Sign in to use this feature.

Years

Between: -

Subjects

remove_circle_outline
remove_circle_outline
remove_circle_outline
remove_circle_outline
remove_circle_outline
remove_circle_outline
remove_circle_outline
remove_circle_outline
remove_circle_outline

Journals

remove_circle_outline
remove_circle_outline
remove_circle_outline
remove_circle_outline
remove_circle_outline
remove_circle_outline

Article Types

Countries / Regions

remove_circle_outline
remove_circle_outline
remove_circle_outline
remove_circle_outline

Search Results (459)

Search Parameters:
Keywords = nAChR

Order results
Result details
Results per page
Select all
Export citation of selected articles as:
20 pages, 1237 KB  
Article
Alkaloids from In Vitro Cultured Rhodophiala pratensis Display Neuroprotective Effects in Murine Microglial Cell Models of Inflammation
by Diana Correa-Otero, Nandis Fiallos, Ángela Gómez-Mediavilla, Manuela G. López, Carlota Siguero-Gómez, Luis Bustamante, Julio Alarcón-Enos and Edgar Pastene-Navarrete
Plants 2026, 15(8), 1186; https://doi.org/10.3390/plants15081186 (registering DOI) - 12 Apr 2026
Abstract
Neuroinflammation is determinant in the progression of neurodegenerative diseases. One of the main mechanisms underlying this process involves the persistent activation of glial cells. Persistent activation of glial cells induces proinflammatory transcription factors and the release of cytokines, chemokines, and reactive oxygen species [...] Read more.
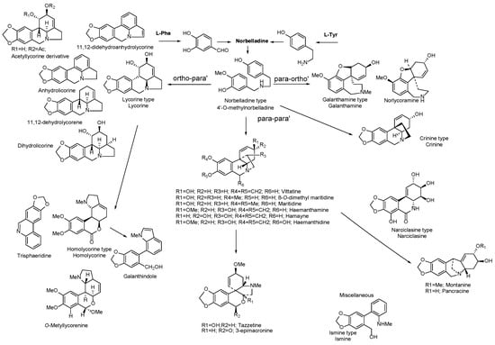
Neuroinflammation is determinant in the progression of neurodegenerative diseases. One of the main mechanisms underlying this process involves the persistent activation of glial cells. Persistent activation of glial cells induces proinflammatory transcription factors and the release of cytokines, chemokines, and reactive oxygen species that exacerbate cellular dysfunction. This neurotoxic environment promotes neuronal death, while the products of cellular damage feed back into glial activation, establishing a self-sustaining pathogenic cycle that drives neurodegeneration. Alkaloids present in Amaryllidaceae plants support the use of this resource in folk medicine, displaying potent effects as acetylcholinesterase inhibitors and allosteric modulators of nicotinic receptors (nAChR). In this study, a murine microglial cell (IMG) model of LPS-induced inflammation was used to evaluate the involvement of α7 and α4β2 nAChRs in glioprotection and neuroprotection of SH-SY5Y cells against 6-hydroxydopamine (OHDA). GC-MS analysis revealed differences in the alkaloid profile between in vitro cultures with fructose and wild-type Rhodophiala pratensis. Homolycorine-type, norbelladine-type and crinine-type alkaloids produced in vitro reduced LPS-induced inflammation (5 µg/mL), possibly via α7 and α4β2 nAChRs, and showed a protective effect against OHDA-induced oxidative stress (1–3 µg/mL) and inhibited AChE and BuChE (24–78 µg/mL). Full article
(This article belongs to the Section Phytochemistry)
Show Figures

Figure 1

11 pages, 614 KB  
Review
Beyond the Genomic Storm: Evaluating Tabernanthalog as a Potential Scaffold for Silent Neuroplasticity and Broad-Spectrum Therapy
by Ivan Anchesi, Ivana Raffaele, Maria Francesca Astorino, Maria Lui, Marco Calabrò and Giovanni Luca Cipriano
Int. J. Mol. Sci. 2026, 27(6), 2811; https://doi.org/10.3390/ijms27062811 - 20 Mar 2026
Viewed by 556
Abstract
The clinical renaissance of psychedelic medicine has highlighted the therapeutic potential of rapid-acting neuroplastogens, or “psychoplastogens,” for psychiatric disorders. However, the widespread application of classical psychedelics—such as psilocybin and LSD—and the atypical dissociative ibogaine is severely limited by their hallucinogenic properties and, particularly [...] Read more.
The clinical renaissance of psychedelic medicine has highlighted the therapeutic potential of rapid-acting neuroplastogens, or “psychoplastogens,” for psychiatric disorders. However, the widespread application of classical psychedelics—such as psilocybin and LSD—and the atypical dissociative ibogaine is severely limited by their hallucinogenic properties and, particularly in the case of ibogaine, life-threatening cardiotoxicity. Addressing these limitations, Tabernanthalog (TBG) has emerged as a frontrunner in the field. This non-hallucinogenic analog of ibogaine was rationally designed to eliminate interactions with the human ether-à-go-go-related gene (hERG, KCNH2) potassium channel, thereby mitigating cardiotoxic risks. While initially characterized for its anti-addictive and antidepressant-like properties, recent data from 2024–2025 have significantly expanded its therapeutic horizon. TBG demonstrates robust efficacy in preclinical models of neuropathic and visceral pain, as well as in the rescue of cognitive deficits associated with cancer-related cognitive impairment (CRCI). TBG has shown efficacy in reversing cognitive impairments induced directly by the presence of a tumor in preclinical models, rather than by chemotherapy-specific neurotoxicity. Crucially, emerging evidence suggests that TBG’s mechanism extends beyond simple 5-HT2A receptor agonism. New findings point to a multi-target profile involving the inhibition of nicotinic acetylcholine receptors (nAChRs), positive modulation of NMDA receptors, and functional crosstalk with mGlu2 receptors. Furthermore, TBG appears to induce structural neuroplasticity without the widespread induction of immediate early genes (IEGs) seen with classical hallucinogens, suggesting a decoupling of therapeutic rewiring from the subjective psychedelic experience. This review synthesizes current preclinical evidence to discuss TBG as a promising chemical scaffold for next-generation neurotherapeutics targeting the intersection of psychiatry and neurology. Full article
Show Figures

Figure 1

15 pages, 540 KB  
Article
Monitoring of Insecticide Resistance and Resistance-Related Point Mutations in Field-Collected Aphis gossypii Populations in the Northern Xinjiang, China
by Yunhao Wang, Wenjie Li, Mei Liu, Renci Xiong, Yongsheng Yao and Wei Wang
Insects 2026, 17(3), 314; https://doi.org/10.3390/insects17030314 - 13 Mar 2026
Viewed by 421
Abstract
In 2024 and 2025, field populations of Aphis gossypii were collected from eight regions in Xinjiang to monitor their resistance levels to five commonly used insecticides: sulfoxaflor, acetamiprid, imidacloprid, abamectin, and chlorpyrifos. The mutation frequencies of five sites in the acetylcholinesterase (AChE) gene [...] Read more.
In 2024 and 2025, field populations of Aphis gossypii were collected from eight regions in Xinjiang to monitor their resistance levels to five commonly used insecticides: sulfoxaflor, acetamiprid, imidacloprid, abamectin, and chlorpyrifos. The mutation frequencies of five sites in the acetylcholinesterase (AChE) gene (S431F, V332A, A302S, G221A, F139L) and three sites in the β1 subunit of the nicotinic acetylcholine receptor (nAChR) (R81T, V62I, K264E) were also analyzed. The results showed that from 2024 to 2025, the eight A. gossypii field populations exhibited the highest resistance to imidacloprid (primarily moderate to high resistance), followed by acetamiprid (all moderate resistance). Resistance to abamectin and sulfoxaflor was relatively low, but sulfoxaflor resistance increased rapidly (from low resistance in 2024 to moderate resistance in 2025). All populations remained consistently susceptible to chlorpyrifos. Gene analysis revealed that the mutation rate of S431F in the AChE gene was nearly 100%, while that of V332A remained stable at approximately 30%. The mutation rates of A302S and G221A showed a slight increase, whereas the F139L mutation rate was extremely low (<1.00%). In the β1 subunit of nAChR, the mutation rates of R81T and V62I remained stable at around 50%, and the K264E mutation rate was extremely low (<1.00%). This study clarifies the resistance evolution patterns of A. gossypii to different insecticides and the variation characteristics of key resistance genes in Xinjiang, providing a scientific basis for the integrated resistance management of A. gossypii and the rational selection of effective insecticides. Full article
(This article belongs to the Special Issue Cotton Pest Management)
Show Figures

Figure 1

41 pages, 1375 KB  
Review
Coevolution Between Three-Finger Toxins and Target Receptors
by Jéssica Lopes de Oliveira and Henrique Roman-Ramos
Receptors 2026, 5(1), 7; https://doi.org/10.3390/receptors5010007 - 14 Feb 2026
Viewed by 551
Abstract
Background: Three-finger toxins (3FTxs) are a major axis of functional diversification in advanced snake venoms, with canonical paralytic activity mediated through muscle-type nicotinic acetylcholine receptors (nAChRs) and a broader set of non-nicotinic targets. This review integrates evidence bearing on coevolution between 3FTxs [...] Read more.
Background: Three-finger toxins (3FTxs) are a major axis of functional diversification in advanced snake venoms, with canonical paralytic activity mediated through muscle-type nicotinic acetylcholine receptors (nAChRs) and a broader set of non-nicotinic targets. This review integrates evidence bearing on coevolution between 3FTxs and target receptors, spanning toxin origin, diversification, receptor evolution, and ecological context. Methods: The synthesis draws on comparative genomic and transcriptomic studies of 3FTx gene-family evolution, codon-model analyses of selection, structural characterisation of toxin–receptor interfaces, and functional assays (including receptor-mimicking peptide binding) that link sequence variation to binding and toxicity. Results: Across lineages, 3FTx diversification is repeatedly structured by strong constraint on the disulphide-rich scaffold with accelerated change concentrated in solvent-exposed loops, alongside birth–death dynamics and exon/segment-level innovation that expand binding specificity. On the receptor side, resistance-associated variation is most intensively characterised for the nAChR α1 orthosteric site and includes convergent, mechanistically distinct solutions such as electrostatic repulsion and glycosylation-mediated steric interference. Within the predominantly elapid systems currently examined, integrative datasets indicate that prey-selective binding and geographically variable susceptibility can arise from modest substitutions at toxin–receptor interfaces, but they also reveal substantial taxonomic and target-specific biases. Conclusions: Current evidence supports adaptive diversification in both toxins and receptors, while broader evolutionary interpretations are limited by uneven sampling and the frequent lack of matched toxin and receptor variants analysed within a common evolutionary framework. Development of predictive models will require joint pipelines linking genomics, structure-informed evolutionary inference, scalable functional assays, and explicit ecological network context. Full article
Show Figures

Graphical abstract

24 pages, 3276 KB  
Article
In Vitro and Clinical Evaluation of the Anti-Wrinkle Efficacy of Medipep-6PN, a Novel Peptide Identified by Phage Display
by Jinho Bang, Kyuhyuk Im, Yul-Lye Hwang, Mi Yoon Kim, Jae Nam Yun, Min Youl Chang, Sunghyun Kim and Jeung-hoon Lee
Int. J. Mol. Sci. 2026, 27(4), 1753; https://doi.org/10.3390/ijms27041753 - 11 Feb 2026
Viewed by 770
Abstract
Face wrinkles caused by skin aging can be classified into dynamic wrinkles, which are caused by repetitive contraction of facial expression muscles, and static wrinkles, which are related to extracellular matrix damage and collagen breakdown caused by ultraviolet and oxidative stress. These two [...] Read more.
Face wrinkles caused by skin aging can be classified into dynamic wrinkles, which are caused by repetitive contraction of facial expression muscles, and static wrinkles, which are related to extracellular matrix damage and collagen breakdown caused by ultraviolet and oxidative stress. These two mechanisms are closely related, and prolonged, repetitive muscle contractions act as mechanical stress that promotes extracellular matrix degradation within the dermis, accelerating wrinkle formation. In this study, we used phage display to develop a novel peptide, Medipep-6PN, that targets both muscle-type nicotinic acetylcholine receptor (muscle nAChR), a major cause of dynamic wrinkles, and matrix metalloproteinase-1 (MMP-1), a cause of static wrinkles. In this study, the kinetic analysis of Medipep-6PN using surface plasmon resonance analysis showed that the equilibrium dissociation constant (KD) for muscle nAChR α1 was 9.56 × 10−6 M, and the KD for MMP-1 was 1.25 × 10−6 M. Calcium imaging analysis in TE671 cells expressing the muscle nAChR pentamer determined that Medipep-6PN inhibited muscle nAChR channel activity in a concentration-dependent manner, and in particular, it was confirmed that about 80% of muscle nAChR channel activity was inhibited under 30 μM of Medipep-6PN. In addition, in an in vitro test performed to evaluate MMP-1 activity, Medipep-6PN inhibited MMP-1 activity in a concentration-dependent manner, and the IC50 was 4.2 ppm. When measuring MMP-1 gene expression in UVB-induced human fibroblasts, 1 ppm of Medipep-6PN showed a 52.3% decrease compared to UVB irradiation alone. When measuring type I procollagen synthesis in human fibroblasts, Medipep-6PN increased procollagen Iα1 production in a concentration-dependent manner, and concentrations between 5 and 10 ppm of Medipep-6PN significantly increased collagen I production. No significant toxicity was observed in cytotoxicity tests, demonstrating its safety. Furthermore, in a clinical study evaluating wrinkle improvement efficacy in 25 adults over a four-week period, the Medipep-6PN group demonstrated statistically significant reductions in wrinkle depth (by 10.16%) and wrinkle volume (by 13.00%), demonstrating efficacy comparable to that of commercially available functional anti-wrinkle ingredients. In conclusion, this study demonstrates that Medipep-6PN, developed to target two mechanisms—the relaxation of muscle contraction and the inhibition of collagen degradation—is a functional peptide effective in improving skin wrinkles, confirmed through in vitro evaluation and clinical studies. Full article
(This article belongs to the Section Molecular Biology)
Show Figures

Figure 1

22 pages, 1864 KB  
Review
Chimeric Approach to Identify Molecular Determinants of Nicotinic Acetylcholine Receptors
by Pooja Sapkota, Seyedeh Melika Akaberi, Biwash Ghimire and Kavita Sharma
Int. J. Mol. Sci. 2026, 27(2), 1091; https://doi.org/10.3390/ijms27021091 - 22 Jan 2026
Viewed by 599
Abstract
Nicotinic acetylcholine receptors (nAChRs) are membrane-bound proteins that mediate fast synaptic transmission throughout the nervous system. A functional nAChR subtype is formed by the combination of multiple subunits arranged as homomeric or heteromeric pentamers, each with a distinct pharmacological profile. Disruption of their [...] Read more.
Nicotinic acetylcholine receptors (nAChRs) are membrane-bound proteins that mediate fast synaptic transmission throughout the nervous system. A functional nAChR subtype is formed by the combination of multiple subunits arranged as homomeric or heteromeric pentamers, each with a distinct pharmacological profile. Disruption of their neurotransmission contributes to various neuropathologies, emphasizing the need for detailed knowledge of receptor structure, function, subunit composition, dynamics, and potential ligand-binding sites. However, their structural complexity as integral membrane proteins has hindered expression in mammalian cell lines and proven even more challenging to crystallize, limiting insights into ligand interactions. Understanding the molecular determinants governing nAChRs function is essential for the rational design of selective therapeutics targeting neurological disorders. The emergence of a chimeric receptor approach has dramatically improved the ability to study these important proteins and opened new avenues for high-throughput screening in drug discovery efforts. This review explains how the design of chimera constructs using soluble homologs, such as AChBP, provides researchers with an immense opportunity to investigate receptor structure–function relationships and subtype-specific properties, thereby facilitating the development of more effective treatments. Full article
Show Figures

Graphical abstract

18 pages, 2594 KB  
Article
Hippocampal Metabolomics Reveal the Mechanism of α-Conotoxin [S9K]TxID Attenuating Nicotine Addiction
by Meiting Wang, Weifeng Xu, Huanbai Wang, Cheng Cui, Rongyan He, Xiaodan Li, Jinpeng Yu, J. Michael McIntosh, Dongting Zhangsun and Sulan Luo
Mar. Drugs 2026, 24(1), 43; https://doi.org/10.3390/md24010043 - 15 Jan 2026
Viewed by 687
Abstract
Nicotine is the main substance responsible for the development of tobacco addiction. The α3β4 nicotinic acetylcholine receptors (nAChRs) are a potential key target for mitigating nicotine reward. Preliminary studies in our laboratory suggest that α-conotoxin [S9K]TxID serves as a selective and potent antagonist [...] Read more.
Nicotine is the main substance responsible for the development of tobacco addiction. The α3β4 nicotinic acetylcholine receptors (nAChRs) are a potential key target for mitigating nicotine reward. Preliminary studies in our laboratory suggest that α-conotoxin [S9K]TxID serves as a selective and potent antagonist targeting α3β4 nAChRs, which may be beneficial in addressing nicotine addiction. However, the mechanisms of [S9K]TxID treatment in nicotine addiction are still to be determined. This study aimed to identify the differential metabolic profiles of [S9K]TxID treatment in nicotine addiction using an untargeted metabolomic profiling method. As demonstrated by behavioral experiments, [S9K]TxID effectively attenuated nicotine-induced conditioned place preference (CPP) expression without exerting inhibitory effects on the central nervous system (CNS). The results of untargeted metabolomics revealed that eight metabolites were significantly altered after [S9K]TxID treatment, particularly phenylalanine. [S9K]TxID also attenuated nicotine-induced metabolic disorders by regulating phenylalanine, tyrosine and tryptophan biosynthesis. In conclusion, our findings suggest that [S9K]TxID could be a potential therapeutic compound for nicotine addiction. Full article
(This article belongs to the Section Marine Toxins)
Show Figures

Graphical abstract

15 pages, 1887 KB  
Article
Annurca Apple Extract and Colorectal Cancer Prevention: Preliminary In Silico Evaluation of Chlorogenic Acid
by Ludovico Abenavoli, Giuseppe Guido Maria Scarlata, Maria Luisa Gambardella, Domenico Morano, Nataša Milošević, Maja Milanović and Nataša Milić
Diseases 2026, 14(1), 33; https://doi.org/10.3390/diseases14010033 - 14 Jan 2026
Viewed by 562
Abstract
Background/Objectives: Colorectal cancer (CRC) is a leading cause of cancer morbidity and mortality worldwide. Despite therapeutic advances, prevention through dietary bioactives remains a promising strategy. The Annurca apple (Malus pumila Miller cv. Annurca), a Mediterranean food rich in chlorogenic acid, exhibits antioxidant [...] Read more.
Background/Objectives: Colorectal cancer (CRC) is a leading cause of cancer morbidity and mortality worldwide. Despite therapeutic advances, prevention through dietary bioactives remains a promising strategy. The Annurca apple (Malus pumila Miller cv. Annurca), a Mediterranean food rich in chlorogenic acid, exhibits antioxidant and anti-inflammatory effects. This study evaluated, via molecular docking, the multi-target interaction profile of chlorogenic acid against key CRC-related proteins. Methods: The optimized 3D structure of chlorogenic acid was docked to ten protein targets implicated in CRC pathogenesis, using the GOLD v.2022.3.0 software. Validation of the docking protocol was achieved by re-docking native ligands (RMSD ≤ 2.0 Å). Binding affinities were assessed by ChemPLP scoring, and interaction networks were visualized in Maestro Schrödinger. Results: Chlorogenic acid displayed consistent binding across all evaluated targets (ChemPLP 57.12–69.66), showing the highest affinity for nAChR (69.66), CXCR2 (65.13), ERβ (63.18) and TGFBR2 (62.94). The ligand formed multiple hydrogen bonds and π-π stacking interactions involving Asp1040 (VEGFR-1), Cys919 (VEGFR-2), Lys320 (CXCR2), and Tyr195 residues (nAChR), contributing to strong complex stabilization. Interaction patterns in CYP19A1, ERβ, and ERRγ suggested potential modulation of hormonal and metabolic signaling. The compound also demonstrated stable binding to mTOR (60.01), indicating a possible inhibitory role in proliferative pathways. Collectively, these findings reveal a broad, polypharmacological binding profile involving angiogenic, inflammatory, and hormonal regulators. Conclusions: Chlorogenic acid acts as a promising multi-target ligand in CRC prevention, with our in silico evidence supporting its ability to modulate diverse oncogenic pathways. Further experimental studies are warranted to confirm its efficacy and translational potential. Full article
Show Figures

Figure 1

23 pages, 4061 KB  
Article
Ly6/uPAR Protein from Asterias rubens Starfish Stimulates Migration and Invasion of Human Epithelial and Immune Cells
by Ekaterina N. Lyukmanova, Tamara Y. Gornostaeva, Sergey V. Shabelnikov, Zakhar O. Shenkarev, Mikhail P. Kirpichnikov, Alexander S. Paramonov and Maxim L. Bychkov
Mar. Drugs 2026, 24(1), 3; https://doi.org/10.3390/md24010003 - 19 Dec 2025
Viewed by 691
Abstract
Recently, we found that Lystar5 protein from coelomic cells of A. rubens starfish interacts with nicotinic acetylcholine receptors (nAChRs) and integrin α8-like protein. We hypothesized that Lystar5 mediates detachment of coelomic cells from the matrix and their migration. Skin wound healing in humans [...] Read more.
Recently, we found that Lystar5 protein from coelomic cells of A. rubens starfish interacts with nicotinic acetylcholine receptors (nAChRs) and integrin α8-like protein. We hypothesized that Lystar5 mediates detachment of coelomic cells from the matrix and their migration. Skin wound healing in humans is based on keratinocytes migration and is regulated by nAChRs and integrins. Here, we revealed that Lystar5 stimulates migration of human skin HaCaT keratinocytes and peripheral blood monocytes. Using ELISA, we found that Lystar5 binds to the membrane fraction of coelomic cells with its loops I and II, which form an active site of Lystar5 and resemble its pro-migratory activity. In keratinocytes and monocytes, Lystar5 and the peptides mimicking its loops I and II bound with α3, α4, and β2 nAChR and α5, αV, and β1 integrin subunits, which form molecular complexes. In keratinocytes, Lystar5 and its mimetics promoted short-term E/N cadherin switch and upregulated expression of α5 and αV integrins, EGFR, and ICAM-1. In keratinocytes and monocytes, Lystar5 and its mimetics upregulated E-selectin secretion. The ability of Lystar5 and its mimetics to stimulate skin keratinocyte migration and immune cell infiltration may be considered promising for the development of new wound-healing agents. Full article
Show Figures

Graphical abstract

46 pages, 1170 KB  
Review
Magnesium Ions as Modulators of Voltage-Gated and Ligand-Gated Ion Channels in Central Neurons
by Svetolik Spasic, Marko Biorac, Nikola Jovanovic, Srdjan Lopicic, Sanjin Kovacevic, Jelena Nesovic Ostojic and Marija Stanojević
Int. J. Mol. Sci. 2025, 26(24), 12152; https://doi.org/10.3390/ijms262412152 - 17 Dec 2025
Viewed by 1348
Abstract
Magnesium ions regulate synaptic and nonsynaptic neuronal excitability from intracellular (Mg2+i) and extracellular (Mg2+o) domains, modulating voltage- and ligand-gated ion channels. K+ inward rectifier (Kir) channel inward rectification arises from Mg2+i blocking the pore and [...] Read more.
Magnesium ions regulate synaptic and nonsynaptic neuronal excitability from intracellular (Mg2+i) and extracellular (Mg2+o) domains, modulating voltage- and ligand-gated ion channels. K+ inward rectifier (Kir) channel inward rectification arises from Mg2+i blocking the pore and outward K+ current, while Mg2+o targets external sites. Mg2+i causes voltage-dependent Ca2+ voltage-gated (CaV) and Na+ voltage-gated (NaV) channel block while phosphorylation modulates channel activity. Mg2+o elicits direct voltage-dependent CaV channel block, and screens surface charge, and in NaV channels reduces conduction and may cause depolarization by quantum tunneling across closed channels. Mg2+i is an allosteric large conductance Ca2+-activated K+ (BK) channel activator, binding to low-affinity sites to alter Ca2+ and voltage sensitivity but reduces small conductance Ca2+-activated K+ (SK) channels’ outward K+ current and induces inward rectification. N-Methyl-D-aspartate receptor (NMDAR) channels are inhibited by Mg2+i binding within the pore, while Mg2+o stabilizes excitability through voltage-dependent block, Mg2+o forms Mg-ATP complex modifying purinergic P2X receptor (P2XR) channel affinity and gating and directly blocks the pore. Mg2+o reduces gamma-aminobutyric acid type A receptor (GABAAR) channel Cl current amplitude and augments susceptibility to blockers. Mg2+o and Mg2+i block nicotinic acetylcholine receptor (nAChR) channels through voltage-dependent pore binding and surface charge screening, impeding current flow and altering gating. Full article
(This article belongs to the Special Issue The Role of Mg Homeostasis in Disease: 2nd Edition)
Show Figures

Figure 1

20 pages, 1161 KB  
Review
Prenatal Exposure to Tobacco Smoke and Vaping Aerosols: Mechanisms Disrupting White-Matter Formation
by Sebastián Beltran-Castillo, Juan Pablo Espinoza and Michelle Grambs
Toxics 2025, 13(12), 1071; https://doi.org/10.3390/toxics13121071 - 12 Dec 2025
Cited by 1 | Viewed by 959
Abstract
White-matter development during fetal life represents one of the most vulnerable processes to environmental disruption, as it relies on the precisely timed proliferation, migration, and differentiation of oligodendrocyte lineage cells. Among environmental threats, exposure to toxic compounds contained in tobacco smoke and vaping [...] Read more.
White-matter development during fetal life represents one of the most vulnerable processes to environmental disruption, as it relies on the precisely timed proliferation, migration, and differentiation of oligodendrocyte lineage cells. Among environmental threats, exposure to toxic compounds contained in tobacco smoke and vaping aerosols represents a major yet preventable risk during pregnancy. Despite growing awareness, tobacco smoking remains widespread, and a substantial proportion of the population—including pregnant women—continues to perceive electronic nicotine delivery systems (ENDS) as less harmful, a misconception that contributes to persistent prenatal exposure. These products expose the fetus to numerous substances that readily cross the placenta and reach the developing brain, including compounds with endocrine-disrupting activity, where they interfere with white-matter development. Epidemiological and neuroimaging studies consistently reveal microstructural alterations in white matter that correlate with long-term cognitive and behavioral impairments in offspring exposed in utero. These alterations may arise from both nicotine-specific pathways and the actions of other toxicants in cigarette smoke and ENDS aerosols that cross the placenta and disrupt white-matter emergence and maturation. Preclinical research provides mechanistic insight: nicotine acts directly on nicotinic acetylcholine receptors (nAChRs) in oligodendrocyte precursor cells, disrupting calcium signaling and differentiation, while additional constituents of smoke and vaping aerosols also affect astrocyte and microglial function and disturb the extracellular milieu required for proper myelination. Full article
(This article belongs to the Special Issue Reproductive and Developmental Toxicity of Environmental Factors)
Show Figures

Graphical abstract

15 pages, 1399 KB  
Article
Age-Dependent Regulation of Acetylcholine Release at the Neuromuscular Junction Mediated by GABA
by Egor Nevsky, Guzel Sibgatullina, Dmitry Samigullin, Artem Malomouzh, Vladimir Parpura and Konstantin Petrov
Cells 2025, 14(24), 1949; https://doi.org/10.3390/cells14241949 - 9 Dec 2025
Viewed by 1002
Abstract
γ-Aminobutyric acid (GABA) is the main inhibitory neurotransmitter in the central nervous system. However, GABA receptors, notably at the neuromuscular junction (NMJ), have also been identified in the peripheral nervous system. Here, we studied GABAB receptor (GABAB–R)-mediated regulation of acetylcholine [...] Read more.
γ-Aminobutyric acid (GABA) is the main inhibitory neurotransmitter in the central nervous system. However, GABA receptors, notably at the neuromuscular junction (NMJ), have also been identified in the peripheral nervous system. Here, we studied GABAB receptor (GABAB–R)-mediated regulation of acetylcholine (ACh) release in mouse NMJs during early postnatal development. The results revealed that, depending on the age of the mice, the activation of GABAB–R had the opposite effect on ACh release. At the NMJ in mice on the second postnatal (P2) day, the GABAB–R blocker CGP 55845 (5 μM) significantly increased the level of ACh release, whereas the GABAB–R agonist baclofen (10 μM) decreased ACh release. In P14-aged mice, CGP 55845 decreased ACh release, while the application of baclofen significantly increased the release. At the NMJ of P14 mice, the mechanism of the ACh release-potentiating effect of GABAB–R activation involves N-type calcium ion channels and small-conductance calcium ion-activated potassium ion channels. Full article
(This article belongs to the Section Cellular Neuroscience)
Show Figures

Graphical abstract

15 pages, 4357 KB  
Article
Assessment of [125I]a-Bungarotoxin Binding to a7 Nicotinic Acetylcholinergic Receptors in Hippocampus-Subiculum of Postmortem Human Parkinson’s Disease Brain
by Fariha Karim, Allyson Ngo, Titus E. Tucker, Ashlee D. L. Coronel and Jogeshwar Mukherjee
Biomolecules 2025, 15(12), 1686; https://doi.org/10.3390/biom15121686 - 2 Dec 2025
Viewed by 679
Abstract
Parkinson’s disease (PD) involves motor and cognitive impairment that nicotinic acetylcholine receptors (nAChRs) such as the α7 subtype are responsible for regulating. The hippocampus, abundant in α7 nAChRs, was quantitatively evaluated for [125I]α-bungarotoxin ([125I]α-Bgtx) binding to α7 nAChRs in [...] Read more.
Parkinson’s disease (PD) involves motor and cognitive impairment that nicotinic acetylcholine receptors (nAChRs) such as the α7 subtype are responsible for regulating. The hippocampus, abundant in α7 nAChRs, was quantitatively evaluated for [125I]α-bungarotoxin ([125I]α-Bgtx) binding to α7 nAChRs in postmortem human PD (n = 26; 12 male, 14 female) and cognitively normal (CN) (n = 29; 14 male, 15 female) brain slices. Anti-ubiquitin and anti-α-synuclein immunostained adjacent slices were analyzed using QuPath. Autoradiographs of [125I]α-Bgtx radioligand binding were analyzed in OptiQuant. Ubiquitin and α-synuclein distribution generally aligned with the distribution of α7 nAChRs detected by [125I]α-Bgtx. Binding of [125I]α-Bgtx in PD cases was significantly greater than CN with a 32% increase in gray matter binding. A weak positive correlation between age and [125I]α-Bgtx binding was found in both PD and CN. In comparison to Alzheimer’s disease hippocampus, [125I]α-Bgtx binding in PD gray matter was higher by 41%. Differences in nAChR expression imply unique roles depending on the neurodegenerative pathology. PD may experience an increase in α7 nAChRs as a compensatory mechanism to the loss in neurons, highlighting its neuroprotective capabilities. [125I]α-Bgtx shows potential as a radioligand for α7 nAChRs to elucidate the complexities of PD pathology. Full article
(This article belongs to the Special Issue New Discoveries in the Field of Neuropharmacology)
Show Figures

Figure 1

37 pages, 2142 KB  
Article
Nicotine-Induced VEGF Levels in NSCLC Cells Are Modulated by PKA, Hyaluronan, and p53
by Caroline Wozniak, Alvaro Cobos, Aya Sabri, Stuti Goel, Brooke Lopo, Sarah Sarofim, Chanidapa Chutipassakul, Jeffrey Guthrie, Deborah Heyl and Hedeel Guy Evans
Int. J. Mol. Sci. 2025, 26(22), 11103; https://doi.org/10.3390/ijms262211103 - 17 Nov 2025
Viewed by 1119
Abstract
Nicotine promotes non-small cell lung cancer (NSCLC) survival in part by elevating vascular endothelial growth factor (VEGF), yet the upstream regulatory mechanisms remain unclear. Here we identify a PKA–HA–p53 regulatory axis that governs nicotine-driven VEGF levels and survival in A549 (p53+/ [...] Read more.
Nicotine promotes non-small cell lung cancer (NSCLC) survival in part by elevating vascular endothelial growth factor (VEGF), yet the upstream regulatory mechanisms remain unclear. Here we identify a PKA–HA–p53 regulatory axis that governs nicotine-driven VEGF levels and survival in A549 (p53+/+) and H1299 (p53-null) cells. Nicotine increased VEGF levels in the media, an effect augmented by protein kinase A (PKA) activation and reduced by PKA inhibition. Blocking hyaluronan (HA) synthesis with 4-methylumbelliferone (4-MU) lowered VEGF levels and diminished the nicotine response, suggesting that HA–CD44 contributes to PKA-linked survival pathways. In A549, p53 inhibition or knockdown enhanced PKA activity and VEGF levels, indicating that p53 constrains this axis; by contrast, H1299 displayed sustained nicotine responsiveness consistent with p53 loss. Pharmacologic nAChR/β-adrenergic blockade blunted nicotine-induced PKA signaling. Functionally, VEGF immunodepletion or co-treatment with a PKA inhibitor, 4-MU, or anti-VEGF antibodies reduced nicotine-supported viability and increased apoptosis, while the addition of purified VEGF rescued survival, establishing the role of VEGF in this pathway. Collectively, these findings delineate a mechanistic network in which PKA, HA–CD44 signaling, and p53 integrate nicotinic cues to control VEGF media levels and cell survival, identifying potential targets (PKA, HA synthesis, VEGF) for mitigating nicotine-mediated NSCLC progression. Full article
(This article belongs to the Special Issue Programmed Cell Death and Oxidative Stress: 3rd Edition)
Show Figures

Figure 1

22 pages, 2961 KB  
Article
Effects of Swapping 5HT3 and α7 Residues in Chimeric Receptor Proteins on RIC3 and NACHO Chaperone Actions
by Zixuan Yan, Sreeharshini Oruganti, Swetha K. Iyer, Kushboo Agarwal, Mitali Gupta, Ketaki Adhikari, Nevetha Vijayan, Jash Doda, Vaishali Jain, Arya N. Lokhande, Aadhya P. Nair, Venkat Sri K. Nallanichakravarthula, Maegan M. Weltzin and Ralph H. Loring
Molecules 2025, 30(21), 4235; https://doi.org/10.3390/molecules30214235 - 30 Oct 2025
Cited by 1 | Viewed by 1255
Abstract
Alpha7 nicotinic receptors (α7-nAChRs) are implicated in many neurological disorders, but how they fold and assemble is not well understood. Unlike native α7-nAChRs, α7-5HT3 chimeras fold efficiently in HEK cells and do not require chaperones RIC3 or TMEM35A (NACHO) for proper assembly. We [...] Read more.
Alpha7 nicotinic receptors (α7-nAChRs) are implicated in many neurological disorders, but how they fold and assemble is not well understood. Unlike native α7-nAChRs, α7-5HT3 chimeras fold efficiently in HEK cells and do not require chaperones RIC3 or TMEM35A (NACHO) for proper assembly. We investigated the effects of swapping 5HT3 and α7-receptor protein sequences on α7-5HT3R chimera surface expression in mammalian HEK293 or Bosc23 cells, or chimeric receptor function using Xenopus laevis oocytes with or without chaperones. α7-5HT3Rs, consisting of human α7-nAChRs with mouse 5HT3 transmembrane domains (TMs) express without chaperones as measured by cell surface alpha-bungarotoxin binding. However, when subunit TMs from α7-nAChRs and 5HT3Rs were mixed, chaperones were required. Substituting the SAP motif prior to the α7-nAChR “Latch” tail sequence for the 5HT3 C-terminal decreased expression relative to α7-nAChRs with chaperones. Chaperone effects on L264 and G265 mutations in M2 were also investigated. Some constructs that express well in HEK293 or Bosc23 cells are nonfunctional in oocytes with or without NACHO. Our data do not support direct binding of RIC3 or NACHO to the α7-nAChR TM4 (M4) region; instead, they emphasize the functional importance of the conserved SAP motif. Full article
(This article belongs to the Section Molecular Structure)
Show Figures

Graphical abstract

Back to TopTop