Sign in to use this feature.

Years

Between: -

Subjects

remove_circle_outline
remove_circle_outline
remove_circle_outline
remove_circle_outline
remove_circle_outline
remove_circle_outline
remove_circle_outline
remove_circle_outline

Journals

remove_circle_outline
remove_circle_outline
remove_circle_outline
remove_circle_outline
remove_circle_outline
remove_circle_outline
remove_circle_outline
remove_circle_outline
remove_circle_outline
remove_circle_outline

Article Types

Countries / Regions

remove_circle_outline
remove_circle_outline
remove_circle_outline
remove_circle_outline
remove_circle_outline

Search Results (400)

Search Parameters:
Keywords = muscle tone

Order results
Result details
Results per page
Select all
Export citation of selected articles as:
13 pages, 10493 KB  
Article
Toward Standardized Protocols: Determining Optimal Stimulation Volumes for 5 Hz Repetitive Peripheral Magnetic Stimulation (rPMS) of the Tibial Nerve—A Controlled Exploratory Study
by Volker R. Zschorlich, Dirk Büsch, Sarah Schulte, Fengxue Qi and Jörg Schorer
Brain Sci. 2026, 16(1), 100; https://doi.org/10.3390/brainsci16010100 (registering DOI) - 17 Jan 2026
Abstract
Background: Repetitive peripheral magnetic stimulation (rPMS) has emerged as a promising non-invasive treatment modality for reducing muscle hypertonus and spasticity. However, standardized protocols regarding stimulation parameters, particularly the number of stimuli required to achieve therapeutic effects, remain largely undefined. Methods: In [...] Read more.
Background: Repetitive peripheral magnetic stimulation (rPMS) has emerged as a promising non-invasive treatment modality for reducing muscle hypertonus and spasticity. However, standardized protocols regarding stimulation parameters, particularly the number of stimuli required to achieve therapeutic effects, remain largely undefined. Methods: In an exploratory study, seventeen healthy participants (15 male, 2 female) underwent progressive rPMS treatments at 5 Hz frequency with incrementally increasing stimulus counts (105, 210, 315, 420, and 840 stimuli). Seventeen participants served as controls (11 male, 6 female) receiving sham stimulation. Achilles tendon reflexes were elicited using a computer-controlled reflex hammer, and compound muscle action potential (CMAP) peak-to-peak amplitudes were recorded via surface electromyography before and immediately after each stimulation session. Results: The overall repeated-measures ANOVA indicated a significant main effect (F(5, 80) = 4.98, p = 0.001, η2p = 0.237). All rPMS treatments produced significant reductions in CMAP amplitudes compared to baseline (p < 0.05). No progressive dose-dependent relationship was observed between stimulus count and response magnitude, suggesting a threshold effect rather than progressive inhibition. Control group showed no significant changes (p ≤ 0.56). Conclusions: Low-frequency (5 Hz) rPMS produces rapid inhibitory effects on spinal reflex circuits with onset after as few as 105 stimuli. These findings indicate that treatment effects can be achieved with substantially fewer stimuli than previously assumed. Further research is needed to identify parameters capable of achieving greater reflex suppression. Full article
(This article belongs to the Section Neurorehabilitation)
Show Figures

Figure 1

11 pages, 608 KB  
Article
Muscle-Specific Biomechanical Adaptations Following Rehabilitation Treatment in Cervical Spondylosis: A Pilot Study
by Andreea Ancuța Talinga, Roxana Ramona Onofrei, Ada-Maria Codreanu, Veronica Aurelia Romanescu, Marius-Zoltan Rezumeș, Dan-Andrei Korodi, Oana Suciu and Claudia Borza
Life 2026, 16(1), 147; https://doi.org/10.3390/life16010147 - 16 Jan 2026
Abstract
Background. Cervical spondylosis is a degenerative disorder of the spine, frequently associated with chronic neck pain, reduced mobility, and functional impairment. Patients develop alterations in muscle tone, stiffness, and elasticity, which further contribute to disability. This study aimed to investigate the effects of [...] Read more.
Background. Cervical spondylosis is a degenerative disorder of the spine, frequently associated with chronic neck pain, reduced mobility, and functional impairment. Patients develop alterations in muscle tone, stiffness, and elasticity, which further contribute to disability. This study aimed to investigate the effects of a 14-day standardized rehabilitation program on the biomechanical and contractile properties of cervical and scapular muscles in patients with cervical spondylosis. Methods. This study used a single-group pre–post observational design on 23 patients (16 women, 7 men; mean age 61.1 ± 14.2 years) diagnosed with cervical spondylosis. All participants completed a standardized rehabilitation treatment that included cervical mobilization, stretching, isometric exercises, scapular stabilization, electrotherapy, ultrasound, thermotherapy, and balneotherapy. Muscle properties were evaluated bilaterally using the MyotonPRO® device, measuring frequency, stiffness, decrement, relaxation time, and creep. Assessments were performed in a sitting position for the deltoid, upper trapezius and pectoralis major, both at baseline (T0) and after treatment (T1). Handgrip strength was assessed bilaterally with a handheld dynamometer. Results. The deltoid muscle showed a significant reduction in frequency (14.86 → 13.50 Hz, p = 0.034) and stiffness (306.4 → 256.1 N/m, p = 0.014) on the right side, suggesting normalization of tone and passive resistance. The upper trapezius had a significant bilateral decrease in decrement (p < 0.05), reflecting improved elasticity. The pectoralis major displayed the most consistent adaptations, with increased frequency (right side, p = 0.008), improved relaxation bilaterally (p < 0.05), and significant reductions in decrement and creep (p < 0.01). Handheld dynamometry confirmed increased handgrip strength, with a 5.4% improvement on the left side and 7.6% on the right side. Conclusions. In our study measurable changes in muscle parameters were observed following a rehabilitation program in patients with cervical spondylosis. The integration of myotonometry and dynamometry allowed objective assessment of muscle adaptations supporting the clinical value of individualized rehabilitation strategies. Full article
Show Figures

Figure 1

14 pages, 2402 KB  
Article
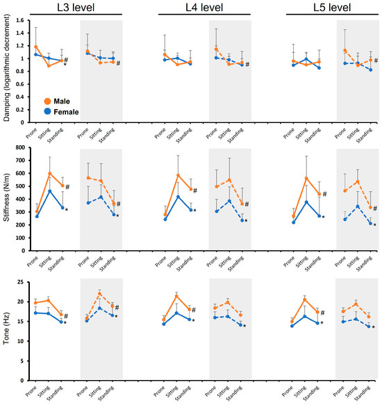
Influence of Posture, Spinal Level, Gender and Muscle Activation on Biomechanical Properties of Lumbar Erector Spinae in Healthy Young Adults
by Yueh-Ling Hsieh, Heng-Yi Lin and Andy Chien
Medicina 2026, 62(1), 159; https://doi.org/10.3390/medicina62010159 - 13 Jan 2026
Viewed by 115
Abstract
Background and Objectives: This study set out to better understand how posture, spinal level, gender and muscle activation influence the biomechanical properties of the lumbar erector spinae (LES) in healthy young adults. We aimed to measure how these factors influence LES tone, [...] Read more.
Background and Objectives: This study set out to better understand how posture, spinal level, gender and muscle activation influence the biomechanical properties of the lumbar erector spinae (LES) in healthy young adults. We aimed to measure how these factors influence LES tone, stiffness, and damping using a myotonometry device. Materials and Methods: Thirty healthy young adults (14 males, 16 females; aged 20–25 years) were evaluated at bilateral L3–L5 levels in prone, unsupported sitting, and standing positions, both under relaxed conditions and during submaximal isometric lumbar extension. The myotonometer measured LES tone (Hz), stiffness (N/m), and damping (logarithmic decrement). For each outcome, a mixed-model repeated-measures ANOVA was conducted with Gender as a between-subject factor and Posture, Level, and Action (relaxed vs. contracted) as within-subject factors (Bonferroni-adjusted α = 0.0167). Results: Posture produced the most significant and consistent effects on all properties—stiffness, tone, and damping (p < 0.0167)—with sitting and standing generally increasing stiffness and tone compared to prone, and sitting showing the highest values. Gender significantly impacted stiffness and tone (p < 0.0167), with males showing higher values. Spinal level also significantly influenced damping, stiffness, and tone (all p < 0.0167), with differences more apparent in females. Significant interactions included the influence of Posture × Gender on tone and damping (p < 0.0167), and of Posture × Action on stiffness and tone (p < 0.0167), alongside a strong three-way interaction for Level × Action × Posture across all outcomes, suggesting posture-related responses depend on activation state and spinal level. Conclusions: LES biomechanical properties are strongly affected by posture and further modulated by muscle activation, gender, and spinal level. These results support the creation of posture- and gender-specific reference values and underscore the value of dynamic, posture-specific myotonometer-based assessments for paraspinal muscle evaluation and clinical planning. Full article
Show Figures

Figure 1

8 pages, 2810 KB  
Case Report
Successful Treatment of Obstructive Ureterolithiasis with Medical Expulsive Therapy Including Tamsulosin in a Dog
by Chaeyeon Park, Yelim Lee, Yeon Chae, Taesik Yun, Byeong-Teck Kang and Hakhyun Kim
Vet. Sci. 2026, 13(1), 69; https://doi.org/10.3390/vetsci13010069 - 10 Jan 2026
Viewed by 266
Abstract
Ureterolithiasis is a common cause of ureteral obstruction in dogs, often leading to kidney injury. Medical expulsive therapy (MET) using α-adrenergic antagonists has been proposed as a nonsurgical treatment option in selected cases and is thought to facilitate ureteral stone passage by reducing [...] Read more.
Ureterolithiasis is a common cause of ureteral obstruction in dogs, often leading to kidney injury. Medical expulsive therapy (MET) using α-adrenergic antagonists has been proposed as a nonsurgical treatment option in selected cases and is thought to facilitate ureteral stone passage by reducing ureteral smooth muscle tone. A 9-year-old castrated male Chihuahua weighing 1.78 kg was presented with anorexia. Physical examination revealed 7% dehydration and pale mucous membranes. Serum biochemistry demonstrated severe azotemia, with markedly elevated symmetric dimethylarginine (>100 μg/dL; reference interval [RI], 0–14 μg/dL), blood urea nitrogen (157.9 mg/dL; RI, 7–25 mg/dL), and creatinine (2.2 mg/dL; RI, 0.5–1.5 mg/dL). On day 4 of hospitalization, ultrasonography revealed dilation of the renal pelvis (16.1 mm), ureteral distention (3.74 mm), and multiple ureteroliths (maximum diameter, 3.31 mm) at the ureterovesical junction. Antegrade pyelography confirmed a right ureteral obstruction. As the owner declined surgical intervention, MET including tamsulosin, was initiated with close clinical monitoring. After 3 days, improvement in azotemia and resolution of ureteral obstruction were observed. Although concurrent medical treatments were administered, this case provides clinical insight into the potential role of tamsulosin as part of medical management of obstructive ureterolithiasis in a dog with small distal ureteral stones. Full article
(This article belongs to the Special Issue Advances in Veterinary Nephrology and Urology of Small Animals)
Show Figures

Figure 1

12 pages, 1032 KB  
Article
Acute Effects of Different Muscle Contraction Types on Biomechanical and Viscoelastic Properties of the Biceps Brachii Measured with Myotonometry
by Sebastian Szajkowski, Jarosław Pasek and Grzegorz Cieślar
J. Funct. Morphol. Kinesiol. 2026, 11(1), 30; https://doi.org/10.3390/jfmk11010030 - 8 Jan 2026
Viewed by 186
Abstract
Background: Acute alterations in biomechanical and viscoelastic muscle properties provide important insight into early fatigue mechanisms; however, their dependence on specific muscle contraction types remains insufficiently understood. Therefore, the aim of this study was to quantitatively compare the acute effects of eccentric, concentric, [...] Read more.
Background: Acute alterations in biomechanical and viscoelastic muscle properties provide important insight into early fatigue mechanisms; however, their dependence on specific muscle contraction types remains insufficiently understood. Therefore, the aim of this study was to quantitatively compare the acute effects of eccentric, concentric, isometric, and mixed contractions on the biomechanical and viscoelastic properties of the biceps brachii using myotonometry. Methods: Eighty healthy men aged 40 to 50 years were randomly assigned to four contraction conditions: eccentric, concentric, isometric or mixed concentric-eccentric. Each participant performed four sets of isolated biceps brachii exercise to volitional failure. Myotonometric measurements of tone, stiffness, decrement, relaxation and creep were collected before exercise and after each set. Changes within and between contraction types were analyzed. Results: Muscle responses differed significantly depending on contraction type. Dynamic contractions induced immediate viscoelastic changes, with significant reductions in relaxation time after eccentric (p = 0.027), concentric (p = 0.026), and mixed contractions (p < 0.001), while no changes were observed after isometric contraction (p = 0.285). Stiffness remained stable across all contraction types (p > 0.05). Mixed contractions showed a biphasic response in decrement with a significant effect across series (p = 0.049), identifying decrement as the most sensitive indicator of early fatigue, whereas isometric contraction produced no significant modifications in any parameter. Conclusions: Dynamic muscle work induces rapid and contraction-dependent shifts in viscoelastic properties, whereas stiffness appears resistant to short-term loading. Isometric contractions display minimal mechanical disturbance. Myotonometry proved effective in detecting early fatigue-related changes and decrement may serve as a key marker of short-term muscle adaptation. Full article
(This article belongs to the Special Issue Biomechanical Analysis in Physical Activity and Sports—2nd Edition)
Show Figures

Figure 1

15 pages, 1720 KB  
Article
Family-Wide Dysregulation of Phosphodiesterases Alters cAMP/cGMP Microdomains in Thoracic Aortic Aneurysm
by Dimitrios E. Magouliotis, Serge Sicouri, Vasiliki Androutsopoulou, Massimo Baudo, Francesco Cabrucci, Prokopis-Andreas Zotos, Andrew Xanthopoulos and Basel Ramlawi
J. Cardiovasc. Dev. Dis. 2026, 13(1), 23; https://doi.org/10.3390/jcdd13010023 - 1 Jan 2026
Viewed by 308
Abstract
Background: Thoracic aortic aneurysm (TAA) is driven by complex molecular mechanisms beyond size thresholds, yet the role of cyclic nucleotide metabolism remains unclear. Phosphodiesterases (PDEs), which hydrolyze cAMP and cGMP in compartmentalized microdomains, act as key regulators of vascular integrity and remodeling. Methods: [...] Read more.
Background: Thoracic aortic aneurysm (TAA) is driven by complex molecular mechanisms beyond size thresholds, yet the role of cyclic nucleotide metabolism remains unclear. Phosphodiesterases (PDEs), which hydrolyze cAMP and cGMP in compartmentalized microdomains, act as key regulators of vascular integrity and remodeling. Methods: We performed a hypothesis-driven, transcriptomic analysis of 20 PDE isoforms using the GSE26155 dataset (43 TAA vs. 43 controls). Raw microarray data underwent background correction, log2 transformation, and false-discovery adjustment. Differential expression, logistic regression, receiver-operating characteristic (ROC) curves, calibration testing, correlation analysis, and interactome/enrichment mapping were conducted. Results: Thirteen PDE isoforms were significantly dysregulated in TAA. Upregulated transcripts included PDE10A, PDE2A, PDE4B, PDE7A, and PDE8A, whereas PDE1A/B/C, PDE3B, PDE5A, PDE6C, and PDE8B were downregulated. PDE10A achieved excellent discrimination for TAA (AUC = 0.838), while other isoforms demonstrated fair discriminatory ability. Correlation architecture revealed coordinated regulation between PDE subfamilies, including inverse relationships between PDE2A and PDE8B (r = −0.68). Interactome analysis highlighted dense connections with cyclic nucleotide and purinergic signaling hubs, enriched in vascular tone, NO–cGMP–PKG, and junctional assembly pathways. Integrating these findings with epigenetic and junctional frameworks suggests that PDE dysregulation promotes endothelial barrier fragility and maladaptive smooth-muscle remodeling. Conclusions: Family-wide PDE dysregulation characterizes human TAA, with PDE10A emerging as a central transcriptomic signature. Altered cAMP/cGMP microdomain signaling aligns with junctional failure and epigenetic control, supporting the potential of PDE isoforms as biomarkers and therapeutic targets. These results provide experimental evidence that cyclic nucleotide hydrolysis is re-wired in TAA, supporting PDE10A as a novel biomarker and therapeutic target that bridges molecular dysregulation with clinical risk stratification in thoracic aortic disease. Full article
Show Figures

Graphical abstract

13 pages, 1307 KB  
Article
Myotonometry and Muscle Force in Patients with Surgically Treated Tibial Pilon Fracture: A Cross-Sectional Study
by Andrei-Daniel Bolovan, Gheorghe-Bogdan Hogea, Elena-Constanta Amaricai, Alexandra-Roxana Tapardea, Ahmed Abu-Awwad and Liliana Catan
J. Funct. Morphol. Kinesiol. 2026, 11(1), 21; https://doi.org/10.3390/jfmk11010021 - 31 Dec 2025
Viewed by 255
Abstract
Background: Tibial pilon fractures are, in most cases, complex injuries caused by high-energy trauma. This type of fracture requires surgical stabilization and immobilization that impairs ankle function by reducing range of motion, muscle strength, and affecting the mechanical properties of the muscles. Methods: [...] Read more.
Background: Tibial pilon fractures are, in most cases, complex injuries caused by high-energy trauma. This type of fracture requires surgical stabilization and immobilization that impairs ankle function by reducing range of motion, muscle strength, and affecting the mechanical properties of the muscles. Methods: We evaluated 22 patients who required surgery for tibial pilon fractures and 22 age-matched healthy controls. Dynamometry assessed the isometric strength of the dorsiflexors and plantar flexors. Myotonometry of the tibialis anterior, peroneus longus, and medial and lateral gastrocnemius muscles analyzed the muscle tone, biomechanical (stiffness and decrement), and viscoelastic properties (mechanical stress relaxation and ratio of relaxation time to deformation time (creep). Results: Compared to the control group, the patients had significantly decreased isometric strength in both the dorsal flexors and plantar flexors on the affected side. Myotonometric measurements did not reveal significant differences in the tibialis anterior and peroneus longus muscles. Both medial and lateral gastrocnemius muscles exhibited significantly increased frequency and stiffness, and significantly decreased relaxation and creep in patients when compared to the control group. Conclusions: When compared to healthy controls, patients with surgically treated unilateral pilon fracture had a decreased isometric muscle force of ankle dorsiflexors and plantar flexors of both affected and non-affected lower limbs. Myotonometry indicated increased frequency and stiffness, along with decreased values of viscoelastic parameters (stress relaxation time and creep) in the medial and lateral gastrocnemius muscles on both sides. Full article
(This article belongs to the Section Kinesiology and Biomechanics)
Show Figures

Figure 1

18 pages, 1285 KB  
Article
Chronic Treatment with Curcumin Prevents Vascular Dysfunction in the Aorta of Type 1 Diabetes by Restoring Ca2+ Mishandling and Modulating HSP70 Levels
by Swasti Rastogi, Anna Grimm, Brooke Biby, Lucila Mathieu, Brian Trinh and Kenia Pedrosa Nunes
Cells 2025, 14(24), 2015; https://doi.org/10.3390/cells14242015 - 17 Dec 2025
Viewed by 476
Abstract
Vascular Smooth Muscle Cells (VSMC) dysfunction is a major contributor to Type 1 diabetes (T1D)-associated vascular complications. Ca2+ is a key messenger responsible for maintaining VSMC tone and function, and alterations in its cytosolic levels are central to diabetes-related vasculopathy. Heat Shock [...] Read more.
Vascular Smooth Muscle Cells (VSMC) dysfunction is a major contributor to Type 1 diabetes (T1D)-associated vascular complications. Ca2+ is a key messenger responsible for maintaining VSMC tone and function, and alterations in its cytosolic levels are central to diabetes-related vasculopathy. Heat Shock Protein 70 (HSP70), a multifaceted chaperone present intracellularly (iHSP70), regulates vascular reactivity by supporting Ca2+ handling, and extracellularly (eHSP70) activates immune signaling. Disruption of eHSP70/iHSP70 balance has been implicated in T1D-associated VSMC dysfunction. Curcumin, a phytochemical found in turmeric, is an emerging therapeutic adjuvant for treating a wide range of pathologies, including diabetes. However, whether curcumin modulates Ca2+ dynamics and HSP70 expression, thereby improving VSMC function, in diabetic aorta remains unclear. To investigate this, Streptozotocin-induced diabetic rats (i.p. 65 mg/kg) were treated with curcumin (300 mg/kg) for 28 days. Vascular function was evaluated using wire myography to assess changes in biphasic contraction curve and Ca2+ dynamics, while HSP70 was quantified using Western blotting and ELISA. Structural alterations were analyzed by assessing collagen and elastin using Picrosirius staining and fluorescence microscopy. Chronic curcumin treatment improved vascular function by normalizing Ca2+ mishandling, restoring the eHSP70/iHSP70 ratio, reducing hypercontractility, and mitigating arterial structural alterations. These findings indicate that curcumin could potentially ameliorate diabetes-related VSMC dysfunction by restoring Ca2+ homeostasis and modulating HSP70. Full article
Show Figures

Figure 1

19 pages, 961 KB  
Review
Exercise-Induced Molecular Adaptations in Chronic Non-Communicable Diseases—Narrative Review
by Héctor Fuentes-Barría, Raúl Aguilera-Eguía, Miguel Alarcón-Rivera, Olga López-Soto, Juan Alberto Aristizabal-Hoyos, Ángel Roco-Videla, Marcela Caviedes-Olmos and Diana Rojas-Gómez
Int. J. Mol. Sci. 2025, 26(24), 12096; https://doi.org/10.3390/ijms262412096 - 16 Dec 2025
Viewed by 703
Abstract
Physical exercise is a potent non-pharmacological strategy for the prevention and management of chronic non-communicable diseases (NCDs), including type 2 diabetes, cardiovascular diseases, obesity, and certain cancers. Growing evidence demonstrates that the benefits of exercise extend beyond its physiological effects and are largely [...] Read more.
Physical exercise is a potent non-pharmacological strategy for the prevention and management of chronic non-communicable diseases (NCDs), including type 2 diabetes, cardiovascular diseases, obesity, and certain cancers. Growing evidence demonstrates that the benefits of exercise extend beyond its physiological effects and are largely mediated by coordinated molecular and cellular adaptations. This review synthesizes current knowledge on the key mechanisms through which exercise modulates metabolic health, emphasizing intracellular signaling pathways, epigenetic regulation, and myokine-driven inter-organ communication. Exercise induces acute and chronic activation of pathways such as AMPK, PGC-1α, mTOR, MAPKs, and NF-κB, leading to enhanced mitochondrial biogenesis, improved oxidative capacity, refined energy sensing, and reduced inflammation. Additionally, repeated muscle contraction stimulates the release of myokines—including IL-6, irisin, BDNF, FGF21, apelin, and others—that act through endocrine and paracrine routes to regulate glucose and lipid metabolism, insulin secretion, adipose tissue remodeling, neuroplasticity, and systemic inflammatory tone. Epigenetic modifications and exercise-responsive microRNAs further contribute to long-term metabolic reprogramming. Collectively, these molecular adaptations establish exercise as a systemic biological stimulus capable of restoring metabolic homeostasis and counteracting the pathophysiological processes underlying NCDs. Understanding these mechanisms provides a foundation for developing targeted, personalized exercise-based interventions in preventive and therapeutic medicine. Full article
Show Figures

Figure 1

16 pages, 1179 KB  
Study Protocol
Effectiveness of Telerehabilitation-Based Therapeutic Exercise on Functional Capacity in Chronic Stroke: Study Protocol for a Multicenter Randomized Controlled Trial
by Yaiza Casas-Rodríguez, Carlos López-de-Celis, Gala Inglés-Martínez, Lidia González-Tova, María Benilde Martínez-González, Izaskun Barayazarra-López and Anna Escribà-Salvans
Life 2025, 15(12), 1905; https://doi.org/10.3390/life15121905 - 12 Dec 2025
Viewed by 645
Abstract
Background: Stroke is the leading cause of physical disability in adults in Catalonia. Despite this, there is a lack of evidence of physiotherapy interventions on functional capacity during the chronic phase of the pathology. This multicenter clinical trial will be conducted with [...] Read more.
Background: Stroke is the leading cause of physical disability in adults in Catalonia. Despite this, there is a lack of evidence of physiotherapy interventions on functional capacity during the chronic phase of the pathology. This multicenter clinical trial will be conducted with a sample size of 75 participants. Objectives: The objective of the study is to evaluate the effectiveness of a therapeutic exercise program in physiotherapy using telerehabilitation to optimize functional recovery and quality of life in people with chronic stroke, and to determine its impact on adherence to the exercise program. Methods: This is a multicenter randomized controlled trial. Three parallel groups will be compared, and two will undergo the same type of therapy. A control group (CG) will perform conventional intervention in primary care. There will be two experimental groups; (EG1) will perform document-guided therapeutic exercises at home and (EG2) will perform therapeutic exercises at home guided by a telerehabilitation program. The outcomes to be measured are degree of independence of a person in their activities of daily living, assessed by the Barthel Index, motor function, muscle tone of the affected limbs, muscle strength of the affected limbs, balance, gait efficiency, perception of musculoskeletal pain, perception of fatigue, risk of falls, perception of quality of life, and the perception of perceived subjective change after treatment. These outcomes will be evaluated at baseline (T0), at ten weeks (T1) (end of the intervention), and at 18 weeks (T2). The study duration per patient will be 18 weeks (a ten-week intervention, followed by an eight-week intervention follow-up). The analysis will be performed using a mixed linear model (ANOVA 3X3) and significance level p < 0.05. Full article
Show Figures

Figure 1

29 pages, 6397 KB  
Article
Pine-Extracted Phytosterol β-Sitosterol (APOPROSTAT® Forte) Inhibits Both Human Prostate Smooth Muscle Contraction and Prostate Stromal Cell Growth, Without Cytotoxic Effects: A Mechanistic Link to Clinical Efficacy in LUTS/BPH
by Alexander Tamalunas, Felix Schierholz, Henrik Poth, Victor Vigodski, Michael Brandstetter, Anna Ciotkowska, Beata Rutz, Sheng Hu, Leo Federico Stadelmeier, Heiko Schulz, Stephan Ledderose, Nina Rogenhofer, Thomas Kolben, Christian Georg Stief and Martin Hennenberg
Pharmaceuticals 2025, 18(12), 1864; https://doi.org/10.3390/ph18121864 - 6 Dec 2025
Viewed by 1122
Abstract
Introduction: Medical treatment of lower urinary tract symptoms (LUTS) suggestive of benign prostatic hyperplasia (BPH) targets prostate smooth muscle tone for rapid relieve of symptoms and prostate size to prevent disease progression. Recently, EAU guidelines introduced phytomedicines for treatment of LUTS/BPH. Phytosterols [...] Read more.
Introduction: Medical treatment of lower urinary tract symptoms (LUTS) suggestive of benign prostatic hyperplasia (BPH) targets prostate smooth muscle tone for rapid relieve of symptoms and prostate size to prevent disease progression. Recently, EAU guidelines introduced phytomedicines for treatment of LUTS/BPH. Phytosterols may reduce the risk of prostate diseases and seem to be the smallest common denominator between different phytotherapeutic preparations. Thus, we investigated the effects of the highly concentrated phytosterol β-sitosterol on human prostate smooth muscle contraction and cellular functions, including contraction and growth of prostate stromal cells. Materials and Methods: APOPROSTAT® forte capsules (>70% β-sitosterol, ethanol extract of Pinus pinaster) were dissolved in ethanol. Contractions were induced in human prostate tissues (n = 100) obtained from radical prostatectomy and assessed in organ bath setups. Cytoskeletal organization, proliferation, viability, cytotoxicity, and contraction in stromal cells (WPMY-1) were assessed using phalloidin staining, EdU, colony formation, CCK-8, flow cytometry, and matrix collagen assays. Results: APOPROSTAT® forte (0.1–30 µg/mL) inhibited adrenergic, non-adrenergic, and neurogenic contractions of human prostate tissues by up to 71%, 69%, and 63%, respectively, in a dose-dependent manner. In WPMY-1 cells, it reduced proliferation and actin organization by up to 67% and 75% after 72 h, without affecting viability or inducing cytotoxicity. Colony formation decreased by up to 60% after 168 h, and contraction in collagen matrix assays was reduced by 57% in a concentration- and time-dependent manner. Conclusions: The natural phytosterol β-sitosterol effectively inhibits both prostate contraction and growth with a favorable safety profile, supporting its beneficial role in LUTS management through phytotherapy. Full article
(This article belongs to the Section Pharmacology)
Show Figures

Graphical abstract

20 pages, 1107 KB  
Article
Photobiomodulation in the Treatment of Spasticity in Children and Adolescents with Cerebral Palsy: A Controlled, Single-Blinded, Pilot Randomized Trial
by Ariane Cristina Zöll, Ana Cristina Ferreira Garcia Amorim, Illora Aswinkumar Darbar Shimozato, Fabia Lopes Borelli de Moraes, Maria Fernanda Setúbal Destro Rodrigues, Raquel Agnelli Mesquita-Ferrari and Rebeca Boltes Cecatto
Disabilities 2025, 5(4), 112; https://doi.org/10.3390/disabilities5040112 - 4 Dec 2025
Viewed by 801
Abstract
Background/Objectives: Cerebral palsy (CP) is a non-progressive, permanent syndrome of childhood, with approximately 80% of patients exhibiting spasticity. Untreated spasticity can cause pain, structural changes in bones, muscles, and nerves negatively impacting quality of life and functionality. Photobiomodulation (PBM) has demonstrated biological [...] Read more.
Background/Objectives: Cerebral palsy (CP) is a non-progressive, permanent syndrome of childhood, with approximately 80% of patients exhibiting spasticity. Untreated spasticity can cause pain, structural changes in bones, muscles, and nerves negatively impacting quality of life and functionality. Photobiomodulation (PBM) has demonstrated biological effects such as tissue regeneration, muscle relaxation, inflammation reduction, and pain relief. The objective of this pilot study is to evaluate the action of PBM on the spasticity of the medial and lateral right gastrocnemius muscles of children and adolescents with spastic cerebral palsy. Methods: This single-blinded, randomized, controlled trial evaluated PBM’s effect on gastrocnemius spasticity in children and adolescents with CP. The study presents pilot preliminary results from twelve children and adolescents (7–16 years) with spastic CP who were randomized into two groups: active PBM (850 nm, 100 mW, 1.5 J/point, 2 points, weekly for 8 weeks) or placebo (same protocol, device off). Both groups received standard rehabilitation exercises. Outcomes were assessed using the Modified Ashworth Scale (MAS), Pediatric Evaluation of Disability Inventory (PEDI), Gross Motor Function Classification System (GMFCS), and ankle range of motion before and after the intervention (8 weeks). Results: MAS and all outcomes improved significantly over time in both groups. No significant differences were found between groups for all outcomes. The PBM effect size on MAS improvement (ANOVA, Analysis of Vari, η2 = 0.171) suggests modest but positive benefits. PBM did not worsen spasticity, and no adverse effects were reported. Conclusion: This study represents a pioneering effort in evaluating a safe PBM protocol for the spastics gastrocnemius in children and adolescents with CP. This protocol, used as an adjunct to physiotherapy, demonstrated no short-term adverse effects and no participant dropouts. Future studies should explore this PBM protocol in patients with less severe GMFCS levels, those with minimally preserved functionality, or those with contraindications to physiotherapeutic exercises. Full article
Show Figures

Figure 1

19 pages, 1407 KB  
Review
Eyelid Malpositions and Ocular Surface Disease: Clinical Correlations and Management Strategies
by Francesco M. Quaranta Leoni, Nazareno Marabottini, Adriana Iuliano, Diego Strianese and Gustavo Savino
J. Clin. Med. 2025, 14(23), 8523; https://doi.org/10.3390/jcm14238523 - 1 Dec 2025
Viewed by 855
Abstract
Eyelid retraction, cicatricial entropion, and deformities associated with facial nerve palsy are among the eyelid malpositions most detrimental to the ocular surface, as they cause exposure, tear film instability, inflammation, and potentially significant visual impairment. These conditions present major functional and esthetic challenges, [...] Read more.
Eyelid retraction, cicatricial entropion, and deformities associated with facial nerve palsy are among the eyelid malpositions most detrimental to the ocular surface, as they cause exposure, tear film instability, inflammation, and potentially significant visual impairment. These conditions present major functional and esthetic challenges, underscoring the need for a clear understanding of their mechanisms and management. A narrative review was conducted using PubMed, MEDLINE, Embase, and Google Scholar to identify English and non-English studies (with English abstracts) addressing eyelid malpositions related to thyroid eye disease, cicatricial processes, and facial nerve palsy. Screening and cross-referencing yielded 115 relevant publications. Studies were excluded if they lacked clinical relevance, did not address the target disorders, involved animals, consisted of insufficient case reports, lacked an English abstract, or were non–peer-reviewed or duplicated. Extracted information included patient demographics, clinical presentations, diagnostic methods, treatments, complications, and outcomes. In thyroid eye disease, eyelid retraction results from adrenergic overstimulation, increased Müller muscle tone, and fibrosis involving the levator–superior rectus complex. Temporary improvement may be achieved with botulinum toxin, corticosteroids, or soft-tissue fillers, whereas sustained correction requires individualized surgical approaches. Cicatricial entropion arises from posterior lamellar contraction caused by inflammatory or iatrogenic injury and is best treated with lamellar repositioning or grafting procedures. In facial nerve palsy, incomplete blinking, punctal malposition, and lacrimal pump dysfunction contribute to tearing and ocular surface instability; management prioritizes corneal protection, eyelid rebalancing, and adjunctive measures such as botulinum toxin or physiotherapy. Across all conditions, tailored, multidisciplinary care is essential to maintain ocular surface integrity, restore eyelid function, and preserve quality of life. Full article
(This article belongs to the Special Issue Advances in Oculoplastic Surgery and Ocular Surface Diseases)
Show Figures

Figure 1

22 pages, 1103 KB  
Review
Traditional Health Practices May Promote Nrf2 Activation Similar to Exercise
by Hubert Kolb, Stephan Martin and Kerstin Kempf
Int. J. Mol. Sci. 2025, 26(23), 11546; https://doi.org/10.3390/ijms262311546 - 28 Nov 2025
Viewed by 1348
Abstract
Various non-pharmacological practices have been reported to enhance overall health. The molecular effects of exercise have been shown to involve the upregulation of enzymes and transcription factors that enhance antioxidative and anti-inflammatory activity, boost mitochondrial function and growth, and promote a parasympathetic tone. [...] Read more.
Various non-pharmacological practices have been reported to enhance overall health. The molecular effects of exercise have been shown to involve the upregulation of enzymes and transcription factors that enhance antioxidative and anti-inflammatory activity, boost mitochondrial function and growth, and promote a parasympathetic tone. These beneficial changes occur as an adaptive/hormetic response to an initial increase in oxygen radical and nitric oxide production in working muscles. The redox-sensitive nuclear factor erythroid 2-related factor 2 (Nrf2) was identified as the key mediator of the cellular defense response. A similar adaptive response appears to occur in response to exposure to heat or cold, hyperbaric or hypobaric oxygen, cupping therapy, acupuncture, caloric restriction, and the consumption of polyphenol-rich plant-based foods or spices, and there is direct or indirect evidence for the involvement of Nrf2. In many cases, additional stress signaling pathways have been observed to be upregulated, including the nicotinamide adenine dinucleotide (NAD+)-sirtuin and the adenosine monophosphate (AMP)-activated protein kinase pathways. We conclude that while several traditional health practices may share a hormetic mechanism—mild radical-induced damage triggers a defense response through upregulation of antioxidative, anti-inflammatory, and repair activities, which may impact body-wide tissue function. Full article
(This article belongs to the Special Issue Role of NRF2 Pathway in Chronic Diseases)
Show Figures

Figure 1

14 pages, 1015 KB  
Article
Heme Modulates Bladder Contractility Through the HO–CO–sGC–cGMP Pathway: Insights into Sickle Cell Disease-Associated Bladder Dysfunction
by Dalila Andrade Pereira, Fernando Ferreira Costa and Fábio Henrique Silva
Antioxidants 2025, 14(12), 1398; https://doi.org/10.3390/antiox14121398 - 25 Nov 2025
Viewed by 453
Abstract
Intravascular hemolysis, a hallmark of sickle cell disease (SCD), leads to elevated plasma heme levels. Although heme is essential for physiological processes, its excess can be deleterious. Heme oxygenase (HO) degrades heme into carbon monoxide (CO), which activates the soluble guanylate cyclase (sGC)–cyclic [...] Read more.
Intravascular hemolysis, a hallmark of sickle cell disease (SCD), leads to elevated plasma heme levels. Although heme is essential for physiological processes, its excess can be deleterious. Heme oxygenase (HO) degrades heme into carbon monoxide (CO), which activates the soluble guanylate cyclase (sGC)–cyclic guanosine monophosphate (cGMP) signaling cascade and can modulate smooth muscle tone. However, the direct effects of heme on bladder function remain unknown. This study investigated whether heme regulates detrusor smooth muscle contractility through the HO–CO–sGC–cGMP pathway. Detrusor strips from C57BL/6 mice were mounted on a myograph for functional analysis. Heme induced a significant, concentration-dependent relaxation of detrusor smooth muscle compared with vehicle-treated tissues. To elucidate the underlying mechanism, tissues were pre-incubated with the sGC inhibitor ODQ (10 µM) or the HO inhibitor 1J (100 µM) before heme exposure. Both inhibitors markedly attenuated heme-induced relaxation, reducing the maximal relaxation response. Moreover, pre-incubation with heme (100 µM) significantly decreased the maximal contractile responses (Emax) to carbachol, KCl, and electrical field stimulation (EFS), effects that were abolished by ODQ or 1J. In parallel, biochemical assays showed that heme markedly increased cGMP levels in detrusor tissue, an effect prevented by both inhibitors, confirming the role of the HO–CO–sGC–cGMP signaling cascade in this response. These findings demonstrate that heme modulates bladder contractility by activating the HO–CO–sGC–cGMP pathway, promoting detrusor relaxation. This mechanism suggests that excessive circulating heme, as occurs in hemolytic disorders such as SCD, may contribute to detrusor hypocontractility and voiding dysfunctions, identifying this pathway as a potential therapeutic target. Full article
Show Figures

Figure 1

Back to TopTop