Abstract
Urban boundary delineation is essential for understanding spatial structure, monitoring urbanization, and guiding sustainable land management. Nighttime light (NTL) data effectively capture urban dynamics across multiple spatial scales. This study integrates NTL data with spectral indices to delineate the urban boundaries of the Barcelona Metropolitan Region (BMR) from 2006 to 2018. Through multivariate regression analysis, the normalized difference vegetation index (NDVI) and normalized difference built-up index (NDBI) are identified as key indicators of urban spatial heterogeneity. These indices are combined with brightness thresholds derived from three NTL datasets, DMSP-OLS, Black Marble, and VIIRS, to delineate urban areas more accurately. Results indicate that VIIRS achieved the highest precision in identifying construction land and urbanized areas, with an overall accuracy exceeding 90% and consistency with population density and GDP distribution. A strong spatial correlation between urban distribution and the NDVI–NDBI relationship is confirmed in the BMR. The coupling of multisource remote sensing data improves the accuracy, stability, and reliability of urban boundary delineation, overcoming single-source limitations. This integrated method supports urban planning and sustainable land management through consistent, objective urban mapping and offers a practical reference for applying remote sensing technologies to monitor urbanization dynamics across broader spatial and temporal contexts.
1. Introduction
Urbanization is one of the most prominent spatial transformation processes of the 21st century, reshaping landscapes, ecosystems, and socioeconomic systems around the world [1]. The rapid expansion of urban areas poses pressing challenges for sustainable development, infrastructure planning, and environmental management. In this context, remote sensing and GIS technologies have significantly enhanced the accuracy and efficiency of urban change detection and analysis of underlying driving forces [2,3]. For instance, in Ajmer, India, Jat et al. employed Landsat and LISS-III data to extract built-up areas from 1977 to 2002, revealing that urban expansion (160.8%) significantly outpaced population growth (50.1%) [4]. Similarly, Masek et al. demonstrated the utility of NDVI and spatial texture constraints in delineating urban areas in Washington, D.C. [5]. In Shiraz, Iran, Mahdi et al. found that urban vegetation declined markedly despite overall urban growth, highlighting the spatial asynchrony between greenness and built-up expansion [6]. At global and regional scales, natural, climatic, demographic, and economic factors have all been identified as key drivers of urban expansion [7,8,9,10].
In recent years, an increasing number of scholars have employed nighttime light (NTL) data as a significant instrument for monitoring urbanization dynamics and spatial structure evolution [11]. Compared to traditional land cover data, NTL data offer higher temporal continuity, enabling consistent tracking of urban growth trends. Moreover, the brightness of nighttime lights correlates strongly with human socioeconomic activity, making NTL a valuable proxy for measuring urban development intensity [12,13,14,15]. These datasets facilitate cross-regional and global urban studies by providing standardized and comparable measurements, particularly useful in capturing urban fringe expansion and monitoring the evolution of suburban or satellite cities [16,17].
The application of NTL data to urban studies dates back to Croft’s pioneering work in 1978, which first demonstrated the feasibility of using DMSP/OLS data to identify urban areas [18]. Since then, significant advances have been made. Sutton et al. defined urban extents based on brightness thresholds, and used these to estimate built-up areas and assess global population distributions [19]. Arellano et al. further integrated empirical and model-based methods to delineate 34 global metropolitan regions and classify suburban versus rural areas [20,21]. More recently, Zhao Min et al. combined DMSP/OLS and NPP/VIIRS datasets to extract global urbanized areas from 1992 to 2020 through a clustering-based thresholding approach [22].
However, challenges remain. DMSP/OLS data suffer from low spatial resolution and light blooming effects, often resulting in overestimation of urban extents, especially in high-density regions [23,24,25,26,27,28]. While VIIRS and Black Marble datasets provide improved resolution and stability, threshold-based methods still require regional adaptation and calibration to avoid misclassification due to geographic and socioeconomic variability [29]. Although the method proposed by Arellano et al. demonstrates high applicability in the major metropolitan areas, their results are derived from a single nighttime light data source for boundary extraction, lacking horizontal comparisons across different datasets. In addition, the technique does not incorporate correlation analyses between environmental factors and nighttime light data, which to some extent limits its applicability. These limitations highlight the need for more robust, data-integrated approaches to accurately delineate urban boundaries.
To address these gaps, this study proposes a novel methodology that integrates NTL data with spectral indices to delineate urban boundaries in the Barcelona Metropolitan Region (BMR). Specifically, multivariate regression models are used to identify key environmental and spectral variables—particularly NDVI and NDBI—that interact significantly with NTL brightness and urban form. Based on these findings, classification models are developed for three NTL datasets—DMSP/OLS, Black Marble, and VIIRS—to extract urban boundaries across scales. The results are evaluated and compared to assess performance and suitability under different spatial resolutions.
By systematically exploring the spatial heterogeneity and driving mechanisms of urbanized areas in the BMR, this study offers new insights into urban morphology detection using multi-source remote sensing data. The proposed approach not only improves the accuracy of urban boundary extraction but also contributes to urban planning, land use monitoring, and comparative urban studies in Europe and beyond.
2. Materials and Methods
2.1. The Field of Study
The Barcelona Metropolitan Region (BMR, Figure 1), located in northeastern Spain along the Mediterranean corridor, covering 41°12′–41°48′ N and 1°28′–2°49′ E. It is one of Europe’s most densely populated and economically active regions [30]. It spans 3224.7 km2, with 164 municipalities and a population of about 5.4 million [31]. The core area, the Barcelona Metropolitan Area (BMA), includes the city and 35 adjacent towns, hosting 4.7 million people within 636 km2 [32].
Figure 1.
Barcelona Metropolitan Region (BMR, with municipalities). (a) Satellite and aerial imagery of the BMR; (b) Digital elevation model (DEM) of the BMR mountainous terrain.
Geographically, the region features coastal mountain ranges, the Llobregat and Besòs rivers, and the Collserola Serralada, a vital ecological buffer. With both compact urban cores and dispersed urban fringes, the BMR provides a representative setting for examining continuous and discontinuous urban expansion patterns [33].
2.2. Materials
The Corine Land Cover (CLC) dataset offers relatively accurate land cover information for Europe at a spatial resolution of 100 m [34] in 2006, 2012, and 2018 (https://land.copernicus.eu/en/products/corine-land-cover, accessed on 15 February 2025), which records in detail two different types of urban land systems and nine other types of construction land.
MODIS MOD13Q1 (https://lpdaac.usgs.gov/products/mod13q1v006/, accessed on 20 February 2025) provides 250 m resolution imagery for computing NDVI and NDBI.
MODIS MOD11A2 product (https://lpdaac.usgs.gov/products/mod11a2v006/, accessed on 20 February 2025) provides daytime and nighttime land surface temperature (LST) data at a spatial resolution of 1 km.
Digital elevation model (DEM) data were obtained from the SRTM dataset (https://www.earthdata.nasa.gov/sensors/srtm, accessed on 14 February 2025) at a 30 m spatial resolution.
Annual precipitation grids from the E-OBS dataset (https://surfobs.climate.copernicus.eu/dataaccess/access_eobs.php, accessed on 16 February 2025) have a spatial resolution of 1°, which is too coarse for detailed analysis. We therefore generated a 1 km resolution climate map for the BMR by applying kriging interpolation to the E-OBS data [5].
Population data were obtained from the LandScan 1 km Global Population Grid, produced by the Oak Ridge National Laboratory (ORNL), U.S. Department of Energy (https://landscan.ornl.gov/, accessed on 12 January 2025).
The road network vector data for BMR comes from Centro de DescargasOrganismo, the Spanish Autonomous National Center for Geographic Information (https://centrodedescargas.cnig.es/CentroDescargas/resultados-busqueda, accessed on 12 January 2025).
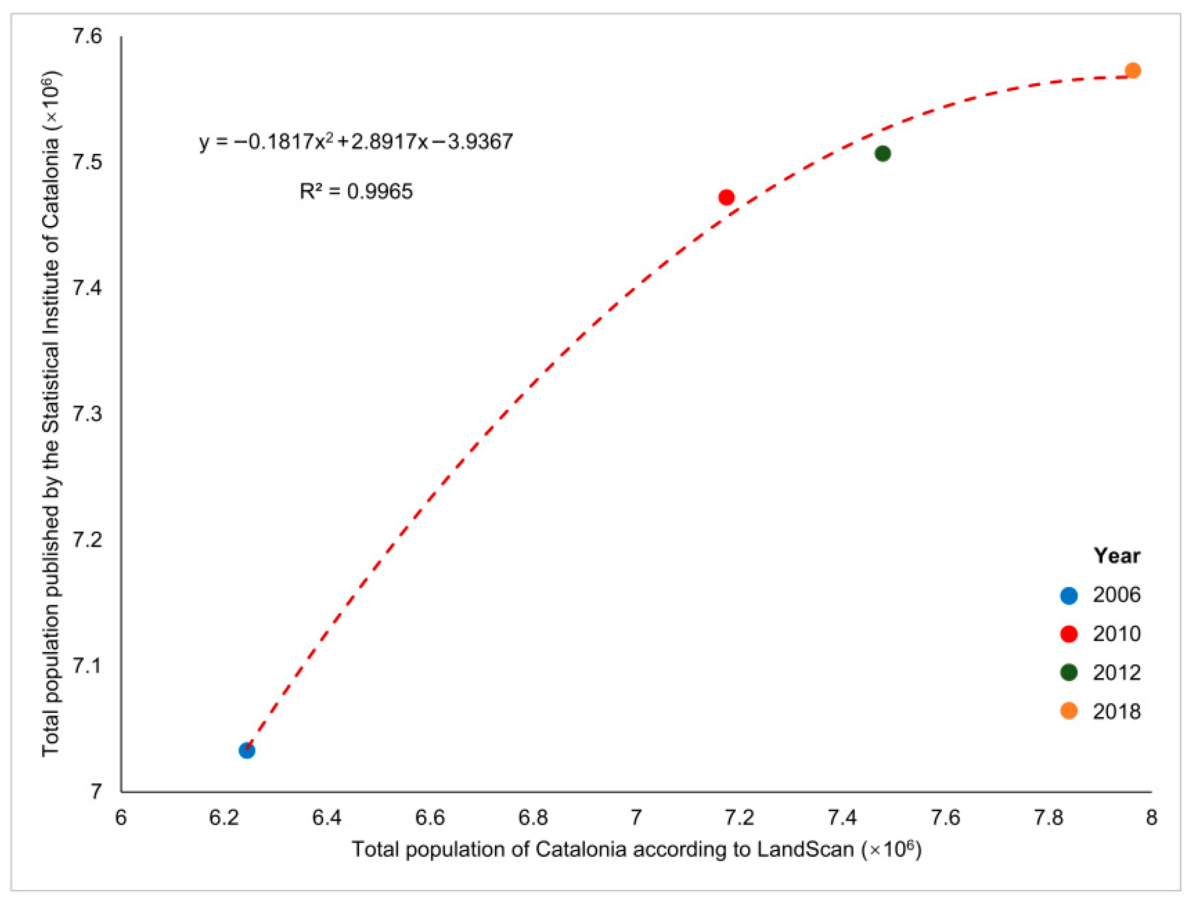
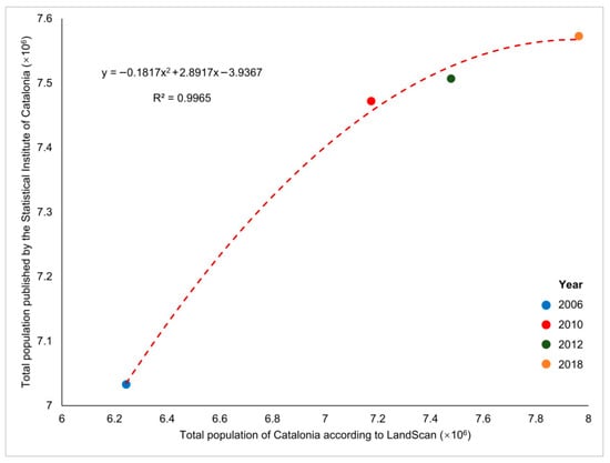
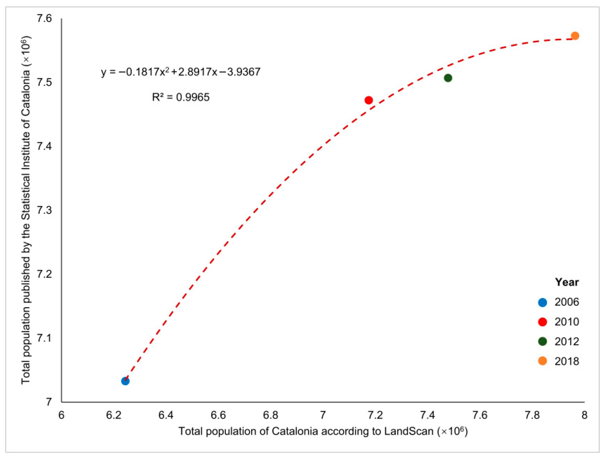
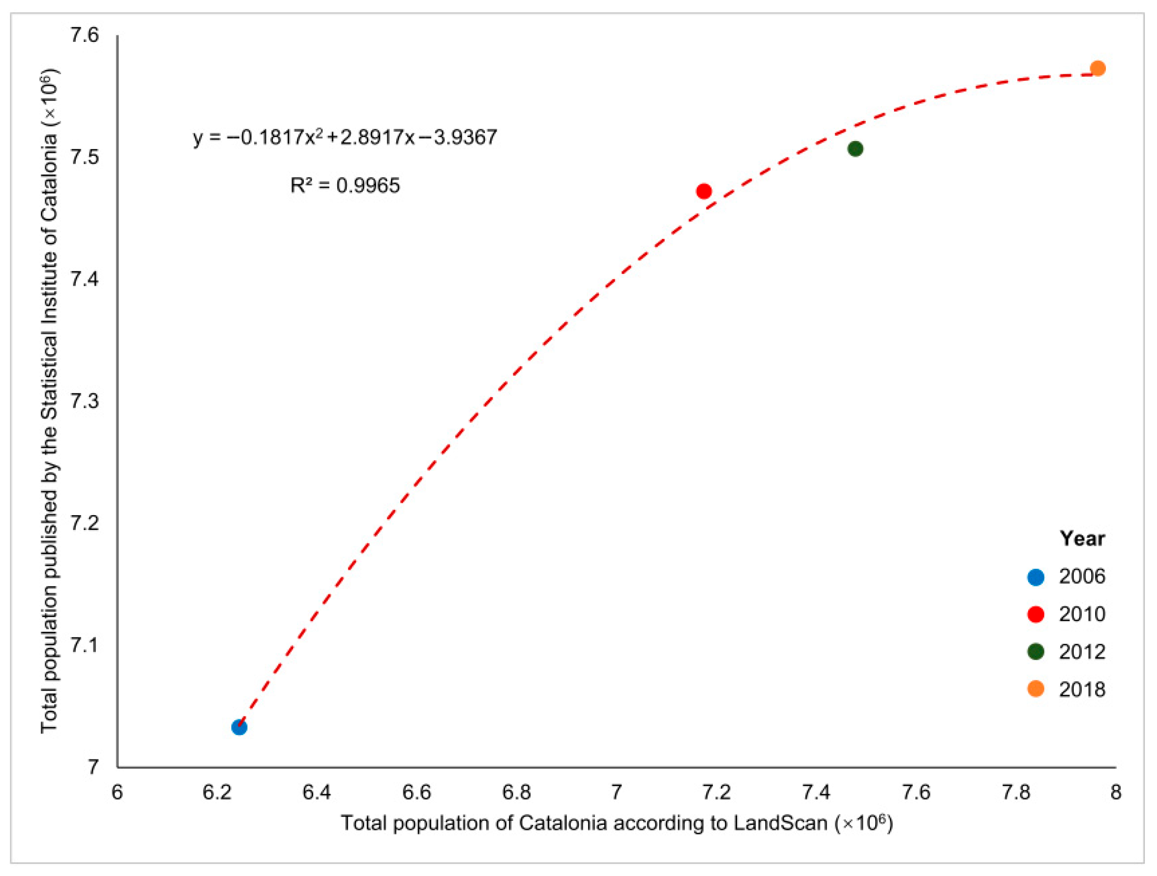
The Statistical Institute of Catalonia can provide the per capita GDP and entire population for the Catalonia region (https://www.idescat.cat/pub/?id=pibc&n=13830&geo=mun:080193&lang=en, accessed on 12 January 2025). Based on the total population and the population distribution in the region from LandScan (Appendix A, Figure A1), the spatial distribution of GDP is calculated [35]. However, it has significant limitations in accuracy and, therefore, was used in this study only as an auxiliary reference, not incorporated into precise computational analyses.
DMSP/OLS dataset offers global nighttime light observations spanning 1992–2013, comprising 34 image sets acquired by six different sensors (Table 1) at a spatial resolution of 30 arc seconds. In this research, we utilized the stable version 4 composites of DMSP nighttime light brightness data, obtained from the NOAA National Centers for Environmental Information (https://ngdc.noaa.gov/eog/dmsp/downloadV4composites.html, accessed on 9 January 2025).
Table 1.
Table of DMSP/OLS sensors and corresponding imagery.
NPP/VIIRS nighttime light dataset offers 15-arc-second spatial resolution and has been continuously available since April 2012. In this study, we downloaded the annual nighttime light version 2 data (https://eogdata.mines.edu/products/vnl/, accessed on 9 January 2025). The VIIRS data differs significantly from DMSP, and in order to explore the long-term changes in nighttime light brightness in the BMR, we used the stepwise calibration method proposed by Xuecao Li et al. [12] and combined it with the improvements of Xu et al. [36] to calibrate and unify the two datasets within the range of BMR.
Black Marble is daily nighttime light data with a spatial resolution of 500 m, captured by the S-NPP VIIRS DNB sensor since 2012, which is the derivative product of VIIRS data after processing. In this study, we used the data from 2012 (https://earthobservatory.nasa.gov/images/79803/night-lights-2012-the-black-marble, accessed on 9 January 2025).
2.3. Methodology
This paper aims to use environmental factors and nighttime light to extract the urbanized area outlines of the Barcelona metropolitan region. The main approach is to first identify the key environmental factors most correlated with urbanized areas and nighttime light through an ordinary least square (OLS) regression model with multiple independent variables. The paper then explores the distribution patterns between these key factors and nighttime light intensity, using these patterns to determine the boundaries of urbanized areas. Finally, the results are compared with existing research and validated with data such as population distribution and surface temperature. Furthermore, a cross-sectional comparative analysis of multiple nighttime light data sources is conducted to enhance the robustness of the method.
First of all, to understand how natural and human factors influence the spatial distribution of urban land, we established a multi-explanatory variable ordinary least squares (OLS) interaction model to analyze the relationships between potential drivers and urban land patterns [37]. Drawing on previous studies, we compiled relevant data in Table 2 [38,39,40,41,42]. To ensure consistency, we used nighttime light intensity calibrated to DMSP standards. A 1 km grid was created within the BMR, and the yearly urbanized area, that is, the percentage of urban land and construction land in each grid was extracted as the dependent variable. Extracting the predictor variables of different resolutions into 1 km grid cells ensured the comparability and consistency among the datasets. Multiple models were constructed to evaluate factor importance. Through the analysis of these models, we can screen out key important environmental variables that have the strongest correlation with the distribution of urbanized areas and night-time light intensity. The same approach was also applied to analyze the distribution of nighttime light intensity, supporting subsequent boundary delineation.
Table 2.
List of factors that potentially affect the distribution of urbanized land.
Next, we extracted the urbanization boundary of the BMR using nighttime light data. Based on prior research, the key lies in identifying the optimal light intensity threshold. Guided by the most influential factors shaping urban land use and spatial patterns, we selected key indicators and applied a regression model to simulate the relationship curve of light intensity variation. The extremum of the derivative of the curve was then used to determine the threshold for delineating the BMR urbanized area [43,44,45].
- During modeling, we normalized both the nighttime light data and explanatory variables (Equation (1)) to enhance data comparability and model stability. This also ensured consistent scaling across different light data sources for accurate calculation and analysis [46,47,48].
Xi represents the normalized measure index for the i-th year;
X0 is the original value of each variable for that year;
Xmax is the maximum value of each variable for that year;
Xmin is the minimum value of each variable for that year.
- In 2017 and 2018, Arellano et al. extracted and validated global urbanized boundaries, including those in the BMR, using Black Marble and DMSP nighttime light data combined with regression models and GIS techniques. Their method proved highly robust and applicable [20,21]. As their results were based on 2010 data, this study adopts their 2010 BMR delineation as a reference, applying the same method to DMSP, Black Marble, and VIIRS data to evaluate consistency and applicability across different sources.
Finally, the accuracy and validity of the BMR urbanized boundaries derived from nighttime light data will be evaluated from multiple perspectives, including population distribution, economic activity, land surface temperature, regional matching, and accuracy metrics, to ensure their reliability and practical value [20,21,49,50].
The research approach is summarized in the following schematic (Figure 2).
Figure 2.
Schemes follow the same formatting [20].
3. Results
3.1. Analysis of the Correlation Factors Between Urbanized Areas in the BMR and Nighttime Light Brightness Distribution
To evaluate and analyze the factors influencing the spatial arrangement of urbanized areas in the BMR from 2006 to 2018, it was first necessary to extract urban land within the BMR based on land cover classifications provided by the CLC [51]. To facilitate the distinction between urban land, built-up areas, and other non-urbanized regions, the original 11 land cover types were grouped into five main categories (Table 3).
Table 3.
Rezoning and allotment of BMR land to primary categories *.
To further reveal the spatial patterns and evolutionary characteristics of urbanization in the BMR, we analyzed the changes in urban land and built-up land and produced detailed maps (Figure 3) to illustrate the dynamic changes in urbanized areas.
Figure 3.
BMR urban area change map. (a) Urban land expansion map. (b) Urban land expansion map. (c) Construction land (including urban land) expansion map. (d) Construction land (including urban land) expansion map.
Maps of urban land and built-up land changes can more intuitively and accurately reveal the evolutionary characteristics of urbanized areas in the Barcelona Metropolitan Region (BMR). To facilitate the observation of land gains and losses, the boundaries of urban land were magnified twofold when producing the map series using ArcGIS 10.8, thereby enhancing the readability of spatial distribution patterns (Figure 3). Spatially, urban land in the BMR exhibits a fragmented pattern, distributed throughout most of the metropolitan area. Large urban concentrations are observed in Barcelona city and its northern parts, whereas the northernmost and western areas of the BMR show sparse urban land, mainly consisting of small, isolated urban patches. The land use intensity in Barcelona city is relatively high, with urban space almost fully occupied, except for a few undeveloped areas in the northern and southern parts. From the perspective of urban expansion, significant growth of urban land is observed within the BMA and surrounding areas, particularly in the northern and central BMR, where some scattered urban patches show expansion trends, while only a few patches expand in the western region. Simultaneously, some areas exhibit a reduction in urban land, mainly in the northeastern and northwestern BMR and in BMA regions outside Barcelona city. Overall, urban land in Barcelona city remained largely saturated and showed no significant change over the 12-year study period.
Compared with the fragmented distribution of urban land, built-up land enhances the connectivity between urban patches, optimizing the overall urban system structure. Spatially, the distribution pattern of built-up land is similar to that of urban land but fills more gaps, rendering the urban form more continuous. Built-up land almost completely covers Barcelona city and extends toward the southwestern and northeastern peripheries. Within the BMA, built-up land occupies more than half of the area, reflecting the further progression of urbanization. The expansion of built-up land is also concentrated in the northeastern BMR and both within and outside the BMA, with a few patches expanding in the western BMR, while small reductions are observed in the northwestern BMR and northeastern BMA. Built-up land in Barcelona city remained largely unchanged throughout the study period.
3.1.1. Analysis of the Correlation Factors of the Distribution of Urbanized Areas in the BMR
By constructing OLS interaction models with multiple explanatory variables, the relationship between various factors and the distribution of urban and built-up land in the BMR was analyzed [52], helping identify significant variables. Based on a review of related studies, 15 natural and human factors were selected as explanatory variables [38,39,40,41,42]. The study area was partitioned into 2985 grids, each measuring 1 km per side, with the proportion of urban and built-up land within each grid treated as the dependent variable. The explanatory variables comprised longitude, latitude, distance to the coast, elevation, slope, NDVI, precipitation, daytime and nighttime LST, LST difference, calibrated DMSP and VIIRS nighttime light intensity, NDBI, road network length, population, and GDP. Six OLS models were constructed using data from 2006, 2012, and 2018, with results in Table 4 and Table 5.
Table 4.
OLS Model for the proportional distribution of urban land area in BMR.
Table 5.
OLS model for the proportional distribution of urban and construction land area in BMR.
The analysis revealed that NDVI (−) is most strongly related to urbanized land distribution, particularly influencing built-up areas, while NDBI (+) is also significantly associated with urban land patterns. Together, these variables explain over 80% of the variation in urban land distribution in Barcelona and over 90% of changes in a broader urbanized space.
Additionally, the annual precipitation, as a natural factor, also has an intrinsic connection with the spatial distribution of urbanized areas; however, its underlying mechanism remains unclear. The model results indicate that the relationship between the two is positive in some cases but negative in others. Previous studies have suggested that precipitation may indirectly influence the spatial distribution of urban areas by affecting vegetation cover, soil moisture, and land use types [53,54]. Therefore, we included it as a potential explanatory variable in the initial model to examine its contribution. The day-night temperature difference (−) and nighttime LST (−) are also significantly linked to built-up land, while population (+) plays a key role in urbanized area distribution. The mechanism by which surface temperature influences urban heat islands (UHIs) is primarily reflected in their impact on the surrounding environment. Temperature differences between urban areas and other regions not only represent an important indicator of the spatial distribution of urbanization but also influence residential choices, land use patterns, and the direction of urban expansion [55,56]. Daytime LST was omitted from the optimal model because of its collinearity with the day–night LST difference.
3.1.2. Analysis of Influencing Factors on the Distribution of Nighttime Light Brightness in BMR
To identify key factors influencing the distribution of urbanized areas and nighttime light intensity in the BMR, and to establish an optimal light intensity threshold for delineating urban spatial boundaries, this study used the independent variables from previous analysis. Three OLS regression models were constructed using nighttime light intensity distributions from three different years as the dependent variable, with results presented in Table 6.
Table 6.
OLS model for the proportional distribution of night light intensity in BMR.
The findings indicate that, similar to the models for urban and built-up land, NDVI (−) and NDBI (+) are the two most significant variables affecting nighttime light intensity. NDVI has a stronger impact than NDBI, and together, they explain approximately 80% of the spatial distribution of light intensity. Precipitation (with an unclear mechanism), nighttime land surface temperature (+), and diurnal temperature range (+) also play significant roles. Combined with NDVI and NDBI, these factors explain over 95% of the spatial distribution of nighttime light intensity in Barcelona.
Given the correlation between these variables and urbanized area distribution, NDVI and NDBI are core factors linking urban spatial patterns with nighttime light distribution, though other factors also contribute. Despite the strong potential relationship between precipitation, urbanized areas, and light intensity, precipitation’s complex interactions with other variables led to its exclusion from the optimal threshold model for urbanized area delineation [57]. Additionally, due to its weaker correlation with the dependent variables, land surface temperature was used to validate the final delineation based on light intensity. The Pearson coefficients between all the above variables can be found in Appendix C (Table A2, Table A3 and Table A4).
Based on the above analysis, we found that NDVI (−) and NDBI (+) exhibit the most significant interactive relationships with both the distribution of urbanized areas and the intensity of nighttime lights. Therefore, we intend to develop correlation models integrating these two key factors with nighttime light data to extract the boundary characteristics of urbanized areas. It is important to note that this study does not consider nighttime light as an independent determinant, but rather emphasizes its coupled relationship with NDVI and NDBI. While the regression results show that nighttime light has a limited direct explanatory effect on urbanized areas, we found that its interaction with NDVI and NDBI can more effectively capture the continuity and boundary characteristics of urbanized areas spatially. Therefore, in this study, nighttime light serves as a supplementary factor, enhancing the rationality and stability of boundary delineation through its combination with NDVI and NDBI. This logic was supported by subsequent validation results, which showed good consistency between the resulting boundaries and the spatial patterns of population distribution and GDP, further demonstrating the effectiveness of the model approach.
3.2. The Results of Extracting the Urbanization Areas in the BMR Using Night-Time Light
3.2.1. Construction of the Night-Time Light Distribution Change Model
Based on the analysis, this study selects NDVI (−) and NDBI (+) as auxiliary variables and constructs a model with night-time light intensity to determine the optimal threshold for extracting the BMR urbanization boundaries. To improve data comparability, the study eliminates the effects of varying light data value ranges from the three datasets: DMSP, Black Marble, and VIIRS.
To achieve this objective, the study normalizes the DMSP and Black Marble data and standardizes the NDBI-NDVI values to minimize scale differences [46,47,48]. For VIIRS data, a logarithmic LN transformation is applied to enhance light intensity differentiation and improve data applicability [58]. Using the 2012 data as an example, Figure 4 compares the spatial resolutions of BMR night-time light across the three data sources and shows the effect of the LN transformation on VIIRS data. The DMSP data has the lowest spatial resolution, while VIIRS has the highest. The transformed VIIRS data better highlights faint light intensity in dark areas, improving urbanization area identification accuracy.
Figure 4.
Comparison of multi-source night-time light intensity effects and resolution in BMR. (a) Original DMSP. (b) Original Black Marble. (c) Original VIIRS. (d) VIIRS before and after Ln logarithmic transformation.
Then, for analyzing the light value range in the relationship equation, we construct a regression model with the processed NDBI–NDVI as the dependent variable (y) and light intensity as the independent variable (x). Using the 2012 data as an example, Figure 5 shows the scatter distribution of the two variables and their fitting curve. The results indicate that the relationship between them follows the characteristics of a quadratic polynomial function. Therefore, the key points for determining the urbanization area boundary can be identified through the extremum and the axis of symmetry of the derivative function. The extremum points and the axis of symmetry of the derivative functions for all experimental model equations are summarized in Table 7, and the fitting equations and derivatives can be found in Appendix D (Table A5). Since we used the 2010 urbanization area boundary of the BMR, defined using night-time light data by Arellano et al. in previous work, as a reference, the 2010 data was also modeled and analyzed.

Figure 5.
BMR multi-source nightlight brightness and NDBI-NDVI relationship model results and their derivative functions. (a) Relationship model between DMSP data and NDBI-NDVI. (b) Derivative function of the relationship model between DMSP data and NDBI-NDVI. (c) Relationship model between Black Marble data and NDBI-NDVI. (d) Derivative function of the relationship model between Black Marble data and NDBI-NDVI. (e) Relationship model between VIIRS data and NDBI-NDVI. (f) Derivative function of the relationship model between VIIRS data and NDBI-NDVI. The blue dotted in the figure is the scatter distribution of light brightness and environmental index variables, the red dotted line is the relationship fitting curve, and the red solid line is the derivative function of the fitting curve.
Table 7.
Key nightlight intensity values in the BMR fitting model.
3.2.2. Results of Urbanized Area Boundary Extraction
In 2017 and the following year, Arellano et al. used two different resolution night light datasets, Black Marble and DMSP, along with regression modeling and geographic information analysis techniques, to extract and validate urbanized area boundaries globally, particularly in the BMR. Their studies [20,21] provided valuable reference results, especially the 2010 BMR urbanized area boundaries. However, due to the variable brightness value range of VIIRS data, its complexity in calculating precise values, and its high sensitivity to light, challenges remain in identifying urbanized areas [59,60,61]. This study aims to explore the feasibility of using VIIRS data for urbanized area boundary extraction by applying a logarithmic transformation and combining it with NDBI and NDVI modeling.
The DMSP data contains observations from 2010, while VIIRS and Black Marble data have been available since 2012. In Arellano’s study, the 2012 Black Marble light data were used to infer the 2010 BMR urbanized area. Black Marble, optimized from VIIRS data with adjustments to the value range, has a spatial resolution similar to that of VIIRS. Thus, this study uses the Black Marble delineation results from previous research as the basis for extracting urbanized area boundaries from the 2012 Black Marble and VIIRS data.
This study identified and compared seven key light values from the three datasets. The results show that the urbanized area contours corresponding to the extremum points of DMSP and Black Marble, as well as the symmetric points of VIIRS in the NDBI-NDVI and night light fitting models for the BMR, closely match the reference results (Figure 6).
Figure 6.
Comparison of night light recognition results for the BMR urbanized area with references. (a) DMSP results compared with reference. (b) Black Marble results compared with reference. (c) VIIRS results compared with reference.
Figure 6 presents a comparison of the BMR urbanized area boundaries extracted in this study with the reference boundaries. To further quantify the matching degree between the two, a logistic regression model was constructed with the reference boundaries as the dependent variable and the extracted results as the independent variable (Table 8). Detailed information on the logistic regression model can be found in Appendix E (Table A6 and Table A7).
Table 8.
Night light recognition results for the BMR urbanized area boundary and reference logistic regression model.
The analysis shows that the extracted urbanized areas closely match the reference boundaries. The DMSP-based results achieved the highest overlap, with a correct recognition rate of 98.8% and overall accuracy above 99%. Black Marble also reached nearly 98% accuracy. Although VIIRS yielded slightly lower accuracy, it still explained over 90% of the urban areas defined by Black Marble. These results confirm the high accuracy and feasibility of the proposed method for delineating BMR urbanized boundaries. Finally, using this method, urbanized area boundaries from 2006 to 2018 were extracted with DMSP and VIIRS data (Figure 7). Since Black Marble is not an independent data source but a derivative of VIIRS, it has certain limitations in spatial resolution. In this study, the two results obtained using data-based delimitation were very similar. In addition, both VIIRS data and DMSP data are original data, which makes horizontal comparison easier. Therefore, in the subsequent analyses, we retained the original VIIRS data, which has slightly higher resolution.

Figure 7.
Nighttime light recognition results of BMR urbanized area boundaries. (a) Results of the 2006 DMSP identification of urbanized areas in BMR. (b) Results of the 2012 DMSP identification of urbanized areas in BMR. (c) Results of the 2018 DMSP identification of urbanized areas in BMR. (d) Results of the 2012 VIIRS identification of urbanized areas in BMR. (e) Results of the 2018 VIIRS identification of urbanized areas in BMR.
3.2.3. Extraction of Precise Urbanized Area Boundaries Using VIIRS
As shown in Figure 6 and Figure 7, whether referencing or delineating the urbanized area boundaries of the BMR, the results derived from DMSP data are significantly broader than those from the other two datasets. Table 9 presents the corresponding urbanized area sizes from Figure 6, revealing that the DMSP-derived boundaries cover approximately 800 km2 more than those identified by Black Marble and VIIRS. This discrepancy is primarily due to the lower spatial resolution of DMSP, whereas VIIRS and Black Marble provide higher precision in detecting urban extents.
Table 9.
Nighttime light identification of BMR urbanized area statistics (km2).
Additionally, all nighttime light sensors, including DMSP, are subject to varying degrees of light spillover. Consequently, these sensors tend to overestimate urban areas by capturing not only urban and built-up land but also adjacent urban fringes and suburban zones affected by light radiation. These peripheral areas, though less densely built, are economically active and integrated into the functional urban system of the BMR, forming part of the broader urbanized region [20,21,23,24,25,26,27,28].
In contrast, the finer spatial resolution of VIIRS data offers the potential for more accurate delineation of urban and built-up land boundaries. Therefore, this study further explores the extraction of construction land boundaries using the proposed modeling approach, based on VIIRS data.
This study first normalizes the raw values of VIIRS and NDBI-NDVI, and fits them using a polynomial regression model. After multiple fitting tests, we found that the first extremum point of the 6th-degree polynomial function between the two variables provides a relatively accurate identification of the main urban and construction area contours of BMR. We tested multiple fitting methods and polynomials of different orders. The results showed that the sixth-order polynomial outperformed other models in terms of goodness of fit and residual distribution, and could better capture the characteristics of the relationship between nighttime lights and NDBI–NDVI.
Figure 8 shows the regression model and its derivative functions based on the 2012 and 2018 data. The analysis results indicate that the first extremum points of the 6th-degree polynomial functions for these two years correspond to nighttime light values of 0.06 and 0.07, respectively. Furthermore, Figure 9 visually demonstrates the built-up area contours extracted using this light threshold, which match highly with the CLC statistical data.
Figure 8.
Relationship model results and derivative functions of the normalized VIIRS nighttime light brightness and NDBI-NDVI for BMR. (a) Relationship model between VIIRS data and NDBI-NDVI in 2012. (b) Derivative function of the relationship model between VIIRS data and NDBI-NDVI in 2012. (c) Relationship model between VIIRSdata and NDBI-NDVI in 2018. (d) Derivative function of the relationship model between VIIRS data and NDBI-NDVI in 2018. The blue dotted in the figure is the scatter distribution of light brightness and environmental index variables, the red dotted line is the relationship fitting curve, and the red solid line is the derivative function of the fitting curve, and the red dot is the position of the first extreme point of the fitting function in the derivative curve.
Figure 9.
BMR urban construction land nighttime light identification results: (a) 2012 results and comparison; (b) 2018 results and comparison.
Table 10 shows the results of the logistic regression model built with CLC construction land data as the dependent variable and VIIRS identification results as the explanatory variable. More information about the model can be found in Appendix F (Table A8 and Table A9). The results indicate a high consistency between the city and construction land identified by VIIRS and the CLC data. The 2012 model achieved a correct identification rate of 73.8% and an overall classification accuracy of 87.6%, while the 2018 model had a correct identification rate of approximately 70% and an overall classification accuracy of 86.8%. The model results also validate the effectiveness of using this method to extract precise urban and construction land areas with VIIRS data.
Table 10.
Logistic regression model for BMR urban built-up area boundaries and VIIRS identification results.
3.3. Verification and Analysis of Urbanized Area Boundary Extraction Results
In the previous experiments, although the accuracy and effectiveness of the BMR urbanized area extraction results using nighttime light data were assessed from the perspective of regional matching precision, a comprehensive analysis and evaluation of the recognition results are still needed. This evaluation should be based on three important factors from the urban system: population distribution, economic activity intensity, and surface temperature, which this study has found to be significantly correlated with the urbanized areas. This will ensure that the method proposed in this study is reliable and stable.
Table 11 presents the evaluation results of the BMR urbanized area (UA) and built-up land (CL) extraction based on nighttime light data, comparing them with the reference contours across several metrics, including the proportion of the population within the urbanized area relative to the total BMR population, the ratio of average surface temperature in the urbanized area to the average surface temperature of BMR, and the contribution rate to the total GDP of the metropolitan area. The results indicate that these evaluation metrics closely match the reference values and remain stable within a certain range. However, it should be noted, as described in the methodology, that there are currently no spatialized GDP datasets available for Barcelona. The GDP data used in this study were estimated based on existing data and therefore have substantial limitations in accuracy. Consequently, GDP can only serve as an auxiliary reference for validation and should not be regarded as a key criterion.
Table 11.
Evaluation of BMR urbanized area (UA) and built-up land (CL) extraction results.
Regarding the population proportion, the urbanized area within the DMSP reference range accounts for 97% of the total BMR population, and the result based on DMSP extraction is close to this value. The population proportion within the Black Marble and VIIRS reference ranges is approximately 89%, with the experimental results ranging from 87.16% to about 89%, indicating minor and stable errors. For the built-up land area based on CLC statistics, the population within the range accounts for 79.5% of the total BMR population, and the population proportion within the built-up area extracted using VIIRS deviates by no more than 2% from the CLC statistics.
Owing to the urban heat island effect, the surface temperatures in urban areas is typically higher than in suburban and rural areas [62]. Therefore, this study calculated the ratio of the average surface temperature in the urbanized area to the average surface temperature of BMR to assess its rationality. The results show that the ratio for the DMSP reference range is 1.05, while the extracted urbanized areas have a temperature ratio ranging from 1.04 to 1.07. The ratio for the Black Marble reference range is 1.07, and the temperature ratio for the extracted urbanized area ranges from 1.06 to 1.09, maintaining a high consistency. Additionally, the surface temperature ratio for the CLC statistics on built-up land is between 1.07 and 1.11, while the VIIRS extracted built-up land ratio is slightly higher, between 1.1 and 1.13. Although there is some deviation, it remains within a reasonable range.
In terms of economic activity, we evaluated the contribution of urbanized areas extracted using different methods to the total GDP of BMR. The results indicate that the urbanized land extracted from DMSP contributes 92.53–96.9% of the GDP, while the GDP contribution from the Black Marble and VIIRS urbanized areas ranges from 83.7% to 85.94%. Additionally, the GDP contribution of CLC stated built-up land is between 50% and 52.82%, while the contribution from the VIIRS extracted built-up land is about 60%. The GDP values show some error as they are derived from the spatial distribution estimated under limited conditions in this study, but the overall trend remains stable, and they can be used as a reference for assessing the accuracy of urbanized area delineation based on nighttime light data.
In summary, analyzing from the perspectives of population distribution, surface temperature, and economic activity, the method proposed in this study for extracting the BMR urbanized area and built-up land using multi-source nighttime light data is close to the reference evaluation results and remains stable within a reasonable range. This result further validates the effectiveness and stability of the proposed method, providing robust support for urban spatial identification research based on nighttime light data.
4. Discussion
This study assessed the correlations between natural and anthropogenic factors and the spatial distribution of urban areas and nighttime light intensity. NDVI and NDBI were identified as the most relevant variables for supporting urban space identification using nighttime light data. Precipitation and land surface temperature also showed important associations. Our previous research used a spatial triangular model to analyze the interaction between precipitation and NDVI, which may help interpret the complex precipitation relationships observed in this study [34]. Although surface temperature was used here to validate urban boundaries, its interactions with NDVI, NDBI, and light data require further investigation and will be prioritized in future work.
We used the 2010 BMR urbanized area from Arellano et al. as a reference and proposed a method that identifies urban boundaries by determining optimal brightness thresholds for three nighttime light datasets. Compared to earlier approaches, this method improves extraction accuracy and stability and avoids the limitations of using a single threshold across different periods and urbanization stages [20,21]. By integrating NDBI and NDVI, two environmental factors, with nighttime light data, the method’s applicability to regions with varying conditions has been greatly enhanced. Specifically, this method does not rely on land cover products specific to a given region but instead captures urbanization characteristics through a coupled spectral and nighttime light model, providing a technical pathway reference for less developed countries lacking fine-scale land cover statistics. Nighttime light data and MODIS imagery are globally available, thus offering a feasible alternative for such regions. Based on this, we further delineated built-up areas using higher-resolution VIIRS data. Despite mitigation efforts, light overglow still caused slight overestimation [25,26,27], which remains a limitation and future research priority.
In Figure 5, it can be seen that the R2 values of the fitted curves based on the scatter distribution between nighttime lights and environmental variables are not high. However, the focus of this study is on capturing the overall variation trends between variables rather than precisely predicting individual data points. Although there is considerable variation between points, the shape of the fitted curves aligns with the overall scatter distribution, effectively reflecting the macro-level trends in the data. In the context of urban boundary analysis, identifying large-scale spatial patterns is more critical than accurately predicting individual values. It should be noted that R2 primarily reflects the degree of fit of data points to the model, rather than the consistency of trends, and for some valid models, R2 may be low [63]. For nighttime light data, which are susceptible to various sources of noise, the scatter may exhibit high dispersion, yet it still provides valuable insights into the overall relationship between nighttime lights and influencing factors [12,64,65]. Therefore, these fitted curves effectively represent the potential relationship between nighttime light intensity and NDBI–NDVI indicators in the Barcelona Metropolitan Region.
In addition, multi-source nighttime light data have a significant impact on the accuracy of the final urban boundary products. Different data sources vary in spatial resolution, temporal coverage, and noise characteristics [66]. Low-resolution DMSP-OLS data may cause blurred boundaries and omission of small urban plaques, whereas high-resolution VIIRS data can capture finer spatial details [67,68]. Temporal discrepancies between datasets may introduce bias in long-term urbanization trend analyses; however, data calibration and integration can partly mitigate this issue [69,70], for example, by using DMSP-like data calibrated with 2018 VIIRS data. Beneficially, the integration of different nighttime light datasets can help reduce uncertainties caused by factors such as weather conditions and sensor errors, thereby improving the stability of urban boundary delineation. Moreover, combining environmental variables such as NDVI and NDBI can provide supplementary information when nighttime light data alone are insufficient to identify urbanized areas [71,72].
While NDVI and NDBI constitute the core environmental variables for delineating urban boundaries in this study, other environmental factors also provide valuable supplementary insights. Land surface temperature reflects the spatial manifestation of the urban heat island effect, and its transitional patterns at the urban fringe can help to characterize ambiguous boundary zones [73,74]. Likewise, slope and distance to the sea capture the influence of topography and geographic setting, which may partly account for boundary shifts in areas with complex terrain [75,76]. Precipitation, although shaped largely by land cover patterns, can also indirectly indicate the differentiation between urbanized and non-urbanized land [77,78]. In contrast to the direct explanatory role of NDVI and NDBI, these additional factors mainly serve as moderating and validating elements, strengthening the robustness and transferability of the boundary delineation framework across different regions and contexts. Nevertheless, their contributions to boundary identification remain relatively indirect and therefore fall outside the primary focus of this paper. As a promising direction for future research, a more systematic and in-depth exploration of these environmental variables, as well as their interactions with core indices, could provide further refinement and extension of the methodological framework for urban boundary delineation.
Due to data availability, some spatial datasets were estimated. GDP distribution was calculated using LandScan population data combined with total population and per capita GDP from the Catalan Statistical Institute, which limits its accuracy. Thus, GDP was used only for supplementary validation. Climate monitoring through remote sensing also faces difficulties, such as coarse precipitation resolution and inconsistent land surface temperature data [79]. Improving the precision of GDP and climate datasets will be essential for future analyses.
Finally, the contours of the urbanized areas extracted in this study often differ from administrative unit boundaries. Administrative boundaries constitute the legal spaces within which local and higher tier governments implement policies and coordinate governance, whereas boundaries identified using nighttime light and remote sensing data primarily reflect the actual spatial structure of urbanized areas and the distribution of human activities. The BMR consists of 164 municipalities and several towns, and its administrative boundaries are crucial for the provision of public services, resource allocation, and policy implementation. However, this study focuses on delineating urbanized areas from a macro perspective based on remote sensing and spatial indicators, and therefore does not provide a systematic analysis of the discrepancies between administrative boundaries and the extracted boundaries. This limitation highlights the potential misalignment between urban spatial governance and actual urban development, and points to a promising direction for future research to compare and integrate the two types of boundaries.
5. Conclusions
Using multivariate regression models, this study assessed the relationships between various influencing factors and urban land, construction land, and nighttime light data in the Barcelona Metropolitan Region (BMR) from 2006 to 2018. NDVI (−) and NDBI (+) emerged as the most critical variables, strongly correlated with both urbanized areas and light intensity, thereby effectively linking them. Based on these variables, models integrating multi-source nighttime light data were constructed to determine optimal brightness thresholds for delineating urban boundaries. Results demonstrate that incorporating the NDBI-NDVI significantly enhances the accuracy of urban area extraction, particularly for built-up land using VIIRS data.
Principally, NDVI (−) and NDBI (+) serve as key variables linking the distribution of urbanized areas in the BMR with nighttime light intensity.
- Among all variables, NDVI has the greatest influence on the distribution of urbanized areas, built-up land, and nighttime light intensity. The second most significant factor is NDBI.
- The model also indicates that two climatic factors, land surface temperature and precipitation, show a noticeable correlation with the dependent variables. However, their explanatory power is significantly lower than that of the two most prominent covariates. Moreover, the effect of precipitation is highly complex [34], and thus it was not included as an optimal explanatory variable in this study.
Based on these two key factors, we developed mathematical models using three different nighttime light datasets to determine the optimal light intensity thresholds for identifying urban spaces and verified their accuracy and stability.
- Figure 5 illustrates significant differences in the resolution and precision of the three nighttime light datasets, which also creates opportunities for identifying more refined built-up area boundaries.
- By applying normalization or the natural logarithm (Ln) transformation, we successfully established regression models between nighttime light intensity and NDBI-NDVI. The extrema and symmetry axis of the fitted function help determine the large-scale urbanized area of the BMR, which is influenced by urban radiation and coalesces with urban areas through economic activities, infrastructure development, and functional planning [26,27,28].
- Additionally, higher-resolution nighttime light data correspond to more precise identification of urbanized areas.
- The first extremum of the fitted function in the regression model between normalized VIIRS and NDBI-NDVI serves as a threshold for extracting more detailed urban and built-up area boundaries.
- We comprehensively evaluated the identified urban spaces from multiple perspectives, including spatial matching accuracy, population distribution, land surface temperature, and economic activity intensity. The results confirm the high feasibility, effectiveness, and stability of the proposed method.
Author Contributions
Conceptualization, X.Z., B.A. and J.R.; methodology, X.Z.; software, X.Z.; validation, B.A. and J.R.; formal analysis, X.Z.; resources, X.Z.; data curation, X.Z.; writing—original draft preparation, X.Z., J.R. and B.A.; writing—review and editing, B.A. and J.R.; visualization, X.Z.; supervision, B.A. and J.R.; project administration, J.R. and B.A.; funding acquisition, J.R. and B.A. All authors have read the manuscript and made some official changes. All authors have read and agreed to the published version of the manuscript.
Funding
This research received no external funding.
Institutional Review Board Statement
This study did not involve human or animal research; therefore, this statement does not apply.
Informed Consent Statement
This study was used for research not involving humans; therefore, this statement does not apply.
Data Availability Statement
The original contributions presented in this study are included in the article/Appendix A, Appendix B, Appendix C, Appendix D, Appendix E and Appendix F; further inquiries can be directed to the corresponding author.
Acknowledgments
This study is part of the project “Extreme Spatial and Urban Planning Tool for Episodes of Heat Waves and Flash Floods. Building resilience for cities and regions”, supported by the Ministry of Science and Innovation of Spain. Additionally, we must thank Qianhui Zheng (qianhuizheng0712@gmail.com) for her great contribution in providing us with the Spanish annual climate remote sensing database with a resolution of 1° for the period 2000–2023.
Conflicts of Interest
The authors declare no conflicts of interest.
Appendix A
Figure A1.
Model for evaluating the relationship between the total population of Catalonia and the statistics of LandScan.
Figure A1.
Model for evaluating the relationship between the total population of Catalonia and the statistics of LandScan.

Appendix B
Table A1.
Land reclassification and descriptions in the BMR.
Table A1.
Land reclassification and descriptions in the BMR.
| Code | Classification Results | CLC Land Use Description | Categories |
|---|---|---|---|
| 1 | Continuous built-up area | Continuous urban fabric | Urban land |
| 2 | Discontinuous built-up area | Discontinuous urban fabric | |
| 3 | Industrial land | Industrial or commercial units | Construction land |
| 4 | Transportation land | Road and rail networks and associated land | |
| Port areas | |||
| Airports | |||
| 5 | Mine, dump and construction sites | Mineral extraction sites | |
| Dump sites | |||
| Construction sites | |||
| 6 | Leisure land | Green urban areas | |
| Sport and leisure facilities | |||
| 7 | Cropland | Non-irrigated arable land | Green area |
| Permanently irrigated land | |||
| Rice fields | |||
| Vineyards | |||
| Fruit trees and berry plantations | |||
| Olive groves | |||
| Pastures | |||
| Annual crops associated with permanent crops | |||
| Complex cultivation patterns | |||
| Land principally occupied by agriculture, with significant areas of natural vegetation | |||
| Agro-forestry areas | |||
| 8 | Woodland | Broad-leaved forest | |
| Coniferous forest | |||
| Mixed forest | |||
| 9 | Grassland | Natural grasslands | |
| Moors and heathland | |||
| Sclerophyllous vegetation | |||
| Transitional woodland-shrub | |||
| Inland marshes | |||
| Peat bogs | |||
| Salt marshes | |||
| 10 | Barren land | Beaches, dunes, sands | Barren land |
| Bare rocks | |||
| Sparsely vegetated areas | |||
| Burnt areas | |||
| Glaciers and perpetual snow | |||
| Salines | |||
| Intertidal flats | |||
| 11 | Water bodies | Water courses | Water bodies |
| Water bodies | |||
| Coastal lagoons | |||
| Estuaries | |||
| Sea and ocean | |||
| NODATA |
Appendix C
| Var | 1 | 2 | 3 | 4 | 5 | 6 | 7 | 8 | 9 | 10 | 11 | 12 | 13 | 14 | 15 | 16 | 17 | 18 |
|---|---|---|---|---|---|---|---|---|---|---|---|---|---|---|---|---|---|---|
| 1 | 1 | 0.790 ** | 0.031 | −0.100 ** | −0.155 ** | −0.059 * | −0.221 ** | −0.098 ** | −0.478 ** | −0.02 | 0.219 ** | 0.368 ** | −0.02 | 0.281 ** | 0.383 ** | −0.11 | 0.633 ** | 0.626 ** |
| 2 | 0.790 ** | 1 | 0.046 | −0.146 ** | −0.211 ** | −0.065 * | −0.399 ** | −0.282 ** | −0.705 ** | −0.057 * | 0.421 ** | 0.527 ** | 0.098 ** | 0.392 ** | 0.561 ** | 0.179 * | 0.646 ** | 0.651 ** |
| 3 | 0.031 | 0.046 | 1 | 0.706 ** | −0.287 ** | 0.050 * | 0.007 | 0.058 ** | 0.307 ** | 0.885 ** | −0.261 ** | 0.335 ** | −0.502 ** | 0.072 ** | −0.383 ** | 0.453 ** | 0.057 ** | 0.061 ** |
| 4 | −0.100 ** | −0.146 ** | 0.706 ** | 1 | 0.454 ** | 0.052 * | 0.479 ** | 0.164 ** | 0.401 ** | 0.862 ** | −0.425 ** | −0.236 ** | −0.295 ** | −0.275 ** | −0.429 ** | 0.932 ** | −0.157 ** | −0.159 ** |
| 5 | −0.155 ** | −0.211 ** | −0.287 ** | 0.454 ** | 1 | 0.01 | 0.601 ** | 0.153 ** | 0.143 ** | 0.025 | −0.262 ** | −0.687 ** | 0.180 ** | −0.412 ** | −0.104 ** | 0.536 ** | −0.254 ** | −0.261 ** |
| 6 | −0.059 * | −0.065 * | 0.050 * | 0.052 * | 0.01 | 1 | 0.121 ** | 0.082 ** | 0.147 ** | 0.086 ** | −0.099 ** | −0.085 ** | −0.049 * | −0.123 ** | −0.128 ** | −0.035 | −0.073 ** | −0.078 ** |
| 7 | −0.221 ** | −0.399 ** | 0.007 | 0.479 ** | 0.601 ** | 0.121 ** | 1 | 0.282 ** | 0.549 ** | 0.356 ** | −0.660 ** | −0.719 ** | −0.223 ** | −0.737 ** | −0.534 ** | 0.222 ** | −0.299 ** | −0.311 ** |
| 8 | −0.098 ** | −0.282 ** | 0.058 ** | 0.164 ** | 0.153 ** | 0.082 ** | 0.282 ** | 1 | 0.387 ** | 0.130 ** | −0.378 ** | −0.146 ** | −0.306 ** | −0.213 ** | −0.333 ** | 0.003 | −0.136 ** | −0.138 ** |
| 9 | −0.478 ** | −0.705 ** | 0.307 ** | 0.401 ** | 0.143 ** | 0.147 ** | 0.549 ** | 0.387 ** | 1 | 0.440 ** | −0.805 ** | −0.328 ** | −0.638 ** | −0.518 ** | −0.943 ** | −0.067 | −0.494 ** | −0.505 ** |
| 10 | −0.02 | −0.057 * | 0.885 ** | 0.862 ** | 0.025 | 0.086 ** | 0.356 ** | 0.130 ** | 0.440 ** | 1 | −0.420 ** | −0.016 | −0.437 ** | −0.232 ** | −0.498 ** | 0.610 ** | −0.060 ** | −0.063 ** |
| 11 | 0.219 ** | 0.421 ** | −0.261 ** | −0.425 ** | −0.262 ** | −0.099 ** | −0.660 ** | −0.378 ** | −0.805 ** | −0.420 ** | 1 | 0.408 ** | 0.793 ** | 0.565 ** | 0.815 ** | 0.098 | 0.314 ** | 0.327 ** |
| 12 | 0.368 ** | 0.527 ** | 0.335 ** | −0.236 ** | −0.687 ** | −0.085 ** | −0.719 ** | −0.146 ** | −0.328 ** | −0.016 | 0.408 ** | 1 | −0.233 ** | 0.674 ** | 0.246 ** | −0.160 ** | 0.477 ** | 0.490 ** |
| 13 | −0.02 | 0.098 ** | −0.502 ** | −0.295 ** | 0.180 ** | −0.049 * | −0.223 ** | −0.306 ** | −0.638 ** | −0.437 ** | 0.793 ** | −0.233 ** | 1 | 0.151 ** | 0.703 ** | 0.221 ** | 0.016 | 0.021 |
| 14 | 0.281 ** | 0.392 ** | 0.072 ** | −0.275 ** | −0.412 ** | −0.123 ** | −0.737 ** | −0.213 ** | −0.518 ** | −0.232 ** | 0.565 ** | 0.674 ** | 0.151 ** | 1 | 0.471 ** | −0.236 ** | 0.315 ** | 0.333 ** |
| 15 | 0.383 ** | 0.561 ** | −0.383 ** | −0.429 ** | −0.104 ** | −0.128 ** | −0.534 ** | −0.333 ** | −0.943 ** | −0.498 ** | 0.815 ** | 0.246 ** | 0.703 ** | 0.471 ** | 1 | 0.056 | 0.399 ** | 0.409 ** |
| 16 | −0.11 | 0.179 * | 0.453 ** | 0.932 ** | 0.536 ** | −0.035 | 0.222 ** | 0.003 | −0.067 | 0.610 ** | 0.098 | −0.160 ** | 0.221 ** | −0.236 ** | 0.056 | 1 | 0.134 * | 0.112 |
| 17 | 0.633 ** | 0.646 ** | 0.057 ** | −0.157 ** | −0.254 ** | −0.073 ** | −0.299 ** | −0.136 ** | −0.494 ** | −0.060 ** | 0.314 ** | 0.477 ** | 0.016 | 0.315 ** | 0.399 ** | 0.134 * | 1 | 0.987 ** |
| 18 | 0.626 ** | 0.651 ** | 0.061 ** | −0.159 ** | −0.261 ** | −0.078 ** | −0.311 ** | −0.138 ** | −0.505 ** | −0.063 ** | 0.327 ** | 0.490 ** | 0.021 | 0.333 ** | 0.409 ** | 0.112 | 0.987 ** | 1 |
| 19 | 1 | 0.790 ** | 0.031 | −0.100 ** | −0.155 ** | −0.059 * | −0.221 ** | −0.098 ** | −0.478 ** | −0.02 | 0.219 ** | 0.368 ** | −0.02 | 0.281 ** | 0.383 ** | −0.11 | 0.633 ** | 0.626 ** |
| 20 | 0.790 ** | 1 | 0.046 | −0.146 ** | −0.211 ** | −0.065 * | −0.399 ** | −0.282 ** | −0.705 ** | −0.057 * | 0.421 ** | 0.527 ** | 0.098 ** | 0.392 ** | 0.561 ** | 0.179 * | 0.646 ** | 0.651 ** |
| 21 | 0.031 | 0.046 | 1 | 0.706 ** | −0.287 ** | 0.050 * | 0.007 | 0.058 ** | 0.307 ** | 0.885 ** | −0.261 ** | 0.335 ** | −0.502 ** | 0.072 ** | −0.383 ** | 0.453 ** | 0.057 ** | 0.061 ** |
* The correlation is significant at the 0.05 level (two-tailed). ** The correlation is significant at the 0.01 level (two-tailed). 1 The variables corresponding to the code are: 1 City%, 2 Construction, 3 Longitude, 4 Latitude, 5 Distance from coastline, 6 Orientation, 7 Altitude, 8 Slope, 9 NDVI_mean, 10 Precipitation, 11 LST_day, 12 LST_night, 13 LST_day-LST_night, 14 Night lights, 15 NDBI, 16 Rode, 17 Population, 18 GDP.
| Var | 1 | 2 | 3 | 4 | 5 | 6 | 7 | 8 | 9 | 10 | 11 | 12 | 13 | 14 | 15 | 16 | 17 | 18 |
|---|---|---|---|---|---|---|---|---|---|---|---|---|---|---|---|---|---|---|
| 1 | 1 | 0.782 ** | 0.031 | −0.099 ** | −0.158 ** | −0.057 | −0.220 ** | −0.092 ** | −0.464 ** | 0.117 ** | 0.212 ** | 0.400 ** | −0.042 | 0.267 ** | 0.426 ** | −0.145 | 0.659 ** | 0.653 ** |
| 2 | 0.782 ** | 1 | 0.045 | −0.145 ** | −0.207 ** | −0.071 ** | −0.406 ** | −0.299 ** | −0.701 ** | 0.162 ** | 0.411 ** | 0.512 ** | 0.120 ** | 0.390 ** | 0.606 ** | 0.152 * | 0.677 ** | 0.681 ** |
| 3 | 0.031 | 0.045 | 1 | 0.706 ** | −0.284 ** | 0.049 * | 0.009 | 0.058 ** | 0.279 ** | −0.676 ** | −0.223 ** | 0.046 * | −0.303 ** | 0.054 * | −0.361 ** | 0.458 ** | 0.059 ** | 0.063 ** |
| 4 | −0.099 ** | −0.145 ** | 0.706 ** | 1 | 0.457 ** | 0.052 * | 0.481 ** | 0.165 ** | 0.400 ** | −0.597 ** | −0.438 ** | −0.525 ** | −0.161 ** | −0.279 ** | −0.490 ** | 0.934 ** | −0.160 ** | −0.163 ** |
| 5 | −0.158 ** | −0.207 ** | −0.284 ** | 0.457 ** | 1 | 0.011 | 0.603 ** | 0.155 ** | 0.183 ** | 0.093 ** | −0.320 ** | −0.737 ** | 0.130 ** | −0.394 ** | −0.223 ** | 0.543 ** | −0.259 ** | −0.267 ** |
| 6 | −0.057 | −0.071 ** | 0.049 * | 0.052 * | 0.011 | 1 | 0.121 ** | 0.080 ** | 0.148 ** | −0.005 | −0.097 ** | −0.128 ** | −0.027 | −0.128 ** | −0.144 ** | −0.031 | −0.074 ** | −0.080 ** |
| 7 | −0.220 ** | −0.406 ** | 0.009 | 0.481 ** | 0.603 ** | 0.121 ** | 1 | 0.283 ** | 0.586 ** | −0.201 ** | −0.746 ** | −0.814 ** | −0.333 ** | −0.740 ** | −0.632 ** | 0.232 ** | −0.315 ** | −0.328 ** |
| 8 | −0.092 ** | −0.299 ** | 0.058 ** | 0.165 ** | 0.155 ** | 0.080 ** | 0.283 ** | 1 | 0.409 ** | −0.054 * | −0.377 ** | −0.168 ** | −0.339 ** | −0.216 ** | −0.372 ** | −0.005 | −0.143 ** | −0.144 ** |
| 9 | −0.464 ** | −0.701 ** | 0.279 ** | 0.400 ** | 0.183 ** | 0.148 ** | 0.586 ** | 0.409 ** | 1 | −0.352 ** | −0.802 ** | −0.441 ** | −0.662 ** | −0.560 ** | −0.952 ** | −0.04 | −0.511 ** | −0.520 ** |
| 10 | 0.117 ** | 0.162 ** | −0.676 ** | −0.597 ** | 0.093 ** | −0.005 | −0.201 ** | −0.054 * | −0.352 ** | 1 | 0.364 ** | 0.186 ** | 0.311 ** | 0.318 ** | 0.353 ** | 0.562 ** | 0.130 ** | 0.133 ** |
| 11 | 0.212 ** | 0.411 ** | −0.223 ** | −0.438 ** | −0.320 ** | −0.097 ** | −0.746 ** | −0.377 ** | −0.802 ** | 0.364 ** | 1 | 0.565 ** | 0.815 ** | 0.636 ** | 0.826 ** | −0.024 | 0.311 ** | 0.323 ** |
| 12 | 0.400 ** | 0.512 ** | 0.046 * | −0.525 ** | −0.737 ** | −0.128 ** | −0.814 ** | −0.168 ** | −0.441 ** | 0.186 ** | 0.565 ** | 1 | −0.018 | 0.665 ** | 0.460 ** | −0.498 ** | 0.511 ** | 0.522 ** |
| 13 | −0.042 | 0.120 ** | −0.303 ** | −0.161 ** | 0.130 ** | −0.027 | −0.333 ** | −0.339 ** | −0.662 ** | 0.311 ** | 0.815 ** | −0.018 | 1 | 0.303 ** | 0.677 ** | 0.251 ** | 0.018 | 0.024 |
| 14 | 0.267 ** | 0.390 ** | 0.054 * | −0.279 ** | −0.394 ** | −0.128 ** | −0.740 ** | −0.216 ** | −0.560 ** | 0.318 ** | 0.636 ** | 0.665 ** | 0.303 ** | 1 | 0.549 ** | −0.234 ** | 0.331 ** | 0.349 ** |
| 15 | 0.426 ** | 0.606 ** | −0.361 ** | −0.490 ** | −0.223 ** | −0.144 ** | −0.632 ** | −0.372 ** | −0.952 ** | 0.353 ** | 0.826 ** | 0.460 ** | 0.677 ** | 0.549 ** | 1 | −0.128 * | 0.427 ** | 0.437 ** |
| 16 | −0.145 | 0.152 * | 0.458 ** | 0.934 ** | 0.543 ** | −0.031 | 0.232 ** | −0.005 | −0.04 | 0.562 ** | −0.024 | −0.498 ** | 0.251 ** | −0.234 ** | −0.128 * | 1 | 0.117 * | 0.091 |
| 17 | 0.659 ** | 0.677 ** | 0.059 ** | −0.160 ** | −0.259 ** | −0.074 ** | −0.315 ** | −0.143 ** | −0.511 ** | 0.130 ** | 0.311 ** | 0.511 ** | 0.018 | 0.331 ** | 0.427 ** | 0.117 * | 1 | 0.985 ** |
| 18 | 0.653 ** | 0.681 ** | 0.063 ** | −0.163 ** | −0.267 ** | −0.080 ** | −0.328 ** | −0.144 ** | −0.520 ** | 0.133 ** | 0.323 ** | 0.522 ** | 0.024 | 0.349 ** | 0.437 ** | 0.091 | 0.985 ** | 1 |
* The correlation is significant at the 0.05 level (two-tailed). ** The correlation is significant at the 0.01 level (two-tailed). 1 The variables corresponding to the code are: 1 City%, 2 Construction, 3 Longitude, 4 Latitude, 5 Distance from coastline, 6 Orientation, 7 Altitude, 8 Slope, 9 NDVI_mean, 10 Precipitation, 11 LST_day, 12 LST_night, 13 LST_day-LST_night, 14 Night lights, 15 NDBI, 16 Rode, 17 Population, 18 GDP.
| Var | 1 | 2 | 3 | 4 | 5 | 6 | 7 | 8 | 9 | 10 | 11 | 12 | 13 | 14 | 15 | 16 | 17 | 18 |
|---|---|---|---|---|---|---|---|---|---|---|---|---|---|---|---|---|---|---|
| 1 | 1 | 0.792 ** | 0.025 | −0.115 ** | −0.169 ** | −0.057 | −0.237 ** | −0.108 ** | −0.509 ** | −0.065 * | 0.281 ** | 0.428 ** | 0.02 | 0.318 ** | 0.461 ** | −0.194 * | 0.659 ** | 0.654 ** |
| 2 | 0.792 ** | 1 | 0.041 | −0.150 ** | −0.209 ** | −0.075 ** | −0.409 ** | −0.302 ** | −0.727 ** | −0.078 ** | 0.491 ** | 0.550 ** | 0.201 ** | 0.460 ** | 0.626 ** | 0.132 | 0.678 ** | 0.682 ** |
| 3 | 0.025 | 0.041 | 1 | 0.707 ** | −0.286 ** | 0.051 * | 0.008 | 0.057 ** | 0.326 ** | −0.038 | −0.137 ** | −0.005 | −0.174 ** | 0.009 | −0.370 ** | 0.449 ** | 0.058 ** | 0.061 ** |
| 4 | −0.115 ** | −0.150 ** | 0.707 ** | 1 | 0.455 ** | 0.053 * | 0.479 ** | 0.160 ** | 0.437 ** | −0.204 ** | −0.459 ** | −0.502 ** | −0.241 ** | −0.339 ** | −0.474 ** | 0.939 ** | −0.163 ** | −0.166 ** |
| 5 | −0.169 ** | −0.209 ** | −0.286 ** | 0.455 ** | 1 | 0.011 | 0.601 ** | 0.150 ** | 0.175 ** | −0.124 ** | −0.443 ** | −0.611 ** | −0.143 ** | −0.416 ** | −0.185 ** | 0.554 ** | −0.262 ** | −0.269 ** |
| 6 | −0.057 | −0.075 ** | 0.051 * | 0.053 * | 0.011 | 1 | 0.122 ** | 0.081 ** | 0.153 ** | 0.075 ** | −0.063 ** | −0.134 ** | 0.013 | −0.083 ** | −0.151 ** | −0.028 | −0.075 ** | −0.081 ** |
| 7 | −0.237 ** | −0.409 ** | 0.008 | 0.479 ** | 0.601 ** | 0.122 ** | 1 | 0.280 ** | 0.548 ** | 0.151 ** | −0.805 ** | −0.740 ** | −0.523 ** | −0.759 ** | −0.593 ** | 0.235 ** | −0.317 ** | −0.331 ** |
| 8 | −0.108 ** | −0.302 ** | 0.057 ** | 0.160 ** | 0.150 ** | 0.081 ** | 0.280 ** | 1 | 0.402 ** | 0.096 ** | −0.361 ** | −0.146 ** | −0.365 ** | −0.242 ** | −0.371 ** | 0.002 | −0.146 ** | −0.146 ** |
| 9 | −0.509 ** | −0.727 ** | 0.326 ** | 0.437 ** | 0.175 ** | 0.153 ** | 0.548 ** | 0.402 ** | 1 | 0.224 ** | −0.768 ** | −0.455 ** | −0.676 ** | −0.585 ** | −0.952 ** | −0.021 | −0.531 ** | −0.539 ** |
| 10 | −0.065 * | −0.078 ** | −0.038 | −0.204 ** | −0.124 ** | 0.075 ** | 0.151 ** | 0.096 ** | 0.224 ** | 1 | −0.272 ** | −0.071 ** | −0.303 ** | −0.204 ** | −0.271 ** | 0.327 ** | −0.084 ** | −0.089 ** |
| 11 | 0.281 ** | 0.491 ** | −0.137 ** | −0.459 ** | −0.443 ** | −0.063 ** | −0.805 ** | −0.361 ** | −0.768 ** | −0.272 ** | 1 | 0.646 ** | 0.842 ** | 0.768 ** | 0.789 ** | 0.015 | 0.382 ** | 0.397 ** |
| 12 | 0.428 ** | 0.550 ** | −0.005 | −0.502 ** | −0.611 ** | −0.134 ** | −0.740 ** | −0.146 ** | −0.455 ** | −0.071 ** | 0.646 ** | 1 | 0.132 ** | 0.721 ** | 0.436 ** | −0.292 ** | 0.542 ** | 0.553 ** |
| 13 | 0.02 | 0.201 ** | −0.174 ** | −0.241 ** | −0.143 ** | 0.013 | −0.523 ** | −0.365 ** | −0.676 ** | −0.303 ** | 0.842 ** | 0.132 ** | 1 | 0.488 ** | 0.717 ** | 0.242 ** | 0.114 ** | 0.124 ** |
| 14 | 0.318 ** | 0.460 ** | 0.009 | −0.339 ** | −0.416 ** | −0.083 ** | −0.759 ** | −0.242 ** | −0.585 ** | −0.204 ** | 0.768 ** | 0.721 ** | 0.488 ** | 1 | 0.576 ** | −0.173 ** | 0.375 ** | 0.393 ** |
| 15 | 0.461 ** | 0.626 ** | −0.370 ** | −0.474 ** | −0.185 ** | −0.151 ** | −0.593 ** | −0.371 ** | −0.952 ** | −0.271 ** | 0.789 ** | 0.436 ** | 0.717 ** | 0.576 ** | 1 | −0.07 | 0.454 ** | 0.463 ** |
| 16 | −0.194 * | 0.132 | 0.449 ** | 0.939 ** | 0.554 ** | −0.028 | 0.235 ** | 0.002 | −0.021 | 0.327 ** | 0.015 | −0.292 ** | 0.242 ** | −0.173 ** | −0.07 | 1 | 0.118 * | 0.088 |
| 17 | 0.659 ** | 0.678 ** | 0.058 ** | −0.163 ** | −0.262 ** | −0.075 ** | −0.317 ** | −0.146 ** | −0.531 ** | −0.084 ** | 0.382 ** | 0.542 ** | 0.114 ** | 0.375 ** | 0.454 ** | 0.118 * | 1 | 0.985 ** |
| 18 | 0.654 ** | 0.682 ** | 0.061 ** | −0.166 ** | −0.269 ** | −0.081 ** | −0.331 ** | −0.146 ** | −0.539 ** | −0.089 ** | 0.397 ** | 0.553 ** | 0.124 ** | 0.393 ** | 0.463 ** | 0.088 | 0.985 ** | 1 |
* The correlation is significant at the 0.05 level (two-tailed). ** The correlation is significant at the 0.01 level (two-tailed). 1 The variables corresponding to the code are: 1 City%, 2 Construction, 3 Longitude, 4 Latitude, 5 Distance from coastline, 6 Orientation, 7 Altitude, 8 Slope, 9 NDVI_mean, 10 Precipitation, 11 LST_day, 12 LST_night, 13 LST_day-LST_night, 14 Night lights, 15 NDBI, 16 Rode, 17 Population, 18 GDP.
Appendix D
Table A5.
BMR nighttime light and NDBI-NDVI fitting model equation and its derivative function.
Table A5.
BMR nighttime light and NDBI-NDVI fitting model equation and its derivative function.
| Light Type | Fitting Equation | R2 | Derivative Function |
|---|---|---|---|
| DMSP 2006 | y = 3.3088x3 − 5.506x2 + 2.8547x | 0.28 | y = 0.0993x2 − 0.1111x + 0.0291 |
| DMSP 2010 | y = 2.6211x3 − 4.1094x2 + 2.0952x | 0.40 | y = 0.1035x2 − 0.1075x + 0.0269 |
| DMSP 2012 | y = 2.8769x3 − 4.8198x2 + 2.5991x | 0.34 | y = 0.0863x2 − 0.0973x + 0.0265 |
| DMSP 2018 * | y = 4.0558x3 − 6.5089x2 + 3.1723x | 0.40 | y = 0.0786x2 − 0.083x + 0.0214 |
| Black Marble 2012 | y = 4.017x3 − 6.4591x2 + 3.2651x | 0.42 | y = 0.1205x2 − 0.1304x + 0.0333 |
| VIIRS 2012 | y = 0.0094x3 − 0.0434x2 + 0.1735x − 1.0079 | 0.57 | y = 0.0003x2 − 0.0009x + 0.0017 |
| VIIRS 2018 | y = 0.0071x3 − 0.0303x2 + 0.1806x − 1.1276 | 0.56 | y = 0.0002x2 − 0.0006x + 0.0018 |
* The 2018 DMSP nighttime light data are calculated based on VIIRS data.
Appendix E
Table A6.
Summary of the models involved in Table 8.
Table A6.
Summary of the models involved in Table 8.
| Model_DMSP 2010 | Model_Black Marble 2012 | Model_VIIRS 2012 | ||||||
|---|---|---|---|---|---|---|---|---|
| −2 Log-Likehood | Cox & Snare R Square | Nagelkerke R Square | −2 Log-Likehood | Cox & Snare R Square | Nagelkerke R Square | −2 Log-Likehood | Cox & Snare R Square | Nagelkerke R Square |
| 373.369 | 0.7 | 0.97 | 3881.13 | 0.69 | 0.93 | 15,704.10 | 0.43 | 0.58 |
Table A7.
Variables of the model involved in Table 8.
Table A7.
Variables of the model involved in Table 8.
| Model | Variables | B | Standard Error | Wald | Degrees of Freedom | Sig. | Exp (B) |
|---|---|---|---|---|---|---|---|
| Model_DMSP 2010 | Explanatory variables | 24.98 | 698.51 | 0.00 | 1.00 | 0.97 | 70,459,556,607.42 |
| Constant | −3.78 | 0.16 | 543.44 | 1.00 | 0.00 | 0.02 | |
| Model_Black Marble 2012 | Explanatory variables | 24.47 | 453.30 | 0.00 | 1.00 | 0.96 | 42,291,205,654.24 |
| Constant | −3.27 | 0.05 | 4651.26 | 1.00 | 0.00 | 0.04 | |
| Model_VIIRS 2012 | Explanatory variables | 3.75 | 0.05 | 7054.12 | 1.00 | 0.00 | 42.59 |
| Constant | −2.58 | 0.04 | 4749.01 | 1.00 | 0.00 | 0.08 |
Appendix F
Table A8.
Summary of the models involved in Table 10.
Table A8.
Summary of the models involved in Table 10.
| Model_DMSP 2010 | Model_Black Marble 2012 | ||||
|---|---|---|---|---|---|
| −2 Log-Likehood | Cox & Snare R Square | Nagelkerke R Square | −2 Log-Likehood | Cox & Snare R Square | Nagelkerke R Square |
| 13,992.95 | 0.315 | 0.479 | 15,126.87 | 0.311 | 0.461 |
Table A9.
Variables of the model involved in Table 10.
Table A9.
Variables of the model involved in Table 10.
| Model | Variables | B | Standard Error | Wald | Degrees of Freedom | Sig. | Exp (B) |
|---|---|---|---|---|---|---|---|
| Model_DMSP 2010 | Explanatory variables | 3.432 | 0.044 | 5991.347 | 1 | 0 | 30.938 |
| Constant | −2.475 | 0.03 | 6798.879 | 1 | 0 | 0.084 | |
| Model_VIIRS 2012 | Explanatory variables | 3.339 | 0.043 | 5913.037 | 1 | 0 | 28.178 |
| Constant | −2.227 | 0.027 | 6766.228 | 1 | 0 | 0.108 |
References
- World Cities Report 2024: Cities and Climate Action. UN-Habitat. Available online: https://unhabitat.org/world-cities-report-2024-cities-and-climate-action (accessed on 18 March 2025).
- Roca, J.; Arellano, B.; Moix, M. Estructura urbana, policentrismo y sprawl: Los ejemplos de Madrid y Barcelona. Ciudad. Territ. Estud. Territ. 2011, XLIII, 299–321. [Google Scholar]
- Ramos, B.A.; Cladera, J.R. El urban sprawl, ¿un fenómeno de alcance planetario? Los ejemplos de México y España. ACE Arquit. Ciudad Entorno 2010, 4, 115–148. [Google Scholar] [CrossRef]
- Jat, M.K.; Garg, P.; Khare, D. Monitoring and modelling of urban sprawl using remote sensing and GIS techniques. Int. J. Appl. Earth Obs. Geoinf. 2007, 10, 26–43. [Google Scholar] [CrossRef]
- Boer, E.P.; De Beurs, K.M.; Hartkamp, A.D. Kriging and thin plate splines for mapping climate variables. Int. J. Appl. Earth Obs. Geoinf. 2001, 3, 146–154. [Google Scholar] [CrossRef]
- Sarvestani, M.S.; Ibrahim, A.L.; Kanaroglou, P. Three decades of urban growth in the city of Shiraz, Iran: A remote sensing and geographic information systems application. Cities 2011, 28, 320–329. [Google Scholar] [CrossRef]
- The Dynamics of Global Urban Expansion. Cities Alliance. 2021. Available online: https://www.citiesalliance.org/resources/publications/case-study/dynamics-global-urban-expansion (accessed on 20 March 2025).
- Seto, K.C.; Shepherd, J.M. Global urban land-use trends and climate impacts. Curr. Opin. Environ. Sustain. 2009, 1, 89–95. [Google Scholar] [CrossRef]
- Verburg, P.H.; Schot, P.P.; Dijst, M.J.; Veldkamp, A. Land use change modelling: Current practice and research priorities. GeoJournal 2004, 61, 309–324. [Google Scholar] [CrossRef]
- Zhang, X.; Ramos, B.A. Urban Sprawl and Warming—Research on the Evolution of the Urban Sprawl of Chinese Municipalities and Its Relationship with Climate Warming in the Past Three Decades. Remote Sens. Spat. Inf. Sci./Int. Arch. Photogramm. 2022, XLIII-B4-2022, 209–215. [Google Scholar] [CrossRef]
- Dong, B.; Zhang, R.; Li, S.; Ye, Y.; Huang, C. A meta-analysis for the nighttime light remote sensing data applied in urban research: Key topics, hotspot study areas and new trends. Sci. Remote Sens. 2025, 11, 100186. [Google Scholar] [CrossRef]
- Li, X.; Zhou, Y.; Zhao, M.; Zhao, X. A harmonized global nighttime light dataset 1992–2018. Sci. Data 2020, 7, 168. [Google Scholar] [CrossRef]
- Zou, Y.; Shen, J.; Chen, Y.; Zhang, B. Monitoring urban expansion (2000–2020) in Yangtze River Delta using Time-Series Nighttime Light data and MODIS NDVI. Sustainability 2023, 15, 9764. [Google Scholar] [CrossRef]
- Wu, J.; Tu, Y.; Chen, Z.; Yu, B. Analyzing the Spatially Heterogeneous Relationships between Nighttime Light Intensity and Human Activities across Chongqing, China. Remote Sens. 2022, 14, 5695. [Google Scholar] [CrossRef]
- Niu, W.; Xia, H.; Wang, R.; Pan, L.; Meng, Q.; Qin, Y.; Li, R.; Zhao, X.; Bian, X.; Zhao, W. Research on Large-Scale Urban Shrinkage and Expansion in the Yellow River affected area using night Light data. ISPRS Int. J. Geo-Inf. 2020, 10, 5. [Google Scholar] [CrossRef]
- Levin, N.; Zhang, Q. A global analysis of factors controlling VIIRS nighttime light levels from densely populated areas. Remote Sens. Environ. 2017, 190, 366–382. [Google Scholar] [CrossRef]
- Fu, B.; Xue, B. Temporal and spatial evolution analysis and correlation measurement of Urban–Rural fringes based on nighttime light data. Remote Sens. 2023, 16, 88. [Google Scholar] [CrossRef]
- Croft, T.A. Nighttime Images of the Earth from Space. Sci. Am. 1978, 239, 86–101. [Google Scholar] [CrossRef]
- Sutton, P.; Roberts, D.; Elvidge, C.; Baugh, K. Census from Heaven: An estimate of the global human population using night-time satellite imagery. Int. J. Remote Sens. 2001, 22, 3061–3076. [Google Scholar] [CrossRef]
- Arellano, B.; Roca, J. Defining urban and rural areas: A new approach. In Proceedings of the SPIE Remote Sensing Technologies and Applications in Urban Environments II, Warsaw, Poland, 11–12 September 2017. [Google Scholar] [CrossRef]
- Arellano, B.; Roca, J. The urbanization impact in China: A prospective model (1992–2025). In Proceedings of the SPIE Remote Sensing and Modeling of Ecosystems for Sustainability XV, San Diego, CA, USA, 22 August 2018. [Google Scholar] [CrossRef]
- Zhao, M.; Cheng, C.; Zhou, Y.; Li, X.; Shen, S.; Song, C. A global dataset of annual urban extents (1992–2020) from harmonized nighttime lights. Earth Syst. Sci. Data 2022, 14, 517–534. [Google Scholar] [CrossRef]
- Small, C.; Elvidge, C.D. Night on Earth: Mapping decadal changes of anthropogenic night light in Asia. Int. J. Appl. Earth Obs. Geoinf. 2012, 22, 40–52. [Google Scholar] [CrossRef]
- Zhou, Y.; Smith, S.J.; Elvidge, C.D.; Zhao, K.; Thomson, A.; Imhoff, M. A cluster-based method to map urban area from DMSP/OLS nightlights. Remote Sens. Environ. 2014, 147, 173–185. [Google Scholar] [CrossRef]
- Chen, X.; Zhang, F.; Du, Z.; Liu, R. An Unsupervised Urban Extent Extraction Method from NPP-VIIRS Nighttime Light Data. Remote Sens. 2020, 12, 3810. [Google Scholar] [CrossRef]
- Elvidge, C.D.; Tuttle, B.T.; Sutton, P.C.; Baugh, K.E.; Howard, A.T.; Milesi, C.; Bhaduri, B.; Nemani, R. Global distribution and density of constructed impervious surfaces. Sensors 2007, 7, 1962–1979. [Google Scholar] [CrossRef] [PubMed]
- Xiong, W.; Yang, J. Delineating and characterizing the Metropolitan Fringe area of Shanghai—A Spatial Morphology Perspective. Land 2023, 12, 2086. [Google Scholar] [CrossRef]
- Galí, M.; Devred, E.; Levasseur, M.; Royer, S.; Babin, M. A remote sensing algorithm for planktonic dimethylsulfoniopropionate (DMSP) and an analysis of global patterns. Remote Sens. Environ. 2015, 171, 171–184. [Google Scholar] [CrossRef]
- Gibson, J.; Boe-Gibson, G. Nighttime lights and County-Level economic activity in the United States: 2001 to 2019. Remote Sens. 2021, 13, 2741. [Google Scholar] [CrossRef]
- Catalan Economy. 2023. Available online: https://catalonia.com/w/barcelona-catalonia-s-capital-ranks-4th-as-europe-s-best-city (accessed on 15 February 2024).
- Cebollada, A.; Miralles-Guasch, C. La movilidad en la región metropolitana de Barcelona: Entre los nuevos retos y las viejas prácticas. Finisterra 2010, 45, 33–47. [Google Scholar] [CrossRef]
- Oak Ridge National Laboratory. Available online: https://landscan.ornl.gov/ (accessed on 20 February 2025).
- Pla Territorial Metropolità de Barcelona. Available online: https://territori.gencat.cat/ca/06_territori_i_urbanisme/ordenacio_del_territori/plans_territorals/plans_territorials_parcials/ptp_metropolita_de_barcelona/ (accessed on 20 February 2025).
- Zhang, X.; Ramos, B.A.; Cladera, J.R. Research on key Influencing Factors of ecological environment quality in Barcelona Metropolitan Region based on remote sensing. Remote Sens. 2024, 16, 4735. [Google Scholar] [CrossRef]
- Hanberry, B.B. Imposing consistent global definitions of urban populations with gridded population density models: Irreconcilable differences at the national scale. Landsc. Urban Plan. 2022, 226, 104493. [Google Scholar] [CrossRef]
- Xu, Z.; Roca, J.; Arellano, B. Research on the expansion of Beijing-Tianjin-Hebei China’s Capital metropolitan agglomeration based on night lighting technology. In Proceedings of the SPIE Remote Sensing Technologies and Applications in Urban Environments VIII, Amsterdam, The Netherlands, 3–7 September 2023. [Google Scholar]
- Zhang, L.; Cheng, J.; Jin, C. Spatial Interaction Modeling of OD flow data: Comparing Geographically Weighted Negative Binomial Regression (GWNBR) and OLS (GWOLSR). ISPRS Int. J. Geo-Inf. 2019, 8, 220. [Google Scholar] [CrossRef]
- Arellano, B.; Roca, J. Effects of Urban Greenery on Health. A Study from Remote Sensing. Remote Sens. Spat. Inf. Sci./Int. Arch. Photogramm. 2022, XLIII-B3-2022, 17–24. [Google Scholar] [CrossRef]
- Baker, P.J.; Ansell, R.J.; Dodds, P.A.A.; Webber, C.E.; Harris, S. Factors affecting the distribution of small mammals in an urban area. Mammal Rev. 2003, 33, 95–100. [Google Scholar] [CrossRef]
- Wang, H.; Lu, S. Spatial distribution, source identification and affecting factors of heavy metals contamination in urban–suburban soils of Lishui city, China. Environ. Earth Sci. 2011, 64, 1921–1929. [Google Scholar] [CrossRef]
- Zhang, X.; Han, H. Characteristics and factors influencing the expansion of urban construction land in China. Sci. Rep. 2024, 14, 16040. [Google Scholar] [CrossRef] [PubMed]
- Wang, Y.; Yi, G.; Zhou, X.; Zhang, T.; Bie, X.; Li, J.; Ji, B. Spatial distribution and influencing factors on urban land surface temperature of twelve megacities in China from 2000 to 2017. Ecol. Indic. 2021, 125, 107533. [Google Scholar] [CrossRef]
- Li, C.; Li, G.; Tao, G.; Zhu, Y.; Wu, Y.; Li, X.; Liu, J. DMSP/OLS night-time light intensity as an innovative indicator of regional sustainable development. Int. J. Remote Sens. 2018, 40, 1594–1613. [Google Scholar] [CrossRef]
- Kii, M.; Matsumoto, K.; Sugita, S. Future Scenarios of Urban Nighttime Lights: A method for global cities and its application to urban expansion and carbon emission estimation. Remote Sens. 2024, 16, 1018. [Google Scholar] [CrossRef]
- Zheng, M.; Huang, W.; Xu, G.; Li, X.; Jiao, L. Spatial gradients of urban land density and nighttime light intensity in 30 global megacities. Humanit. Soc. Sci. Commun. 2023, 10, 404. [Google Scholar] [CrossRef]
- Wei, Y.; Liu, H.; Song, W.; Yu, B.; Xiu, C. Normalization of time Series DMSP-OLS Nighttime Light Images for Urban Growth Analysis with Pseudo Invariant Features. Landsc. Urban Plan. 2014, 128, 1–13. [Google Scholar] [CrossRef]
- Wei, S.; Jiao, W.; Long, T.; Liu, H.; Bi, L.; Jiang, W.; Portnov, B.A.; Liu, M. A relative radiation normalization method of ISS nighttime light images based on pseudo invariant features. Remote Sens. 2020, 12, 3349. [Google Scholar] [CrossRef]
- Huang, X.; Shi, K.; Cui, Y.; Li, Y. A Saturated Light correction method for DMSP-OLS nighttime stable light data by remote and social sensing data. IEEE J. Sel. Top. Appl. Earth Obs. Remote Sens. 2021, 14, 1885–1894. [Google Scholar] [CrossRef]
- Kii, M.; Matsumoto, K. Detecting Urban Sprawl through Nighttime Light Changes. Sustainability 2023, 15, 16506. [Google Scholar] [CrossRef]
- Bagan, H.; Borjigin, H.; Yamagata, Y. Assessing nighttime lights for mapping the urban areas of 50 cities across the globe. Environ. Plan. B Urban Anal. City Sci. 2018, 46, 1097–1114. [Google Scholar] [CrossRef]
- CORINE Land Cover 2018 (Vector/Raster 100 m), Europe, 6-Yearly. Available online: https://land.copernicus.eu/en/products/corine-land-cover/clc2018 (accessed on 15 February 2025).
- Bun, M.J.G.; Harrison, T.D. OLS and IV estimation of regression models including endogenous interaction terms. Econom. Rev. 2018, 38, 814–827. [Google Scholar] [CrossRef]
- Lu, Y.; Yu, Z.; Albertson, J.D.; Chen, H.; Hu, L.; Pendergrass, A.; Chen, X.; Li, Q. Understanding the influence of urban form on the spatial pattern of precipitation. Earth’s Future 2024, 12, e2023EF003846. [Google Scholar] [CrossRef]
- Zhang, Y.; Pang, X.; Xia, J.; Shao, Q.; Yu, E.; Zhao, T.; She, D.; Sun, J.; Yu, J.; Pan, X.; et al. Regional patterns of extreme precipitation and urban signatures in metropolitan areas. J. Geophys. Res. Atmos. 2018, 124, 641–663. [Google Scholar] [CrossRef]
- Ding, L.; Xiao, X.; Wang, H. Temporal and spatial variations of urban surface temperature and correlation study of influencing factors. Sci. Rep. 2025, 15, 914. [Google Scholar] [CrossRef]
- He, X.; Gao, W.; Wang, R. Effect of urban structure on land surface temperature around elementary schools in Hangzhou based on local climate zones. Sustain. Cities Soc. 2024, 114, 105724. [Google Scholar] [CrossRef]
- Zhang, X.; Arellano, B.; Roca, J. Study on factors influencing forest distribution in Barcelona Metropolitan Region. Sustainability 2024, 16, 5449. [Google Scholar] [CrossRef]
- Arellano, B.; Roca, J. The Extraction of Urbanized Areas Through Images of High Resolution Nighttime Lights. Remote Sens. Spat. Inf. Sci. /Int. Arch. Photogramm. 2020, XLIII-B3-2020, 649–655. [Google Scholar] [CrossRef]
- Arellano, B.; Roca, J. Nighttime imagery: Can Zipf’s Law identify urban systems? In Proceedings of the SPIE Earth Observing Systems XXVIII, San Diego, CA, USA, 22–24 August 2023.
- Coesfeld, J.; Anderson, S.J.; Baugh, K.; Elvidge, C.D.; Schernthanner, H.; Kyba, C.C.M. Variation of Individual Location Radiance in VIIRS DNB Monthly Composite Images. Remote Sens. 2018, 10, 1964. [Google Scholar] [CrossRef]
- Zheng, Y.; He, Y.; Zhou, Q.; Wang, H. Quantitative Evaluation of Urban Expansion using NPP-VIIRS Nighttime Light and Landsat Spectral Data. Sustain. Cities Soc. 2021, 76, 103338. [Google Scholar] [CrossRef]
- Hao, M.; Liu, X.; Li, X. Quantifying heat-related risks from urban heat island effects: A global urban expansion perspective. Int. J. Appl. Earth Obs. Geoinf. 2024, 136, 104344. [Google Scholar] [CrossRef]
- Alexander, D.L.J.; Tropsha, A.; Winkler, D.A. Beware of R2: Simple, Unambiguous Assessment of the Prediction Accuracy of QSAR and QSPR Models. J. Chem. Inf. Model. 2015, 55, 1316–1322. [Google Scholar] [CrossRef] [PubMed]
- Li, X.; Zhou, Y. A Stepwise Calibration of Global DMSP/OLS Stable Nighttime Light Data (1992–2013). Remote Sens. 2017, 9, 637. [Google Scholar] [CrossRef]
- Zhang, Q.; Pandey, B.; Seto, K.C. A robust method to generate a consistent time series from DMSP/OLS nighttime light data. IEEE Trans. Geosci. Remote Sens. 2016, 54, 5821–5831. [Google Scholar] [CrossRef]
- Tziokas, N.; Zhang, C.; Drolias, G.C.; Atkinson, P.M. Downscaling satellite night-time lights imagery to support within-city applications using a spatially non-stationary model. Int. J. Appl. Earth Obs. Geoinf. 2023, 122, 103395. [Google Scholar] [CrossRef]
- Zheng, Q.; Seto, K.C.; Zhou, Y.; You, S.; Weng, Q. Nighttime light remote sensing for urban applications: Progress, challenges, and prospects. ISPRS J. Photogramm. Remote Sens. 2023, 202, 125–141. [Google Scholar] [CrossRef]
- Ouattara, B.; Thiel, M.; Sponholz, B.; Paeth, H.; Yebra, M.; Mouillot, F.; Kacic, P.; Hackman, K. Enhancing Burned Area Monitoring with VIIRS dataset: A Case Study in Sub-Saharan Africa. Sci. Remote Sens. 2024, 10, 100165. [Google Scholar] [CrossRef]
- Zheng, Q.; Weng, Q.; Wang, K. Developing a new cross-sensor calibration model for DMSP-OLS and Suomi-NPP VIIRS night-light imageries. ISPRS J. Photogramm. Remote Sens. 2019, 153, 36–47. [Google Scholar] [CrossRef]
- Wu, K.; Wang, X. Aligning Pixel Values of DMSP and VIIRS Nighttime Light Images to Evaluate Urban Dynamics. Remote Sens. 2019, 11, 1463. [Google Scholar] [CrossRef]
- Zhu, J.; Lang, Z.; Wang, S.; Zhu, M.; Na, J.; Zheng, J. Using Dual Spatial Clustering Models for Urban Fringe Areas Extraction Based on Night-time Light Data: Comparison of NPP/VIIRS, Luojia 1-01, and NASA’s Black Marble. ISPRS Int. J. Geo-Inf. 2023, 12, 408. [Google Scholar] [CrossRef]
- Li, X.; Song, Y.; Liu, H.; Hou, X. Extraction of Urban Built-Up Areas Using Nighttime Light (NTL) and Multi-Source Data: A Case Study in Dalian City, China. Land 2023, 12, 495. [Google Scholar] [CrossRef]
- Peng, J.; Jia, J.; Liu, Y.; Li, H.; Wu, J. Seasonal contrast of the dominant factors for spatial distribution of land surface temperature in urban areas. Remote Sens. Environ. 2018, 215, 255–267. [Google Scholar] [CrossRef]
- Wang, Q.; Wang, H.; Ren, L.; Chen, J.; Wang, X. Hourly impact of urban features on the spatial distribution of land surface temperature: A study across 30 cities. Sustain. Cities Soc. 2024, 113, 105701. [Google Scholar] [CrossRef]
- Zhang, C.; Wang, Z.; Wang, Q.; Yang, C. Interaction of population density and slope will exacerbate spatiotemporal changes in land use and landscape patterns in mountain city. Sci. Rep. 2025, 15, 3168. [Google Scholar] [CrossRef] [PubMed]
- Takebayashi, H.; Tanaka, T.; Moriyama, M.; Watanabe, H.; Miyazaki, H.; Kittaka, K. Relationship between City Size, Coastal Land Use, and Summer Daytime Air Temperature Rise with Distance from Coast. Climate 2018, 6, 84. [Google Scholar] [CrossRef]
- Mote, T.L.; Lacke, M.C.; Shepherd, J.M. Radar signatures of the urban effect on precipitation distribution: A case study for Atlanta, Georgia. Geophys. Res. Lett. 2007, 34, L20710. [Google Scholar] [CrossRef]
- Xiong, J.; Yang, Y.; Yang, L.; Yang, D. Asymmetric shifts in precipitation due to urbanization across global cities. Nat. Commun. 2025, 16, 5802. [Google Scholar] [CrossRef]
- Henson, S.A.; Beaulieu, C.; Lampitt, R. Observing climate change trends in ocean biogeochemistry: When and where. Glob. Change Biol. 2016, 22, 1561–1571. [Google Scholar] [CrossRef]
Disclaimer/Publisher’s Note: The statements, opinions and data contained in all publications are solely those of the individual author(s) and contributor(s) and not of MDPI and/or the editor(s). MDPI and/or the editor(s) disclaim responsibility for any injury to people or property resulting from any ideas, methods, instructions or products referred to in the content. |
© 2025 by the authors. Licensee MDPI, Basel, Switzerland. This article is an open access article distributed under the terms and conditions of the Creative Commons Attribution (CC BY) license (https://creativecommons.org/licenses/by/4.0/).










