Influence of Posture, Spinal Level, Gender and Muscle Activation on Biomechanical Properties of Lumbar Erector Spinae in Healthy Young Adults
Abstract
1. Introduction
2. Materials and Methods
2.1. Participants
2.2. Myometric Parameter Measurement
2.3. Experimental Procedures
2.4. Statistical Analysis
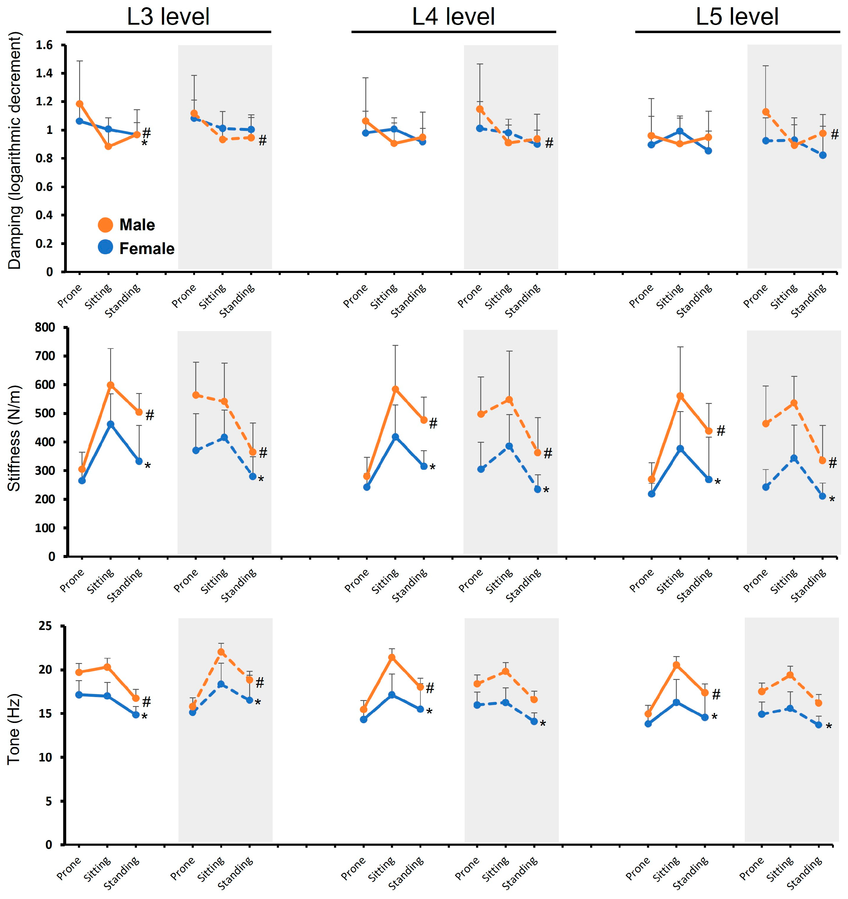
3. Results
3.1. Demographic Characteristics
3.2. Global Effects of Gender, Posture, Level, and Action
3.3. Posture Effects Stratified by Gender and Muscle State
3.4. Segmental Differences
4. Discussion
5. Conclusions
Author Contributions
Funding
Institutional Review Board Statement
Informed Consent Statement
Data Availability Statement
Acknowledgments
Conflicts of Interest
Abbreviations
| BMI | Body Mass Index |
| EMG | Electromyography |
| LES | Lumbar erector spinae muscle |
References
- Hodges, P.W.; Danneels, L. Changes in Structure and Function of the Back Muscles in Low Back Pain: Different Time Points, Observations, and Mechanisms. J. Orthop. Sports Phys. Ther. 2019, 49, 464–476. [Google Scholar] [CrossRef] [PubMed]
- Bogduk, N.; Macintosh, J.E.; Pearcy, M.J. A universal model of the lumbar back muscles in the upright position. Spine 1992, 17, 897–913. [Google Scholar] [CrossRef] [PubMed]
- Wang, K.; Deng, Z.; Chen, X.; Shao, J.; Qiu, L.; Jiang, C.; Niu, W. The Role of Multifidus in the Biomechanics of Lumbar Spine: A Musculoskeletal Modeling Study. Bioengineering 2023, 10, 67. [Google Scholar] [CrossRef]
- Vatovec, R.; Voglar, M. Changes of trunk muscle stiffness in individuals with low back pain: A systematic review with meta-analysis. BMC Musculoskelet. Disord. 2024, 25, 155. [Google Scholar] [CrossRef] [PubMed]
- Li, Y.; Yu, J.; Zhang, J.; Zhang, Z.; Wang, X. Quantifying the stiffness of lumbar erector spinae during different positions among participants with chronic low back pain. PLoS ONE 2022, 17, e0270286. [Google Scholar] [CrossRef]
- Hori, Y.; Hoshino, M.; Inage, K.; Miyagi, M.; Takahashi, S.; Ohyama, S.; Suzuki, A.; Tsujio, T.; Terai, H.; Dohzono, S.; et al. Gender-specific analysis for the association between trunk muscle mass and spinal pathologies. Sci. Rep. 2021, 11, 7816. [Google Scholar] [CrossRef]
- Huang, R.; Pan, F.; Kong, C.; Lu, S. Age- and sex-dependent differences in the morphology and composition of paraspinal muscles between subjects with and without lumbar degenerative diseases. BMC Musculoskelet. Disord. 2022, 23, 734. [Google Scholar] [CrossRef]
- Luo, M.; Deng, H.; Ma, M.; Liu, Y.; Zhong, Z.; Li, J.; Zhang, K. Changes of water and muscle content in lumbar paraspinal muscle degeneration and gender differences during aging using dual-energy CT. Eur. Spine J. 2025, 34, 4539–4550. [Google Scholar] [CrossRef]
- Feng, Y.N.; Li, Y.P.; Liu, C.L.; Zhang, Z.J. Assessing the elastic properties of skeletal muscle and tendon using shearwave ultrasound elastography and MyotonPRO. Sci. Rep. 2018, 8, 17064. [Google Scholar] [CrossRef]
- Valenti, F.; Meden, S.; Frangež, M.; Vauhnik, R. Intra-rater and inter-rater reliability of a handheld myotonometer measuring myofascial stiffness of lower lumbar myofascial tissue in healthy adults. PeerJ 2024, 12, e18524. [Google Scholar] [CrossRef]
- Taş, S.; Yaşar, Ü.; Kaynak, B.A. Interrater and Intrarater Reliability of a Handheld Myotonometer in Measuring Mechanical Properties of the Neck and Orofacial Muscles. J. Manip. Physiol. Ther. 2021, 44, 42–48. [Google Scholar] [CrossRef]
- Gacto-Sánchez, M.; Medina-Mirapeix, F.; Benítez-Martínez, J.C.; Montilla-Herrador, J.; Palanca, A.; Agustín, R.M. Estimating Quadriceps and Hamstrings Strength Through Myoton Among Recreational Athletes. J. Sport Rehabil. 2023, 32, 827–833. [Google Scholar] [CrossRef] [PubMed]
- Mackala, K.; Mroczek, D.; Chmura, P.; Konefał, M.; Pawlik, D.; Ochman, B.; Chmura, J.; Paleczny, B.; Seredyński, R.; Wyciszkiewicz, M.; et al. Impact of marathon performance on muscles stiffness in runners over 50 years old. Front. Psychol. 2023, 14, 1069774. [Google Scholar] [CrossRef] [PubMed]
- Qu, G.; Wang, H.; Zhou, G.; Liu, H. Effects of two-week machine massage on muscle properties in adolescent wrestlers. Front. Physiol. 2023, 14, 1129836. [Google Scholar] [CrossRef] [PubMed]
- Sezik, A.; Uysal, Ö.; Fırat, T.; Düzgün, I.; Bayrakcı Tunay, V. The Effects of Foam Rolling at Different Speeds on Mechanical Properties of Quadriceps Femoris. J. Sports Sci. Med. 2024, 23, 684–689. [Google Scholar] [CrossRef]
- Urrejola-Contreras, G.P.; Martínez, J.M.; Rodríguez-Bagó, M.; Ronda, E. Myotonometry in machinery operators and its relationship with postural ergonomic risk. Ann. Work. Expo. Health 2024, 68, 605–616. [Google Scholar] [CrossRef]
- Alcaraz-Clariana, S.; García-Luque, L.; Garrido-Castro, J.L.; Carmona-Pérez, C.; Rodrigues-de-Souza, D.P.; Fernández-de-Las-Peñas, C.; Alburquerque-Sendín, F. Influence of Spinal Movements Associated with Physical Evaluation on Muscle Mechanical Properties of the Lumbar Paraspinal in Subjects with Acute Low Back Pain. Diagnostics 2022, 12, 302. [Google Scholar] [CrossRef]
- Rodrigues-de-Souza, D.P.; Casas-Castro, A.; Carmona-Pérez, M.C.; García-Luque, L.; Alcaraz-Clariana, S.; Garrido-Castro, J.L.; Alburquerque-Sendín, F. Between-sexes differences in lumbopelvic muscle mechanical properties of non-climacteric adults: A cross-sectional design. Sci. Rep. 2023, 13, 21612. [Google Scholar] [CrossRef]
- Lo, W.L.A.; Yu, Q.; Mao, Y.; Li, W.; Hu, C.; Li, L. Lumbar muscles biomechanical characteristics in young people with chronic spinal pain. BMC Musculoskelet. Disord. 2019, 20, 559. [Google Scholar] [CrossRef]
- Kelly, J.P.; Koppenhaver, S.L.; Michener, L.A.; Proulx, L.; Bisagni, F.; Cleland, J.A. Characterization of tissue stiffness of the infraspinatus, erector spinae, and gastrocnemius muscle using ultrasound shear wave elastography and superficial mechanical deformation. J. Electromyogr. Kinesiol. 2018, 38, 73–80. [Google Scholar] [CrossRef]
- Lohr, C.; Braumann, K.M.; Reer, R.; Schroeder, J.; Schmidt, T. Reliability of tensiomyography and myotonometry in detecting mechanical and contractile characteristics of the lumbar erector spinae in healthy volunteers. Eur. J. Appl. Physiol. 2018, 118, 1349–1359. [Google Scholar] [CrossRef]
- Jung, S.Y.; Choi, B.R. Three-dimensional change in the cervical spine in a cross-legged sitting position after a time lapse. J. Phys. Ther. Sci. 2016, 28, 1657–1659. [Google Scholar] [CrossRef] [PubMed]
- Sipko, T.; Barczyk-Pawelec, K.; Piksa, M.; Mencel, J. Impact of Standing and Sitting Postures on Spinal Curvature and Muscle Mechanical Properties in Young Women: A Photogrammetric and MyotonPro Analysis. Med. Sci. Monit. 2024, 30, e944930. [Google Scholar] [CrossRef]
- Sheeran, L.; Sparkes, V.; Caterson, B.; Busse-Morris, M.; van Deursen, R. Spinal position sense and trunk muscle activity during sitting and standing in nonspecific chronic low back pain: Classification analysis. Spine 2012, 37, E486–E495. [Google Scholar] [CrossRef]
- Andersen, T.B.; Essendrop, M.; Schibye, B. Movement of the upper body and muscle activity patterns following a rapidly applied load: The influence of pre-load alterations. Eur. J. Appl. Physiol. 2004, 91, 488–492. [Google Scholar] [CrossRef]
- Callaghan, J.P.; McGill, S.M. Low back joint loading and kinematics during standing and unsupported sitting. Ergonomics 2001, 44, 280–294. [Google Scholar] [CrossRef]
- Vöröš, P.; Kozinc, Ž. Preliminary investigation of the effects of sitting with and without short active breaks on muscle stiffness assessed with shear-wave elastography. Sport Sci. Health 2023, 19, 1209–1216. [Google Scholar] [CrossRef]
- Hodges, P.W.; Gandevia, S.C. Changes in intra-abdominal pressure during postural and respiratory activation of the human diaphragm. J. Appl. Physiol. 2000, 89, 967–976. [Google Scholar] [CrossRef] [PubMed]
- De Carvalho, D.; Greene, R.; Swab, M.; Godwin, M. Does objectively measured prolonged standing for desk work result in lower ratings of perceived low back pain than sitting? A systematic review and meta-analysis. Work 2020, 67, 431–440. [Google Scholar] [CrossRef]
- D’Amanti, A.; Campoli, F.; D’Amanti, C.; Caprioli, L.; Kostrzewa-Nowak, D.; Nowak, R.; Padua, E.; Messina, G. Effective treatment of adolescent idiopathic scoliosis with the PosturalSpine® D’Amanti method and Chêneau brace. A pediatric patient case report demonstrating postural and orthotic synergy. Eur. J. Transl. Myol. 2025, 35, 76–81. [Google Scholar] [CrossRef]
- Nicol, V.; Verdaguer, C.; Daste, C.; Bisseriex, H.; Lapeyre, É.; Lefèvre-Colau, M.M.; Rannou, F.; Rören, A.; Facione, J.; Nguyen, C. Chronic Low Back Pain: A Narrative Review of Recent International Guidelines for Diagnosis and Conservative Treatment. J. Clin. Med. 2023, 12, 1685. [Google Scholar] [CrossRef]
- Malakoutian, M.; Sanchez, C.A.; Brown, S.H.M.; Street, J.; Fels, S.; Oxland, T.R. Biomechanical Properties of Paraspinal Muscles Influence Spinal Loading—A Musculoskeletal Simulation Study. Front. Bioeng. Biotechnol. 2022, 10, 852201. [Google Scholar] [CrossRef]
- Shirazi-Adl, A.; El-Rich, M.; Pop, D.G.; Parnianpour, M. Spinal muscle forces, internal loads and stability in standing under various postures and loads—Application of kinematics-based algorithm. Eur. Spine J. 2005, 14, 381–392. [Google Scholar] [CrossRef] [PubMed]
- Norris, C.M. Spinal Stabilisation: 3. Stabilisation Mechanisms of the Lumbar Spine. Physiotherapy 1995, 81, 72–79. [Google Scholar] [CrossRef]
- Kong, P.W.; Chua, Y.H.; Kawabata, M.; Burns, S.F.; Cai, C. Effect of Post-Exercise Massage on Passive Muscle Stiffness Measured Using Myotonometry—A Double-Blind Study. J. Sports Sci. Med. 2018, 17, 599–606. [Google Scholar]
- Crawford, R.J.; Filli, L.; Elliott, J.M.; Nanz, D.; Fischer, M.A.; Marcon, M.; Ulbrich, E.J. Age- and Level-Dependence of Fatty Infiltration in Lumbar Paravertebral Muscles of Healthy Volunteers. AJNR Am. J. Neuroradiol. 2016, 37, 742–748. [Google Scholar] [CrossRef] [PubMed]
- Sasaki, T.; Yoshimura, N.; Hashizume, H.; Yamada, H.; Oka, H.; Matsudaira, K.; Iwahashi, H.; Shinto, K.; Ishimoto, Y.; Nagata, K.; et al. MRI-defined paraspinal muscle morphology in Japanese population: The Wakayama Spine Study. PLoS ONE 2017, 12, e0187765. [Google Scholar] [CrossRef]
- Marras, W.S.; Jorgensen, M.J.; Granata, K.P.; Wiand, B. Female and male trunk geometry: Size and prediction of the spine loading trunk muscles derived from MRI. Clin. Biomech. 2001, 16, 38–46. [Google Scholar] [CrossRef]
- Stokes, I.A.; Gardner-Morse, M. Quantitative anatomy of the lumbar musculature. J. Biomech. 1999, 32, 311–316. [Google Scholar] [CrossRef]
- Kienbacher, T.; Paul, B.; Habenicht, R.; Starek, C.; Wolf, M.; Kollmitzer, J.; Mair, P.; Ebenbichler, G. Age and gender related neuromuscular changes in trunk flexion-extension. J. Neuroeng. Rehabil. 2015, 12, 3. [Google Scholar] [CrossRef]



| Gender | Item | Mean ± SD |
|---|---|---|
| Female (n = 16) | Age (years) | 21.06 ± 2.02 |
| Weight (kg) | 51.88 ± 5.03 | |
| Height (m) | 1.59 ± 0.06 | |
| BMI | 20.64 ± 1.73 | |
| Male (n = 14) | Age (years) | 21.21 ± 1.85 |
| Weight (kg) | 66.93 ± 10.03 | |
| Height (m) | 1.74 ± 0.05 | |
| BMI | 22.01 ± 2.47 |
| Damping | Stiffness | Tone | |||||||||||||
|---|---|---|---|---|---|---|---|---|---|---|---|---|---|---|---|
| df | MS | F | p Value | η2 | df | MS | F | p Value | η2 | df | MS | F | p Value | η2 | |
| Between-subject effects | |||||||||||||||
| Gender | 1 | 0.07 | 0.32 | 0.58 | 0.01 | 1 | 2,677,701.51 | 14.27 | <0.0167 | 0.34 | 1 | 951.43 | 9.95 | <0.0167 | 0.26 |
| Error | 28 | 0.22 | 28 | 187,676.94 | 28 | 95.58 | |||||||||
| Within-subject effects | |||||||||||||||
| Posture | 1 | 1.10 | 10.81 | <0.0167 | 0.28 | 2 | 1,198,413.69 | 64.69 | <0.0167 | 0.70 | 2 | 399.75 | 48.34 | <0.0167 | 0.63 |
| Posture × Gender | 1 | 0.67 | 6.54 | <0.0167 | 0.19 | 2 | 17,149.59 | 0.89 | 0.41 | 0.03 | 2 | 52.93 | 5.96 | <0.0167 | 0.18 |
| Level | 1 | 0.37 | 15.98 | <0.0167 | 0.36 | 1 | 233,339.73 | 20.72 | <0.0167 | 0.43 | 1 | 137.39 | 43.80 | <0.0167 | 0.61 |
| Level × Gender | 1 | 0.10 | 4.32 | 0.03 | 0.13 | 1 | 15,670.37 | 1.39 | 0.26 | 0.05 | 1 | 3.35 | 1.07 | 0.33 | 0.04 |
| Action | 1 | 0.02 | 0.62 | 0.44 | 0.02 | 1 | 2692.81 | 0.17 | 0.69 | 0.01 | 1 | 1.35 | 0.19 | 0.66 | 0.01 |
| Action × Gender | 1 | 0.02 | 0.71 | 0.41 | 0.03 | 1 | 39,431.96 | 2.42 | 0.13 | 0.08 | 1 | 2.04 | 0.29 | 0.59 | 0.01 |
| Level × Posture | 3 | 0.06 | 5.97 | <0.0167 | 0.18 | 2 | 6269.46 | 1.78 | 0.17 | 0.06 | 2 | 1.00 | 1.07 | 0.35 | 0.04 |
| Level × Posture × Gender | 3 | 0.02 | 2.05 | 0.12 | 0.07 | 2 | 3618.84 | 1.03 | 0.38 | 0.04 | 2 | 0.25 | 0.26 | 0.78 | 0.01 |
| Action × Posture | 1 | 0.05 | 0.92 | 0.37 | 0.03 | 1 | 1,029,744.48 | 39.79 | <0.0167 | 0.59 | 1 | 290.26 | 32.07 | <0.0167 | 0.53 |
| Action × Posture × Gender | 1 | 0.01 | 0.14 | 0.78 | 0.01 | 1 | 211,291.49 | 8.17 | <0.0167 | 0.23 | 1 | 19.78 | 2.18 | 0.14 | 0.07 |
| Level × Action | 2 | 0.00 | 0.56 | 0.58 | 0.02 | 2 | 1649.79 | 1.46 | 0.24 | 0.05 | 2 | 0.18 | 0.38 | 0.64 | 0.01 |
| Level × Action × Gender | 2 | 0.04 | 7.02 | <0.0167 | 0.20 | 2 | 2166.57 | 1.77 | 0.18 | 0.06 | 2 | 0.13 | 0.28 | 0.71 | 0.01 |
| Level × Action × Posture | 3 | 0.05 | 6.52 | <0.0167 | 0.19 | 3 | 17,180.95 | 8.62 | <0.0167 | 0.24 | 2 | 8.22 | 13.65 | <0.0167 | 0.33 |
| Level × Action × Posture × Gender | 3 | 0.02 | 2.18 | 0.10 | 0.07 | 3 | 1165.23 | 0.58 | 0.60 | 0.02 | 2 | 0.50 | 0.82 | 0.45 | 0.03 |
| Error (Level × action × posture) | 83 | 0.01 | 71 | 1992.68 | 60 | 0.60 | |||||||||
| Myoton | Gender | Level | Prone | Sitting | Standing | a Differences Among Postures | ||||||
|---|---|---|---|---|---|---|---|---|---|---|---|---|
| Relaxation | Contraction | Relaxation | Contraction | Relaxation | Contraction | Relaxation | Contraction | |||||
| F | p | F | p | |||||||||
| Damping (logarithmic decrement) | Female | L3 | 1.06 ± 0.13 | 1.08 ± 0.13 | 1.01 ± 0.08 | 1.01 ± 0.12 | 0.97 ± 0.08 * | 1.00 ± 0.10 | 3.49 | <0.05 | 2.13 | 0.13 |
| L4 | 0.98 ± 0.15 | 1.01 ± 0.19 | 1.01 ± 0.08 | 0.98 ± 0.09 | 0.92 ± 0.10 | 0.90 ± 0.10 | 2.62 | 0.08 | 2.96 | 0.06 | ||
| L5 | 0.90 ± 0.20 | 0.93 ± 0.16 | 0.99 ± 0.11 | 0.93 ± 0.11 | 0.85 ± 0.14 | 0.82 ± 0.20 # | 3.32 | 0.05 | 2.13 | 0.13 | ||
| a Difference among levels | <0.05 | <0.05 | >0.05 | >0.05 | <0.05 | <0.05 | ||||||
| Male | L3 | 1.19 ± 0.30 | 1.12 ± 0.27 | 0.88 ± 0.13 * | 0.93 ± 0.09 * | 0.97 ± 0.18 * | 0.95 ± 0.14 * | 7.35 | <0.001 | 4.44 | <0.05 | |
| L4 | 1.07 ± 0.30 | 1.15 ± 0.32 | 0.91 ± 0.15 | 0.91 ± 0.13 * | 0.95 ± 0.18 | 0.94 ± 0.18 * | 1.98 | 0.15 | 4.77 | <0.05 | ||
| L5 | 0.96 ± 0.26 | 1.13 ± 0.32 | 0.90 ± 0.18 | 0.89 ± 0.19 * | 0.95 ± 0.18 | 0.98 ± 0.13 | 0.29 | 0.75 | 3.77 | <0.05 | ||
| a Difference among levels | >0.05 | >0.05 | >0.05 | >0.05 | >0.05 | >0.05 | ||||||
| Stiffness (N/m) | Female | L3 | 265.31 ± 38.77 | 370.45 ± 68.95 | 461.83 ± 105.81 * | 415.62 ± 95.57 | 333.22 ± 124.8 # | 279.37 ± 68.72 *# | 16.91 | <0.001 | 7.58 | <0.001 |
| L4 | 242.29 ± 47.06 | 304.88 ± 95.07 | 418.03 ± 110.61 * | 385.55 ± 110.19 * | 315.00 ± 154.28 # | 234.26 ± 50.76 # | 9.79 | <0.001 | 11.58 | <0.001 | ||
| L5 | 218.78 ± 36.54 | 241.88 ± 62.01 | 376.48 ± 130.31 * | 344.49 ± 114.4 * | 269.44 ± 147.98 # | 210.02 ± 47.18 # | 7.74 | <0.001 | 12.37 | <0.001 | ||
| a Difference among levels | <0.05 | <0.05 | >0.05 | >0.05 | <0.05 | >0.05 | ||||||
| Male | L3 | 304.73 ± 59.54 | 563.75 ± 113.73 | 598.53 ± 127.65 * | 541.05 ± 133.49 | 503.87 ± 165.60 * | 364.84 ± 101.46 *# | 19.98 | <0.001 | 6.75 | <0.001 | |
| L4 | 280.23 ± 66.33 | 496.99 ± 129.04 | 584.30 ± 152.70 * | 547.53 ± 169.54 | 476.13 ± 180.24 * | 362.30 ± 122.93 # | 16.57 | <0.001 | 4.00 | <0.05 | ||
| L5 | 269.64 ± 57.57 | 464.12 ± 131.55 | 560.59 ± 172.21 * | 535.91 ± 93.02 | 438.57 ± 195.38 * | 334.55 ± 123.78 # | 12.60 | <0.001 | 4.12 | <0.05 | ||
| a Difference among levels | >0.05 | >0.05 | >0.05 | >0.05 | >0.05 | >0.05 | ||||||
| Tone (Hz) | Female | L3 | 15.13 ± 0.93 | 17.16 ± 1.59 | 18.36 ± 2.37 * | 17.00 ± 1.57 | 16.50 ± 2.85 | 14.87 ± 0.93 *# | 8.64 | <0.001 | 13.35 | <0.001 |
| L4 | 14.32 ± 0.99 | 15.98 ± 1.45 | 17.14 ± 2.36 * | 16.25 ± 1.66 | 15.49 ± 2.93 | 14.11 ± 0.95 *# | 6.33 | <0.001 | 11.34 | <0.001 | ||
| L5 | 13.81 ± 0.97 | 14.92 ± 1.39 | 16.29 ± 2.62 * | 15.59 ± 1.91 | 14.55 ± 2.73 | 13.70 ± 0.99 *# | 5.06 | <0.05 | 6.74 | <0.001 | ||
| a Difference among levels | <0.05 | <0.05 | >0.05 | >0.05 | <0.05 | >0.05 | ||||||
| Male | L3 | 15.81 ± 1.49 | 19.72 ± 5.24 | 22.03 ± 3.61 * | 20.32 ± 3.61 | 18.83 ± 3.54 *# | 16.74 ± 1.92 | 14.64 | <0.001 | 3.50 | <0.05 | |
| L4 | 15.48 ± 1.53 | 18.40 ± 4.82 | 21.40 ± 4.18 * | 19.80 ± 3.94 | 18.02 ± 3.50 # | 16.56 ± 2.25 | 11.59 | <0.001 | 2.53 | 0.09 | ||
| L5 | 14.95 ± 1.65 | 17.50 ± 4.24 | 20.53 ± 4.80 * | 19.40 ± 4.32 | 17.38 ± 3.65 | 16.19 ± 2.40 | 8.40 | <0.001 | 2.57 | 0.09 | ||
| a Difference among levels | >0.05 | >0.05 | >0.05 | >0.05 | >0.05 | >0.05 | ||||||
Disclaimer/Publisher’s Note: The statements, opinions and data contained in all publications are solely those of the individual author(s) and contributor(s) and not of MDPI and/or the editor(s). MDPI and/or the editor(s) disclaim responsibility for any injury to people or property resulting from any ideas, methods, instructions or products referred to in the content. |
© 2026 by the authors. Published by MDPI on behalf of the Lithuanian University of Health Sciences. Licensee MDPI, Basel, Switzerland. This article is an open access article distributed under the terms and conditions of the Creative Commons Attribution (CC BY) license.
Share and Cite
Hsieh, Y.-L.; Lin, H.-Y.; Chien, A. Influence of Posture, Spinal Level, Gender and Muscle Activation on Biomechanical Properties of Lumbar Erector Spinae in Healthy Young Adults. Medicina 2026, 62, 159. https://doi.org/10.3390/medicina62010159
Hsieh Y-L, Lin H-Y, Chien A. Influence of Posture, Spinal Level, Gender and Muscle Activation on Biomechanical Properties of Lumbar Erector Spinae in Healthy Young Adults. Medicina. 2026; 62(1):159. https://doi.org/10.3390/medicina62010159
Chicago/Turabian StyleHsieh, Yueh-Ling, Heng-Yi Lin, and Andy Chien. 2026. "Influence of Posture, Spinal Level, Gender and Muscle Activation on Biomechanical Properties of Lumbar Erector Spinae in Healthy Young Adults" Medicina 62, no. 1: 159. https://doi.org/10.3390/medicina62010159
APA StyleHsieh, Y.-L., Lin, H.-Y., & Chien, A. (2026). Influence of Posture, Spinal Level, Gender and Muscle Activation on Biomechanical Properties of Lumbar Erector Spinae in Healthy Young Adults. Medicina, 62(1), 159. https://doi.org/10.3390/medicina62010159

