Sign in to use this feature.

Years

Between: -

Subjects

remove_circle_outline
remove_circle_outline
remove_circle_outline
remove_circle_outline
remove_circle_outline
remove_circle_outline

Journals

Article Types

Countries / Regions

Search Results (113)

Search Parameters:
Keywords = neurosteroids

Order results
Result details
Results per page
Select all
Export citation of selected articles as:
17 pages, 844 KB  
Article
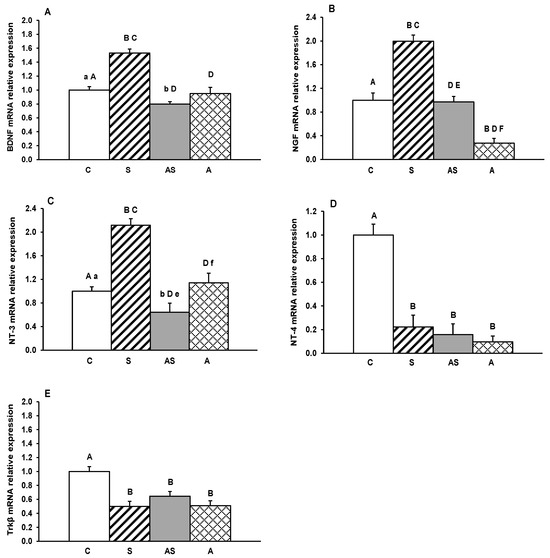
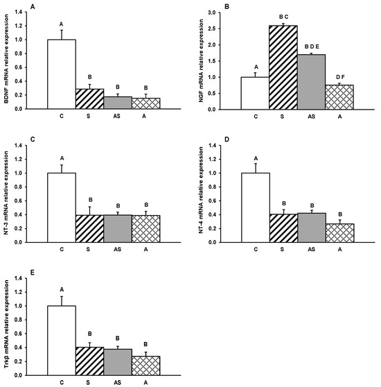
Expression of Neurotrophin Genes in the Hypothalamus of Stressed and Allopregnanolone-Infused Sheep
by Patrycja Młotkowska, Bartosz Osuch, Elżbieta Marciniak, Katarzyna Roszkowicz-Ostrowska and Tomasz Misztal
Int. J. Mol. Sci. 2025, 26(20), 10062; https://doi.org/10.3390/ijms262010062 - 16 Oct 2025
Viewed by 285
Abstract
The hypothalamus is a key regulator of fundamental physiological processes and a site of adult neurogenesis. Allopregnanolone (ALLO) is a neurosteroid that mitigates the adverse effects of stress on the central nervous system and also affects neurogenesis. This study examined the effects of [...] Read more.
The hypothalamus is a key regulator of fundamental physiological processes and a site of adult neurogenesis. Allopregnanolone (ALLO) is a neurosteroid that mitigates the adverse effects of stress on the central nervous system and also affects neurogenesis. This study examined the effects of acute stress and ALLO administration (separately or in combination) into the third brain ventricle on the expression of neurotrophins and Trkβ receptor in distinct hypothalamic areas of sexually active female sheep. Expression of genes encoding brain-derived neurotrophic factor (BDNF), nerve growth factor (NGF), neurotrophin-3 (NT-3), neurotrophin-4 (NT-4) and the Trkβ receptor was analyzed in the medial basal hypothalamus (MBH), arcuate nucleus (ARC), anterior hypothalamus (AHA), paraventricular nucleus (PVN), and preoptic area (POA). Acute stress stimulated the expression of neurotrophins (BDNF, NGF, and NT-3) in the ARC and PVN, while inhibitory effects predominated in the MBH, AHA and POA. ALLO alone mainly suppressed neurotrophins expression, while stimulatory effects were limited to the BDNF–Trkβ system in the ARC and Trkβ in the AHA. When combined with stress, ALLO either counteracted stress-induced increases in neurotrophins expression or produced no effect. The results demonstrate that acute stress can differentially modify neurotrophins mRNA expression in hypothalamic regions, activating neurotrophic activity in specific nuclei. The predominant inhibitory effect of ALLO on neurotrophin synthesis, particularly under conditions of acute stress, may help prevent excessive neuronal activation. Conversely, the upregulation of the BDNF-Trkβ system in the ARC indicates a positive relationship between this neurosteroid and hypothalamic adult neurogenesis. Full article
(This article belongs to the Special Issue Steroids in Human Disease and Health)
Show Figures

Figure 1

18 pages, 1641 KB  
Article
The ExPAND Study: A Prospective Association Study into Endometriosis-Associated Pain, Neurosteroid Synthesis, and TRPM3
by Eleonora Persoons, Celine Bafort, Pilar Van Mechelen, Martina Ciprietti, Katrien Luyten, Melissa Benoit, Arne Vanhie, Thomas Voets, Carla Tomassetti and Joris Vriens
Biomolecules 2025, 15(10), 1352; https://doi.org/10.3390/biom15101352 - 23 Sep 2025
Viewed by 711
Abstract
Endometriosis-associated pain has debilitating effects on the quality of life of patients. Despite its high prevalence in reproductive-aged women, the pathophysiology is still unknown, impeding the development of targeted treatment approaches. The prospective ExPAND study proposes the neurosteroids pregnenolone sulphate (PS) and dehydroepiandrosterone [...] Read more.
Endometriosis-associated pain has debilitating effects on the quality of life of patients. Despite its high prevalence in reproductive-aged women, the pathophysiology is still unknown, impeding the development of targeted treatment approaches. The prospective ExPAND study proposes the neurosteroids pregnenolone sulphate (PS) and dehydroepiandrosterone sulphate (DHEAS) as potential contributors to endometriosis-associated pain, due to their agonistic action at the pain-related ion channel TRPM3. To this end, endometrium, deep endometriosis lesions, and peritoneal fluid were prospectively collected in four demarcated patient groups, which were characterised based on their pain symptoms, as scored via the WERF-EPHect questionnaire, i.e., (1) control (n = 44), (2) endometriosis patients with no pain symptoms (n = 24), (3) with only severe dysmenorrhea (n = 54), or (4) with both severe dysmenorrhea and non-cyclic pelvic pain (n = 78). Tissue mRNA expression levels of steroidogenic enzymes were investigated and showed significantly increased levels of CYP17A1 in the endometrium of patients with severe pain symptoms compared to control tissue. In addition, liquid chromatography with tandem mass spectrometry (LC-MS/MS) was performed to investigate neurosteroid concentrations in the peritoneal fluid. Both neurosteroids PS and DHEAS were present in the peritoneal fluid at concentrations that are known to stimulate TRPM3 activity in vitro. Finally, using microfluorimetric Ca2+ imaging, we demonstrate that both DHEAS and PS stimulate human stem-cell-derived sensory neurons in a TRPM3-dependent manner. Taken together, these data indicate a potential contribution of steroidogenesis and TRPM3 in endometriosis-associated pain. Full article
(This article belongs to the Special Issue Role of Neuroactive Steroids in Health and Disease: 2nd Edition)
Show Figures

Graphical abstract

22 pages, 2248 KB  
Review
The Sex Hormone Precursors Dehydroepiandrosterone (DHEA) and Its Sulfate Ester Form (DHEAS): Molecular Mechanisms and Actions on Human Body
by Hsin-Yi Lin, Jie-Hong Chen and Kuo-Hu Chen
Int. J. Mol. Sci. 2025, 26(17), 8568; https://doi.org/10.3390/ijms26178568 - 3 Sep 2025
Viewed by 2977
Abstract
Dehydroepiandrosterone (DHEA) and its sulfate ester form DHEAS, are multifunctional steroid hormones primarily produced in the adrenal cortex, with additional synthesis in peripheral tissues. DHEA/DHEAS serve as precursors to sex steroids and exhibit neuroprotective, anti-inflammatory, and immune-modulating effects. DHEA levels decline significantly with [...] Read more.
Dehydroepiandrosterone (DHEA) and its sulfate ester form DHEAS, are multifunctional steroid hormones primarily produced in the adrenal cortex, with additional synthesis in peripheral tissues. DHEA/DHEAS serve as precursors to sex steroids and exhibit neuroprotective, anti-inflammatory, and immune-modulating effects. DHEA levels decline significantly with age, a phenomenon termed “adrenopause”, prompting interest in supplementation to mitigate age-related symptoms. Particularly in postmenopausal women, DHEA has shown potential benefits in treating genitourinary syndrome of menopause (GSM), including improved vaginal health, lubrication, and sexual function. While intravaginal DHEA appears effective and safer than systemic estrogen therapy, especially for women with estrogen sensitivity, results remain mixed for oral administration. DHEA and DHEAS exhibit diverse neuroactive properties through modulation of GABA-A, NMDA, and sigma-1 receptors. These neurosteroids contribute to neuroprotection, synaptic plasticity, and mood regulation. Altered DHEA/DHEAS levels have been implicated in neurodegenerative disorders and depression, with emerging evidence supporting their potential therapeutic value. In addition, DHEA plays a multifaceted role in aging-related physiological changes. It supports muscle anabolism, bone density maintenance, cardiovascular protection, and immune regulation. Though supplementation shows potential benefits, especially in conjunction with resistance training, results remain discrepant. Current evidence has revealed that the therapeutic effects of DHEA supplementation are inconsistent in different human systems among different studies. The diversity of results is mainly due to heterogeneous receptor distribution, various action pathways, and distinct tissue responses in different systems. Further research is needed to define its efficacy and dosage across various systems. Full article
Show Figures

Figure 1

19 pages, 585 KB  
Article
Brain Metabolism of Allopregnanolone and Isoallopregnanolone in Male Rat Brain
by Charlotte Öfverman, Martin Hill, Maja Johansson and Torbjörn Bäckström
Int. J. Mol. Sci. 2025, 26(17), 8559; https://doi.org/10.3390/ijms26178559 - 3 Sep 2025
Viewed by 951
Abstract
Allopregnanolone (allo) and isoallopregnanolone (isoallo) are neuroactive steroid epimers that differ in hydroxyl orientation at carbon three. Allo is a potent GABA-A receptor agonist, while isoallo acts as an antagonist, influencing brain function through their interconversion. Their metabolism varies across brain regions due [...] Read more.
Allopregnanolone (allo) and isoallopregnanolone (isoallo) are neuroactive steroid epimers that differ in hydroxyl orientation at carbon three. Allo is a potent GABA-A receptor agonist, while isoallo acts as an antagonist, influencing brain function through their interconversion. Their metabolism varies across brain regions due to enzyme distribution, with AKR1C1–AKR1C3 active in the brain and AKR1C4 restricted to the liver. In rats, AKR1C9 (liver) and AKR1C14 (intestine) perform similar roles. Beyond AKR1Cs, HSD17Bs regulate steroid balance, with HSD17B6 active in the liver, thyroid, and lung, while HSD17B10, a mitochondrial enzyme, influences metabolism in high-energy tissues. Our current data obtained using the GC-MS/MS platform show that allo and isoallo in rats undergo significant metabolic conversion, suggesting a regulatory role in neurosteroid action. High allo levels following isoallo injection indicate brain interconversion, while isoallo clears more slowly from blood and undergoes extensive conjugation. Metabolite patterns differ between brain and plasma—allo injection leads to 5α-DHP and isoallo production, whereas isoallo treatment primarily yields allo. Human plasma contains mostly sulfate/glucuronided steroids (2.4–6% non-sulfate/glucuronided), whereas male rats exhibit much higher free steroid levels (29–56%), likely due to the absence of zona reticularis. These findings highlight tissue-specific enzymatic differences, which may impact neurosteroid regulation and CNS disorders. Full article
(This article belongs to the Section Molecular Endocrinology and Metabolism)
Show Figures

Figure 1

16 pages, 277 KB  
Review
Peripartum Depression Pharmacotherapies Targeting GABA–Glutamate Neurotransmission
by Alan C. Courtes, Louisa Smitherman, Lokesh Shahani, Jair C. Soares, Laura Goetzl and Rodrigo Machado-Vieira
J. Clin. Med. 2025, 14(17), 6177; https://doi.org/10.3390/jcm14176177 - 1 Sep 2025
Viewed by 1263
Abstract
Peripartum depression (PPD) represents a significant public health concern, affecting 10–17% of women globally. Traditional monoaminergic treatments demonstrate limited efficacy and delayed onset of action. The glutamate–GABA imbalance hypothesis provides a novel theoretical framework for understanding depression pathophysiology and developing targeted therapeutic interventions. [...] Read more.
Peripartum depression (PPD) represents a significant public health concern, affecting 10–17% of women globally. Traditional monoaminergic treatments demonstrate limited efficacy and delayed onset of action. The glutamate–GABA imbalance hypothesis provides a novel theoretical framework for understanding depression pathophysiology and developing targeted therapeutic interventions. This review examines emerging pharmacotherapeutic approaches targeting glutamatergic and GABAergic neurotransmitter systems for PPD treatment. Search criteria targeted randomized clinical trials investigating GABA-A-positive allosteric modulators (brexanolone, zuranolone, and ganaxolone) and NMDA receptor antagonists (ketamine and esketamine) in PPD patients. Brexanolone was the first neurosteroid to receive FDA approval for PPD, while zuranolone also shows promise. Ketamine and esketamine are also associated with reduced PPD risk, particularly with perioperative administration during cesarean delivery, though benefits are predominantly short-term. These glutamate–GABA pathway modulators represent novel therapeutic alternatives with rapid onset profiles. Further investigation and research are needed to optimize dosing protocols and patient selection criteria and to establish long-term efficacy before PPD treatment guidelines can be drafted. Full article
33 pages, 640 KB  
Review
Future Pharmacotherapy for Bipolar Disorders: Emerging Trends and Personalized Approaches
by Giuseppe Marano, Francesco Maria Lisci, Gianluca Boggio, Ester Maria Marzo, Francesca Abate, Greta Sfratta, Gianandrea Traversi, Osvaldo Mazza, Roberto Pola, Gabriele Sani, Eleonora Gaetani and Marianna Mazza
Future Pharmacol. 2025, 5(3), 42; https://doi.org/10.3390/futurepharmacol5030042 - 4 Aug 2025
Viewed by 6083
Abstract
Background: Bipolar disorder (BD) is a chronic and disabling psychiatric condition characterized by recurring episodes of mania, hypomania, and depression. Despite the availability of mood stabilizers, antipsychotics, and antidepressants, long-term management remains challenging due to incomplete symptom control, adverse effects, and high relapse [...] Read more.
Background: Bipolar disorder (BD) is a chronic and disabling psychiatric condition characterized by recurring episodes of mania, hypomania, and depression. Despite the availability of mood stabilizers, antipsychotics, and antidepressants, long-term management remains challenging due to incomplete symptom control, adverse effects, and high relapse rates. Methods: This paper is a narrative review aimed at synthesizing emerging trends and future directions in the pharmacological treatment of BD. Results: Future pharmacotherapy for BD is likely to shift toward precision medicine, leveraging advances in genetics, biomarkers, and neuroimaging to guide personalized treatment strategies. Novel drug development will also target previously underexplored mechanisms, such as inflammation, mitochondrial dysfunction, circadian rhythm disturbances, and glutamatergic dysregulation. Physiological endophenotypes, such as immune-metabolic profiles, circadian rhythms, and stress reactivity, are emerging as promising translational tools for tailoring treatment and reducing associated somatic comorbidity and mortality. Recognition of the heterogeneous longitudinal trajectories of BD, including chronic mixed states, long depressive episodes, or intermittent manic phases, has underscored the value of clinical staging models to inform both pharmacological strategies and biomarker research. Disrupted circadian rhythms and associated chronotypes further support the development of individualized chronotherapeutic interventions. Emerging chronotherapeutic approaches based on individual biological rhythms, along with innovative monitoring strategies such as saliva-based lithium sensors, are reshaping the future landscape. Anti-inflammatory agents, neurosteroids, and compounds modulating oxidative stress are emerging as promising candidates. Additionally, medications targeting specific biological pathways implicated in bipolar pathophysiology, such as N-methyl-D-aspartate (NMDA) receptor modulators, phosphodiesterase inhibitors, and neuropeptides, are under investigation. Conclusions: Advances in pharmacogenomics will enable clinicians to predict individual responses and tolerability, minimizing trial-and-error prescribing. The future landscape may also incorporate digital therapeutics, combining pharmacotherapy with remote monitoring and data-driven adjustments. Ultimately, integrating innovative drug therapies with personalized approaches has the potential to enhance efficacy, reduce adverse effects, and improve long-term outcomes for individuals with bipolar disorder, ushering in a new era of precision psychiatry. Full article
Show Figures

Figure 1

18 pages, 2892 KB  
Review
Roles of Type 10 17β-Hydroxysteroid Dehydrogenase in Health and Disease
by Xue-Ying He, Janusz Frackowiak and Song-Yu Yang
J. Pers. Med. 2025, 15(8), 346; https://doi.org/10.3390/jpm15080346 - 1 Aug 2025
Viewed by 995
Abstract
Type 10 17β-hydroxysteroid dehydrogenase (17β-HSD10) is the HSD17B10 gene product. It plays an appreciable part in the carcinogenesis and pathogenesis of neurodegeneration, such as Alzheimer’s disease and infantile neurodegeneration. This mitochondrial, homo-tetrameric protein is a central hub in various metabolic pathways, e.g., branched-chain [...] Read more.
Type 10 17β-hydroxysteroid dehydrogenase (17β-HSD10) is the HSD17B10 gene product. It plays an appreciable part in the carcinogenesis and pathogenesis of neurodegeneration, such as Alzheimer’s disease and infantile neurodegeneration. This mitochondrial, homo-tetrameric protein is a central hub in various metabolic pathways, e.g., branched-chain amino acid degradation and neurosteroid metabolism. It can bind to other proteins carrying out diverse physiological functions, e.g., tRNA maturation. It has also previously been proposed to be an Aβ-binding alcohol dehydrogenase (ABAD) or endoplasmic reticulum-associated Aβ-binding protein (ERAB), although those reports are controversial due to data analyses. For example, the reported km value of some substrate of ABAD/ERAB was five times higher than its natural solubility in the assay employed to measure km. Regarding any reported “one-site competitive inhibition” of ABAD/ERAB by Aβ, the ki value estimations were likely impacted by non-physiological concentrations of 2-octanol at high concentrations of vehicle DMSO and, therefore, are likely artefactual. Certain data associated with ABAD/ERAB were found not reproducible, and multiple experimental approaches were undertaken under non-physiological conditions. In contrast, 17β-HSD10 studies prompted a conclusion that Aβ inhibited 17β-HSD10 activity, thus harming brain cells, replacing a prior supposition that “ABAD” mediates Aβ neurotoxicity. Furthermore, it is critical to find answers to the question as to why elevated levels of 17β-HSD10, in addition to Aβ and phosphorylated Tau, are present in the brains of AD patients and mouse AD models. Addressing this question will likely prompt better approaches to develop treatments for Alzheimer’s disease. Full article
Show Figures

Figure 1

12 pages, 500 KB  
Review
Neuroendocrinological Aspects of a Tailored Hormonal Contraception
by Christian Battipaglia, Anna Szeliga, Veronica Setti, Gregory Bala, Peter Chedraui, Alessandro D. Genazzani and Blazej Meczekalski
Endocrines 2025, 6(3), 37; https://doi.org/10.3390/endocrines6030037 - 31 Jul 2025
Cited by 1 | Viewed by 1895
Abstract
Hormonal contraceptives (HCs) are widely used and generally well tolerated; however, their neuroendocrinological effects remain underappreciated in clinical decision-making. Beyond ovulation suppression, HCs influence brain function by modulating key neurotransmitters such as GABA, serotonin, and dopamine, as well as neurosteroids like allopregnanolone and [...] Read more.
Hormonal contraceptives (HCs) are widely used and generally well tolerated; however, their neuroendocrinological effects remain underappreciated in clinical decision-making. Beyond ovulation suppression, HCs influence brain function by modulating key neurotransmitters such as GABA, serotonin, and dopamine, as well as neurosteroids like allopregnanolone and β-endorphin. These interactions help explain why some users experience mood swings, anxiety, or changes in sexual desire, while others report improvements in well-being. In this narrative review, we explore how different estrogenic and progestin components affect central pathways involved in emotional regulation and cognition. Evidence suggests that estradiol or estetrol-based formulations combined with anti-androgenic progestins like drospirenone or nomegestrol acetate may offer a more favourable neuroendocrine profile, particularly in women with a history of mood disorders or hormonal sensitivity. Understanding these neuroendocrine mechanisms may support more personalized contraceptive choices, particularly in women with mood disorders and hormonal vulnerability. Full article
(This article belongs to the Section Neuroendocrinology and Pituitary Disorders)
Show Figures

Figure 1

26 pages, 1216 KB  
Review
Neurosteroids, Microbiota, and Neuroinflammation: Mechanistic Insights and Therapeutic Perspectives
by Amal Tahri, Elena Niccolai and Amedeo Amedei
Int. J. Mol. Sci. 2025, 26(14), 7023; https://doi.org/10.3390/ijms26147023 - 21 Jul 2025
Viewed by 4080
Abstract
The gut–brain axis (GBA) represents a complex bidirectional communication network that links the gut microbiota (GM) and the central nervous system (CNS). Recent research has revealed that neurosteroids (NSs) play crucial roles in modulating neuroinflammatory responses and promoting neuroprotection. Meanwhile, GM alterations have [...] Read more.
The gut–brain axis (GBA) represents a complex bidirectional communication network that links the gut microbiota (GM) and the central nervous system (CNS). Recent research has revealed that neurosteroids (NSs) play crucial roles in modulating neuroinflammatory responses and promoting neuroprotection. Meanwhile, GM alterations have been associated with various neuroinflammatory and neurodegenerative conditions, such as multiple sclerosis, Alzheimer’s disease, and amyotrophic lateral sclerosis. This review aims to provide a comprehensive overview of the intricate interactions between NS, GM, and neuroinflammation. We discuss how NS and metabolites can influence neuroinflammatory pathways through immune, metabolic, and neuronal mechanisms. Additionally, we explore how GM modulation can impact neurosteroidogenesis, highlighting potential therapeutic strategies that include probiotics, neuroactive metabolites, and targeted interventions. Understanding these interactions may pave the way for innovative treatment approaches for neuroinflammatory and neurodegenerative diseases, promoting a more integrated view of brain health and disease management. Full article
Show Figures

Graphical abstract

15 pages, 575 KB  
Review
Neuroactive Steroids as Novel Promising Drugs in Therapy of Postpartum Depression—Focus on Zuranolone
by Jolanta B. Zawilska and Ewa Zwierzyńska
Int. J. Mol. Sci. 2025, 26(13), 6545; https://doi.org/10.3390/ijms26136545 - 7 Jul 2025
Viewed by 4340
Abstract
Postpartum depression (PPD) remains a significant health concern worldwide. Both non-pharmacological and pharmacological treatments are available for patients with PPD; however, the standard approach involving selective serotonin reuptake inhibitors (SSRIs) and other antidepressants fails to provide a rapid response. This narrative review presents [...] Read more.
Postpartum depression (PPD) remains a significant health concern worldwide. Both non-pharmacological and pharmacological treatments are available for patients with PPD; however, the standard approach involving selective serotonin reuptake inhibitors (SSRIs) and other antidepressants fails to provide a rapid response. This narrative review presents basic clinical and epidemiological data on PPD, summarizes currently used pharmacotherapies of PPD, highlights their limitations, and discusses new therapies based on a revised understanding of the disease’s pathogenesis. Numerous studies indicate that dysregulation of GABAergic neurotransmission, which may result from fluctuating levels of neuroactive steroids during pregnancy and the postpartum period, plays an important role in the complex pathology of PPD. Considering this, neuroactive steroids, which act as positive allosteric modulators of central GABAA receptors (GABAARs), may offer new promising avenues for treating PPD. The first rapid-acting neurosteroid approved by the FDA to treat PPD in women is brexanolone, although its use is constrained by pharmacokinetic properties. The first oral neuroactive steroid-based antidepressant approved by the FDA for PPD is zuranolone. This review discusses the molecular mechanism of zuranolone action and the results of preclinical and clinical studies regarding the effectiveness and safety of the drug in treating PPD. Full article
Show Figures

Figure 1

15 pages, 993 KB  
Article
Effects of Stress and Allopregnanolone on the Expression of Neurotrophins and TrkB Receptor in the Sheep Hippocampus
by Tomasz Misztal, Patrycja Młotkowska, Elżbieta Marciniak, Marcin Barszcz, Bartosz Osuch, Alina Gajewska and Anna Misztal
Int. J. Mol. Sci. 2025, 26(13), 6190; https://doi.org/10.3390/ijms26136190 - 27 Jun 2025
Cited by 1 | Viewed by 741
Abstract
Neurotrophins, such as brain-derived neurotrophic factor (BDNF) and neurosteroids, including allopregnanolone (ALLO), play critical roles in modulating neuronal activity in the brain. Levels of these compounds dynamically fluctuate in response to physiological and environmental conditions, particularly stress, suggesting complex regulatory interactions. This study [...] Read more.
Neurotrophins, such as brain-derived neurotrophic factor (BDNF) and neurosteroids, including allopregnanolone (ALLO), play critical roles in modulating neuronal activity in the brain. Levels of these compounds dynamically fluctuate in response to physiological and environmental conditions, particularly stress, suggesting complex regulatory interactions. This study aimed to explore the effects of acute stress and ALLO (individually and combined) on hippocampal expression of BDNF, its TrkB receptor, and other neurotrophins in sheep, a translational large animal model. Adult, luteal-phase sheep (n = 24), implanted with a guide cannula into the third brain ventricle, were divided into four experimental groups: (i) 3 days of Ringer–Locke solution (RL) infusion as the control; (ii) 3 days of RL infusion with 4 h acute stress on day three; (iii) 3 days of ALLO infusion (4 × 15 µg/60 µL/30 min) with 4 h acute stress on day three; and (iv) 3 days of ALLO infusion alone (n = 6 per group). Both acute stress and ALLO alone significantly reduced BDNF concentration and BDNF transcript abundance in the hippocampal CA1 and CA3 fields compared to the control group. The combined application of both stress and ALLO resulted in decreased levels of these parameters, except for BDNF concentration in the CA3 region. Additionally, TrkB mRNA expression in both hippocampal fields was significantly reduced in all treatment groups. Changes in mRNA levels for other neurotrophins, including nerve growth factor (NGF) and neurotrophin 3 (NT3) and 4 (NT4), varied under experimental conditions. While an inhibitory effect was predominant, NGF expression in the CA1 region remained unaffected by stress or ALLO. Interestingly, stress alone induced a significant increase in NT4 mRNA expression in the CA3 field compared to the control. In conclusion, the study demonstrated that a 4 h acute stress exposure inhibited the synthesis of BDNF, TrkB, and several other neurotrophins in the sheep hippocampus. Furthermore, ALLO, whose increased levels are highly correlated with the initial stress response, may serve as a mediator of this stress effect, temporarily preventing over-stimulation of hippocampal BDNF release and signaling. Full article
(This article belongs to the Section Molecular Neurobiology)
Show Figures

Figure 1

16 pages, 1090 KB  
Article
Suicidality Risks Associated with Finasteride, a 5-Alpha Reductase Inhibitor: An Evaluation of Real-World Data from the FDA Adverse Event Reports
by Hilal A. Thaibah, Otilia J. F. Banji, David Banji, Hadi A. Almansour and Thamir M. Alshammari
Pharmaceuticals 2025, 18(7), 957; https://doi.org/10.3390/ph18070957 - 25 Jun 2025
Viewed by 8648
Abstract
Background: Finasteride, a 5α-reductase inhibitor, is used for androgenetic alopecia and benign prostatic hyperplasia. However, concerns have emerged about its psychiatric side effects, including suicidality. This study analyzed finasteride-related reports from the FDA Adverse Event Reporting System (FAERS) to identify potential safety [...] Read more.
Background: Finasteride, a 5α-reductase inhibitor, is used for androgenetic alopecia and benign prostatic hyperplasia. However, concerns have emerged about its psychiatric side effects, including suicidality. This study analyzed finasteride-related reports from the FDA Adverse Event Reporting System (FAERS) to identify potential safety signals. Methods: Adverse events reported from 2015 to 2024 were extracted using preferred terms, quantified using Bayesian analysis and disproportionality metrics, including empirical Bayesian geometric mean (EBGM), information component (IC), reporting odds ratio (ROR), and proportional reporting ratio (PRR). Results: Most were male (87%), with 43% aged 18–40 years, primarily using finasteride for hair loss. Disproportionality metrics for suicidality-related events fluctuated between 2019 and 2024. In 2019, the ROR was 27.51 (95% CI: 23.22–32.58), the PRR was 21.96 (95% CI: 18.54–26.01), the EBGM was 20.50, and the IC was 4.36. A slight decline was observed in 2020, a surge in 2021, and a peak in 2022 (ROR 34.64 (95% CI: 28.36–41.88), PRR 27.82 (95% CI: 22.30–34.61), EBGM 24.96, IC 4.64). Although a sharp rise in suicidality reports was noted in 2024, the rates of ROR and PRR dropped to 19.04 (95% CI: 17.02–21.30) and 16.53 (95% CI: 14.78–18.50), respectively. Serious outcomes such as disability (18.7%), life-threatening events (12.9%), and death (7.5%) were also noted. Conclusions: The upward trend in suicidality-related safety signals among young male users since 2019, which peaked in 2024, reflects emerging safety concerns among finasteride users, reinforcing the need for pharmacovigilance. Collaborative action among healthcare professionals, regulatory authorities, and pharmaceutical companies, along with clear warnings and mental health assessments before and throughout finasteride therapy, can mitigate potential psychiatric risks and enhance patient safety. Full article
(This article belongs to the Special Issue Therapeutic Drug Monitoring and Adverse Drug Reactions: 2nd Edition)
Show Figures

Figure 1

27 pages, 1432 KB  
Review
Neurosteroids Progesterone and Dehydroepiandrosterone: Molecular Mechanisms of Action in Neuroprotection and Neuroinflammation
by Tatiana A. Fedotcheva and Nikolay L. Shimanovsky
Pharmaceuticals 2025, 18(7), 945; https://doi.org/10.3390/ph18070945 - 23 Jun 2025
Cited by 2 | Viewed by 2890
Abstract
Neurosteroids pregnenolone, progesterone, allopregnanolone, and dehydroepiandrosterone have been actively studied in the last years as candidates for the treatment of neurodegenerative diseases and postinjury rehabilitation. The neuroprotective mechanisms of these neurosteroids have been shown in clinical studies of depression, epilepsy, status epilepticus, traumatic [...] Read more.
Neurosteroids pregnenolone, progesterone, allopregnanolone, and dehydroepiandrosterone have been actively studied in the last years as candidates for the treatment of neurodegenerative diseases and postinjury rehabilitation. The neuroprotective mechanisms of these neurosteroids have been shown in clinical studies of depression, epilepsy, status epilepticus, traumatic brain injury, fragile X syndrome, and chemical neurotoxicity. However, only the allopregnanolone analogs brexanolone and zuranolone have been recently approved by the FDA for the treatment of depression. The aim of this review was to evaluate whether the endogenous neurosteroids can be used in clinical practice as neuroprotectors. Neurosteroids are multitarget compounds with strong anti-inflammatory, immunomodulatory, and cytoprotective action; they stimulate the synthesis and release of BDNF and increase remyelination and regeneration. In addition to nuclear and membrane steroid hormone receptors, such as PR, mPR, PGRMC1,2, ER, AR, CAR, and PXR, they can bind to GABAA receptors, NMDA receptors, Sigma-1 and -2 receptors (σ1-R/σ2-R). Among these, mPRs, PGRMC1,2, sigma receptors, and mitochondrial proteins attract comprehensive attention because of strong binding with the P4 and DHEA, but subsequent signaling is poorly studied. Other plasma membrane and mitochondrial proteins are involved in the rapid nongenomic neuroprotective action of neurosteroids. P-glycoprotein, BCL-2 proteins, and the components of the mitochondrial permeability transition pore (mPTP) play a significant role in the defense against the injuries of the brain and the peripheral nervous system. The role of these proteins in the molecular mechanisms of action in neuroprotection and neuroinflammation has not yet been clearly established. The aspects of their participation in these pathological processes are discussed. New formulations, such as lipophilic emulsions, nanogels, and microneedle array patches, are attractive strategies to overcome the low bioavailability of these neurosteroids for the amelioration and treatment of various nervous disorders. Full article
Show Figures

Figure 1

23 pages, 2516 KB  
Review
Cholesterol Sulfate: Pathophysiological Implications and Potential Therapeutics
by Xiaoqian Yu, Siman Lei, Ying Shen, Tao Liu, Jun Li, Jia Wang and Zhiguang Su
Biomolecules 2025, 15(5), 646; https://doi.org/10.3390/biom15050646 - 30 Apr 2025
Cited by 2 | Viewed by 2188
Abstract
Cholesterol sulfate (CS) is a naturally occurring cholesterol derivative that is widely distributed across various tissues and body fluids. In humans, its biosynthesis is primarily mediated by the sulfotransferase (SULT) 2B1b (SULT2B1b). Over the years, CS has been found to play critical roles [...] Read more.
Cholesterol sulfate (CS) is a naturally occurring cholesterol derivative that is widely distributed across various tissues and body fluids. In humans, its biosynthesis is primarily mediated by the sulfotransferase (SULT) 2B1b (SULT2B1b). Over the years, CS has been found to play critical roles in various physiological processes, including epidermal cell adhesion, sperm capacitation, platelet adhesion, coagulation, glucolipid metabolism, bone metabolism, gut microbiota metabolism, neurosteroid biosynthesis, T-cell receptor signaling, and immune cell migration. In this review, we first introduce the endogenous regulation of CS biosynthesis and metabolism. We then highlight current advances in the understanding of the physiological roles of CS. Finally, we delve into the implications of CS in various diseases, with a particular focus on its mechanism of action and potential therapeutic applications. A comprehensive understanding of CS’s physiological function, biosynthesis regulation, and role as a disease modifier offers novel insights that could pave the way for innovative therapeutic strategies targeting a wide range of conditions. Full article
(This article belongs to the Section Natural and Bio-derived Molecules)
Show Figures

Figure 1

21 pages, 7478 KB  
Article
Synthesis and Evaluation of a Novel Zuranolone Analog with High GABAA Receptor PAM Activity and Excellent Pharmacokinetic Profiles
by Yingjie Yang, Xu Deng, Hengwei Xu, Daoyuan Chen, Fengjuan Zhao, Huijie Yang, Wenyan Wang, Chunjie Sha, Mingxu Ma, Guanqing Zhang, Liang Ye and Jingwei Tian
Molecules 2025, 30(9), 1918; https://doi.org/10.3390/molecules30091918 - 25 Apr 2025
Viewed by 2047
Abstract
Zuranolone (SAGE-217), the first FDA-approved oral neurosteroid (NAS), a positive allosteric modulator (PAM) of γ-aminobutyric acid type A (GABAA) receptor for postpartum depression approved in 2023, has limitations such as short half-life, low bioavailability, and central inhibitory side effects. To address [...] Read more.
Zuranolone (SAGE-217), the first FDA-approved oral neurosteroid (NAS), a positive allosteric modulator (PAM) of γ-aminobutyric acid type A (GABAA) receptor for postpartum depression approved in 2023, has limitations such as short half-life, low bioavailability, and central inhibitory side effects. To address these, we designed novel C-21 modified derivatives of Zuranolone, identifying the triazolone scaffold as key for enhancing GABAA activity. Here, we synthesized Zuranolone analogs with diverse triazolone substituents, finding that pyridine-derived modifications improved the activity correlated with LogP. The optimal derivative, S9 (2-(trifluoroethoxy)pyridine-triazolone, LogP 4.61), showed 2.5-fold greater potency (EC50) and efficacy (Emax) than Zuranolone (LogP 4.78) at synaptic/extrasynaptic GABAA receptors, attributed to stronger binding via molecular docking. In rats, S9 exhibited 5-fold longer plasma T1/2, 6-fold higher AUC, 3-fold greater brain exposure, and 30% improved bioavailability. It also outperformed Zuranolone in pentylenetetrazole (PTZ)-induced seizure suppression and threshold dose for loss of righting reflex (LORR) in rats. The C21-pyridine-triazolone pharmacophore in S9 enhances receptor activity potency without increasing lipophilicity, optimizing pharmacokinetics and safety, which makes it a promising therapeutic candidate for depression and epilepsy. Full article
Show Figures

Figure 1

Back to TopTop