Sign in to use this feature.

Years

Between: -

Subjects

remove_circle_outline
remove_circle_outline
remove_circle_outline
remove_circle_outline
remove_circle_outline
remove_circle_outline
remove_circle_outline

Journals

Article Types

Countries / Regions

remove_circle_outline
remove_circle_outline
remove_circle_outline
remove_circle_outline
remove_circle_outline

Search Results (238)

Search Parameters:
Keywords = multisystem inflammatory syndrome in children

Order results
Result details
Results per page
Select all
Export citation of selected articles as:
16 pages, 1722 KB  
Article
Assessing Seroprevalence and Infection Dynamics of Oncogenic Gammaherpesviruses in South African Paediatric Patients Presenting with Inflammatory Conditions
by Katrin Bratl, Claire Butters, Kate Webb and Georgia Schäfer
Int. J. Mol. Sci. 2026, 27(3), 1275; https://doi.org/10.3390/ijms27031275 - 27 Jan 2026
Viewed by 18
Abstract
Kaposi’s Sarcoma-associated herpesvirus (KSHV) and Epstein–Barr virus (EBV) are oncogenic gammaherpesviruses with high prevalence in sub-Saharan Africa. Both viruses are typically acquired during childhood, establishing lifelong latency. While viral reactivation into the lytic cycle has been mainly studied in adult HIV-infected populations—and more [...] Read more.
Kaposi’s Sarcoma-associated herpesvirus (KSHV) and Epstein–Barr virus (EBV) are oncogenic gammaherpesviruses with high prevalence in sub-Saharan Africa. Both viruses are typically acquired during childhood, establishing lifelong latency. While viral reactivation into the lytic cycle has been mainly studied in adult HIV-infected populations—and more recently in the context of severe acute respiratory syndrome coronavirus 2 (SARS-CoV-2) co-infection—the dynamics of KSHV and EBV infection in children remain poorly understood. Here, we characterize pediatric patients (n = 175; median age 4.6 years; IQR 2.0–8.3) presenting with inflammatory conditions during the COVID-19 pandemic in South Africa (from July 2020 to February 2024). Including a healthy, non-inflammatory control group, we found widespread exposure to SARS-CoV-2 (70.9% seropositivity), with 72.6% of the children being seropositive for EBV and 19.4% for KSHV. There were no significant differences in seroprevalence between children with inflammatory conditions and healthy controls for any of these viruses, although SARS-CoV-2 antibody titers were significantly higher in the inflammatory group, while EBV immune responses were lower in children presenting with inflammation. Among the KSHV-seropositive children, no active viremia was detected (as determined by the absence of viral DNA in the peripheral blood). In contrast, 34.4% of EBV-seropositive children had detectable EBV viral load, with a modestly higher proportion in the inflammatory group. However, EBV viral load levels were comparable between children diagnosed with Multisystem Inflammatory Syndrome in Children (MIS-C), Kawasaki Disease (KD), and other inflammatory conditions. Logistic regression analyses revealed that increasing age was significantly associated with higher risk of SARS-CoV-2 and EBV seropositivity, but not KSHV. Notably, the risk of EBV DNA detection in the peripheral blood decreased with age. In summary, this study suggests effective immunological control of gammaherpesvirus infections in HIV-negative paediatric patients, even in the presence of inflammatory conditions that might otherwise trigger viral reactivation. Full article
(This article belongs to the Special Issue Emerging Viral Epidemics)
Show Figures

Figure 1

28 pages, 2928 KB  
Article
Differentiating Multisystem Inflammatory Syndrome in Children (MIS-C) from Acute COVID-19 Using Biomarkers: Toward a Practical Clinical Scoring Model
by Carmen Loredana Petrea (Cliveți), Diana-Andreea Ciortea, Gabriela Gurău, Mădălina Nicoleta Matei, Alina Plesea Condratovici, Andreea Eliza Zaharia, Codrina Barbu (Ivașcu), Gabriela Isabela Verga (Răuță) and Sorin Ion Berbece
Biomedicines 2026, 14(2), 258; https://doi.org/10.3390/biomedicines14020258 - 23 Jan 2026
Viewed by 192
Abstract
Background/Objectives: Severe acute respiratory syndrome coronavirus 2 (SARS-CoV-2) infection in children presents with a heterogeneous clinical spectrum, whereas multisystem inflammatory syndrome in children (MIS-C) is a distinct immunological entity characterized by a hyperinflammatory phenotype and a distinct biological architecture. Identifying routine biomarkers [...] Read more.
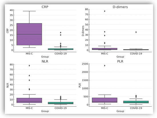
Background/Objectives: Severe acute respiratory syndrome coronavirus 2 (SARS-CoV-2) infection in children presents with a heterogeneous clinical spectrum, whereas multisystem inflammatory syndrome in children (MIS-C) is a distinct immunological entity characterized by a hyperinflammatory phenotype and a distinct biological architecture. Identifying routine biomarkers with early discriminatory utility is essential for rapid differentiation between MIS-C and coronavirus disease 2019 (COVID-19). Methods: We conducted a retrospective comparative study of 144 pediatric patients with COVID-19 or MIS-C admitted to a single specialized medical center. The analyses integrated classical statistical methods, Benjamini–Hochberg false discovery rate correction (FDR), penalized regression models, and machine learning algorithms to identify biomarkers with discriminative value, using only routine laboratory tests. Results: MIS-C was associated with an intense inflammatory profile, characterized by increases in C-reactive protein (CRP), neutrophil-to-lymphocyte ratio (NLR), and platelet-to-lymphocyte ratio (PLR), lymphopenia, and selective electrolyte disturbances, highlighting a coherent biological architecture. In contrast, COVID-19 showed limited associations with traditional inflammatory markers. Predictive models identified a stable core of biomarkers with excellent performance in Random Forest analysis (area under the curve, AUC = 0.95), and reproducible thresholds (CRP ~3.7 mg/dL, NLR ~3.3, PLR ~376; potassium ~4.2 mmol/L). These findings were independently confirmed using penalized Ridge regression, where the reduced model achieved superior discrimination compared to the full 13-variable model (AUC = 0.93 vs. 0.89) and maintained stable performance under internal cross-validation, reinforcing the clinical relevance of this compact biomarker panel. Conclusions: MIS-C is clearly distinguished from COVID-19 by a specific and reproducible immunological signature. The identified biomarkers may represent a potential foundation for the development of simple clinical algorithms for pediatric triage and risk stratification, opening the prospect of a simplified scoring tool applicable in emergency settings. Full article
(This article belongs to the Section Microbiology in Human Health and Disease)
Show Figures

Figure 1

18 pages, 590 KB  
Systematic Review
Long-Term Kidney Outcomes After SARS-CoV-2 Infection in Children Aged 0–12 Years: A Systematic Review
by Saad Alhumaid, Abdullah Abdulrahman Alkhamees, Nourah Al Dossary, Anwar A. Almuslim, Rabab Abbas Majzoub, Qasem M. Alalwan, Mohammed Jassim Alsaeed, Fahad Mohammed Aljowaisem, Manahi Ayadh Alqahtani, Abdulmohsen Ibrahim Alamer, Muath Ibrahim ALDuhailan, Dawood Adnan Al Nasser, Mohammed S. Almuhanna, Mustafa A. Al-Kamees, Hassan Ali Alhadab, Ali Ahmed Alsultan, Ali N. Bukhamseen, Abdulaziz Abdullah Alabdullah, Kawther S. Alhaddad, Murtadha A. Alhumaid, Hassan M. Almusabeh, Yasin S. Almubarak, Rugayah Ahmed AlShayeb, Dalal Ahmed Alnami, Yaqoub Yousef Alatiyyah, Zainab Al Alawi and Muneera Alabdulqaderadd Show full author list remove Hide full author list
Children 2026, 13(1), 75; https://doi.org/10.3390/children13010075 - 2 Jan 2026
Viewed by 467
Abstract
Background: Acute kidney injury (AKI) is increasingly recognised in children with acute COVID-19 and multisystem inflammatory syndrome in children (MIS-C), yet the long-term renal consequences in younger paediatric populations remain unclear. Most studies focus on acute illness or mixed-age cohorts, with limited data [...] Read more.
Background: Acute kidney injury (AKI) is increasingly recognised in children with acute COVID-19 and multisystem inflammatory syndrome in children (MIS-C), yet the long-term renal consequences in younger paediatric populations remain unclear. Most studies focus on acute illness or mixed-age cohorts, with limited data specific to children aged 0–12 years. Objectives: This study aimed to systematically identify, evaluate, and synthesise evidence on post-acute (≥30 days) and long-term (≥90 days) kidney outcomes following SARS-CoV-2 infection or MIS-C in children aged 0–12 years, including chronic kidney disease (CKD), eGFR decline, proteinuria, haematuria, hypertension, and need for kidney replacement therapy. Methods: We searched MEDLINE, Embase, CINAHL, and PubMed (December 2019–30 November 2025), following PRISMA 2020 guidelines and a registered PROSPERO protocol (CRD420251241949). Observational studies reporting kidney outcomes ≥30 days post-infection in children aged 0–12 years were included. Risk of bias was assessed using the Newcastle–Ottawa Scale or ROBINS-I. Owing to heterogeneity and absence of ≥3 comparable datasets, a narrative synthesis was performed. Results: Seven studies met inclusion criteria (five MIS-C cohorts, two acute COVID-19 cohorts). Only a subset provided extractable data specific to children aged 0–12 years. Follow-up ranged from 30 days to 12 months; four studies reported outcomes ≥ 180 days. Across all studies, no incident CKD, sustained eGFR decline, or kidney replacement therapy were reported among children completing long-term follow-up; however, most long-term outcome data were derived from MIS-C cohorts with median ages around 8–11 years that included some adolescents, rather than exclusively children aged 0–12 years. One MIS-C study reported long-term hypertension in 14% of children. A cross-sectional Italian cohort of mild COVID-19 demonstrated hyperfiltration, proteinuria, and microhaematuria at ~3 months, though chronicity could not be assessed due to absence of baseline values. A large US EHR-based cohort identified increased CKD risk after COVID-19 in the broader < 21-year population; however, 0–12-year-specific event counts were not reported, preventing quantitative synthesis for young children. Conclusions: Evidence on long-term kidney outcomes after SARS-CoV-2 infection in children aged 0–12 years remains limited, and only a small subset of studies provided extractable, age-specific data. On the other hand, MIS-C cohorts generally show favourable renal recovery, small sample sizes, lack of control groups, and short follow-up restrict confidence in these findings. Large paediatric EHR studies suggest potential long-term renal risk in broader paediatric populations, highlighting the need for age-stratified, prospective cohorts with serial eGFR, urine studies, and blood pressure assessments. Until definitive evidence emerges, structured renal follow-up may be warranted for children with AKI or MIS-C during COVID-19. Full article
(This article belongs to the Section Pediatric Infectious Diseases)
Show Figures

Graphical abstract

10 pages, 2891 KB  
Case Report
Posterior Reversible Encephalopathy Syndrome as an Under-Recognized Neurological Complication of Multisystem Inflammatory Syndrome in Children: A Case from Indonesia
by Ido Narpati Bramantya, Ratna Sutanto, Callistus Bruce Henfry Sulay and Gilbert Sterling Octavius
COVID 2026, 6(1), 8; https://doi.org/10.3390/covid6010008 - 31 Dec 2025
Viewed by 272
Abstract
Posterior Reversible Encephalopathy Syndrome (PRES) is a rare but potentially reversible neurological manifestation associated with Multisystem Inflammatory Syndrome in Children (MIS-C). We report an eight-year-old boy who developed PRES secondary to MIS-C following asymptomatic SARS-CoV-2 exposure. The patient presented with fever, seizures, decreased [...] Read more.
Posterior Reversible Encephalopathy Syndrome (PRES) is a rare but potentially reversible neurological manifestation associated with Multisystem Inflammatory Syndrome in Children (MIS-C). We report an eight-year-old boy who developed PRES secondary to MIS-C following asymptomatic SARS-CoV-2 exposure. The patient presented with fever, seizures, decreased consciousness, and visual disturbances. MRI revealed characteristic bilateral parieto-occipital and posterior temporal cortical–subcortical hyperintensities, while CT scans were normal. The patient achieved full neurological recovery with corticosteroid therapy, blood pressure control, and supportive management. This case underscores the importance of early MRI in detecting PRES when clinical or CT findings are inconclusive, emphasizing the need for heightened awareness among pediatric clinicians to prevent irreversible neurological sequelae. Full article
(This article belongs to the Section COVID Clinical Manifestations and Management)
Show Figures

Figure 1

10 pages, 421 KB  
Article
Correlation of Clinical and Laboratory Features of Multisystem Inflammatory Syndrome in Children with Echocardiographic Findings
by Nenad Barišić, Gordana Vijatov-Đurić, Borko Milanović, Ivana Vorgučin, Katarina Koprivšek, Milica Milojković, Ognjen Ležakov and Vesna Stojanović
Medicina 2025, 61(12), 2158; https://doi.org/10.3390/medicina61122158 - 4 Dec 2025
Viewed by 319
Abstract
Background and Objectives: The aim of this study was to identify clinical features and laboratory findings that correlate with and predict pathological echocardiographic findings in children diagnosed with Multisystem Inflammatory Syndrome. Materials and Methods: Retrospective study included all patients aged 0–18 [...] Read more.
Background and Objectives: The aim of this study was to identify clinical features and laboratory findings that correlate with and predict pathological echocardiographic findings in children diagnosed with Multisystem Inflammatory Syndrome. Materials and Methods: Retrospective study included all patients aged 0–18 diagnosed with Multisystem Inflammatory Syndrome and hospitalized at our clinic from July 2020 to December 2022. The clinical and laboratory data of 61 patients were studied and compared between two subgroups (normal/abnormal echocardiography). Results: Elevated values of high-sensitivity troponin I were observed in 65.57% patients with MIS-C. The mean high-sensitivity troponin I value in the whole sample was 400.89 ± 1989.31 pg/mL. In patients with pathological echocardiographic findings, the mean value was 1240.24 ± 3609 pg/mL, while in patients with normal echocardiographic findings, it was 52.87 ± 71.86 pg/mL. Even though mean value was higher in the group of patients with abnormal echocardiography, no statistically significant difference was observed between high-sensitivity troponin I values in patients with and without pathological echocardiographic findings. Troponin levels were not in good correlation with pathological echocardiographic findings (point-biserial correlation; rpb = 0.25, p = 0.054) and were not good predictors of pathological echocardiographic findings (logistic regression; Chi2 = 3.77, p = 0.052). Logistic regression showed significant positive correlation of blood urea nitrogen levels and the degree of fever with abnormal echocardiographic findings (Chi2 = 10.04, p 0.002/Chi2 = 6.10, p = 0.013, respectively). Conclusions: Only blood urea nitrogen levels and high fever showed statistically significant correlation and predictive value for abnormal echocardiographic findings in children with Multisystem Inflammatory Syndrome. High sensitive troponin I had no significant power to discriminate between normal and abnormal echocardiographic findings. Full article
(This article belongs to the Section Pediatrics)
Show Figures

Figure 1

13 pages, 614 KB  
Review
Neutrophil Extracellular Traps in Pediatric Infections: A Systematic Review
by Anastasia Stoimeni, Nikolaos Gkiourtzis, Vera Karatisidou, Nikolaos Charitakis, Kali Makedou, Despoina Tramma and Paraskevi Panagopoulou
Curr. Issues Mol. Biol. 2025, 47(12), 999; https://doi.org/10.3390/cimb47120999 - 28 Nov 2025
Viewed by 542
Abstract
Background: Neutrophil extracellular traps (NETs) are granule- and nucleus-derived structures that support innate immunity. While the contribution of NETs to adult infections and autoimmune diseases is well studied, evidence in children is still inconsistent. This review aimed to summarize current findings on NETs [...] Read more.
Background: Neutrophil extracellular traps (NETs) are granule- and nucleus-derived structures that support innate immunity. While the contribution of NETs to adult infections and autoimmune diseases is well studied, evidence in children is still inconsistent. This review aimed to summarize current findings on NETs in pediatric infections. Methods: This study followed the Cochrane Handbook for Systematic Reviews of Interventions and adhered to the PRISMA guidelines. A search was conducted in major databases (MEDLINE/PubMed and Scopus) from inception until 5 September 2025. The study quality was evaluated using the modified Newcastle–Ottawa Scale. Results: Eleven studies were included in the systematic review. In respiratory disease, the role of NETs was well described and their formation correlated with severity. Patients with febrile urinary tract infections showed elevated urinary NET-associated markers. In COVID-19 infection, NET levels were unchanged in uncomplicated cases but elevated in multisystem inflammatory syndrome in children. Findings in sepsis were inconsistent. Conclusions: This systematic review presents the published evidence on NET formation in the pediatric population, assessing the current knowledge and identifying the gaps to guide research. Future studies should aim to standardize NET detection methods, evaluate their prognostic value in large prospective cohorts, and explore the various NET-associated mechanisms in children. Full article
Show Figures

Graphical abstract

26 pages, 1392 KB  
Review
Long-Term Complications of Multisystem Inflammatory Syndrome in Children and Adults Post-COVID-19: A Systematic Review
by Sanish Varghese, Ibrahim Al-Hassani, Ubaida Al-Aani, Noor J. Rob, Sara Al-Mannai, Aayami Jaguri, Reel A. Yousif, Aisha Al-Mulla, Fathima F. Palayangal, Sa’ad Laws, Dana Al-Ali and Dalia Zakaria
Int. J. Mol. Sci. 2025, 26(21), 10695; https://doi.org/10.3390/ijms262110695 - 3 Nov 2025
Viewed by 2219
Abstract
The SARS-CoV-2 pandemic has posed global medical challenges due to its ability to affect multiple organ systems. Among the post-COVID-19 complications, multisystem inflammatory syndrome has emerged as a severe condition affecting both children (MIS-C) and adults (MIS-A). This review aims to compile and [...] Read more.
The SARS-CoV-2 pandemic has posed global medical challenges due to its ability to affect multiple organ systems. Among the post-COVID-19 complications, multisystem inflammatory syndrome has emerged as a severe condition affecting both children (MIS-C) and adults (MIS-A). This review aims to compile and analyze published data to investigate clinical characteristics, laboratory findings, and outcomes of MIS post-COVID-19. A comprehensive search of various databases was conducted to identify studies reporting MIS-related complications in pediatric and adult populations post-COVID-19 infection. Screening, data extraction, and cross-checking were performed by two independent reviewers. Only 64 studies met our inclusion criteria, and compiled results revealed that cardiac complications were the predominant manifestation followed by gastrointestinal, hematologic, neurological, and mucocutaneous involvement. Laboratory findings consistently demonstrated elevated inflammatory markers including CRP, ferritin, D-dimer, and IL-6. Most patients required hospitalization, and many needed intensive care; treatment typically involved IVIG, corticosteroids, and biologic therapies. While most patients recovered, a subset experienced persistent complications. These findings highlight the importance of early recognition, multidisciplinary management, and structured follow-up for MIS. Future research is warranted to clarify the underlying mechanisms, risk factors, and long-term outcomes associated with MIS in post-COVID-19 patients. Full article
(This article belongs to the Special Issue Long-COVID and Its Complications)
Show Figures

Figure 1

20 pages, 1324 KB  
Article
Cardiac Manifestations and Persistent Myocardial Dysfunction in Multisystem Inflammatory Syndrome in Children: Insights from Conventional and Strain Echocardiography
by Carmen Corina Șuteu, Liliana Gozar, Nicola Șuteu, Beatrix-Julia Hack and Iolanda Muntean
Children 2025, 12(10), 1383; https://doi.org/10.3390/children12101383 - 14 Oct 2025
Viewed by 711
Abstract
Background: Multisystem inflammatory syndrome in children (MIS-C) is a severe post-infectious complication of SARS-CoV-2, often with cardiac involvement. Myocardial strain imaging may detect dysfunction missed by conventional echocardiography. The objectives of this study are to characterize cardiac manifestations of MIS-C and assess the [...] Read more.
Background: Multisystem inflammatory syndrome in children (MIS-C) is a severe post-infectious complication of SARS-CoV-2, often with cardiac involvement. Myocardial strain imaging may detect dysfunction missed by conventional echocardiography. The objectives of this study are to characterize cardiac manifestations of MIS-C and assess the value of strain imaging in children with preserved and reduced left ventricular ejection fraction (LV-EF). Methods: We retrospectively analyzed 22 MIS-C patients admitted between September 2020 and January 2024, all with cardiac involvement. Clinical, laboratory, and echocardiographic data—including 2D and speckle-tracking strain—were collected at the day of worst dysfunction (DWD) and discharge (DD) and compared with 22 matched controls. Results: Median age was 4.65 years; 59% male; 45% overweight/obese. LV systolic dysfunction (LV-EF < 50%) occurred in 54.5%, coronary abnormalities in 36.4%, and pericardial effusion in 95.5%. LV global longitudinal strain (LVGLS) was significantly lower than controls at the DWD (−15.45 ± 4.76%, p < 0.0001) and DD (−20.63 ± 4.66%, p = 0.014). Strain abnormalities persisted despite LV-EF recovery, and even patients with preserved LV-EF showed significant segmental strain reduction. LVGLS and apical infero-septal strain were strongest predictors of reduced LV-EF. Conclusions: MIS-C often causes systolic dysfunction and coronary changes, but strain imaging reveals persistent subclinical myocardial injury. Long-term cardiac monitoring is warranted. Full article
(This article belongs to the Special Issue Research Progress of the Pediatric Cardiology: 3rd Edition)
Show Figures

Figure 1

15 pages, 872 KB  
Article
Incidence, Clinical Profile, and Cardiac Manifestations of MIS-C in Children in Kuwait
by Ozayr Mahomed, Adnan Alhadlaq, Khaled Alsaeid, Aisha Alsaqabi, Fouzeyah Othman, Saja Al-Shammari, Sarah Al-Yaqoub, Abdullah Al-Daihani, Abdulla Alfraij, Khalid Alafasy, Mafaza Al-Qallaf, Mariam Al-Hajeri, Nora Al-Mutairi, Alaa Alenezi, Shaimaa Mohammed, Adnan Al-Sarraf, Dalia Al-Abdulrazzaq and Hessa Al-Kandari
Diagnostics 2025, 15(19), 2545; https://doi.org/10.3390/diagnostics15192545 - 9 Oct 2025
Viewed by 853
Abstract
Background/Objectives: Multisystem inflammatory syndrome in children (MIS-C), a rare but serious post-acute hyperinflammatory condition that occurs in children 2–6 weeks after Severe Acute Respiratory Syndrome Coronavirus 2 (SARS-CoV-2) infection or exposure, varies between countries. Despite its serious nature, most children recover without [...] Read more.
Background/Objectives: Multisystem inflammatory syndrome in children (MIS-C), a rare but serious post-acute hyperinflammatory condition that occurs in children 2–6 weeks after Severe Acute Respiratory Syndrome Coronavirus 2 (SARS-CoV-2) infection or exposure, varies between countries. Despite its serious nature, most children recover without any sequelae. The most frequently reported long-term sequelae are coronary artery aneurysms. This study aimed to describe the epidemiological profile, clinical characteristics (including cardiac manifestations), treatment, and outcomes of multisystem inflammatory syndrome in children (MIS-C) under 14 years of age with SARS-CoV-2 between February 2020 and November 2021 in Kuwait. Methods: Data on sociodemographic factors, co-morbidities, presenting signs and symptoms, as well as laboratory and echocardiography findings were retrieved from the Pediatric COVID registry (PCR-Q8 registry). Results: Of the one hundred and two patients with a provisional diagnosis of MIS-C, eighty-three patients fulfilled the WHO criteria of MIS-C. Thirty-nine of the MIS-C patients were admitted to the intensive care unit, and only one child died due to cardiogenic shock. Sixteen patients from the pediatric MIS-C cohort were diagnosed with cardiac abnormalities. Sixteen patients from the pediatric MIS-C cohort were diagnosed with cardiac abnormalities. Most (63% (10/16)) of the patients had coronary abnormalities, nine patients (56%) had myocardial dysfunction, and six patients (38%) had dual pathologies. Pericarditis occurred in three patients only, whilst six patients (38%) had dual pathologies. Pericarditis occurred in three patients only. Conclusions: MIS-C appears to affect younger children in Kuwait than in other countries; however, the clinical pattern is consistent with other countries. Further studies of an analytical nature are recommended to identify the risk factors associated with MIS-C and its cardiac sequalae to allow for proactive risk reduction. Full article
(This article belongs to the Section Clinical Diagnosis and Prognosis)
Show Figures

Figure 1

20 pages, 1284 KB  
Article
Intra-Host Evolution of SARS-CoV-2 During Persistent Infection of Pediatric COVID-19 Patients
by Charlie R. Boyle, Tien Doan, Estefany Rios-Guzman, Jessica Maciuch, Lacy M. Simons, Dulce S. Garcia, David B. Williams, Arghavan Alisoltani, Egon A. Ozer, Ramon Lorenzo-Redondo and Judd F. Hultquist
Viruses 2025, 17(10), 1313; https://doi.org/10.3390/v17101313 - 28 Sep 2025
Cited by 1 | Viewed by 1159
Abstract
The Coronavirus disease 2019 (COVID-19) pandemic had a profound global impact, yet children exhibited distinct clinical and epidemiological patterns compared to adults. Pediatric cases of severe acute respiratory syndrome coronavirus 2 (SARS-CoV-2) were generally characterized by milder disease, lower hospitalization rates, and few [...] Read more.
The Coronavirus disease 2019 (COVID-19) pandemic had a profound global impact, yet children exhibited distinct clinical and epidemiological patterns compared to adults. Pediatric cases of severe acute respiratory syndrome coronavirus 2 (SARS-CoV-2) were generally characterized by milder disease, lower hospitalization rates, and few long-term sequelae. However, a subset of children developed severe complications such as multisystem inflammatory syndrome in children (MIS-C), highlighting the heterogeneity in disease presentation. Differences in immune system maturity and comorbidities likely contribute to the age-dependent manifestation of SARS-CoV-2 and other respiratory viruses. Persistent SARS-CoV-2 infection, particularly in immunocompromised individuals, has been implicated in the emergence of new viral variants with immune escape characteristics due to ongoing viral replication in the presence of selective pressure. While SARS-CoV-2 evolution in persistently infected adults has been well-documented, it is less clear how the virus evolves during persistent infection in the pediatric population. To address this question, we performed viral whole genome sequencing of longitudinal specimens collected from immunocompetent and immunocompromised pediatric COVID-19 patients. Similarly to what has been observed in adult cohorts, mutations associated with enhanced viral fitness and immune escape arose intra-host over time. Intra-host diversity accumulated at similar rates in immunocompetent and immunocompromised children, though more mutations overall were observed in the immunocompromised cohort due to the longer infection time courses. Overall, we identified similar viral evolutionary trends over the course of infection despite clinical differences in pediatric COVID-19 manifestation and severity. This similarity suggests that persistent infection in children may be an additional, but not unique, source of ongoing viral diversification. Full article
Show Figures

Figure 1

17 pages, 693 KB  
Review
Hyperferritinemia and Macrophage Activation Syndrome in Septic Shock: Recent Advances with a Pediatric Focus (2020–2025)
by Efrossini Briassouli, Natalia Syrimi and Stavroula Ilia
Children 2025, 12(9), 1193; https://doi.org/10.3390/children12091193 - 8 Sep 2025
Viewed by 3172
Abstract
Macrophage activation syndrome (MAS), a hyperinflammatory condition driven by uncontrolled immune activation, is widely recognized as a critical complication in pediatric septic shock. This syndrome shares pathophysiological features with hemophagocytic lymphohistiocytosis (HLH) and other cytokine storm syndromes, and it contributes to significant morbidity [...] Read more.
Macrophage activation syndrome (MAS), a hyperinflammatory condition driven by uncontrolled immune activation, is widely recognized as a critical complication in pediatric septic shock. This syndrome shares pathophysiological features with hemophagocytic lymphohistiocytosis (HLH) and other cytokine storm syndromes, and it contributes to significant morbidity and mortality in pediatric and adult patients. Hyperferritinemia—a hallmark of MAS—is not only a diagnostic clue but also a prognostic marker for poor outcomes in sepsis. High ferritin levels are strongly suggestive of MAS, yet even moderate elevations in combination with the trend of ferritin levels can be indicative of heightened mortality risk. Distinguishing MAS from severe sepsis or other hyperinflammatory syndromes in children (such as multisystem inflammatory syndrome in children (MIS-C)) can be challenging, as clinical features often overlap. However, early recognition and timely immunomodulatory therapy, particularly corticosteroids and targeted biologic agents, can be life-saving. Recent advances emphasize a syndromic approach to diagnosing MAS within the spectrum of hyperferritinemic sepsis, using scoring tools or MAS-specific criteria adapted to sepsis or MIS-C contexts. Ongoing studies aim to refine biomarker-based stratification and therapeutic algorithms. This review synthesizes current knowledge on MAS as a complication of sepsis, including the diagnostic importance of ferritin levels, differential diagnosis with other cytokine storm syndromes, and the latest therapeutic approaches. It underscores the importance of early suspicion and intervention to reverse immune dysregulation and improve outcomes in critically ill pediatric patients. Full article
(This article belongs to the Special Issue Diagnosis, Treatment and Outcomes of Pediatric Septic Shock)
Show Figures

Figure 1

13 pages, 2073 KB  
Article
The X-Linked TLR7 rs179008 T Allele Is Associated with an Increased Risk of Severe Multisystem Inflammatory Syndrome in Children/Kawasaki-like Syndrome in SARS-CoV-2-Infected Boys
by Adriana de Souza Andrade, Aline Almeida Bentes, Lilian Martins Diniz, Silvia Hees Carvalho, Erna Geessien Kroon and Marco Antonio Campos
Int. J. Mol. Sci. 2025, 26(17), 8491; https://doi.org/10.3390/ijms26178491 - 1 Sep 2025
Viewed by 916
Abstract
The X-linked TLR7 rs179008 T allele has been associated with altered antiviral immunity. Given their shared inflammatory pathways and higher pediatric mortality rates in Brazil during the pandemic, we investigated their association with multisystem inflammatory syndrome in children (MIS-C) together with Kawasaki disease [...] Read more.
The X-linked TLR7 rs179008 T allele has been associated with altered antiviral immunity. Given their shared inflammatory pathways and higher pediatric mortality rates in Brazil during the pandemic, we investigated their association with multisystem inflammatory syndrome in children (MIS-C) together with Kawasaki disease (KS) following SARS-CoV-2 infection. A cross-sectional study (2021–2022) analyzed 73 hospitalized children (<13 years) with confirmed COVID-19. Genotyping for TLR7 rs179008, TLR8 (rs3764879, rs2407992), and TLR3 rs3775291 was performed via PCR and Sanger sequencing. MIS-C/KS cases were identified using CDC criteria, with severity classified by the need for ICU care. Statistical analysis included Fisher’s exact test and relative risk (RR) calculations. Hemizygous boys carrying the TLR7 T allele had a 1.87-fold higher risk of MIS-C/KS (p = 0.007) and a 1.75-fold increased risk of severe or critical outcomes. The T allele frequency was 2.6× higher in MIS-C/KS cases versus other COVID-19 presentations. All fatalities occurred in boys (3/8 MIS-C cases) with one T-allele carrier. No associations were found for TLR8 or TLR3 variants. The TLR7 rs179008 T allele is a potential genetic risk factor for severe post-COVID-19 inflammatory syndromes in boys, likely due to impaired immune signaling. These findings highlight its utility as a biomarker for risk stratification in pediatric populations. Full article
Show Figures

Figure 1

21 pages, 834 KB  
Article
Comparison of Immunomodulatory Therapies for Cardiovascular Clinical and Inflammatory Markers Outcomes in Mild to Moderately Ill Hospitalized Multisystem Inflammatory Syndrome in Children Patients
by Rashmitha Dachepally, Reem Sarkis, Alvaro DonaireGarcia, Meghana Kovvuri, Karunya Jayasimha, Adrija Chaturvedi, Amr Ali, Sirada Panupattanapong, Samir Latifi and Hemant Agarwal
J. Cardiovasc. Dev. Dis. 2025, 12(9), 324; https://doi.org/10.3390/jcdd12090324 - 25 Aug 2025
Viewed by 1233
Abstract
Optimal treatment for non-critically ill multisystem inflammatory syndrome in children (MIS-C) remains unclear. We evaluated short-term outcomes in mild to moderately ill hospitalized MIS-C patients fulfilling CDC 2020 and CDC/CTSE 2023 criteria and treated between April 2020 and March 2022 with either intravenous [...] Read more.
Optimal treatment for non-critically ill multisystem inflammatory syndrome in children (MIS-C) remains unclear. We evaluated short-term outcomes in mild to moderately ill hospitalized MIS-C patients fulfilling CDC 2020 and CDC/CTSE 2023 criteria and treated between April 2020 and March 2022 with either intravenous immunoglobulin (IVIG) monotherapy (Group A, n = 17) or IVIG plus corticosteroids (GC) (Group B, n = 22). Cardiovascular clinical parameters, inflammatory markers, and cardiac imaging were compared on days 1, 3, and 5 relative to day 0. The two groups had no significant differences in demographics or illness severity. Group B showed improvement in heart rate (17.8; 95% CI [9.74, 25.8]), mean blood pressure (5.63 [1.61, 9.64]), and body temperature (1.45 [0.94, 1.95]) by day 1, followed by improvement in albumin (0.43 [0.2, 0.84]), CRP (7.56 [3.0, 12.11]), D-dimer (2344 [488.7, 4200.2]), ferritin (1448 [−609.4, 3505.5]), fibrinogen (110 [44.4, 176]), lymphocyte count (1006 [63.5, 1948]), and NT-proBNP (2901 [−349.3, 6153]) by day 3 and left ventricular ejection fraction by day 4–5 (3.84 [0.55, 8.23]). All results were statistically significant (p < 0.05). Group A required more additional therapies, with no difference in hospital stay. Our study concludes that combined IVIG and GC therapy yielded better short-term outcomes than IVIG monotherapy in this patient population, with improvement in cardiovascular clinical parameters preceding changes in inflammatory markers and cardiac imaging. Full article
Show Figures

Graphical abstract

21 pages, 876 KB  
Review
Intestinal Dysbiosis and Immune Activation in Kawasaki Disease and Multisystem Inflammatory Syndrome in Children: A Comparative Review of Mechanisms and Clinical Manifestations
by Julia Soczyńska, Ewa Topola, Wiktor Gawełczyk, Szymon Viscardi, Kamila Butyńska and Sławomir Woźniak
Biomedicines 2025, 13(8), 1953; https://doi.org/10.3390/biomedicines13081953 - 10 Aug 2025
Cited by 1 | Viewed by 1939
Abstract
Although Kawasaki disease (KD) has been known since 1967, when it was first described by Dr. Tomisaku Kawasaki, the literature indicates that its etiology—similarly to Multisystem Inflammatory Syndrome in Children (MIS-C)—remains largely unclear and is the subject of intensive research. The former disease, [...] Read more.
Although Kawasaki disease (KD) has been known since 1967, when it was first described by Dr. Tomisaku Kawasaki, the literature indicates that its etiology—similarly to Multisystem Inflammatory Syndrome in Children (MIS-C)—remains largely unclear and is the subject of intensive research. The former disease, which typically occurs shortly after infection, is the most common cause of primary vasculitis in children worldwide. The latter—MIS-C, associated with SARS-CoV-2 infection—is characterized by involvement of at least two organ systems. Undoubtedly, both diseases exhibit heightened immune system activity and significant inflammation. In recent years, increasing attention has been directed towards alterations in the microbiota observed in affected patients. We undertake an analysis and systematic review of the current scientific findings in this field. We emphasize the role of the microbiome—which encompasses not only bacteria but also viruses, fungi, parasites, and archaea—in health and disease. We track its composition from birth and highlight factors influencing its diversity, such as the mode of delivery. We recognize the microbiome’s role in reducing the likelihood of allergic diseases in children and its interactions with the immune system. In addition to comparing the pathomechanisms and clinical manifestations of KD and MIS-C, also known as Pediatric Inflammatory Multisystem Syndrome (PIMS), we investigate microbiota alterations in these conditions and analyze potential applications of microbiome knowledge, for example, in identifying diagnostic markers. We also point out potential directions for future research, such as the use of short-chain fatty acids (SCFAs) in MIS-C and the long-term changes in the gut microbiota associated with these diseases, which remain poorly documented and currently represent significant gaps in knowledge. Full article
Show Figures

Figure 1

12 pages, 278 KB  
Article
A Series of Severe and Critical COVID-19 Cases in Hospitalized, Unvaccinated Children: Clinical Findings and Hospital Care
by Vânia Chagas da Costa, Ulisses Ramos Montarroyos, Katiuscia Araújo de Miranda Lopes and Ana Célia Oliveira dos Santos
Epidemiologia 2025, 6(3), 40; https://doi.org/10.3390/epidemiologia6030040 - 4 Aug 2025
Viewed by 1010
Abstract
Background/Objective: The COVID-19 pandemic profoundly transformed social life worldwide, indiscriminately affecting individuals across all age groups. Children have not been exempted from the risk of severe illness and death caused by COVID-19. Objective: This paper sought to describe the clinical findings, laboratory and [...] Read more.
Background/Objective: The COVID-19 pandemic profoundly transformed social life worldwide, indiscriminately affecting individuals across all age groups. Children have not been exempted from the risk of severe illness and death caused by COVID-19. Objective: This paper sought to describe the clinical findings, laboratory and imaging results, and hospital care provided for severe and critical cases of COVID-19 in unvaccinated children, with or without severe asthma, hospitalized in a public referral service for COVID-19 treatment in the Brazilian state of Pernambuco. Methods: This was a case series study of severe and critical COVID-19 in hospitalized, unvaccinated children, with or without severe asthma, conducted in a public referral hospital between March 2020 and June 2021. Results: The case series included 80 children, aged from 1 month to 11 years, with the highest frequency among those under 2 years old (58.8%) and a predominance of males (65%). Respiratory diseases, including severe asthma, were present in 73.8% of the cases. Pediatric multisystem inflammatory syndrome occurred in 15% of the children, some of whom presented with cardiac involvement. Oxygen therapy was required in 65% of the cases, mechanical ventilation in 15%, and 33.7% of the children required intensive care in a pediatric intensive care unit. Pulmonary infiltrates and ground-glass opacities were common findings on chest X-rays and CT scans; inflammatory markers were elevated, and the most commonly used medications were antibiotics, bronchodilators, and corticosteroids. Conclusions: This case series has identified key characteristics of children with severe and critical COVID-19 during a period when vaccines were not yet available in Brazil for the study age group. However, the persistence of low vaccination coverage, largely due to parental vaccine hesitancy, continues to leave children vulnerable to potentially severe illness from COVID-19. These findings may inform the development of public health emergency contingency plans, as well as clinical protocols and care pathways, which can guide decision-making in pediatric care and ensure appropriate clinical management, ultimately improving the quality of care provided. Full article
Back to TopTop