes to a better understanding of regional differences in global urban growth and CO2 emissions. Full article
Show Figures

Figure 1

31 pages, 12759 KB  
Article
Delineating Urban Boundaries by Integrating Nighttime Light Data and Spectral Indices
by Xu Zhang, Blanca Arellano and Josep Roca
Geographies 2025, 5(3), 49; https://doi.org/10.3390/geographies5030049 - 15 Sep 2025
Viewed by 1438
Abstract
Urban boundary delineation is essential for understanding spatial structure, monitoring urbanization, and guiding sustainable land management. Nighttime light (NTL) data effectively capture urban dynamics across multiple spatial scales. This study integrates NTL data with spectral indices to delineate the urban boundaries of the [...] Read more.
Urban boundary delineation is essential for understanding spatial structure, monitoring urbanization, and guiding sustainable land management. Nighttime light (NTL) data effectively capture urban dynamics across multiple spatial scales. This study integrates NTL data with spectral indices to delineate the urban boundaries of the Barcelona Metropolitan Region (BMR) from 2006 to 2018. Through multivariate regression analysis, the normalized difference vegetation index (NDVI) and normalized difference built-up index (NDBI) are identified as key indicators of urban spatial heterogeneity. These indices are combined with brightness thresholds derived from three NTL datasets, DMSP-OLS, Black Marble, and VIIRS, to delineate urban areas more accurately. Results indicate that VIIRS achieved the highest precision in identifying construction land and urbanized areas, with an overall accuracy exceeding 90% and consistency with population density and GDP distribution. A strong spatial correlation between urban distribution and the NDVI–NDBI relationship is confirmed in the BMR. The coupling of multisource remote sensing data improves the accuracy, stability, and reliability of urban boundary delineation, overcoming single-source limitations. This integrated method supports urban planning and sustainable land management through consistent, objective urban mapping and offers a practical reference for applying remote sensing technologies to monitor urbanization dynamics across broader spatial and temporal contexts. Full article
Show Figures

Figure 1

41 pages, 37922 KB  
Article
Monitoring Policy-Driven Urban Restructuring and Logistics Agglomeration in Zhengzhou Through Multi-Source Remote Sensing: An NTL-POI Integrated Spatiotemporal Analysis
by Xiuyan Zhao, Zeduo Zou, Jie Li, Xiaodie Yuan and Xiong He
Remote Sens. 2025, 17(17), 3107; https://doi.org/10.3390/rs17173107 - 6 Sep 2025
Cited by 1 | Viewed by 1352
Abstract
This study leverages multi-source remote sensing data—Nighttime Light (NTL) imagery and POI (Point of Interest) datasets—to quantify the spatiotemporal interaction between urban spatial restructuring and logistics industry evolution in Zhengzhou, China. Using calibrated NPP/VIIRS NTL data (2012–2022) and fine-grained POI data, we (1) [...] Read more.
This study leverages multi-source remote sensing data—Nighttime Light (NTL) imagery and POI (Point of Interest) datasets—to quantify the spatiotemporal interaction between urban spatial restructuring and logistics industry evolution in Zhengzhou, China. Using calibrated NPP/VIIRS NTL data (2012–2022) and fine-grained POI data, we (1) identified urban functional spaces through kernel density-based spatial grids weighted by public awareness parameters; (2) extracted built-up areas via the dynamic adaptive threshold segmentation of NTL gradients; (3) analyzed logistics agglomeration dynamics using emerging spatiotemporal hotspot analysis (ESTH) and space–time cube models. The results show that Zhengzhou’s urban form transitioned from a monocentric to a polycentric structure, with NTL trajectories revealing logistics hotspots expanding along air–rail multimodal corridors. POI-derived functional spaces shifted from single-dominant to composite patterns, while ESTH detected policy-driven clusters in Airport Economic Zones and market-driven suburban cold chain hubs. Bivariate LISA confirmed the spatial synergy between logistics growth and urban expansion, validating the “policy–space–industry” interaction framework. This research demonstrates how integrated NTL-POI remote sensing techniques can monitor policy impacts on urban systems, providing a replicable methodology for sustainable logistics planning. Full article
Show Figures

Figure 1

23 pages, 29438 KB  
Article
Modulating Effects of Urbanization and Age on Greenspace–Mortality Associations: A London Study Using Nighttime Light Data and Spatial Regression
by Liwen Fan and Wei Chen
Appl. Sci. 2025, 15(17), 9328; https://doi.org/10.3390/app15179328 - 25 Aug 2025
Viewed by 1105
Abstract
Urban greenspace exposure associates with improved health outcomes, particularly chronic disease mitigation. Based on the need to characterize spatial heterogeneity in the health benefits of urban greenspaces, this study quantified the association between greenspace accessibility and chronic disease mortality in London, while examining [...] Read more.
Urban greenspace exposure associates with improved health outcomes, particularly chronic disease mitigation. Based on the need to characterize spatial heterogeneity in the health benefits of urban greenspaces, this study quantified the association between greenspace accessibility and chronic disease mortality in London, while examining the modulating effects of urbanization and age. Utilizing nighttime light (NTL) data to define urbanization gradients and road-network analysis to measure greenspace accessibility, we applied geographically weighted regression (GWR) across 983 neighborhoods. Key findings reveal that over 60% of central London residents live within 300 m of greenspace, yet 20% fall short of WHO standards. Greenspace accessibility showed significant negative associations with standardized mortality ratios for both cancer (β = −0.0759) and respiratory diseases (β = −0.0358), and this relationship was more pronounced in highly urbanized areas and neighborhoods with higher working-age populations. Crucially, central urban zones show amplified effects: a 100 m accessibility improvement was associated with a potential reduction in cancer deaths of 1.9% and in respiratory disease deaths of 2.4% in high-sensitivity areas. Urbanization levels and working-age population proportions exert significantly stronger moderating effects on greenspace–respiratory disease relationships than on cancer outcomes. While observational, our findings provide spatially explicit evidence that the greenspace–mortality relationship is context-dependent. This underscores the need for precision in urban health planning, suggesting interventions should prioritize equitable greenspace coverage in highly urbanized cores and tailor functions to local demographics to optimize potential co-benefits. This study reframes understanding of greenspace health benefits, enhances spatial management precision, and offers models for healthy planning in global high-density cities. Full article
Show Figures

Figure 1

14 pages, 1456 KB  
Technical Note
A Study on Urban Built-Up Area Extraction Methods and Consistency Evaluation Based on Multi-Source Nighttime Light Remote Sensing Data: A Case Study of Wuhan City
by Shiqi Tu, Qingming Zhan, Ruihan Qiu, Jiashan Yu and Agamo Qubi
Remote Sens. 2025, 17(16), 2879; https://doi.org/10.3390/rs17162879 - 18 Aug 2025
Cited by 1 | Viewed by 1260
Abstract
Accurate delineation of urban built-up areas is critical for urban monitoring and planning. We evaluated the performance and consistency of three widely used methods—thresholding, multi-temporal image fusion, and support vector machine (SVM)—across three major nighttime light (NTL) datasets (DMSP/OLS, SNPP/VIIRS, and Luojia-1). We [...] Read more.
Accurate delineation of urban built-up areas is critical for urban monitoring and planning. We evaluated the performance and consistency of three widely used methods—thresholding, multi-temporal image fusion, and support vector machine (SVM)—across three major nighttime light (NTL) datasets (DMSP/OLS, SNPP/VIIRS, and Luojia-1). We developed a unified methodological framework and applied it to Wuhan, China, encompassing data preprocessing, feature construction, classification, and cross-dataset validation. The results show that SNPP/VIIRS combined with thresholding or SVM achieved highest accuracy (kappa coefficient = 0.70 and 0.61, respectively) and spatial consistency (intersection over union, IoU = 0.76), attributable to its high radiometric sensitivity and temporal stability. DMSP/OLS exhibited robust performance with SVM (kappa = 0.73), likely benefiting from its long historical coverage, while Luojia-1 was constrained by limited temporal availability, hindering its suitability for temporal fusion methods. This study highlights the critical influence of sensor characteristics and method–dataset compatibility on extraction outcomes. While traditional methods provide interpretability and computational efficiency, the findings suggest a need for integrating deep learning models and hybrid strategies in future work. These advancements could further improve accuracy, robustness, and transferability across diverse urban contexts. Full article
Show Figures

Figure 1

22 pages, 3160 KB  
Article
Monthly Urban Electricity Power Consumption Prediction Using Nighttime Light Remote Sensing: A Case Study of the Yangtze River Delta Urban Agglomeration
by Shuo Chen, Dongmei Yan, Cuiting Li, Jun Chen, Jun Yan and Zhe Zhang
Remote Sens. 2025, 17(14), 2478; https://doi.org/10.3390/rs17142478 - 17 Jul 2025
Cited by 1 | Viewed by 1338
Abstract
Urban electricity power consumption (EPC) prediction plays a crucial role in urban management and sustainable development. Nighttime light (NTL) remote sensing imagery has demonstrated significant potential in estimating urban EPC due to its strong correlation with human activities and energy use. However, most [...] Read more.
Urban electricity power consumption (EPC) prediction plays a crucial role in urban management and sustainable development. Nighttime light (NTL) remote sensing imagery has demonstrated significant potential in estimating urban EPC due to its strong correlation with human activities and energy use. However, most existing models focus on annual-scale estimations, limiting their ability to capture month-scale EPC. To address this limitation, a novel monthly EPC prediction model that incorporates monthly average temperature, and the interaction between NTL data and temperature was proposed in this study. The proposed method was applied to cities within the Yangtze River Delta (YRD) urban agglomeration, and was validated using datasets constructed from NPP/VIIRS and SDGSAT-1 satellite imageries, respectively. For the NPP/VIIRS dataset, the proposed method achieved a Mean Absolute Relative Error (MARE) of 7.96% during the training phase (2017–2022) and of 10.38% during the prediction phase (2023), outperforming the comparative methods. Monthly EPC spatial distribution maps from VPP/VIIRS data were generated, which not only reflect the spatial patterns of EPC but also clearly illustrate the temporal evolution of EPC at the spatial level. Annual EPC estimates also showed superior accuracy compared to three comparative methods, achieving a MARE of 7.13%. For the SDGSAT-1 dataset, leave-one-out cross-validation confirmed the robustness of the model, and high-resolution (40 m) monthly EPC maps were generated, enabling the identification of power consumption zones and their spatial characteristics. The proposed method provides a timely and accurate means for capturing monthly EPC dynamics, effectively supporting the dynamic monitoring of urban EPC at the monthly scale in the YRD urban agglomeration. Full article
Show Figures

Graphical abstract

Back to TopTop