Long-Term Complications of Multisystem Inflammatory Syndrome in Children and Adults Post-COVID-19: A Systematic Review
Abstract
1. Introduction
2. Materials and Methods
2.1. Information Sources and Search Strategy
2.2. Eligibility Criteria
2.3. Study Selection and Data Collection
2.4. Data Items
2.5. Risk of Bias and Quality Assessment
2.6. Data Analysis
3. Results
3.1. Types of Studies and Demographic Data
3.2. Clinical Data
3.2.1. Multisystem Inflammatory Syndrome in Children and Adults
3.2.2. Multisystem Inflammatory Syndrome in Children
3.2.3. Multisystem Inflammatory Syndrome in Adults
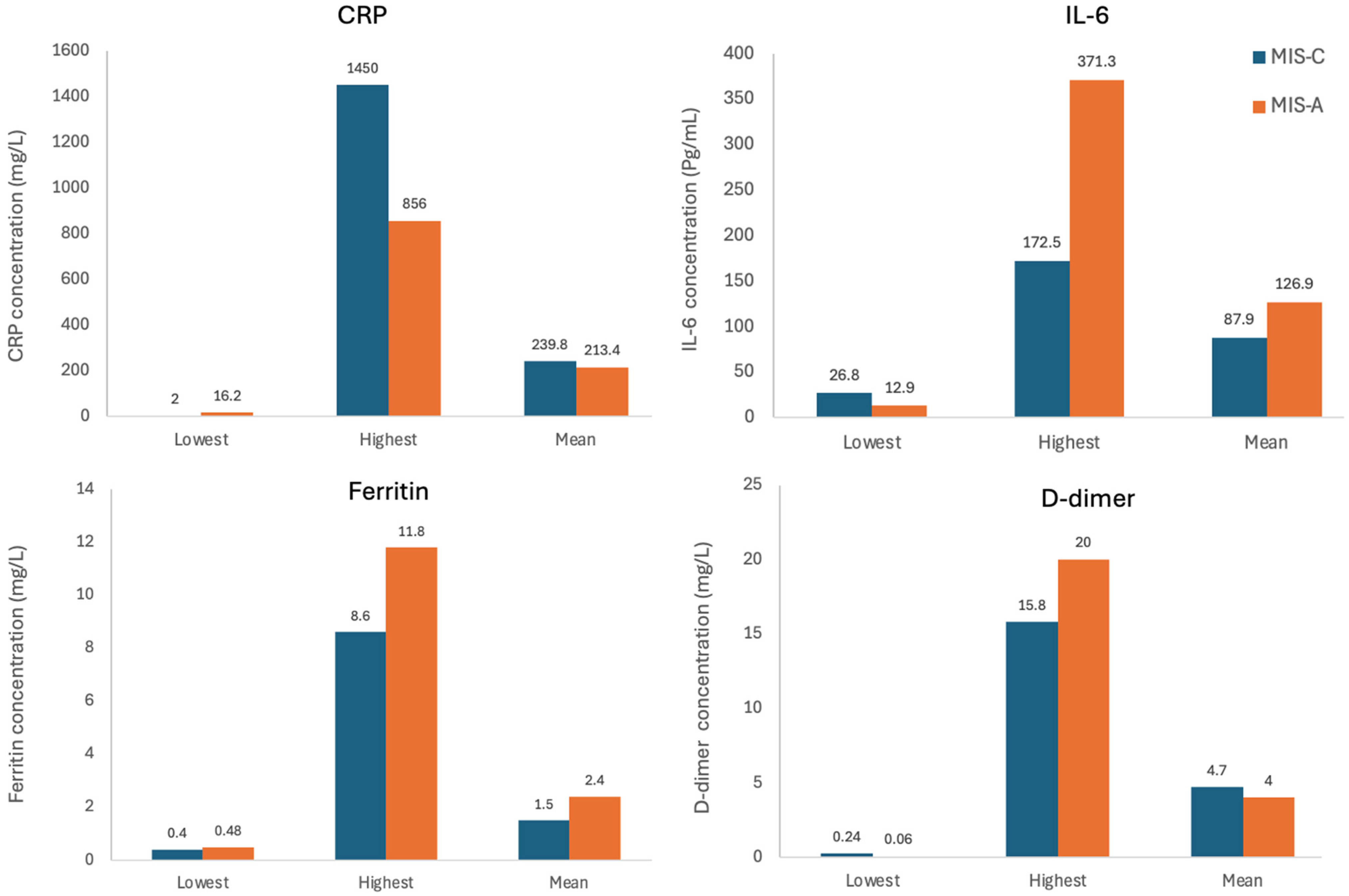
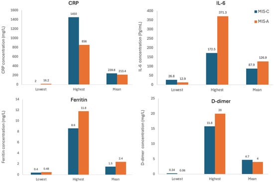
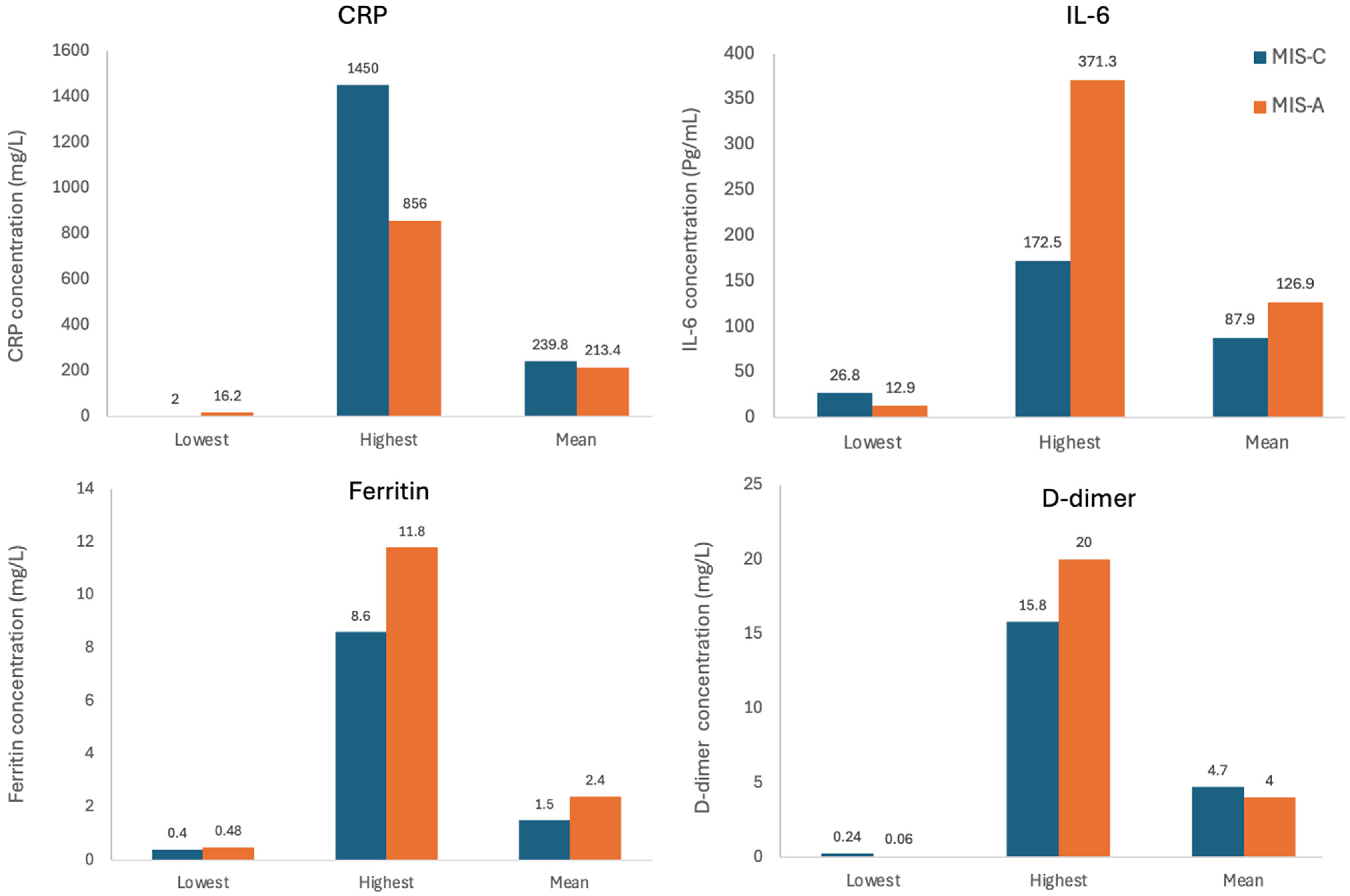
3.2.4. Important Blood Markers
3.2.5. Vaccination Status
4. Discussion
4.1. MIS-C
4.1.1. Post-COVID-19 MIS-C Cardiac Manifestations
4.1.2. Post COVID-19 MIS-C Gastrointestinal Manifestations
4.1.3. Post COVID-19 MIS-C Hematologic Manifestations
4.1.4. Post COVID-19 MIS-C Neurologic Manifestations
4.1.5. Post COVID-19 MIS-C Other Long-Term Manifestations
4.2. MIS-A
4.2.1. Cardiovascular Manifestations
4.2.2. Gastrointestinal Manifestations
4.2.3. Neurologic Manifestations
4.2.4. Hematologic Manifestations
4.3. Possible Mechanism for Post-COVID-19 MIS-C and MIS-A
4.3.1. Proposed Mechanisms for Development of Post-COVID-19 MIS-C
4.3.2. Potential Mechanisms for Development of MIS-A
4.4. Important Blood Markers in MIS-C and MIS-A
4.5. Effect of Vaccination
4.6. Study Limitations
5. Conclusions
5.1. Recommendations for MIS-C
5.2. Recommendations for MIS-A
5.3. Suggested Alternative Treatments for MIS-C and MIS-A
5.4. Vaccination
Supplementary Materials
Author Contributions
Funding
Institutional Review Board Statement
Informed Consent Statement
Data Availability Statement
Acknowledgments
Conflicts of Interest
Abbreviations
| AIS | Acute Ischemic Stroke |
| AKI | Acute Kidney Injury |
| BAFF | B-cell Activating Factor |
| CDC | Centers for Disease Control and Prevention |
| COVID-19 | Coronavirus Disease 2019 |
| CRP | C-Reactive Protein |
| DC | Decompressive Craniectomy |
| ECG | Electrocardiogram |
| ESR | Erythrocyte Sedimentation Rate |
| F | Female |
| GMA | Monocyte Adsorptive Apheresis |
| ICU | Intensive Care Unit |
| IL | Interleukin |
| Ig | Immunoglobulin |
| IVIG | Intravenous Immunoglobulin |
| M | Male |
| MHC | Major Histocompatibility Complex |
| MIS | Multisystem Inflammatory Syndrome |
| MIS-A | Multisystem Inflammatory Syndrome in Adults |
| MIS-C | Multisystem Inflammatory Syndrome in Children |
| NOS | Newcastle–Ottawa Quality Assessment Scale |
| SARS-CoV-2 | Severe Acute Respiratory Syndrome Coronavirus 2 |
| SLE | Systemic Lupus Erythematosus |
| TMA | Thrombotic Microangiopathy |
References
- Mahmoud, S.; Sarkar, A.; Almahmoud, L.; Alladaboina, S.; Syed, L.F.; Yaghmour, M.; Elmoh, S.; Alshebani, M.; Aly, K.; Al-Ansari, H.; et al. Solid Organ Transplants Caused by COVID-19 Infection and the Outcome of Transplantation Post-COVID-19: A Systematic Review. Biomedicines 2025, 13, 428. [Google Scholar] [CrossRef]
- Kopańska, M.; Barnaś, E.; Błajda, J.; Kuduk, B.; Łagowska, A.; Banaś-Ząbczyk, A. Effects of SARS-CoV-2 Inflammation on Selected Organ Systems of the Human Body. Int. J. Mol. Sci. 2022, 23, 4178. [Google Scholar] [CrossRef] [PubMed]
- Peluso, M.J.; Deeks, S.G. Mechanisms of long COVID and the path toward therapeutics. Cell 2024, 187, 5500–5529. [Google Scholar] [CrossRef] [PubMed]
- Mohammed, I.; Podhala, S.; Zamir, F.; Shiyam, S.; Salameh, A.R.; Salahuddin, Z.; Salameh, H.; Kim, C.; Sinan, Z.; Kim, J.; et al. Gastrointestinal Sequelae of COVID-19: Investigating Post-Infection Complications—A Systematic Review. Viruses 2024, 16, 1516. [Google Scholar] [CrossRef] [PubMed]
- Lebbe, A.; Aboulwafa, A.; Bayraktar, N.; Mushannen, B.; Ayoub, S.; Sarker, S.; Abdalla, M.N.; Mohammed, I.; Mushannen, M.; Yagan, L.; et al. New Onset of Acute and Chronic Hepatic Diseases Post-COVID-19 Infection: A Systematic Review. Biomedicines 2024, 12, 2065. [Google Scholar] [CrossRef]
- El-Naas, A.; Hamad, O.; Nair, S.; Alfakhri, B.; Mahmoud, S.; Haji, A.; Ahmed, L.; Lebbe, A.; Aboulwafa, A.; Shaikh, F.; et al. New onset of type 1 and type 2 diabetes post-COVID-19 infection: A systematic review. Emerg. Microbes Infect. 2025, 14, 2492211. [Google Scholar] [CrossRef]
- Depace, N.L.; Colombo, J. Long-COVID Syndrome and the Cardiovascular System: A Review of Neurocardiologic Effects on Multiple Systems. Curr. Cardiol. Rep. 2022, 24, 1711–1726. [Google Scholar] [CrossRef]
- Efstathiou, V.; Stefanou, M.-I.; Demetriou, M.; Siafakas, N.; Makris, M.; Tsivgoulis, G.; Zoumpourlis, V.; Kympouropoulos, S.; Tsoporis, J.; Spandidos, D.; et al. Long COVID and neuropsychiatric manifestations. Exp. Ther. Med. 2022, 23, 363. [Google Scholar] [CrossRef]
- Nazerian, Y.; Ghasemi, M.; Yassaghi, Y.; Nazerian, A.; Hashemi, S.M. Role of SARS-CoV-2-induced cytokine storm in multi-organ failure: Molecular pathways and potential therapeutic options. Int. Immunopharmacol. 2022, 113 Pt B, 109428. [Google Scholar] [CrossRef]
- Vogel, T.P.; Top, K.A.; Karatzios, C.; Hilmers, D.C.; Tapia, L.I.; Moceri, P.; Giovannini-Chami, L.; Wood, N.; Chandler, R.E.; Klein, N.P.; et al. Multisystem inflammatory syndrome in children and adults (MIS-C/A): Case definition & guidelines for data collection, analysis, and presentation of immunization safety data. Vaccine 2021, 39, 3037–3049. [Google Scholar]
- Noval Rivas, M.; Arditi, M. Kawasaki Disease and Multisystem Inflammatory Syndrome in Children. Rheum. Dis. Clin. N. Am. 2023, 49, 647–659. [Google Scholar] [CrossRef]
- Shen, M.; Milner, A.; Foppiano Palacios, C.; Ahmad, T. Multisystem inflammatory syndrome in adults (MIS-A) associated with SARS-CoV-2 infection with delayed-onset myocarditis: Case report. Eur. Heart J.-Case Rep. 2021, 5, ytab470. [Google Scholar] [CrossRef]
- Moher, D.; Liberati, A.; Tetzlaff, J.; Altman, D.G. Preferred Reporting Items for Systematic Reviews and Meta-Analyses: The PRISMA Statement. PLoS Med. 2009, 6, e1000097. [Google Scholar] [CrossRef]
- Murad, M.H.; Sultan, S.; Haffar, S.; Bazerbachi, F. Methodological quality and synthesis of case series and case reports. BMJ Evid. Based Med. 2018, 23, 60–63. [Google Scholar] [CrossRef] [PubMed]
- Ahsan, T.; Rani, B. A Case of Multisystem Inflammatory Syndrome Post-COVID-19 Infection in an Adult. Cureus 2020, 12, e11961. [Google Scholar] [CrossRef] [PubMed]
- Al-Mashdali, A.F.; Al Samawi, M.S. A case of post COVID-19 multisystem inflammatory syndrome and Bell’s palsy in a young adult. Clin. Case Rep. 2021, 9, e04801. [Google Scholar] [CrossRef] [PubMed]
- Amato, M.-K.; Hennessy, C.; Shah, K.; Mayer, J. Multisystem Inflammatory Syndrome in an Adult. J. Emerg. Med. 2021, 61, e1–e3. [Google Scholar] [CrossRef]
- Baker, A. Post COVID-19 multi-system inflammatory (MIS) syndrome masquerading as the acute surgical abdomen. ANZ J. Surg. 2023, 93, 730–731. [Google Scholar] [CrossRef]
- Barth, K.E.; Spottiswoode, N.; Hurabielle, C.; Subbaraj, L.; Calfee, C.S.; Matthay, M.A.; French, S.; Connolly, A.; Hewitt, S.M.; Vannella, K.M.; et al. Clinical and biological heterogeneity of multisystem inflammatory syndrome in adults following SARS-CoV-2 infection: A case series. Front. Med. 2023, 10, 1187420. [Google Scholar] [CrossRef]
- Benli, A.; Tor, Y.B.; Şimşek-Yavuz, S.; Başaran, S.; Çağatay, A.; Özsüt, H.; Gül, A.; Eraksoy, H. Hidden danger of sars-cov-2; multisystem inflammatory syndrome in adults (mis-a): First case series in a single center from turkiye. Ist. Tıp Fak. Derg. 2022, 85, 494–500. [Google Scholar] [CrossRef]
- Bhatt, V.R.; Jawade, P.G.; Patel, A.M.; Palange, A.; Adapa, S. Post-COVID Multisystem Inflammatory Syndrome-Adult Leading to Cardiomyopathy and Autoimmune Thyroiditis: A Case Report. Cureus 2023, 15, e33754. [Google Scholar] [CrossRef]
- Boudhabhay, I.; Rabant, M.; Roumenina, L.T.; Coupry, L.-M.; Poillerat, V.; Marchal, A.; Fremeaux-Bacchi, V.; El Karoui, K.; Monchi, M.; Pourcine, F. Case Report: Adult Post-COVID-19 Multisystem Inflammatory Syndrome and Thrombotic Microangiopathy. Front. Immunol. 2021, 12, 680567. [Google Scholar] [CrossRef] [PubMed]
- Budhiraja, S.; Aggarwal, M.; Mondal, I.; Rath, P.D.; Singh, B. Multisystem Inflammatory Syndrome in an Adult Recovered from Mild COVID-19. J. Int. Med. Sci. Acad. 2021, 34, 318–321. [Google Scholar]
- Ciochetto, Z.; Havens, P.L.; Aldrete, S. Two cases of multi-inflammatory syndrome in children (MIS-C) in adults in 2020. BMC Infect. Dis. 2021, 21, 1228. [Google Scholar] [CrossRef] [PubMed]
- Coll, M.D.; Yanamandala, M.; Ferro, E.G.; Nutt, C.T.; Wei, E.Q.; Wang, C.J.; Mehra, M.R. Early Immunosuppression and Rapid Recovery of Cardiogenic Shock in Multisystem Inflammatory Syndrome From Convalescent COVID-19. JACC Case Rep. 2021, 3, 1403–1408. [Google Scholar] [CrossRef]
- Cutfield, T.; Saeed, Y.; Taylor, A.; Askelund, T.; Bevan, R.; van Pelt, N. Multisystem inflammatory syndrome following mild COVID-19 in an unvaccinated Tongan adult. N. Z. Med. J. 2022, 135, 105–113. [Google Scholar]
- Das, B.; Joshi, D.; Vineeth, V.K.; Naveen, A.S.; Gopalakrishnan, R.; Ramasubramanian, V.; Devi, V.R.Y.; Nambi, P.S. Post-COVID multisystem inflammatory syndrome in adults: A study from a tertiary care hospital in south India. Indian J. Med. Res. 2022, 156, 669–673. [Google Scholar] [CrossRef]
- Gawas, A.; Nevrekar, R.P.; Khandeparkar, A.V. Multiorgan Inflammatory Syndrome in Adults MIS-A Post SARS-CoV-2 Infection: A Novel Clinical Enigma. J. Assoc. Physicians India 2023, 71, 11–12. [Google Scholar] [CrossRef]
- Ghoddusi, F.; Garcia, D.; Harroun, T. Post-COVID Multisystem Inflammatory Syndrome in the Deployed Environment. Mil. Med. 2022, 187, e1498–e1500. [Google Scholar] [CrossRef]
- Gillrie, M.R.; Rosin, N.; Sinha, S.; Kang, H.; Farias, R.; Nguyen, A.; Volek, K.; Mah, J.; Mahe, E.; Fritzler, M.J.; et al. Case report: Immune profiling links neutrophil and plasmablast dysregulation to microvascular damage in post-COVID-19 Multisystem Inflammatory Syndrome in Adults (MIS-A). Front. Immunol. 2023, 14, 1125960. [Google Scholar] [CrossRef]
- Herrera-Garcia, J.C.; Arellano-Montellano, E.I.; Nuche-Salazar, N.P.; Acosta-Sanchez, H.; Tellez-Bautista, M.; Enciso-Figueroa, G.; de Balandrano-Trujillo, T.J.; Delabra-Navarro, F. Multisystemic inflammatory syndrome of the adult post-COVID-19. Med. Int. México 2022, 38, 471–475. [Google Scholar]
- Kaneko, S.; Zen, T.; Banjoya, S.; Nuki, T.; Hoshimoto, A.; Harano, M.; Hagiwara, S.; Imai, E.; Tsukamoto, Y. Successful Use of Granulocyte and Monocyte Adsorptive Apheresis in a Patient with Post-COVID-19 Multisystem Inflammatory Syndrome in Adults. Intern. Med. 2023, 62, 2565–2569. [Google Scholar] [CrossRef]
- Khatoon, A.; Hamadeh, M.N.; Kreidly, Z. Two Adults with Multisystem Inflammatory Syndrome Post-COVID-19 in a Lebanese Hospital: A Case Report. Cureus 2022, 14, e23440. [Google Scholar] [CrossRef]
- Khokhar, F.; Bhura, Z.; Muneeb, M.; Singh, G.; Yu, J. An Early Catch: Multisystem Inflammatory Syndrome in Adults (MIS-A) in a Young Adult Male with COVID-19 Exposure. Cureus 2022, 14, e26519. [Google Scholar] [CrossRef] [PubMed]
- Lee, D.; Kwon, S.; Kim, H.; Lee, J.Y.; Ryu, B.-H. Multisystem Inflammatory Syndrome in Adults in an 80-Year-Old Korean Woman after COVID-19: A Case Report. Infect. Chemother. 2023, 55, 116–120. [Google Scholar] [CrossRef] [PubMed]
- Loncharich, M.; Klusewitz, S.; Jones, O. Post-COVID-19 Multisystem Inflammatory Syndrome in Children and Adults: What Happens After Discharge? Cureus 2022, 14, e24438. [Google Scholar] [CrossRef] [PubMed]
- Mazumder, M.; Narula, A.; Gulati, S.; Shehwar, D.; Mir, I. Post-COVID multisystem inflammatory syndrome-adult (MIS-A) presenting with rhabdomyolysis and AKI. Indian J. Nephrol. 2022, 32, 629–632. [Google Scholar] [CrossRef]
- Nawfal, O.; Toufaili, H.; Dib, G.; Dirani, M.; Beydoun, A. New-onset refractory status epilepticus as an early manifestation of multisystem inflammatory syndrome in adults after COVID-19. Epilepsia 2022, 63, e51–e56. [Google Scholar] [CrossRef]
- Parpas, A.; Yudd, M.; Dreisbach, A.W.; Michaud, J. Post COVID 19 multisystem inflammatory syndrome in an older adult. Ren. Fail. 2021, 43, 530–532. [Google Scholar] [CrossRef]
- Pettinato, A.M.; Ladha, F.A.; Zeman, J.; Ingrassia, J.J. Spontaneous Coronary Artery Dissection Following SARS-CoV-2-Associated Multisystem Inflammatory Syndrome. Cureus 2022, 14, e26479. [Google Scholar] [CrossRef]
- Su, Y.; Xing, H.; Shen, W.; Li, M.; Xu, Y.; Li, Y. Fatal multisystem inflammatory syndrome in a 78-year-old adult after severe COVID-19 pneumonia during 2022 Omicron variant epidemic in Shanghai, China. J. Infect. Public Health 2023, 16, 418–421. [Google Scholar] [CrossRef] [PubMed]
- Tabatabai, S.; Bazargani, N.; Osman, H.; Al Hashmi, J. Acute Myocarditis and Heart Failure Associated with Multisystem Inflammatory Syndrome in Adults: A Rare Sequela of Coronavirus 2 Infection. Heart Views 2022, 23, 169–172. [Google Scholar] [CrossRef] [PubMed]
- Zahornacky, O.; Porubčin, Š.; Rovnakova, A.; Jarcuska, P. Multisystem Inflammatory Syndrome in Adults Associated with Recent Infection with COVID-19. Diagnostics 2023, 13, 983. [Google Scholar] [CrossRef] [PubMed]
- Abi Nassif, T.H.; Daou, K.N.; Tannoury, T.; Majdalani, M. Cardiac involvement in a child post COVID-19: A case from Lebanon. BMJ Case Rep. 2021, 14, e242084. [Google Scholar] [CrossRef]
- Adamu, H.; Zaidu, A.; Sabo, U.; Bashir, L.; Umar, U. Post-COVID-19 infection; paediatric multisystemic inflammatory syndrome in an 8-month-old infant. Niger. J. Basic Clin. Sci. 2022, 19, 90–92. [Google Scholar] [CrossRef]
- Aeschlimann, F.A.; Misra, N.; Hussein, T.; Panaioli, E.; Soslow, J.H.; Crum, K.; Steele, J.M.; Huber, S.; Marcora, S.; Brambilla, P.; et al. Myocardial involvement in children with post-COVID multisystem inflammatory syndrome: A cardiovascular magnetic resonance based multicenter international study-the CARDOVID registry. J. Cardiovasc. Magn. Reson. 2021, 23, 140. [Google Scholar] [CrossRef]
- Ajmi, H.; Besghaier, W.; Kallala, W.; Trabelsi, A.; Abroug, S. A fatal toxic shock-like syndrome post COVID-19 infection in a child. Ital. J. Pediatr. 2021, 47, 120. [Google Scholar] [CrossRef]
- Akaslan Kara, A.; Kıymet, E.; Zihni, C.; Oymak, Y.; Karaçelik, M. Multiple thrombi in a child diagnosed with coronavirus disease 2019 treated with cardiac surgery. Turk. J. Thorac. Cardiovasc. Surg. 2022, 30, 277–280. [Google Scholar] [CrossRef]
- Al-Simaani, R.B.Y.; Al-Kzayer, L.a.F.Y.; Ali, K.H.; Al-Ani, M.H.; Nakazawa, Y. SARS-CoV-2-Associated Multisystem Inflammatory Syndrome in Children (MIS-C): A Case Report from Iraq. Pediatr. Rep. 2023, 15, 532–540. [Google Scholar] [CrossRef]
- Appleberry, H.C.; Begezda, A.; Cheung, H.; Zaghab-Mathews, S.; Mainali, G. Report of a Child with Febrile Status Epilepticus and Post-COVID Multi-System Inflammatory Syndrome. Child Neurol. Open 2021, 8, 2329048X211027725. [Google Scholar] [CrossRef]
- Aziz, O.A.; Sadiq, M.; Qureshi, A.U.; Hyder, N.; Kazmi, U.; Batool, A.; Naz, S.; Mushtaq, A.; Bari, A.; Rashid, J. Short to midterm follow-up of multi-system inflammatory syndrome in children with special reference to cardiac involvement. Cardiol. Young 2023, 33, 371–379. [Google Scholar] [CrossRef]
- Bari, A.; Ch, A.; Hareem, S.; Bano, I.; Rashid, J.; Sadiq, M. Association of Blood Groups with the Severity and Outcome of COVID-19 Infection in Children. Coll. Physicians Surg. Pak. 2021, 31, S57–S59. [Google Scholar]
- Bari, A.; Ch, A.; Bano, I.; Saqlain, N. Is leukopenia and lymphopenia a characteristic feature of covid-19 in children? Pak. J. Med. Sci. 2021, 37, 869–873. [Google Scholar] [CrossRef]
- Basu, S.; Bhattacharyya, A.; Ray, K.; Ghosh, A. Biomarker profile in pediatric inflammatory multisystem syndrome temporarily associated with sars-cov-2 (Pims-ts)/multisystem inflammatory syndrome in children (mis-c). Indian J. Biochem. Biophys. 2020, 57, 687–693. [Google Scholar]
- Campanella, P.; Papa, G.; Zito, F.; Travascia, M.; Cecinati, V.; Cervellera, M. Acute abdomen in post-Covid 19 multisystem inflammatory syndrome in children. A case report. Ann. Ital. Chir. 2022, 11, S2239253X22038208. [Google Scholar] [PubMed]
- Davies, P.; du Pré, P.; Lillie, J.; Kanthimathinathan, H.K. One-Year Outcomes of Critical Care Patients Post-COVID-19 Multisystem Inflammatory Syndrome in Children. JAMA Pediatr. 2021, 175, 1281–1283. [Google Scholar] [CrossRef] [PubMed]
- Doshi, J.A.; Sheils, N.E.; Buresh, J.; Quinicot, E.; Islam, N.; Chen, Y.; Asch, D.A.; Werner, R.M.; Swami, S. SARS-CoV-2 Sequelae and Postdischarge Health Care Visits over 5 Months Follow-up Among Children Hospitalized for COVID-19 or MIS-C. Pediatr. Infect. Dis. J. 2022, 41, e513–e516. [Google Scholar] [CrossRef]
- Fireizen, Y.; Shahriary, C.; Imperial, M.E.; Randhawa, I.; Nianiaris, N.; Ovunc, B. Pediatric P-ANCA vasculitis following COVID-19. Pediatr. Pulmonol. 2021, 56, 3422–3424. [Google Scholar] [CrossRef]
- Fouriki, A.; Arlabosse, T.; Schnider, C.; Theodoropoulou, K.; Fougere, Y.; Blanchard Rohner, G.; Grazioli, S.; Wagner, N.; Pachlopnik Schmid, J.; Truck, J.; et al. Case series of children with multisystem inflammatory syndrome following SARS-COV-2 infection in Switzerland. Front. Pediatr. 2021, 8, 594127. [Google Scholar] [CrossRef]
- Goicea, L.; Buzoianu, E.; Davitoiu, A.M.; Chindris, S.; Zamfirescu, A.; Iancu, M.; Ghiorghiu, I.; Tincu, I.; Draganescu, A.; Dorobantu, A.; et al. Multisystemic inflammatory syndrome in children post-COVID-19: Clinical-biological characteristics of patients in the first year of the pandemic. J. Pediatr. Neonat. Individual. Med. 2023, 12, e120210. [Google Scholar]
- Kashyap, H.; Gupta, V.; Gupta, A.; Gupta, T.; Sharma, S.; Valjiyani, S. Post-COVID Syndrome (MIS-C) with Refractory Status Epilepticus. Indian J. Pediatr. 2021, 88, 721. [Google Scholar] [CrossRef]
- Keka-Sylaj, A.; Ramosaj, A.; Baloku, A.; Beqiraj, Q.; Gjaka, P. Aseptic meningitis in multisystem inflammatory syndrome in children associated with coronavirus disease 2019: A case report. J. Med. Case Rep. 2022, 16, 352. [Google Scholar] [CrossRef]
- Klocperk, A.; Bloomfield, M.; Parackova, Z.; Aillot, L.; Fremuth, J.; Sasek, L.; David, J.; Fencl, F.; Skotnicova, A.; Rejlova, K.; et al. B cells, BAFF and interferons in MIS-C. Mol. Cell Pediatr. 2023, 10, 15. [Google Scholar] [CrossRef] [PubMed]
- Maddux, A.B.; Berbert, L.; Young, C.C.; Feldstein, L.R.; Zambrano, L.D.; Kucukak, S.; Newhams, M.M.; Miller, K.; FitzGerald, M.M.; He, J.; et al. Health Impairments in Children and Adolescents After Hospitalization for Acute COVID-19 or MIS-C. Pediatrics 2022, 150, e2022057798. [Google Scholar] [CrossRef]
- Mejias, A.; Schuchard, J.; Rao, S.; Bennett, T.D.; Jhaveri, R.; Thacker, D.; Bailey, L.C.; Christakis, D.A.; Pajor, N.M.; Razzaghi, H.; et al. Leveraging Serologic Testing to Identify Children at Risk For Post-Acute Sequelae of SARS-CoV-2 Infection: An Electronic Health Record-Based Cohort Study from the RECOVER Program. J. Pediatr. 2023, 257, 113358. [Google Scholar] [CrossRef] [PubMed]
- Messiah, S.E.; Xie, L.; Mathew, M.S.; Shaikh, S.; Veeraswamy, A.; Rabi, A.; Francis, J.; Lozano, A.; Ronquillo, C.; Sanchez, V.; et al. Comparison of Long-Term Complications of COVID-19 Illness among a Diverse Sample of Children by MIS-C Status. Int. J. Environ. Res. Public Health 2022, 19, 13382. [Google Scholar] [CrossRef] [PubMed]
- Morgan, R.; Collins, R.A.; Nagy, L. Post Covid-19 MIS-C Related Cerebral Infarction in a Pediatric Patient Managed with Decompressive Craniectomy. Pediatr. Neurosurg. 2023, 58, 53–57. [Google Scholar] [CrossRef]
- Phirtskhalava, S.; Shavgulidze, E.; Shaikh, A.A.A.; Marikar, F.; Kalatozishvili, K.; Maghradze, A.; Chkhaidze, I. Clinical Course and Outcome of Cardiovascular Manifestations in Children with Multisystem Inflammatory Syndrome Associated with SARS-CoV-2 Infection in Georgia. Cureus 2023, 15, e38555. [Google Scholar] [CrossRef]
- Reiff, D.D.; Cron, R.Q. Timely Resolution of SARS-CoV-2-Related Multi-System Inflammatory Syndrome in Children. Viruses 2022, 15, 94. [Google Scholar] [CrossRef]
- Rochwerger, K.B.; Nahum, A. Unique presentations of the post covid-19 infection, multisystem inflammatory syndrome in children. LymphoSign J. 2021, 8, 99–104. [Google Scholar] [CrossRef]
- Sahu, S.; Mohapatra, S.R.; Das, S.K.; Kumar, R.; Mohakud, N.K. Post-covid Multisystem Inflammatory Syndrome in children (Mis-C) with rare gastrointestinal ramifications: Case reports from a Tertiary Care Hospital in Eastern India. Med. J. Dr. DY Patil Univ. 2022, 15, S348–S352. [Google Scholar] [CrossRef]
- Sai, B.V.K.; Kumar, H.; Arun Babu, T.; Chaitra, R.; Satapathy, D.; Kalidoss, V.K. Clinical profile and outcome of multisystem inflammatory syndrome in children (MIS-C) associated with COVID-19 infection: A single-center observational study from South India. Egypt. Pediatr. Assoc. Gaz. 2023, 71, 4. [Google Scholar] [CrossRef]
- Samadi, M.; Azadi, M.; Saeed, A.; Molaei, A.; Oskouie, S.A.; Ghaffari, S.; Khosroshahi, A.J.; Kaveh, S. Clinical Characteristics, Laboratory Features, and Outcomes of 151 Pediatric Patients with COVID-19 and MIS-C: A Single-center Study in the Northwest of Iran. Arch. Pediatr. Infect. Dis. 2023, 11, e132819. [Google Scholar] [CrossRef]
- Samu, B.; Abhijith, C.; Sulfath, T.S.; Ashique, E.P. Post COVID multisystem inflammatory syndrome with cervical lymphadenopathy in a young adult. J. Young Pharm. 2021, 13, 306–308. [Google Scholar] [CrossRef]
- Singh, V.; Obregon-Perko, V.; Lapp, S.A.; Horner, A.M.; Brooks, A.; Macoy, L.; Hussaini, L.; Lu, A.; Gibson, T.; Silvestri, G.; et al. Limited induction of SARS-CoV-2-specific T cell responses in children with multisystem inflammatory syndrome compared with COVID-19. JCI Insight 2022, 7, e155145. [Google Scholar] [CrossRef]
- Tamakee, A.Y.A.; Fayad, H.M.; Jhancy, M. Multisystemic Inflammatory Syndrome Post COVID-19 Infection in an Arab Female: A Case Report of a Rare Manifestation. New Emir. Med. J. 2023, 4, e270323214991. [Google Scholar] [CrossRef]
- Thakur, N.; Malhotra, K.P.; Singh, P. Post Covid Juvenile Dermatomyositis with Non Hodgkins Lymphoma in a Child: A Case Report. Curr. Rheumatol. Rev. 2023, 19, 504–507. [Google Scholar] [CrossRef]
- He, M.; Leone, D.M.; Frye, R.; Ferdman, D.J.; Shabanova, V.; Kosiv, K.A.; Sugeng, L.; Faherty, E.; Karnik, R. Longitudinal Assessment of Global and Regional Left Ventricular Strain in Patients with Multisystem Inflammatory Syndrome in Children (MIS-C). Pediatr. Cardiol. 2022, 43, 844–854. [Google Scholar] [CrossRef]
- Feldstein, L.R.; Rose, E.B.; Horwitz, S.M.; Collins, J.P.; Newhams, M.M.; Son, M.B.F.; Newburger, J.W.; Kleinman, L.C.; Heidemann, S.M.; Martin, A.A.; et al. Multisystem Inflammatory Syndrome in U.S. Children and Adolescents. N. Engl. J. Med. 2020, 383, 334–346. [Google Scholar] [CrossRef]
- McArdle, A.J.; Vito, O.; Patel, H.; Seaby, E.G.; Shah, P.; Wilson, C.; Broderick, C.; Nijman, R.; Tremoulet, A.H.; Munblit, D.; et al. Treatment of Multisystem Inflammatory Syndrome in Children. N. Engl. J. Med. 2021, 385, 11–22. [Google Scholar] [CrossRef]
- Zareef, R.O.; Younis, N.K.; Bitar, F.; Eid, A.H.; Arabi, M. COVID-19 in Pediatric Patients: A Focus on CHD Patients. Front. Cardiovasc. Med. 2020, 7, 612460. [Google Scholar] [CrossRef]
- Toubiana, J.; Poirault, C.; Corsia, A.; Bajolle, F.; Fourgeaud, J.; Angoulvant, F.; Debray, A.; Basmaci, R.; Salvador, E.; Biscardi, S.; et al. Kawasaki-like multisystem inflammatory syndrome in children during the covid-19 pandemic in Paris, France: Prospective observational study. BMJ 2020, 369, m2094. [Google Scholar] [CrossRef]
- Jones, V.G.; Mills, M.; Suarez, D.; Hogan, C.A.; Yeh, D.; Segal, J.B.; Nguyen, E.L.; Barsh, G.R.; Maskatia, S.; Mathew, R. COVID-19 and Kawasaki Disease: Novel Virus and Novel Case. Hosp. Pediatr. 2020, 10, 537–540. [Google Scholar] [CrossRef] [PubMed]
- Consiglio, C.R.; Cotugno, N.; Sardh, F.; Pou, C.; Amodio, D.; Rodriguez, L.; Tan, Z.; Zicari, S.; Ruggiero, A.; Pascucci, G.R.; et al. The Immunology of Multisystem Inflammatory Syndrome in Children with COVID-19. Cell 2020, 183, 968–981.e7. [Google Scholar] [CrossRef] [PubMed]
- Jonat, B.; Gorelik, M.; Boneparth, A.; Geneslaw, A.S.; Zachariah, P.; Shah, A.; Broglie, L.; Duran, J.; Morel, K.D.; Zorrilla, M.; et al. Multisystem Inflammatory Syndrome in Children Associated with Coronavirus Disease 2019 in a Children’s Hospital in New York City: Patient Characteristics and an Institutional Protocol for Evaluation, Management, and Follow-Up. Pediatr. Crit. Care Med. 2021, 22, e178–e191. [Google Scholar] [CrossRef] [PubMed]
- Miller, J.; Cantor, A.; Zachariah, P.; Ahn, D.; Martinez, M.; Margolis, K.G. Gastrointestinal Symptoms as a Major Presentation Component of a Novel Multisystem Inflammatory Syndrome in Children That Is Related to Coronavirus Disease 2019: A Single Center Experience of 44 Cases. Gastroenterology 2020, 159, 1571–1574.e2. [Google Scholar] [CrossRef]
- Valitutti, F.; Verde, A.; Pepe, A.; Sorrentino, E.; Veneruso, D.; Ranucci, G.; Orlando, F.; Mastrominico, A.; Grella, M.G.; Mandato, C. Multisystem inflammatory syndrome in children. An emerging clinical challenge for pediatric surgeons in the COVID 19 era. J. Pediatr. Surg. Case Rep. 2021, 69, 101838. [Google Scholar] [CrossRef]
- Calitri, C.; Fumi, I.; Ignaccolo, M.G.; Banino, E.; Benetti, S.; Lupica, M.M.; Fantone, F.; Pace, M.; Garofalo, F. Gastrointestinal involvement in paediatric COVID-19—From pathogenesis to clinical management: A comprehensive review. World J. Gastroenterol. 2021, 27, 3303–3316. [Google Scholar] [CrossRef]
- Smatti, M.K.; Cyprian, F.S.; Nasrallah, G.K.; Al Thani, A.A.; Almishal, R.O.; Yassine, H.M. Viruses and Autoimmunity: A Review on the Potential Interaction and Molecular Mechanisms. Viruses 2019, 11, 762. [Google Scholar] [CrossRef]
- Ramaswamy, A.; Brodsky, N.N.; Sumida, T.S.; Comi, M.; Asashima, H.; Hoehn, K.B.; Li, N.; Liu, Y.; Shah, A.; Ravindra, N.G.; et al. Immune dysregulation and autoreactivity correlate with disease severity in SARS-CoV-2-associated multisystem inflammatory syndrome in children. Immunity 2021, 54, 1083–1095.e7. [Google Scholar] [CrossRef]
- Larovere, K.L.; Riggs, B.J.; Poussaint, T.Y.; Young, C.C.; Newhams, M.M.; Maamari, M.; Walker, T.C.; Singh, A.R.; Dapul, H.; Hobbs, C.V.; et al. Neurologic Involvement in Children and Adolescents Hospitalized in the United States for COVID-19 or Multisystem Inflammatory Syndrome. JAMA Neurol. 2021, 78, 536–547. [Google Scholar] [CrossRef]
- Saeed, A.; Shorafa, E. Status epilepticus as a first presentation of COVID-19 infection in a 3 years old boy; Case report and review the literature. IDCases 2020, 22, e00942. [Google Scholar] [CrossRef]
- Han, Q.; Zheng, B.; Daines, L.; Sheikh, A. Long-Term Sequelae of COVID-19: A Systematic Review and Meta-Analysis of One-Year Follow-Up Studies on Post-COVID Symptoms. Pathogens 2022, 11, 269. [Google Scholar] [CrossRef]
- Lopez-Leon, S.; Wegman-Ostrosky, T.; Ayuzo Del Valle, N.C.; Perelman, C.; Sepulveda, R.; Rebolledo, P.A.; Cuapio, A.; Villapol, S. Long-COVID in children and adolescents: A systematic review and meta-analyses. Sci. Rep. 2022, 12, 9950. [Google Scholar] [CrossRef] [PubMed]
- Zhang, A.; Shi, L.; Yan, W.; Xiao, H.; Bao, Y.; Wang, Z.; Deng, J.; Ravindran, A.; Yuan, K.; Mei, H.; et al. Mental Health in Children in the Context of COVID-19: Focus on Discharged Children. Front. Psychiatry 2021, 12, 759449. [Google Scholar] [CrossRef] [PubMed]
- Kunal, S.; Ish, P.; Sakthivel, P.; Malhotra, N.; Gupta, K. The emerging threat of multisystem inflammatory syndrome in adults (MIS-A) in COVID-19: A systematic review. Heart Lung 2022, 54, 7–18. [Google Scholar] [CrossRef] [PubMed]
- Nepal, G.; Rehrig, J.H.; Shrestha, G.S.; Shing, Y.K.; Yadav, J.K.; Ojha, R.; Pokhrel, G.; Tu, Z.L.; Huang, D.Y. Neurological manifestations of COVID-19: A systematic review. Crit. Care 2020, 24, 421. [Google Scholar] [CrossRef]
- Alrajhi, F.; Seraj, H.; Taher, N.O.; Alnabihi, A.N. Bell’s palsy in a patient after contracting COVID-19 with signs of aberrant nerve regeneration. Am. J. Ophthalmol. Case Rep. 2022, 27, 101679. [Google Scholar] [CrossRef]
- Weisberg, S.P.; Connors, T.; Zhu, Y.; Baldwin, M.; Lin, W.-H.; Wontakal, S.; Szabo, P.A.; Wells, S.B.; Dogra, P.; Gray, J.; et al. Antibody responses to SARS-CoV2 are distinct in children with MIS-C compared to adults with COVID-19. Nat. Immunol. 2021, 22, 25–31. [Google Scholar] [CrossRef]
- Cheng, M.H.; Zhang, S.; Porritt, R.A.; Noval Rivas, M.; Paschold, L.; Willscher, E.; Binder, M.; Arditi, M.; Bahar, I. Superantigenic character of an insert unique to SARS-CoV-2 spike supported by skewed TCR repertoire in patients with hyperinflammation. Proc. Natl. Acad. Sci. USA 2020, 117, 25254–25262. [Google Scholar] [CrossRef]
- Rowley, A.H. Understanding SARS-CoV-2-related multisystem inflammatory syndrome in children. Nat. Rev. Immunol. 2020, 20, 453–454. [Google Scholar] [CrossRef]
- Ye, Q.; Wang, B.; Mao, J. The pathogenesis and treatment of the ‘Cytokine Storm’ in COVID-19. J. Infect. 2020, 80, 607–613. [Google Scholar] [CrossRef] [PubMed]
- Mendes, P.; Robles, P.G.; Mathur, S. Statin-Induced Rhabdomyolysis: A Comprehensive Review of Case Reports. Physiother. Can. 2014, 66, 124–132. [Google Scholar] [CrossRef]
- Byler, J.; Harrison, R.; Fell, L.L. Rhabdomyolysis Following Recovery from Severe COVID-19: A Case Report. Am. J. Case Rep. 2021, 22, e931616. [Google Scholar] [CrossRef] [PubMed]
- Constantin, T.; Pek, T.; Horvath, Z.; Garan, D.; Szabo, A.J. Multisystem inflammatory syndrome in children (MIS-C): Implications for long COVID. Inflammopharmacology 2023, 31, 2221–2236. [Google Scholar] [CrossRef] [PubMed]
- Chang, J.C.; Matsubara, D.; Morgan, R.W.; Diorio, C.; Nadaraj, S.; Teachey, D.T.; Bassiri, H.; Behrens, E.M.; Banerjee, A. Skewed Cytokine Responses Rather Than the Magnitude of the Cytokine Storm May Drive Cardiac Dysfunction in Multisystem Inflammatory Syndrome in Children. J. Am. Heart Assoc. 2021, 10, e021428. [Google Scholar] [CrossRef]
- Rodriguez-Smith, J.J.; Verweyen, E.L.; Clay, G.M.; Esteban, Y.M.; De Loizaga, S.R.; Baker, E.J.; Do, T.; Dhakal, S.; Lang, S.M.; Grom, A.A.; et al. Inflammatory biomarkers in COVID-19-associated multisystem inflammatory syndrome in children, Kawasaki disease, and macrophage activation syndrome: A cohort study. Lancet Rheumatol. 2021, 3, e574–e584. [Google Scholar] [CrossRef]
- Garciano-Machuca, O.; Villegas-Rivera, G.; Lopez-Perez, I.; Marcias-Barragan, J.; Sifuentes-Franco, S. Multisystem Inflammatory Syndrome in Children (MIS-C) Following SARS-CoV-2 Infection: Role of Oxidative Stress. Front. Immunol. 2021, 12, 723654. [Google Scholar] [CrossRef]
- Riollano-Cruz, M.; Akkoyun, E.; Briceno-Brito, E.; Kowalsky, S.; Reed, J.; Posada, R.; Sordillo, E.M.; Tosi, M.; Trachtman, R.; Paniz-Mondolfi, A. Multisystem inflammatory syndrome in children related to COVID-19: A New York City experience. J. Med. Virol. 2021, 93, 424–433. [Google Scholar] [CrossRef]
- Sugunan, S.; Bindusha, S.; Geetha, S.; Niyas, H.R.; Kumar, A.S. Clinical Profile and Short-Term Outcome of Children with SARS-CoV-2 Related Multisystem Inflammatory Syndrome (MIS-C) Treated with Pulse Methylprednisolone. Indian Pediatr. 2021, 58, 718–722. [Google Scholar] [CrossRef]
- Godfred-Cato, S.; Bryant, B.; Leung, J.; Oster, M.E.; Conklin, L.; Abrams, J.; Roguski, K.; Wallace, B.; Prezzato, E.; Koumans, E.H.; et al. COVID-19–Associated Multisystem Inflammatory Syndrome in Children—United States, March–July 2020. Morb. Mortal. Wkly. Rep. 2020, 69, 1074–1080. [Google Scholar] [CrossRef]
- Hoste, L.; Van Paemel, R.; Haerynck, F. Multisystem inflammatory syndrome in children related to COVID-19: A systematic review. Eur. J. Pediatr. 2021, 180, 2019–2034. [Google Scholar] [CrossRef]
- Nakra, N.; Blumberg, D.; Herrera-Guerra, A.; Lakshminrusimha, S. Multi-System Inflammatory Syndrome in Children (MIS-C) Following SARS-CoV-2 Infection: Review of Clinical Presentation, Hypothetical Pathogenesis, and Proposed Management. Children 2020, 7, 69. [Google Scholar] [CrossRef]
- Burnham, J.P.; Kollef, M.H. Understanding toxic shock syndrome. Intensive Care Med. 2015, 41, 1707–1710. [Google Scholar] [CrossRef] [PubMed]
- Yonker, L.M.; Gilboa, T.; Ogata, A.F.; Senussi, Y.; Lazarovits, R.; Boribong, B.P.; Bartsch, Y.C.; Loiselle, M.; Rivas, M.N.; Porritt, R.A.; et al. Multisystem inflammatory syndrome in children is driven by zonulin-dependent loss of gut mucosal barrier. Clin. Investig. 2021, 131, e149633. [Google Scholar] [CrossRef] [PubMed]
- Bastard, P.; Rosen, L.B.; Zhang, Q.; Michailidis, E.; Hoffmann, H.-H.; Zhang, Y.; Dorgham, K.; Philippot, Q.; Rosain, J.; Béziat, V.; et al. Autoantibodies against type I IFNs in patients with life-threatening COVID-19. Science 2020, 370, eabd4585. [Google Scholar] [CrossRef]
- Schuhenn, J.; Meister, T.L.; Todt, D.; Bracht, T.; Schork, K.; Billaud, J.-N.; Elsner, C.; Heinen, N.; Karakoese, Z.; Haid, S.; et al. Differential interferon-α subtype induced immune signatures are associated with suppression of SARS-CoV-2 infection. Proc. Natl. Acad. Sci. USA 2022, 119, e2111600119. [Google Scholar] [CrossRef]
- Diorio, C.; Henrickson, S.E.; Vella, L.A.; McNerney, K.O.; Chase, J.; Burudpakdee, C.; Lee, J.H.; Jasen, C.; Balamuth, F.; Barrett, D.M.; et al. Multisystem inflammatory syndrome in children and COVID-19 are distinct presentations of SARS–CoV-2. Clin. Investig. 2020, 130, 5967–5975. [Google Scholar] [CrossRef]
- Sacco, K.; Castagnoli, R.; Vakkilainen, S.; Liu, C.; Delmonte, O.M.; Oguz, C.; Kaplan, I.M.; Alehashemi, S.; Burbelo, P.D.; Bhuyan, F.; et al. Immunopathological signatures in multisystem inflammatory syndrome in children and pediatric COVID-19. Nat. Med. 2022, 28, 1050–1062. [Google Scholar] [CrossRef]
- Gruber, C.N.; Patel, R.S.; Trachtman, R.; Lepow, L.; Amanat, F.; Krammer, F.; Wilson, K.M.; Onel, K.; Geanon, D.; Tuballes, K.; et al. Mapping Systemic Inflammation and Antibody Responses in Multisystem Inflammatory Syndrome in Children (MIS-C). Cell 2020, 183, 982–995.e14. [Google Scholar] [CrossRef]
- Coquery, C.M.; Wade, N.S.; Loo, W.M.; Kinchen, J.M.; Cox, K.M.; Jiang, C.; Tung, K.S.; Erickson, L.D. Neutrophils Contribute to Excess Serum BAFF Levels and Promote CD4+ T Cell and B Cell Responses in Lupus-Prone Mice. PLoS ONE 2014, 9, e102284. [Google Scholar] [CrossRef]
- Harigai, M.; Kawamoto, M.; Hara, M.; Kubota, T.; Kamatani, N.; Miyasaka, N. Excessive Production of IFN-γ in Patients with Systemic Lupus Erythematosus and Its Contribution to Induction of B Lymphocyte Stimulator/B Cell-Activating Factor/TNF Ligand Superfamily-13B. J. Immunol. 2008, 181, 2211–2219. [Google Scholar] [CrossRef] [PubMed]
- Gray, K.J.; Bordt, E.A.; Atyeo, C.; Deriso, E.; Akinwunmi, B.; Young, N.; Baez, A.M.; Shook, L.L.; Cvrk, D.; James, K.; et al. Coronavirus disease 2019 vaccine response in pregnant and lactating women: A cohort study. Am. J. Obstet. Gynecol. 2021, 225, 303.e1–303.e17. [Google Scholar] [CrossRef] [PubMed]
- Pawar, R.; Gavade, V.; Patil, N.; Mali, V.; Girwalkar, A.; Tarkasband, V.; Loya, S.; Chavan, A.; Nanivadekar, N.; Shinde, R.; et al. Neonatal Multisystem Inflammatory Syndrome (MIS-N) Associated with Prenatal Maternal SARS-CoV-2: A Case Series. Children 2021, 8, 572. [Google Scholar] [CrossRef] [PubMed]
- Worku, D. Multisystem Inflammatory Syndrome in Adults (MIS-A) and SARS-CoV2: An Evolving Relationship. BioMed 2023, 3, 195–201. [Google Scholar] [CrossRef]
- Lawrensia, S.; Henrina, J.; Cahyadi, A. Multisystem inflammatory syndrome in adults: A systematic review and meta-analysis of the rheumatological spectrum of complications post COVID-19 infection. Rev. Colomb. Reumatol. 2022, 29, S17–S24. [Google Scholar] [CrossRef]
- Michailides, C.; Papantoniou, K.; Paraskevas, T.; Lagadinou, M.; Marangos, M.; Kavvousanos, M.; Michailidou, P.; Velissaris, D. Multisystem Inflammatory Syndrome of the Adults (MIS-A)—The undercover threat for young adults. A systematic review and meta-analysis of medical cases. Infez. Med. 2024, 32, 272–279. [Google Scholar]
- Mohammed, I.; Nauman, A.; Paul, P.; Ganesan, S.; Chen, K.-H.; Jalil, S.M.S.; Jaouni, S.H.; Kawas, H.; Khan, W.A.; Vattoth, A.L.; et al. The efficacy and effectiveness of the COVID-19 vaccines in reducing infection, severity, hospitalization, and mortality: A systematic review. Hum. Vaccines Immunother. 2022, 18, 2027160. [Google Scholar] [CrossRef]
- Paul, P.; El-Naas, A.; Hamad, O.; Salameh, M.A.; Mhaimeed, N.; Laswi, I.; Abdelati, A.A.; AlAnni, J.; Khanjar, B.; Al-Ali, D.; et al. Effectiveness of the pre-Omicron COVID-19 vaccines against Omicron in reducing infection, hospitalization, severity, and mortality compared to Delta and other variants: A systematic review. Hum. Vaccines Immunother. 2023, 19, 2167410. [Google Scholar] [CrossRef]





Disclaimer/Publisher’s Note: The statements, opinions and data contained in all publications are solely those of the individual author(s) and contributor(s) and not of MDPI and/or the editor(s). MDPI and/or the editor(s) disclaim responsibility for any injury to people or property resulting from any ideas, methods, instructions or products referred to in the content. |
© 2025 by the authors. Licensee MDPI, Basel, Switzerland. This article is an open access article distributed under the terms and conditions of the Creative Commons Attribution (CC BY) license (https://creativecommons.org/licenses/by/4.0/).
Share and Cite
Varghese, S.; Al-Hassani, I.; Al-Aani, U.; Rob, N.J.; Al-Mannai, S.; Jaguri, A.; Yousif, R.A.; Al-Mulla, A.; Palayangal, F.F.; Laws, S.; et al. Long-Term Complications of Multisystem Inflammatory Syndrome in Children and Adults Post-COVID-19: A Systematic Review. Int. J. Mol. Sci. 2025, 26, 10695. https://doi.org/10.3390/ijms262110695
Varghese S, Al-Hassani I, Al-Aani U, Rob NJ, Al-Mannai S, Jaguri A, Yousif RA, Al-Mulla A, Palayangal FF, Laws S, et al. Long-Term Complications of Multisystem Inflammatory Syndrome in Children and Adults Post-COVID-19: A Systematic Review. International Journal of Molecular Sciences. 2025; 26(21):10695. https://doi.org/10.3390/ijms262110695
Chicago/Turabian StyleVarghese, Sanish, Ibrahim Al-Hassani, Ubaida Al-Aani, Noor J. Rob, Sara Al-Mannai, Aayami Jaguri, Reel A. Yousif, Aisha Al-Mulla, Fathima F. Palayangal, Sa’ad Laws, and et al. 2025. "Long-Term Complications of Multisystem Inflammatory Syndrome in Children and Adults Post-COVID-19: A Systematic Review" International Journal of Molecular Sciences 26, no. 21: 10695. https://doi.org/10.3390/ijms262110695
APA StyleVarghese, S., Al-Hassani, I., Al-Aani, U., Rob, N. J., Al-Mannai, S., Jaguri, A., Yousif, R. A., Al-Mulla, A., Palayangal, F. F., Laws, S., Al-Ali, D., & Zakaria, D. (2025). Long-Term Complications of Multisystem Inflammatory Syndrome in Children and Adults Post-COVID-19: A Systematic Review. International Journal of Molecular Sciences, 26(21), 10695. https://doi.org/10.3390/ijms262110695

