Highlights
What are the main findings?
- East Asian cities exhibit a significant inverse relationship where nighttime artificial light (NTL) radiance decreases as aerosol optical depth (AOD) increases.
- The strength and nature of this NTL-AOD dependency vary considerably across cities, influenced by diverse urban development levels and regional atmospheric aerosol characteristics.
What is the implication of the main finding?
- Accurate urban socio-economic monitoring using NTL data requires rigorous atmospheric correction to account for pronounced atmospheric effects from aerosols.
- Region-specific atmospheric correction models are essential for the reliable interpretation of NTL as an urbanization proxy.
Abstract
The Visible Infrared Imaging Radiometer Suite (VIIRS) Day/Night Band (DNB) provides invaluable nighttime light (NTL) radiance data, widely employed for diverse applications including urban and socioeconomic studies. However, the inherent reliability of NTL data as a proxy for socioeconomic activities is significantly compromised by atmospheric conditions, particularly aerosols. This study analyzed the long-term spatiotemporal variations in NTL radiance with respect to atmospheric aerosol optical depth (AOD) in nine major Asian cities from January 2012 to May 2021. Our findings reveal a complex and heterogeneous interplay between NTL radiance and AOD, fundamentally influenced by a region’s unique atmospheric characteristics and developmental stages. While major East Asian cities (e.g., Beijing, Tokyo, Seoul) exhibited a statistically significant inverse correlation, indicating aerosol-induced NTL suppression, other regions showed different patterns. For instance, the rapidly urbanizing city of Dhaka displayed a statistically significant positive correlation, suggesting a concurrent increase in NTL and AOD due to intensified urban activities. This highlights that the NTL-AOD relationship is not solely a physical phenomenon but is also shaped by independent socioeconomic processes. These results underscore the critical importance of comprehensively understanding these regional discrepancies for the reliable interpretation and effective reconstruction of NTL radiance data. By providing nuanced insights into how atmospheric aerosols influence NTL measurements in diverse urban settings, this research aims to enhance the utility and robustness of satellite-derived NTL data for effective socioeconomic analyses.
1. Introduction
Artificial satellites have measured nighttime artificial light (NTL) since the early 1960s, initially for military use. Over time, sensor technology advanced significantly with the introduction of NASA and NOAA’s Suomi NPP VIIRS Day/Night Band (DNB) sensor, offering higher spatial resolution (~750 m to 1 km) and the ability to detect extremely low light levels [1,2,3,4]. Despite these technological improvements, atmospheric conditions such as clouds [5], dust, and aerosols [6] can alter the NTL signals before they reach satellites [7], affecting measurement accuracy [8]. Understanding these light–atmosphere interactions is crucial for confidently using NTL data as proxies for socioeconomic and environmental analyses [9,10].
Among atmospheric constituents, aerosol optical depth (AOD) is a crucial parameter indicating the overall attenuation of light due to aerosols. Extensive research has confirmed AOD’s significant influence on satellite-observed NTL [11,12,13,14]. Early studies by Sciezor [15] and Cavazzani [16] explicitly demonstrated that atmospheric particulate matter profoundly affects NTL observations. More recent quantitative assessments have further refined this understanding, analyzing how aerosols impact illumination signals and reporting their effects [17,18,19]. Crucially, the interaction between light and aerosols involves not only absorption but also scattering, which generates diffuse light [20]. This diffuse light component, a direct product of aerosol scattering, significantly contributes to the total NTL detected by satellites. While diffuse light analysis offers critical insights into the physical mechanisms of aerosol interaction, it is the total NTL radiance signal, encompassing both direct and diffuse components, that is predominantly utilized by the broader scientific community for socioeconomic and urban studies. Therefore, understanding the atmospheric influence on this aggregate signal is paramount for its reliable application. Furthermore, AOD exhibits strong temporal and spectral dependence [21,22,23], and the microphysical properties of aerosol particles (e.g., particle size distribution, chemical composition) can profoundly influence light interaction. While studies like Wang et al. [24] have assessed NTL-AOD relationships in specific cities (e.g., four Chinese cities) and Ayudyanti and Hidayati [25] explored this link in regions like Java and Bali, it is also important to acknowledge that the relationship between NTL and AOD can be compounded by independent factors. For example, Liu et al. [26], in their comprehensive analysis of nighttime lights in Hong Kong, demonstrated how NTL fluctuations are significantly influenced by a combination of urban development, economic activities, and societal changes. Physically, this is manifested through changes in the density and spatial extent of illuminated infrastructure—such as the creation of notably bright public transportation facilities (e.g., port facilities and airports) and significant NTL increases associated with large-scale development projects (e.g., Hong Kong–Zhuhai–Macau Bridge and airport expansions)—and alterations in the intensity and duration of commercial and industrial lighting. Furthermore, temporal and geographical patterns of light usage by communities and individuals are shaped by societal shifts and transient events (e.g., wildfires). Crucially, Liu et al. [26] also highlight that NTL observations are directly impacted by atmospheric physical mechanisms: they demonstrated how atmospheric conditions, particularly humidity, modulate NTL signals via scattering processes. Their findings indicated that higher relative humidity can lead to stronger diffuse light, a phenomenon explainable using Mie theory, which in turn influences the observed NTL brightness and its distribution. These various factors collectively affect the quantity of photons emitted from or scattered within the atmosphere, making them detectable by remote sensors. Such findings collectively underscore that urban growth and environmental policies can independently drive changes in both NTL emissions (due to increased activity) and AOD levels (due to pollution control or industrial activity), making their direct correlation complex [27].
Despite these valuable efforts, a comprehensive understanding of the NTL-AOD relationship across diverse global urban contexts remains challenging. Existing studies often suffer from limitations, such as restricted spatial coverage (e.g., focusing on only a few cities or countries) and limited temporal resolution or duration [28,29,30,31]. Further complicating the accurate interpretation of NTL data are inherent challenges [32,33] in the VIIRS/DNB products themselves, including significant seasonal variations [34] due to vegetation and snow cover, and fluctuating sources of light such as gas flaring [35], which can emit unexpectedly high levels of light independent of urban development. More critically, previous analyses have not systematically differentiated the purely physical attenuation of NTL by aerosols from the independent socio-economic processes that simultaneously affect both NTL intensity and AOD levels. Furthermore, the varying contributions and behavior of diffuse light components in different atmospheric and urban contexts warrant further investigation across a wider range of cities. Consequently, there is a clear need for a systematic, long-term spatiotemporal analysis of the NTL-AOD relationship in diverse urban environments, contextualizing these relationships within their unique developmental and climatic characteristics, to provide foundational knowledge for robust NTL data utilization.
To address these critical gaps, this study investigates the temporal and spatial distribution patterns of NTL and AOD across nine major Asian cities (with populations over 1,000,000: Beijing, Tokyo, Seoul, Taipei, Dhaka, New Delhi, Phnom Penh, Manila, and Bangkok) using monthly data from January 2012 to May 2021. This research aims to: (1) comprehensively analyze the variability and direction of NTL-AOD relationships under distinct urbanization, climatic, and geographical conditions; (2) quantify the sensitivity of NTL radiance to varying AOD levels; and (3) understand these relationships within the context of urban development stages and inherent atmospheric characteristics. By providing a nuanced understanding of aerosol influence on NTL measurements in diverse urban settings, this study seeks to enhance the reliability and accuracy of satellite-derived NTL data for improved socioeconomic analyses and other applications.
2. Materials and Methods
2.1. Study Area and Analysis Period
The urban areas selected for this study are cities in East, South, and Southeast Asia. Each selected city has a population exceeding 1 million. Nine cities were investigated: four in East Asia (Beijing, Tokyo, Seoul and Taipei), two in South Asia (Dhaka and New Delhi), and three in Southeast Asia (Phnom Penh, Manila, and Bangkok). The location of these cities is depicted in Table 1 and Figure 1.
Table 1.
Geographical location and population information for cities investigated in East Asia, South Asia, and Southeast Asia. Population data were obtained from the 2024 international statistical services of the Korean Statistical Information Service (KOSIS).
Figure 1.
The areas analyzed in this study, including four cities in East Asia, two cities in South Asia, and three in Southeast Asia, along with the monthly accumulated VIIRS DNB NTL values for January 2018.
To extract urban boundary areas, we utilized the Global Administrative Areas (GADM, http://gadm.org/, (accessed on 2 September 2025)) database, which provides worldwide administrative boundary information. By querying the attribute table, we identified the city or administrative level for each respective country and subsequently filtered the data to obtain boundary files in shapefile format. Combining these shapefiles with other satellite data facilitates the analysis of specific regions and provides the spatial context of the data.
The study period spanned from January 2012 to May 2021. This long-term dataset was examined to minimize the impact of temporary fluctuations or various external factors such as significant economic shifts, major environmental policy changes, large-scale urban development projects, or unforeseen socio-political events and natural disasters. Continuous data collection over this extended period not only increased the sample size, thereby enhancing statistical significance, but also smoothed data fluctuations, leading to more reliable insights into the underlying relationships.
2.2. VIIRS Data
A Day/Night Band (DNB) sensor of the Visible Infrared Imaging Radiometer Suite (VIIRS) onboard the Suomi National Polar-orbiting Partnership (S-NPP) satellite measures visible and near-infrared light at night, with acquisitions typically occurring around 01:30 local time. The VIIRS DNB provides monitoring data on the size and characteristics of artificial light sources at night [36].
The Earth Observation Group of the National Geophysical Data Center (NGDC) under the National Oceanic and Atmospheric Administration (NOAA) in the United States (https://eogdata.mines.edu/products/vnl/, (accessed on 2 September 2025)) recognizes the importance of time series records of artificial light intensity in Earth system science, providing monthly global NTL composite data obtained using the VIIRS DNB sensor [37]. Each monthly tarball contains two files: the average DNB radiance and average number of cloud-free (NCF) observations. The “vcmcfg” version of the data provides a grid resolution of 15 arc-seconds (approximately 500 m) and outputs radiance values in nW/cm2/sr. These data are provided in a tiled format. For the analysis of the Asian region, which is the focus of this study, we used the Tile3 (60E75N) data from the VIIRS/DNB sensor data record (SVDNB).
2.3. MODIS Aerosol Products
The Moderate Resolution Imaging Spectroradiometer (MODIS) sensor on the Terra/Aqua satellites has 36 spectral bands in the visible and near-infrared range of 0.4 to 14 µm [38]. Terra MODIS acquires data in the morning around 10:30 local time, while Aqua MODIS makes its observations in the afternoon around 13:30 local time. Furthermore, it was determined that AOD products, which provide high temporal and spatial resolution as well as excellent accuracy, are suitable for characterizing the atmospheric conditions of the regions of interest.
The MAIAC AOD (MCD19A2) data are a gridded land AOD level 2 product based on the new and advanced Multiple-Angle Implementation of Atmospheric Correction (MAIAC) algorithm. In this study, we selected the AOD product MCD19A2 which has an improved ability to retrieve aerosol data, leading to more accurate long-term records [39]. This Terra/Aqua combined product [40] features a spatial and temporal resolution of 1 km. The dataset was downloaded from the official NASA website (https://ladsweb.modaps.eosdis.nasa.gov/missions-and-measurements/products/MCD19A2, (accessed on 2 September 2025)).
2.4. Data Pre- Processing
The VIIRS DNB and MODIS data utilized in this study have different spatial resolutions (VIIRS: 750 m; MODIS: 1 km). A detailed comparison of the parameters for these VIIRS and MODIS datasets is provided in Table 2. This resolution discrepancy can pose challenges when comparing the two datasets or evaluating their quantitative relationships. Therefore, a resampling process was essential to match the data to a consistent spatial resolution. In this study, MODIS data were upsampled to match the resolution of the VIIRS DNB data. This preprocessing step ensured that a dataset with a uniform resolution and coordinate system was obtained, thereby resolving spatial discrepancies and facilitating subsequent analyses.
Table 2.
Comparison of the parameters of the VIIRS and MODIS data.
Once the resampled data were prepared through preprocessing, we proceeded to extract values for specific regions of interest. The GADM data were loaded, and the shapefiles were read using the Geopandas library. By filtering the data based on pre-surveyed country and city codes, we calculated the statistics for pixels within the specified urban areas using the raw data.
After extracting statistical values for each dataset related to the target cities, a procedure to improve data quality was necessary. Missing values in datasets can negatively affect quantitative evaluations. Since the raw data consisted of monthly average datasets and had a low missing value ratio, we opted to delete records with missing values. Subsequently, only integrated datasets where both satellite data were present without any missing values were selected for analysis.
2.5. Statistical Analysis
Based on the integrated dataset, we performed statistical analyses to identify trends and variations, including time-series characteristics, for each target region.
The quantitative relationship between the VIIRS DNB NTL radiance and MODIS AOD data was analyzed using correlation and linear regression analyses. Pearson’s correlation coefficient was used to evaluate the strength and direction of the linear relationship, ranging from −1 (negative) to 1 (positive).
To precisely model this relationship, a linear regression (LR) model was developed. Specifically, monthly average NTL radiance was set as the dependent variable (), and monthly average AOD was designated as the independent variable (). The model was expressed as follows:
Here, represents the artificial nighttime radiance received by the DNB sensor, and is the AOD value derived from MODIS data. The coefficient denotes the slope, which indicates the sensitivity of NTL radiance to AOD in a specific area, thereby allowing inference of the strength and direction of their relationship. The intercept serves as a baseline for NTL radiance in a specific area, representing the brightness of artificial light when AOD is absent. This model not only allows for the prediction of NTL values for any given AOD but also quantifies the extent to which NTL changes when AOD increases by 0.1 units, enabling a robust inference of artificial nighttime light intensity changes based on specific atmospheric conditions.
Additionally, we analyzed the impact of atmospheric aerosol concentration on VIIRS DNB NTL radiance measurements. For each city, the entire range of AOD variations during the study period was sorted in ascending order and classified into five percentile-based levels (0–20%, 20–40%, 40–60%, 60–80%, and 80–100%). For each AOD level, the average and related statistical values of NTL radiance were calculated. These statistical data were visualized using box plots and composite maps, providing an intuitive understanding of the relationship between MODIS AOD and NTL radiance.
3. Results
3.1. Temporal Dynamics of AOD and NTL Radiance
3.1.1. Monthly Time-Series Analysis
Long-term time-series analysis revealed the temporal evolution of NTL radiance and AOD, identifying key trends and consistent patterns. Figure 2 presents these long-term trends for representative cities across East Asia (Beijing, Tokyo, and Seoul), South Asia (Dhaka and New Delhi), and Southeast Asia (Phnom Penh, Manila, and Bangkok).

Figure 2.
Time-series of aerosol optical depth (AOD) and nighttime light (NTL) distribution characteristics of (a) Beijing, (b) Tokyo, (c) Seoul, (d) Taipei, (e) Dhaka, (f) New Delhi, (g) Phnom Penh, (h) Manila, and (i) Bangkok from January 2012 to May 2022.
Beijing’s AOD showed a gradual decreasing trend before 2019. However, the implementation of COVID-19 containment measures starting in early 2020 likely accelerated this decline, as indicated by various studies reporting significant reductions in anthropogenic emissions during lockdown periods. This rapid improvement in air quality coincided with a clearer and more distinct seasonal oscillation in Beijing’s nighttime light (NTL) radiance. Before 2019, the regular annual oscillation of NTL radiance was very weak during high AOD periods; following the improved air quality, the NTL signal exhibited enhanced seasonal variability. This finding suggests that high aerosol concentrations effectively attenuate the nighttime lighting signal, thereby masking its inherent seasonal patterns. Furthermore, Beijing’s NTL radiance displayed the most prominent long-term increasing trend compared to Tokyo and Seoul, reflecting the city’s active development, expansion, and increased energy consumption.
Tokyo consistently maintained relatively low AOD levels, indicating generally low air pollution. This low aerosol concentration allowed for a distinct, inherent seasonal variability of NTL radiance, implying the NTL signal was less affected by AOD variations. Seoul’s AOD time series paralleled Beijing’s, showing relatively high values before 2019, followed by a decreasing and stabilizing trend from 2019 onwards, reflecting improved air quality. Concurrently, the negative correlation between AOD and NTL radiance became more clearly observable in Seoul.
In the South Asian region, Dhaka uniquely displayed increasing trends in both AOD and NTL radiance, resulting in a positive correlation between the two factors. Regarding New Delhi, a notable observation was the reduction in the amplitude of NTL radiance’s annual oscillation after 2016. Across the Southeast Asian cities of Phnom Penh, Manila, and Bangkok, an increasing NTL radiance trend was found. In contrast, AOD in these Southeast Asian cities either remained relatively stable or, in the case of Bangkok, even exhibited a decreasing pattern.
To provide an overview for intercity comparison, we computed the average NTL radiance and AOD values for the selected Asian cities throughout the study period (Table 3). This analysis aimed to compare the relative differences across various cities, enhancing our understanding of each urban area’s overall characteristics.
Table 3.
Average values of AOD and NTL for selected cities (January 2012~May 2021).
The average NTL radiance measured using the VIIRS DNB sensor was generally higher in the East Asian regions with high levels of urbanization. Average values for the Seoul, Tokyo, and Taipei regions were 45.78, 45.33, and 39.75 nW/cm2/sr, respectively, significantly higher than Dhaka (0.76 nW/cm2/sr) and Phnom Penh (6.94 nW/cm2/sr).
Conversely, average AOD values were significantly higher in South Asia. New Delhi and Dhaka in South Asia showed average MODIS AOD values of 0.68 and 0.59, respectively, indicating severe air pollution. Beijing, Tokyo, Seoul, and Taipei had average AOD values of 0.42, 0.20, 0.31 and 0.33, respectively. Manila recorded the lowest average AOD among the comparison groups, at 0.18.
3.1.2. Seasonal Time-Series Characteristics
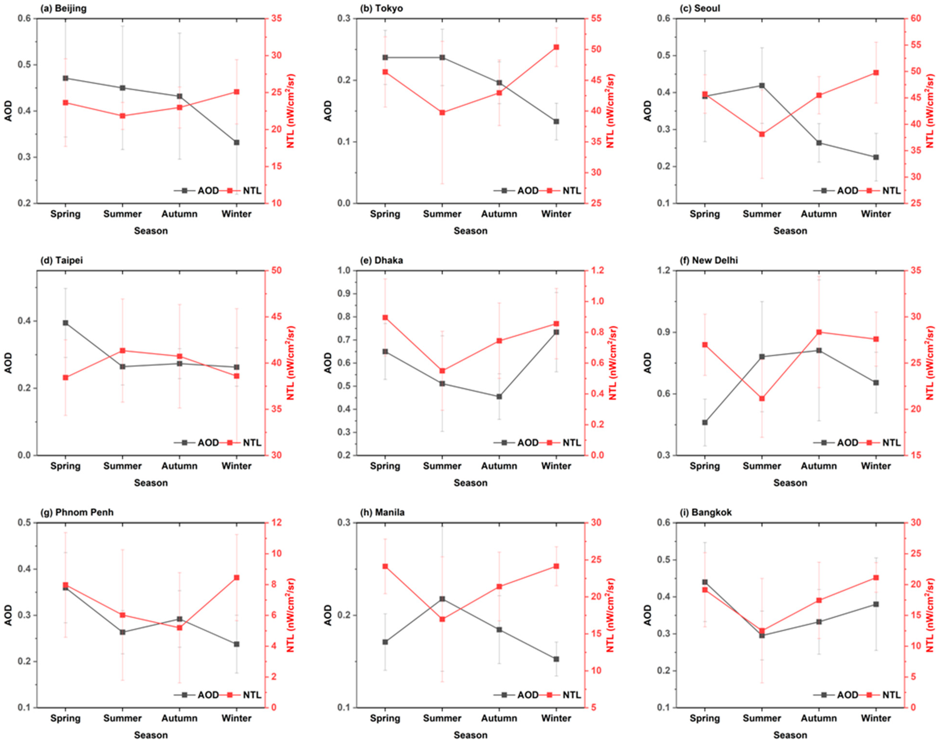
Analysis of the time-series data for each city revealed key seasonal patterns in both NTL radiance and AOD and their potential interrelationships. As shown in Figure 3, the predominant pattern in NTL radiance is an annual oscillation, featuring higher average radiance during the winter months (December, January, and February) and a decreasing tendency during the summer months (June, July, and August). This seasonal variation was clearly observed in Seoul, Tokyo, Beijing, Bangkok, Manila, and Phnom Penh, with the exception of Taipei. In South Asia, the lowest NTL radiance during summer was consistent; however, Dhaka experienced its highest NTL radiance in spring (March, April, and May), whereas New Delhi’s peak occurred in fall (September, October, and November).
Figure 3.
Seasonal AOD and NTL distribution characteristics of (a) Beijing, (b) Tokyo, (c) Seoul, (d) Taipei, (e) Dhaka, (f) New Delhi, (g) Phnom Penh, (h) Manila, and (i) Bangkok across four seasons: spring (March–May), summer (June–August), autumn (September–November), and winter (December–February of the following year).
Specifically, winter NTL radiance values were higher than summer values for most cities. For Seoul, Tokyo, Beijing, Bangkok, Manila, and Phnom Penh, winter values ranged from 8.46 to 50.37 nW/cm2/sr, while summer values ranged from 0.54 to 39.76 nW/cm2/sr. This magnitude of change indicates a variation of approximately 33.4% based on the winter NTL radiance values, which exceeds typical measurement and correction uncertainties.
These NTL oscillations appear to be related to seasonal variations in AOD [41,42]. Seasonal analysis of MODIS AOD values revealed that AOD in Seoul, Tokyo, Beijing, Manila, and Phnom Penh peaked in spring (March, April, and May) and summer (June, July, and August), with the lowest values occurring in winter. For these cities, winter MODIS AOD values (ranging from 0.13 to 0.33) were consistently lower than summer values (ranging from 0.22 to 0.45). Bangkok’s AOD, however, deviated from this pattern, peaking in spring at 0.44 but dropping to its lowest value of 0.30 in summer.
In the South Asian region, Dhaka and New Delhi exhibited higher AOD values throughout the year compared to other regions. In particular, Dhaka recorded its highest AOD value (0.73) in winter, whereas its lowest AOD value (0.46) was observed in autumn. For New Delhi, the maximum AOD (0.81) occurred in autumn; and contrary to the general trend in other regions, its AOD tended to decrease to a minimum (0.46) in spring.
3.2. Correlation Between AOD and NTL Radiances
A scatter plot was created to analyze the correlation between monthly average NTL radiance and atmospheric conditions. AOD was set as the independent variable, and monthly average NTL radiance as the dependent variable. Figure 4 presents the scatter plots illustrating the AOD-NTL radiance relationship for each study city, while corresponding statistical values from the regression analysis are summarized in Table 4.
Figure 4.
Results of the AOD sensitivity analysis of NTL measurement values in (a) Beijing, (b) Tokyo, (c) Seoul, (d) Taipei, (e) Dhaka, (f) New Delhi, (g) Phnom Penh, (h) Manila, and (i) Bangkok.
Table 4.
Linear fitting coefficients (slope and intercept) for the relationship between AOD and NTL radiance across selected major Asian cities.
In most regions of East Asia, a clear inverse correlation was found between increasing AOD and decreasing NTL radiance. For instance, Beijing, Tokyo, and Seoul exhibited linear model slopes of −14.92, −44.58, and −26.32, respectively. These relationships were statistically highly significant (p-values < 0.05), unequivocally demonstrating that atmospheric aerosol concentration negatively affects NTL radiance measurements in these major East Asian cities.
While the linear regression model for Manila in Southeast Asia also showed a notable negative slope of approximately −29.51, the observed dependency of NTL radiance on AOD in this region requires cautious interpretation due to a low R of −0.254, when contrasted with major East Asian cities.
Conversely, for other cities, including Taipei, Phnom Penh and New Delhi, negative correlations were observed with slopes of −6.75, −4.04, and −1.21, respectively. However, these relationships were not statistically significant (p-values > 0.05, specifically 0.365, and 0.479). Furthermore, a contrasting positive correlation was observed in Bangkok (slope: 5.93) and Dhaka (slope: 0.63), where NTL radiance increased as AOD increased. While the positive relationship in Bangkok was not statistically significant (p-value: 0.290), the positive correlation observed in Dhaka was found to be statistically significant. This indicates that in most of these specific regions, the observed changes in monthly average NTL radiance with increasing atmospheric aerosol concentration were not statistically robust, with Dhaka being a notable exception exhibiting a statistically significant positive correlation.
Consequently, Beijing, Tokyo, and Seoul, characterized by pronounced and statistically highly significant negative correlations between AOD and NTL radiance, were identified as compelling candidates for an in-depth analysis of NTL radiance variations in response to AOD changes.
3.3. Influence of AOD Levels on NTL Radiance
From a total of nine Asian cities, Beijing, Tokyo, and Seoul were selected due to their relatively strong negative correlation and statistical significance. As shown in Figure 5, to illustrate the effect of AOD on NTL radiance, we processed an integrated database of monthly average AOD and NTL values. The integrated dataset was sorted by AOD values in ascending order, and AOD pollution levels were then categorized into five intervals: Level-1 (0–20%), Level-2 (20–40%), Level-3 (40–60%), Level-4 (60–80%), and Level-5 (80–100%). Air pollution levels for individual datasets were assigned based on the interval to which their AOD values belonged, facilitating precise categorization of NTL changes relative to AOD pollution.
Figure 5.
Box plots of the NTL radiance against the graded air pollution level for (a) Beijing, (b) Tokyo, and (c) Seoul. For each level, the following descriptive statistics are shown: minimum, 25th quartile, median, mean, and 75th quartile with the limits (end of the “whiskers”) beyond which the values are considered anomalous, denoted by black star-shaped markers. The mean is displayed with a black dot and a black line (in the middle of the box) corresponds to the median.
Beijing consistently exhibited higher average AOD levels compared to Seoul or Tokyo. For Level-1 (relatively good air quality), the average AOD was 0.25, increasing to 0.33 (Level-2), 0.40 (Level-3), 0.48 (Level-4), and 0.62 (Level-5). Correspondingly, the average NTL radiance at Level-1, which was 26.76 nW/cm2/sr, gradually decreased across AOD levels to 24.66, 25.36, 22.01, and 20.62 nW/cm2/sr.
In Tokyo, out of 112 valid data points, 22 were classified into Levels 1–4 each, and 24 into Level-5. Average AOD values for Levels 1–5 were 0.12, 0.16, 0.20, 0.23, and 0.28, respectively, showing a less significant range of change compared to Seoul. The corresponding average NTL radiance values were 51.13, 46.09, 44.84, 40.61, and 44.11 nW/cm2/sr, respectively, indicating a total decrease of 7.03 nW/cm2/sr.
In the case of Seoul, out of 105 valid data points, 21 were equally classified into each of the five AOD levels (Level-1: relatively clean to Level-5: severely polluted). Analysis showed that average AOD values increased from 0.19 (Level-1) to 0.23 (Level-2), 0.28 (Level-3), 0.34 (Level-4), and 0.49 (Level-5). In contrast, the average NTL radiance values for these levels decreased to 48.34, 49.32, 45.83, 44.25, and 41.17 nW/cm2/sr. This significant trend reveals that as AOD increased by 0.31 in Seoul, NTL radiance decreased by 7.17 nW/cm2/sr.
Figure 6 presents composite maps of NTL radiance for five distinct AOD levels. For Beijing, high NTL radiance was predominantly observed in the central districts of Dongcheng and Xicheng. As AOD levels increased, a noticeable attenuation of NTL radiance was evident, affecting not only these central areas but also the northern and northwestern regions of Beijing. In Tokyo, strong NTL radiance was concentrated around Taito-ku, Chuo-ku, Chiyoda-ku, Minato-ku, and Shibuya-ku. With increasing AOD levels, a reduction in both intensity and spatial extent of these high NTL radiance areas was observed. For Seoul, localized strong NTL radiance was observed, particularly in Jongno-gu and Gangnam-gu. Increasing AOD levels led to an attenuation of both the brightness and the number of pixels with high radiance. Moreover, a decrease in NTL radiance was concurrently evident in the surrounding peripheral areas.
Figure 6.
Composite maps of NTL radiance classified into five levels for Beijing (top row), Tokyo (middle row) and Seoul (bottom row). Each column represents a specific NTL radiance map, from Level-1(lowest AOD) to Level-5 (highest AOD).
4. Discussion
Our study provides a comprehensive understanding of the complex and heterogeneous interplay between Nighttime Light (NTL) radiance and Aerosol Optical Depth (AOD) across diverse Asian urban environments. This interaction profoundly impacts the reliability and interpretation of NTL data, as its nature and strength are intricately linked to a region’s unique combination of atmospheric conditions, urbanization levels, and developmental stages. While AOD’s physical properties directly influence light transmission, the observed dynamics between NTL and AOD are often a confluence of atmospheric effects and independent socioeconomic processes driving both NTL emissions and air pollution. This nuanced relationship highlights a critical challenge for the effective and reliable use of NTL data in various applications, such as urban expansion studies, population estimation, and fire monitoring [43,44,45], where an isolated focus on physical atmospheric effects, or a lack of contextual understanding, can compromise data accuracy. Our research thus underscores the imperative necessity of comprehensively accounting for these multifaceted, regionally specific factors to ensure the robustness and accuracy of NTL data for reliable applications.
Specifically, our long-term spatiotemporal analysis revealed that the influence of AOD on NTL radiance is not uniform across all Asian cities, exhibiting highly diverse patterns. In highly urbanized East Asian cities (e.g., Beijing, Tokyo, Seoul), a statistically significant inverse correlation was consistently observed, where increased aerosol concentrations suppressed satellite-measured NTL. This suppressive effect is also clearly reflected in their seasonal patterns. For instance, NTL radiance typically peaks in winter and declines in summer, correlating with seasonal AOD variations. The greater amplitude of this oscillation in Seoul and Tokyo, linked to their clear seasonal AOD fluctuations, further substantiates this relationship. Moreover, the observed strengthening of seasonal variations in NTL in Beijing during the atmospheric clearing period associated with the COVID-19 pandemic [46] provides compelling evidence for AOD’s significant contribution to NTL seasonality, particularly when persistent high pollution typically masks such dynamics [47].
In contrast, other regions displayed considerably different relationships. According to the correlation analysis results, changes in AOD, representing the atmospheric aerosol concentration, do not uniformly influence the direction of NTL radiance variation across all Asian cities. The variations in NTL radiance associated with AOD demonstrate considerable heterogeneity across urban areas characterized by distinct levels of urbanization and differing climatic conditions.
For instance, in the Southeast Asian city of Bangkok and the South Asian city of Dhaka, this relationship appeared to be positive. While the positive correlation in Bangkok was not statistically significant, Dhaka exhibited a statistically significant positive correlation. This unique phenomenon observed in Dhaka suggests that, due to its rapid urbanization and increasing urban activities, both NTL radiance and AOD tend to increase concurrently, leading to a positive association between the two. For other cities, including Taipei, New Delhi, and Phnom Penh, negative correlations were observed. However, these relationships were not statistically significant.
This phenomenon, where increasing AOD generally suppresses NTL measurements, can be primarily explained by the fundamental interactions between atmospheric aerosols and light: absorption and scattering. Atmospheric aerosols, particularly absorbing aerosols like black carbon, are highly effective in absorbing visible light. East Asia, a region with high urbanization and industrial activity, is known for its relatively high concentrations of such absorbing aerosols. As reported by Tian [48] and Ansari [49], aerosols mixed with dust and anthropogenic pollution over East Asia exhibit a radiative absorption enhancement effect. Consequently, an increase in AOD in these urban areas signifies a greater abundance of absorbing aerosols, leading to more significant absorption and diminution of artificial light originating from the surface before it reaches the satellite sensor.
Beyond absorption, the scattering capability of aerosol particles also plays a crucial role. Nighttime-light signals are upward-traveling radiances from the surface to satellite sensors. Back-scattering, particularly dominant in the lower atmospheric layers, reduces the amount of light measured by the sensor by deflecting the ascending light path downwards. Compared to Southeast and South Asia, East Asia frequently experiences large-scale natural events involving coarse particles, such as dust storms, thus providing sufficient conditions to induce back-scattering. Zhai [50] also demonstrated in prior research that coarse particles constitute a significant air pollution problem in the East Asian region.
Moreover, particularly when AOD is substantially high (e.g., exceeding 0.5), the NTL signal received by the satellite can be significantly influenced by the diffuse radiation component. This is because, in dense aerosol layers, light from ground-based sources undergoes multiple scattering events, and a portion of this scattered light is redirected towards the satellite. The characteristics of this diffuse light are a complex function not only of AOD but also of the microphysical properties of aerosol particles (such as particle size distribution, dominant chemical composition, and non-sphericity). Such complex radiative transfer processes, where diffuse light contributions become prominent, introduce significant non-linearities and contribute substantially to the observed scatter in NTL-AOD relationships (e.g., as illustrated in Figure 4). This indicates that simple linear models may not fully capture the intricate interactions and complexities inherent in these atmospheric conditions.
In addition, the environmental, social, and economic attributes of East Asia may have strengthened this suppressive effect of elevated AOD on NTL measurements. This is partly because of the relatively dry and stable meteorological conditions, especially when compared to the more humid climates of Southeast or South Asia, which promote the accumulation of pollution aerosols at significantly high concentrations in the atmospheric boundary layer, thereby facilitating enhanced light extinction. Furthermore, pronounced urbanization in East Asia results in a significant spatial overlap between areas with dense artificial nighttime lighting and aerosol emission sources from industrial and transportation activities. The close spatial adjacency of high-aerosol concentration zones and NTL sources is a key mechanism for the effective attenuation of upward-traveling light detected by satellites.
While a negative correlation dominates in East Asian megacities, the positive correlation observed in certain other regions, such as Dhaka and Bangkok, warrants further consideration. This relationship, particularly statistically significant in Dhaka, suggests a different underlying mechanism. Instead of aerosol-induced light attenuation, this phenomenon may be linked to rapid urbanization and increasing urban activities that concurrently drive both NTL radiance (as a proxy for human activity) and atmospheric aerosol concentrations (from increased emissions). In such dynamically developing regions, accelerated urban growth is likely the primary driver rather than a direct enhancement of light by aerosols.
A critical methodological consideration in this study involves the temporal resolution and acquisition times of the datasets. Our analysis relies on monthly average NTL and AOD data. While this aggregation is suitable for understanding broader spatiotemporal patterns and long-term trends, it inherently contributes to data scatter in the AOD-NTL relationship (e.g., as evident in Figure 4), given that AOD properties vary significantly at finer temporal scales (daily/hourly).
Furthermore, a temporal discrepancy exists in data acquisition. NTL radiance, typically acquired by VIIRS DNB around 01:30 local time (night), is compared with MODIS AOD, collected during daytime hours (10:30 for Terra; 13:30 for Aqua). This temporal discrepancy necessitates careful interpretation due to known diurnal variations in atmospheric aerosols. Our choice of MODIS AOD over VIIRS’s own aerosol products (primarily for daytime retrievals) was based on MODIS’s long-term (since 2000), well-validated data record and its suitability for our multi-year, multi-city analysis.
Nonetheless, this time lag represents a recognized limitation. Beyond AOD, NTL radiance is influenced by other unquantified atmospheric and environmental factors. These include relative humidity, water vapor content (which can affect light scattering and absorption properties, especially in humid regions), vegetation changes (which alter surface albedo and potentially affect local atmospheric conditions), and cloud cover (e.g., during monsoons). While our study provides crucial insights into the complex role of aerosols, a comprehensive understanding of NTL radiance variations would ideally integrate these additional parameters. Future research should thus explore their combined and individual impacts, employing multi-sensor observations and sophisticated atmospheric models to develop a more holistic NTL correction framework.
The results presented in this study are expected to broaden the scope of future research by positioning NTL radiance not merely as an affected signal, but as a valuable source of information for indirectly estimating other atmospheric parameters, particularly those that are challenging to observe or have limited data availability during nighttime. A prime example is the estimation of nighttime Aerosol Optical Depth (AOD). While AOD is a crucial indicator of atmospheric aerosol content, its direct measurement during nighttime remains very challenging due to the absence of sunlight, making synchronous AOD and NTL data acquisition particularly difficult. However, by recognizing this inherent difficulty and conversely leveraging the NTL signal’s sensitivity to atmospheric conditions, specifically its pronounced negative correlation with AOD, it becomes possible to inversely retrieve or estimate the value of nighttime AOD for a given area. This can be achieved by analyzing observed changes in NTL values or their decrease relative to a specific baseline, offering a promising avenue to overcome current observational limitations and advance our understanding of nocturnal atmospheric dynamics.
5. Conclusions
This study comprehensively analyzed the intricate interplay between NTL radiance, reflecting long-term urban dynamics, and atmospheric conditions, especially short-term aerosol fluctuations. Our findings confirm that both urban growth and air pollution concurrently shape NTL variations, significantly impacting its quantitative applications. Specifically, major East Asian cities exhibited a statistically significant inverse relationship between NTL and AOD, indicating aerosol-induced suppression. However, other regions presented heterogeneous patterns, including significant positive correlations, suggesting a more complex interplay influenced by socioeconomic development. This highlights the necessity of accounting for region-specific atmospheric effects for reliable NTL data utilization.
Future research can expand on these findings by proposing and evaluating a novel methodology for inversely estimating nighttime AOD. This expansion would leverage the established negative correlation between AOD and NTL, along with the derived Baseline NTL values (representing the ideal nighttime light value without aerosol influence), particularly in cities like Beijing, Tokyo, and Seoul. Such follow-up studies, by effectively utilizing satellite NTL data to obtain information on nighttime atmospheric aerosol conditions, can make significant contributions to fields such as nighttime air quality monitoring and the calculation of nocturnal radiative effects.
Author Contributions
Conceptualization, Y.G.L., H.P. and J.K.; methodology, Y.G.L., H.P. and J.K.; software, H.P. and J.K.; validation, H.P.; formal analysis, H.P.; investigation, H.P.; resources, Y.G.L., H.P. and J.K.; data curation, Y.G.L., H.P. and J.K.; writing—original draft preparation, H.P.; writing—review and editing, Y.G.L., H.P. and J.K.; visualization, H.P. and J.K.; supervision, Y.G.L.; project administration, Y.G.L.; funding acquisition, Y.G.L. All authors have read and agreed to the published version of the manuscript.
Funding
This work was supported by the National Institute of Environmental Research (NIER), funded by the Ministry of Environment (ME) of the Republic of Korea (NIER-2025-04-02-036) and the PRIDE research institute funding program at Chungnam National University.
Data Availability Statement
No new data were created or analyzed in this study. Data sharing is not applicable to this article.
Acknowledgments
The authors would like to thank the NGDC for providing the satellite datasets.
Conflicts of Interest
The authors declare no conflicts of interest.
References
- Ma, T.; Zhou, C.; Pei, T.; Haynie, S.; Fan, J. Quantitative Estimation of Urbanization Dynamics Using Time Series of DMSP/OLS Nighttime Light Data: A Comparative Case Study from China’s Cities. Remote Sens. Environ. 2012, 124, 99–107. [Google Scholar] [CrossRef]
- Zhao, M.; Zhou, Y.; Li, X.; Cao, W.; He, C.; Yu, B.; Li, X.; Elvidge, C.D.; Cheng, W.; Zhou, C. Applications of Satellite Remote Sensing of Nighttime Light Observations: Advances, Challenges, and Perspectives. Remote Sens. 2019, 11, 1971. [Google Scholar] [CrossRef]
- He, C.; Shi, P.; Li, J.; Chen, J.; Pan, Y.; Li, J.; Zhuo, L.; Ichinose, T. Restoring Urbanization Process in China in the 1990s by Using Non-Radiance-Calibrated DMSP/OLS Nighttime Light Imagery and Statistical Data. Chinese Sci. Bull. 2006, 51, 1614–1620. [Google Scholar] [CrossRef]
- Liao, L.B.; Weiss, S.; Mills, S.; Hauss, B. Suomi NPP VIIRS Day-Night Band on-Orbit Performance. J. Geophys. Res. Atmos. 2013, 118, 12,705–12,718. [Google Scholar] [CrossRef]
- Baugh, K.; Hsu, F.-C.; Elvidge, C.D.; Zhizhin, M. Nighttime Lights Compositing Using the VIIRS Day-Night Band: Preliminary Results. APAN Proc. 2013, 35, 70. [Google Scholar] [CrossRef]
- Wang, J.; Aegerter, C.; Xu, X.; Szykman, J.J. Potential Application of VIIRS Day/Night Band for Monitoring Nighttime Surface PM2.5 Air Quality from Space. Atmos. Environ. 2016, 124, 55–63. [Google Scholar] [CrossRef]
- Wang, J.; Zhou, M.; Xu, X.; Roudini, S.; Sander, S.P.; Pongetti, T.J.; Miller, S.D.; Reid, J.S.; Hyer, E.; Spurr, R. Development of a Nighttime Shortwave Radiative Transfer Model for Remote Sensing of Nocturnal Aerosols and Fires from VIIRS. Remote Sens. Environ. 2020, 241, 111727. [Google Scholar] [CrossRef]
- Wang, Z.; Román, M.; Kalb, V.; Shrestha, R.; Stokes, E.; Paynter, I. Uncertainties in VIIRS Nighttime Light Time Series Analysis. In Proceedings of the IGARSS 2020—2020 IEEE International Geoscience and Remote Sensing Symposium, Waikoloa, HI, USA, 26 September–2 October 2020; pp. 156–159. [Google Scholar]
- Huang, Y.; Song, Z.; Yang, H.; Yu, B.; Liu, H.; Che, T.; Chen, J.; Wu, J.; Shu, S.; Peng, X.; et al. Snow Cover Detection in Mid-Latitude Mountainous and Polar Regions Using Nighttime Light Data. Remote Sens. Environ. 2022, 268, 112766. [Google Scholar] [CrossRef]
- Yu, B.; Shi, K.; Hu, Y.; Huang, C.; Chen, Z.; Wu, J. Poverty Evaluation Using NPP-VIIRS Nighttime Light Composite Data at the County Level in China. IEEE J. Sel. Top. Appl. Earth Obs. Remote Sens. 2015, 8, 1217–1229. [Google Scholar] [CrossRef]
- Sanchez de Miguel, A.; Kyba, C.C.M.; Zamorano, J.; Gallego, J.; Gaston, K.J. The Nature of the Diffuse Light near Cities Detected in Nighttime Satellite Imagery. Sci. Rep. 2020, 10, 7829. [Google Scholar] [CrossRef] [PubMed]
- Small, C. Spatiotemporal Characterization of VIIRS Night Light. Front. Remote Sens. 2021, 2, 775399. [Google Scholar] [CrossRef]
- Zhang, H.; Ren, H.; Li, F.; Lin, S.; Ye, H.; Jiang, C.; Zhu, J.; Wang, B. Atmospheric Correction for Nighttime Light Image Using Radiative Transfer Model. IEEE Trans. Geosci. Remote Sens. 2025, 63, 4105016. [Google Scholar] [CrossRef]
- Wang, Z.; Román, M.O.; Kalb, V.L.; Miller, S.D.; Zhang, J.; Shrestha, R.M. Quantifying Uncertainties in Nighttime Light Retrievals from Suomi-NPP and NOAA-20 VIIRS Day/Night Band Data. Remote Sens. Environ. 2021, 263, 112557. [Google Scholar] [CrossRef]
- Ściężor, T.; Czaplicka, A. The Impact of Atmospheric Aerosol Particles on the Brightness of the Night Sky. J. Quant. Spectrosc. Radiat. Transf. 2020, 254, 107168. [Google Scholar] [CrossRef]
- Cavazzani, S.; Ortolani, S.; Bertolo, A.; Binotto, R.; Fiorentin, P.; Carraro, G.; Zitelli, V. Satellite Measurements of Artificial Light at Night: Aerosol Effects. Mon. Not. R. Astron. Soc. 2020, 499, 5075–5089. [Google Scholar] [CrossRef]
- Yuan, M.; Li, X.; Li, D.; Wu, J. An Analysis of Environmental Effect on VIIRS Nighttime Light Monthly Composite Data at Multiple Scales in China. IEEE J. Sel. Top. Appl. Earth Obs. Remote Sens. 2023, 16, 825–840. [Google Scholar] [CrossRef]
- Tan, X.; Zhu, X.; Chen, J.; Chen, R. Modeling the Direction and Magnitude of Angular Effects in Nighttime Light Remote Sensing. Remote Sens. Environ. 2022, 269, 112834. [Google Scholar] [CrossRef]
- Wang, Y.; Chen, L.; Xin, J.; Wang, X. Impact of the Dust Aerosol Model on the VIIRS Aerosol Optical Depth (AOD) Product across China. Remote Sens. 2020, 12, 991. [Google Scholar] [CrossRef]
- Li, J.; Carlson, B.E.; Yung, Y.L.; Lv, D.; Hansen, J.; Penner, J.E.; Liao, H.; Ramaswamy, V.; Kahn, R.A.; Zhang, P.; et al. Scattering and Absorbing Aerosols in the Climate System. Nat. Rev. Earth Environ. 2022, 3, 363–379. [Google Scholar] [CrossRef]
- Horvath, H.; Alados Arboledas, L.; Olmo, F.J.; Jovanović, O.; Gangl, M.; Kaller, W.; Sánchez, C.; Sauerzopf, H.; Seidl, S. Optical Characteristics of the Aerosol in Spain and Austria and Its Effect on Radiative Forcing. J. Geophys. Res. Atmos. 2002, 107, AAC 9-1–AAC 9-18. [Google Scholar] [CrossRef]
- Zeb, B.; Alam, K.; Khan, R.; Ditta, A.; Iqbal, R.; Elsadek, M.F.; Raza, A.; Elshikh, M.S. Characteristics and Optical Properties of Atmospheric Aerosols Based on Long-Term AERONET Investigations in an Urban Environment of Pakistan. Sci. Rep. 2024, 14, 8548. [Google Scholar] [CrossRef]
- Zhao, P.; Zhao, W.; Yuan, L.; Zhou, X.; Ge, F.; Xiao, H.; Zhang, P.; Wang, Y.; Zhou, Y. Spatial Heterogeneity of Aerosol Effect on Liquid Cloud Microphysical Properties in the Warm Season Over Tibetan Plateau. J. Geophys. Res. Atmos. 2023, 128, e2022JD037738. [Google Scholar] [CrossRef]
- Wang, X.; Mu, X.; Yan, G. Quantitative Analysis of Aerosol Influence on Suomi-NPP VIIRS Nighttime Light in China. IEEE J. Sel. Top. Appl. Earth Obs. Remote Sens. 2020, 13, 3557–3568. [Google Scholar] [CrossRef]
- Ayudyanti, A.G.; Hidayati, I.N. Impact of Optical Aerosol Depth (AOD) on Light Pollution Level: A Spatio-Temporal Analysis. IOP Conf. Ser. Earth Environ. Sci. 2021, 884, 012037. [Google Scholar] [CrossRef]
- Liu, S.; So, C.W.; Pun, C.S.J. Analyzing the Sources and Variations of Nighttime Lights in Hong Kong from VIIRS Monthly Data. Remote Sens. 2025, 17, 1447. [Google Scholar] [CrossRef]
- Pambuku, A.; Elia, M.; Gardelli, A.; Giannico, V.; Sanesi, G.; Stefania Bergantino, A.; Intini, M.; Lafortezza, R. Assessing Urbanization Dynamics Using a Pixel-Based Nighttime Light Indicator. Ecol. Indic. 2024, 166, 112486. [Google Scholar] [CrossRef]
- Jiang, Y.; Tang, Y.; Jing, L.; Galdies, C.; Li, H.; Yan, L.; Ding, H.; Xie, Q.; Dou, C. Urban Nighttime Aerosol Optical Depth Retrieval Methods from SDGSAT-1 Glimmer Data. Int. J. Digit. Earth 2024, 17, 2411822. [Google Scholar] [CrossRef]
- LI, Z. Satellite Based Analysis on Covariation of Air Pollution and Human Activities in Guangdong during COVID-19 Lockdown. In Proceedings of the 2021 2nd International Conference on Computing and Data Science (CDS), Stanford, CA, USA, 28–29 January 2021; pp. 609–615. [Google Scholar]
- Xie, Y.; Weng, Q.; Fu, P. Temporal Variations of Artificial Nighttime Lights and Their Implications for Urbanization in the Conterminous United States, 2013–2017. Remote Sens. Environ. 2019, 225, 160–174. [Google Scholar] [CrossRef]
- Wang, M.; Wang, Y.; Teng, F.; Li, S.; Lin, Y.; Cai, H. Estimation and Analysis of PM2.5 Concentrations with NPP-VIIRS Nighttime Light Images: A Case Study in the Chang-Zhu-Tan Urban Agglomeration of China. Int. J. Environ. Res. Public Health 2022, 19, 4306. [Google Scholar] [CrossRef] [PubMed]
- Liu, S.; So, C.W.; Pun, C.S.J. Analyzing Long-Term Artificial Light at Night Using Viirs Monthly Product with Land Use Data: Preliminary Result of Hong Kong. In Proceedings of the 2021 IEEE International Geoscience and Remote Sensing Symposium IGARSS, Brussels, Belgium, 11–16 July 2021; pp. 6821–6824. [Google Scholar]
- Kyba, C.C.; Aubé, M.; Bará, S.; Bertolo, A.; Bouroussis, C.A.; Cavazzani, S.; Espey, B.R.; Falchi, F.; Gyuk, G.; Jechow, A.; et al. Multiple Angle Observations Would Benefit Visible Band Remote Sensing Using Night Lights. J. Geophys. Res. Atmos. 2022, 127, e2021JD036382. [Google Scholar] [CrossRef]
- Levin, N. The Impact of Seasonal Changes on Observed Nighttime Brightness from 2014 to 2015 Monthly VIIRS DNB Composites. Remote Sens. Environ. 2017, 193, 150–164. [Google Scholar] [CrossRef]
- Elvidge, C.D.; Ziskin, D.; Baugh, K.E.; Tuttle, B.T.; Ghosh, T.; Pack, D.W.; Erwin, E.H.; Zhizhin, M. A Fifteen Year Record of Global Natural Gas Flaring Derived from Satellite Data. Energies 2009, 2, 595–622. [Google Scholar] [CrossRef]
- Miller, S.; Straka, W.; Mills, S.; Elvidge, C.; Lee, T.; Solbrig, J.; Walther, A.; Heidinger, A.; Weiss, S. Illuminating the Capabilities of the Suomi National Polar-Orbiting Partnership (NPP) Visible Infrared Imaging Radiometer Suite (VIIRS) Day/Night Band. Remote Sens. 2013, 5, 6717–6766. [Google Scholar] [CrossRef]
- Elvidge, C.; Zhizhin, M.; Ghosh, T.; Hsu, F.; Taneja, J. Annual Time Series of Global VIIRS Nighttime Lights Derived from Monthly Averages: 2012 to 2019. Remote Sens. 2021, 13, 922. [Google Scholar] [CrossRef]
- Bright, J.M.; Gueymard, C.A. Climate-Specific and Global Validation of MODIS Aqua and Terra Aerosol Optical Depth at 452 AERONET Stations. Sol. Energy 2019, 183, 594–605. [Google Scholar] [CrossRef]
- Ma, X.; Bartlett, K.; Harmon, K.; Yu, F. Comparison of AOD between CALIPSO and MODIS: Significant Differences over Major Dust and Biomass Burning Regions. Atmos. Meas. Tech. 2013, 6, 2391–2401. [Google Scholar] [CrossRef]
- Remer, L.A.; Kleidman, R.G.; Levy, R.C.; Kaufman, Y.J.; Tanré, D.; Mattoo, S.; Martins, J.V.; Ichoku, C.; Koren, I.; Yu, H.; et al. Global Aerosol Climatology from the MODIS Satellite Sensors. J. Geophys. Res. Atmos. 2008, 113, D14S07. [Google Scholar] [CrossRef]
- Gui, K.; Che, H.; Zheng, Y.; Wang, Y.; Zhang, L.; Zhao, H.; Li, L.; Zhong, J.; Yao, W.; Zhang, X. Seasonal Variability and Trends in Global Type-Segregated Aerosol Optical Depth as Revealed by MISR Satellite Observations. Sci. Total Environ. 2021, 787, 147543. [Google Scholar] [CrossRef]
- Khobragade, P.P.; Ahirwar, A.V. Seasonal Variation in Aerosol Optical Depth and Study of PM2.5-AOD Empirical Relationship in Raipur, Chhattisgarh, India. Res. Eng. Struct. Mater. 2023, 9, 763–773. [Google Scholar] [CrossRef]
- Feng, Y.; Liu, S.; Tang, L. Automatic Extraction and Change Monitoring of Fire Disaster Event Based on High-Resolution Nighttime Light Remote Sensing Images. SPIE Remote Sens. 2020, 11533, 57–65. [Google Scholar] [CrossRef]
- Huang, C.; Zhuang, Q.; Meng, X.; Guo, H.; Han, J. An Improved Nightlight Threshold Method for Revealing the Spatiotemporal Dynamics and Driving Forces of Urban Expansion in China. J. Environ. Manag. 2021, 289, 112574. [Google Scholar] [CrossRef] [PubMed]
- Sun, W.; Zhang, X.; Wang, N.; Cen, Y. Estimating Population Density Using DMSP-OLS Night-Time Imagery and Land Cover Data. IEEE J. Sel. Top. Appl. Earth Obs. Remote Sens. 2017, 10, 2674–2684. [Google Scholar] [CrossRef]
- Chen, K.; Wang, M.; Huang, C.; Kinney, P.L.; Anastas, P.T. Air Pollution Reduction and Mortality Benefit during the COVID-19 Outbreak in China. Lancet Planet. Health 2020, 4, e210–e212. [Google Scholar] [CrossRef] [PubMed]
- Cao, C.; Zhang, B.; Xia, F.; Bai, Y. Exploring VIIRS Night Light Long-Term Time Series with CNN/SI for Urban Change Detection and Aerosol Monitoring. Remote Sens. 2022, 14, 3126. [Google Scholar] [CrossRef]
- Tian, P.; Zhang, L.; Ma, J.; Tang, K.; Xu, L.; Wang, Y.; Cao, X.; Liang, J.; Ji, Y.; Jiang, J.H.; et al. Radiative Absorption Enhancement of Dust Mixed with Anthropogenic Pollution over East Asia. Atmos. Chem. Phys. 2018, 18, 7815–7825. [Google Scholar] [CrossRef]
- Ansari, K.; Ramachandran, S. Radiative Effects of Absorbing Aerosol Types over South Asia. Sci. Total Environ. 2023, 858, 159969. [Google Scholar] [CrossRef]
- Zhai, S.; Jacob, D.J.; Pendergrass, D.C.; Colombi, N.K.; Shah, V.; Yang, L.H.; Zhang, Q.; Wang, S.; Kim, H.; Sun, Y.; et al. Coarse Particulate Matter Air Quality in East Asia: Implications for Fine Particulate Nitrate. Atmos. Chem. Phys. 2023, 23, 4271–4281. [Google Scholar] [CrossRef]
Disclaimer/Publisher’s Note: The statements, opinions and data contained in all publications are solely those of the individual author(s) and contributor(s) and not of MDPI and/or the editor(s). MDPI and/or the editor(s) disclaim responsibility for any injury to people or property resulting from any ideas, methods, instructions or products referred to in the content. |
© 2025 by the authors. Licensee MDPI, Basel, Switzerland. This article is an open access article distributed under the terms and conditions of the Creative Commons Attribution (CC BY) license (https://creativecommons.org/licenses/by/4.0/).