Sign in to use this feature.

Years

Between: -

Subjects

remove_circle_outline
remove_circle_outline
remove_circle_outline
remove_circle_outline
remove_circle_outline
remove_circle_outline

Journals

Article Types

Countries / Regions

Search Results (100)

Search Parameters:
Keywords = multiple microfluidic channels

Order results
Result details
Results per page
Select all
Export citation of selected articles as:
10 pages, 1471 KB  
Communication
Unsaturated Fatty Acid Oil-Based Microdroplets: A Promising Novel Class of Microdroplets
by Mitra Shojania Feizabadi, Ramiz Alejilat and Amy Ataalla
Appl. Sci. 2025, 15(18), 10290; https://doi.org/10.3390/app151810290 - 22 Sep 2025
Viewed by 419
Abstract
Droplet-based microfluidics has rapidly advanced applications in chemistry, biology, materials science, medicine, food science, and cosmetics. Using this technology, various oils have been employed for fluid encapsulation. This study is the first to investigate the use of an animal-based unsaturated fatty acid oil—emu [...] Read more.
Droplet-based microfluidics has rapidly advanced applications in chemistry, biology, materials science, medicine, food science, and cosmetics. Using this technology, various oils have been employed for fluid encapsulation. This study is the first to investigate the use of an animal-based unsaturated fatty acid oil—emu oil—for microdroplet formation. We characterized droplet generation in the presence and absence of a non-fluorinated surfactant at a defined concentration and examined the influence of geometrical parameters using T-junction microchannels with two different central channel widths. The results were compared with those obtained from a plant-based oil (olive oil) under parallel experimental conditions. Given the growing concerns regarding the environmental and health risks of fluorocarbon oils combined with fluorinated surfactants, which are widely used in microfluidics, emu oil represents a potentially safer alternative for microdroplet-based technologies across multiple fields. Full article
Show Figures

Figure 1

18 pages, 4345 KB  
Article
Single-Thermocouple Suspended Microfluidic Thermal Sensor with Improved Heat Retention for the Development of Multifunctional Biomedical Detection
by Lin Qin, Xiasheng Wang, Chenxi Wu, Yuan Ju, Hao Zhang, Xin Cheng, Yuanlin Xia, Cao Xia, Yubo Huang and Zhuqing Wang
Sensors 2025, 25(15), 4532; https://doi.org/10.3390/s25154532 - 22 Jul 2025
Viewed by 2401
Abstract
Thermal sensors are widely used in medical, industrial and other fields, where the requirements for high sensitivity and portability continues to increase. Here we propose a suspended bridge structure fabricated using MEMS, which effectively shrinks the size and reduces heat loss. This study [...] Read more.
Thermal sensors are widely used in medical, industrial and other fields, where the requirements for high sensitivity and portability continues to increase. Here we propose a suspended bridge structure fabricated using MEMS, which effectively shrinks the size and reduces heat loss. This study reviews current sensor-related theories of heat conduction, convective heat transfer and thermal radiation. Heat loss models for suspended and non-suspended bridge structures are established, and finite element analysis is conducted to evaluate their thermal performance. The thermal performance of the suspended bridge structure is further validated through infrared temperature measurements on the manufactured sensor device. Theoretical calculations demonstrate that the proposed suspension bridge structure reduces heat loss by 88.64% compared with traditional designs. Benefiting from this improved heat retention, which was also confirmed by infrared thermography, the thermal sensor fabricated based on the suspension bridge structure achieves an ultra-high sensitivity of 0.38 V/W and a fast response time of less than 200 ms, indicating a high accuracy in thermal characterization. The correlation coefficient obtained for the sensor output voltage and input power of the sensor is approximately 1.0. Based on this design, multiple microfluidic channels with suspended bridge structures can be integrated to realize multi-component detection, which is important for the development of multifunctional biomedical detection. Full article
(This article belongs to the Section Biomedical Sensors)
Show Figures

Figure 1

14 pages, 4427 KB  
Article
Numerical Investigation of Mixing Performance in Microfluidic Chip via Structural Micro-Rotors
by Yongliang Dong, Liqiu Wang and Xing Han
Micromachines 2025, 16(7), 806; https://doi.org/10.3390/mi16070806 - 11 Jul 2025
Viewed by 586
Abstract
Microfluidics is a powerful tool with extensive applications, including chemical synthesis and biological detection. However, the limited channel size and high viscosity of samples/reagents make it difficult to fully mix liquids and improve the reaction efficiency inside microfluidic chips. Active mixing by rotors [...] Read more.
Microfluidics is a powerful tool with extensive applications, including chemical synthesis and biological detection. However, the limited channel size and high viscosity of samples/reagents make it difficult to fully mix liquids and improve the reaction efficiency inside microfluidic chips. Active mixing by rotors has been proven to be an effective method to promote mixing efficiency via a magnetic field. Here, we numerically investigated the mixing performance of rotors with different shapes (bar-shaped, Y-shaped, and cross-shaped). We systematically studied the influence of the arrangement of multiple cross-rotors and the rotation rate on mixing performance. The results are promising for instructing the design and manipulation of rotors for in-channel mixing. Full article
Show Figures

Figure 1

11 pages, 3438 KB  
Article
A Pipette for High-Resolution Sampling and Delivery of pL Bio-Samples
by Ziyang Han, Pengfei Gong, Hengxiang Su, Zehang Gao, Shilun Feng and Jianlong Zhao
Micromachines 2025, 16(6), 630; https://doi.org/10.3390/mi16060630 - 27 May 2025
Viewed by 754
Abstract
Conventional laboratory methods for handling valuable biological samples typically use pipettes or needles, which are prone to issues such as dead volume and sample waste. Furthermore, the sampling and processing of pathogenic bacteria, such as Escherichia coli (E. coli) in environmental [...] Read more.
Conventional laboratory methods for handling valuable biological samples typically use pipettes or needles, which are prone to issues such as dead volume and sample waste. Furthermore, the sampling and processing of pathogenic bacteria, such as Escherichia coli (E. coli) in environmental wastewater, require labor-intensive procedures with multiple complex steps. To overcome these limitations, we developed a pipette integrated with a microfluidic chip for bacteria sampling and delivery. This pipette can provide the negative pressure to microfluidic chips for sampling, the constant temperature unit for biological reaction, and programs for automatic control (suction, heating, liquid discharge, and cleaning) and display. The droplet chip employs a cross-channel structure to generate droplets and incorporates a designated droplet storage and detection area. Utilizing this innovative device, we have demonstrated the generation, transportation, and storage of pL droplets, as well as quantitatively detected E. coli samples across various concentrations. The test results have demonstrated the overall reliability and data consistency of the system. Overall, our device achieves the precise sampling of pL volumes, offering a simple yet promising solution for the sampling and delivery of bio-samples in remote settings. Full article
Show Figures

Figure 1

15 pages, 2907 KB  
Article
Flexible Concentration Gradient Droplet Generation via Partitioning–Recombination in a Shear Flow-Driven Multilayer Microfluidic Chip
by Linkai Yu, Qingyang Feng, Yifan Chen, Yongji Wu, Haizhen Sun, Hao Yang and Lining Sun
Symmetry 2025, 17(6), 826; https://doi.org/10.3390/sym17060826 - 26 May 2025
Cited by 1 | Viewed by 741
Abstract
Concentration gradient generation plays a pivotal role in advancing applications across drug screening, chemical synthesis, and biomolecular studies, yet conventional methods remain constrained by labor-intensive workflows, limited throughput, and inflexible gradient control. This study presents a novel multilayer microfluidic chip leveraging shear flow-driven [...] Read more.
Concentration gradient generation plays a pivotal role in advancing applications across drug screening, chemical synthesis, and biomolecular studies, yet conventional methods remain constrained by labor-intensive workflows, limited throughput, and inflexible gradient control. This study presents a novel multilayer microfluidic chip leveraging shear flow-driven partitioning–recombination mechanisms to enable the flexible and high-throughput generation of concentration gradient droplets. The chip integrates interactive upper and lower polydimethylsiloxane (PDMS) layers, where sequential fluid distribution and recombination are achieved through circular and radial channels while shear forces from the oil phase induce droplet formation. Numerical simulations validated the dynamic pressure-driven concentration gradient formation, demonstrating linear gradient profiles across multiple outlets under varied flow conditions. The experimental results revealed that the shear flow mode significantly enhances mixing uniformity and droplet generation efficiency compared to continuous flow operations, attributed to intensified interfacial interactions within contraction–expansion serpentine channels. By modulating hydrodynamic parameters such as aqueous- and oil-phase flow rates, this system achieved tunable gradient slopes and droplet sizes, underscoring the intrinsic relationship between flow dynamics and gradient formation. The proposed device eliminates reliance on complex channel networks, offering a compact and scalable platform for parallelized gradient generation. This work provides a robust framework for optimizing microfluidic-based concentration gradient systems, with broad implications for high-throughput screening, combinatorial chemistry, and precision biomolecular assays. Full article
(This article belongs to the Special Issue Symmetry/Asymmetry in Micro/Nanofluidic Devices and Applications)
Show Figures

Figure 1

13 pages, 2331 KB  
Article
Open Microfluidic Cell Culture in Hydrogels Enabled by 3D-Printed Molds
by Madison O’Brien, Ashley N. Spirrison, Melati S. Abdul Halim, Yulai Li, Adrian Neild, Catherine Gemrich, Reza Nosrati, Luis Solorio and Max M. Gong
Bioengineering 2025, 12(2), 102; https://doi.org/10.3390/bioengineering12020102 - 22 Jan 2025
Cited by 1 | Viewed by 2251
Abstract
Cell culture models with tissue-mimicking architecture enable thein vitro investigation of cellular behavior and cell–cell interactions. These models can recapitulate the structure and function of physiological systems and can be leveraged to elucidate mechanisms of disease. In this work, we developed a method [...] Read more.
Cell culture models with tissue-mimicking architecture enable thein vitro investigation of cellular behavior and cell–cell interactions. These models can recapitulate the structure and function of physiological systems and can be leveraged to elucidate mechanisms of disease. In this work, we developed a method to create open microfluidic cell cultures in vitro using 3D-printed molds. The method improves sample accessibility, is simpler to manufacture than traditional closed microfluidic cell culture systems and requires minimal specialized equipment, making it an attractive method for cell culture applications. Further, these molds can generate multiple tissue-mimicking structures in various hydrogels, including blood vessel mimics using endothelial cells (HUVECs). Various geometries were patterned into agarose, gelatin, and collagen type I hydrogels, including star-shaped wells, square wells, round wells, and open channels, to demonstrate the versatility of the approach. Open channels were created in collagen with diameters ranging from 400 µm to 4 mm and in multiple collagen densities ranging from 2 mg/mL to 4 mg/mL. To demonstrate the applicability of our approach for tissue modeling, blood vessel mimics were generated in open channels with diameters of 800 µm and 2 mm, with high cell viability (>89%) for both dimensions. The vessel mimics were used to study the effects of hypoxia on cell viability and CD31 expression by subjecting them to a reduced-O2 environment (∼16% O2). As compared to normoxia conditions, vessel mimics under hypoxia had a reduction in cell viability by 8.3% and CD31 surface expression by 7.4%. Overall, our method enables the generation of different geometries in hydrogels and the development of in vitro tissue mimics for biological applications. Full article
(This article belongs to the Section Regenerative Engineering)
Show Figures

Graphical abstract

20 pages, 8980 KB  
Article
Comparison of Measurement Protocols for Internal Channels of Transparent Microfluidic Devices
by Joris Kaal, Nicolas Feltin, Marc Lelong, Huabing Yin, Andrew Glidle, Kevin Romieu and Elsa Batista
Metrology 2025, 5(1), 4; https://doi.org/10.3390/metrology5010004 - 10 Jan 2025
Viewed by 1727
Abstract
The microfluidic industry faces a significant challenge due to the lack of sensitive and standardized methods. One critical need is the measurement of internal channel dimensions in fully assembled chips. This study presents and compares several protocols for measuring these dimensions, including optical [...] Read more.
The microfluidic industry faces a significant challenge due to the lack of sensitive and standardized methods. One critical need is the measurement of internal channel dimensions in fully assembled chips. This study presents and compares several protocols for measuring these dimensions, including optical profilometry, optical microscopy, and tiled digital imagery. Standardized chips made from two materials commonly used in microfluidics (borosilicate glass and Cyclic Olefin Copolymer) were evaluated using each protocol. A consistency analysis using normalized error statistics identified optical profilometry as the most reliable method, offering the lowest uncertainty and the highest consistency with nominal geometry values. However, all protocols encountered difficulties with vertical depth measurements of internal structures. Future research should focus on addressing these limitations, including investigating the influence of multiple refractive surfaces on optical profilometry and exploring confocal microscopy. In conclusion, this work provides a comprehensive comparison of measurement protocols for internal microfluidic structures and offers a practical solution for applications in the microfluidic industry, while also identifying important directions for future research. Full article
(This article belongs to the Special Issue Advancements in Optical Measurement Devices and Technologies)
Show Figures

Figure 1

13 pages, 3223 KB  
Article
Designing Microfluidic-Chip Filtration with Multiple Channel Networks for the Highly Efficient Sorting of Cell Particles
by Myung-Suk Chun
Micromachines 2024, 15(12), 1474; https://doi.org/10.3390/mi15121474 - 5 Dec 2024
Cited by 3 | Viewed by 2017
Abstract
Microfluidic-chip based hydrodynamic filtration is one of the passive sorting techniques that can separate cell or particle suspensions into subpopulations of different sizes. As the branch channels and side channels play an important role in maintaining particle focusing, their rational design is necessary [...] Read more.
Microfluidic-chip based hydrodynamic filtration is one of the passive sorting techniques that can separate cell or particle suspensions into subpopulations of different sizes. As the branch channels and side channels play an important role in maintaining particle focusing, their rational design is necessary for highly efficient sorting. A model framework involving multiple side and multiple branch channels has been developed by extending the analytical analysis of three-dimensional laminar flow in channel networks, which was previously validated by comparison with numerical simulations. Objective parameters were identified as the number of branch channels and each length of individual branches. The presence of multiple side channels causes an increase in the average fluid velocity in main and branch channels as the branch point shifts toward the end of the main channel, which differs from the behavior observed in a single side channel. The number of branches and their individual lengths decrease distinctly in the case of branch channels consisting of narrow and wide sections, which enables the compact design of a microfluidic-chip, being operated by a lower pressure drop under the same throughput. Sorting of bidisperse particles was accomplished with an optimally designed chip to verify this framework by achieving very high recovery and purity. Full article
(This article belongs to the Special Issue Microfluidics for Single Cell Detection and Cell Sorting)
Show Figures

Figure 1

17 pages, 5301 KB  
Article
Combined Dielectric-Optical Characterization of Single Cells Using Dielectrophoresis-Imaging Flow Cytometry
by Behnam Arzhang, Justyna Lee, Emerich Kovacs, Michael Butler, Elham Salimi, Douglas J. Thomson and Greg E. Bridges
Biosensors 2024, 14(12), 577; https://doi.org/10.3390/bios14120577 - 27 Nov 2024
Cited by 4 | Viewed by 2024
Abstract
In this paper, we present a microfluidic flow cytometer for simultaneous imaging and dielectric characterization of individual biological cells within a flow. Utilizing a combination of dielectrophoresis (DEP) and high-speed imaging, this system offers a dual-modality approach to analyze both cell morphology and [...] Read more.
In this paper, we present a microfluidic flow cytometer for simultaneous imaging and dielectric characterization of individual biological cells within a flow. Utilizing a combination of dielectrophoresis (DEP) and high-speed imaging, this system offers a dual-modality approach to analyze both cell morphology and dielectric properties, enhancing the ability to analyze, characterize, and discriminate cells in a heterogeneous population. A high-speed camera is used to capture images of and track multiple cells in real-time as they flow through a microfluidic channel. A wide channel is used, enabling analysis of many cells in parallel. A coplanar electrode array perpendicular to cell flow is incorporated at the bottom of the channel to perform dielectrophoresis-based dielectric characterization. A frequency-dependent voltage applied to the array produces a non-uniform electric field, translating cells to higher or lower velocity depending on their dielectric polarizability. In this paper, we demonstrate how cell size, obtained by optical imaging, and DEP response, obtained by particle tracking, can be used to discriminate viable and non-viable Chinese hamster ovary cells in a heterogeneous cell culture. Multiphysics electrostatic-fluid dynamics simulation is used to develop a relationship between cell incoming velocity, differential velocity, size, and the cell’s polarizability, which can subsequently be used to evaluate its physiological state. Measurement of a mixture of polystyrene microspheres is used to evaluate the accuracy of the cytometer. Full article
(This article belongs to the Special Issue Biosensing Applications for Cell Monitoring)
Show Figures

Figure 1

14 pages, 5172 KB  
Article
Fabrication of Patterned Magnetic Particles in Microchannels and Their Application in Micromixers
by Tianhao Li, Chen Yang, Zihao Shao, Ya Chen, Jiahui Zheng, Jun Yang and Ning Hu
Biosensors 2024, 14(9), 408; https://doi.org/10.3390/bios14090408 - 23 Aug 2024
Cited by 2 | Viewed by 2118
Abstract
Due to the extremely low Reynolds number, the mixing of substances in laminar flow within microfluidic channels primarily relies on slow intermolecular diffusion, whereas various rapid reaction and detection requirements in lab-on-a-chip applications often necessitate the efficient mixing of fluids within short distances. [...] Read more.
Due to the extremely low Reynolds number, the mixing of substances in laminar flow within microfluidic channels primarily relies on slow intermolecular diffusion, whereas various rapid reaction and detection requirements in lab-on-a-chip applications often necessitate the efficient mixing of fluids within short distances. This paper presents a magnetic pillar-shaped particle fabrication device capable of producing particles with planar shapes, which are then utilized to achieve the rapid mixing of multiple fluids within microchannels. During the particle fabrication process, a degassed PDMS chip provides self-priming capabilities, drawing in a UV-curable adhesive-containing magnetic powder and distributing it into distinct microwell structures. Subsequently, an external magnetic field is applied, and the chip is exposed to UV light, enabling the mass production of particles with specific magnetic properties through photo-curing. Without the need for external pumping, this chip-based device can fabricate hundreds of magnetic particles in less than 10 min. In contrast to most particle fabrication methods, the degassed PDMS approach enables self-priming and precise dispensing, allowing for precise control over particle shape and size. The fabricated dual-layer magnetic particles, featuring fan-shaped blades and disk-like structures, are placed within micromixing channels. By manipulating the magnetic field, the particles are driven into motion, altering the flow patterns to achieve fluid mixing. Under conditions where the Reynolds number in the chip ranges from 0.1 to 0.9, the mixing index for substances in aqueous solutions exceeds 0.9. In addition, experimental analyses of mixing efficiency for fluids with different viscosities, including 25 wt% and 50 wt% glycerol, reveal mixing indices exceeding 0.85, demonstrating the broad applicability of micromixers based on the rapid rotation of magnetic particles. Full article
Show Figures

Figure 1

17 pages, 5123 KB  
Communication
Advances in the Production of PBCA Microparticles Using a Micromixer with HH-Geometry in a Microfluidic System
by Aline Rocha Vieira, Aline Furtado Oliveira, Fabiana Vieira Lima Solino Pessoa, Beatriz Nogueira Messias de Miranda and André Rolim Baby
Sci. Pharm. 2024, 92(3), 43; https://doi.org/10.3390/scipharm92030043 - 9 Aug 2024
Viewed by 1781
Abstract
Different reaction control methods for producing nano/microstructures of poly(butyl cyanoacrylate) (PBCA) have been studied, focusing on pH and monomer-to-initiator ratios. However, these methods often require multiple steps and reagents. In the synthesis of PBCA microparticles using three versions of micromixers designed with HH [...] Read more.
Different reaction control methods for producing nano/microstructures of poly(butyl cyanoacrylate) (PBCA) have been studied, focusing on pH and monomer-to-initiator ratios. However, these methods often require multiple steps and reagents. In the synthesis of PBCA microparticles using three versions of micromixers designed with HH geometry and varying numbers of channels (4, 10, and 15), different synthesis formulations were investigated by varying monomer concentrations. PBCA microparticles synthesized with 19.2% (w/w) n-butyl cyanoacrylate (n-BCA) monomer, a residence time of 0.06 s, a flow rate of 78 mL·min−1, and a phase ratio of 45/55 (W/O), exhibited an average diameter of 642.2 nm as determined by dynamic light scattering (DLS) analysis. In contrast, PBCA microparticles synthesized with 5.0% (w/w) n-BCA monomer, the same residence time of 0.06 s, a flow rate of 39 mL·min−1, and a phase ratio of 20/80 (W/O), exhibited an average diameter of 74.73 µm according to laser diffraction particle size analysis. Polymer formation was confirmed by Fourier-transform infrared (FTIR) spectroscopy in both formulation and process conditions. These results indicate that the parameters for the production of microparticles with different monomer concentrations in the microfluidic system with HH geometry and 15 channels can be optimized for potential applications in cosmetics and pharmaceutical ingredients. Full article
Show Figures

Figure 1

18 pages, 18014 KB  
Article
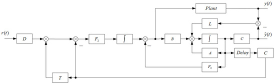
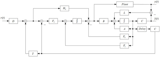
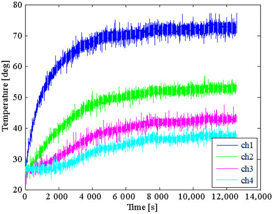
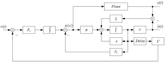
Target Tracking Two Degrees of Freedom State Feedback Control for Continuous Flow Microfluidic Chips Temperature Controller
by Yuqi Jiang, Yang Liu, Yuxiong Xue, Wei Jiang and Seiji Hashimoto
Processes 2024, 12(6), 1108; https://doi.org/10.3390/pr12061108 - 28 May 2024
Viewed by 1172
Abstract
Microfluidic chips represent a cutting-edge technology for manipulating fluids within micrometer-scale spaces and are gradually becoming a new favorite platform in life science research. Precise and fast zonal temperature control is essential for accelerating biological experiments. However, current multi-channel temperature controllers typically rely [...] Read more.
Microfluidic chips represent a cutting-edge technology for manipulating fluids within micrometer-scale spaces and are gradually becoming a new favorite platform in life science research. Precise and fast zonal temperature control is essential for accelerating biological experiments. However, current multi-channel temperature controllers typically rely on multiple channel sets to achieve single set-point control, which results in discrepancies between the fluid temperature distribution and sensor temperature due to the distributed temperature field in the fluid channel. To estimate the actual temperature and implement gradient temperature control, this paper introduces an extension of the target tracking (TT) two degrees of freedom (2DOF) state feedback control (SFC) method, followed by a presentation of simulation and experimental results. Through comparisons with an enhanced PID system in both simulation and experimentation, the paper demonstrates an 8.96% reduction in the maximum temperature difference across different regions and a 27.89% decrease in the time taken to reach various temperatures. This solution effectively addresses the existing challenges in temperature control for microfluidic chips, offering a more precise and stable control within the desired temperature range. Full article
(This article belongs to the Section AI-Enabled Process Engineering)
Show Figures

Figure 1

15 pages, 6567 KB  
Article
Molecular Orientation Behavior of Lyotropic Liquid Crystal–Carbon Dot Hybrids in Microfluidic Confinement
by Artem Bezrukov, Aliya Galeeva, Aleksandr Krupin and Yuriy Galyametdinov
Int. J. Mol. Sci. 2024, 25(10), 5520; https://doi.org/10.3390/ijms25105520 - 18 May 2024
Cited by 6 | Viewed by 1958
Abstract
Lyotropic liquid crystals represent an important class of anisotropic colloid systems. Their integration with optically active nanoparticles can provide us with responsive luminescent media that offer new fundamental and applied solutions for biomedicine. This paper analyzes the molecular-level behavior of such composites represented [...] Read more.
Lyotropic liquid crystals represent an important class of anisotropic colloid systems. Their integration with optically active nanoparticles can provide us with responsive luminescent media that offer new fundamental and applied solutions for biomedicine. This paper analyzes the molecular-level behavior of such composites represented by tetraethylene glycol monododecyl ether and nanoscale carbon dots in microfluidic channels. Microfluidic confinement allows for simultaneously applying multiple factors, such as flow dynamics, wall effects, and temperature, for the precise control of the molecular arrangement in such composites and their resulting optical properties. The microfluidic behavior of composites was characterized by a set of analytical and modeling tools such as polarized and fluorescent microscopy, dynamic light scattering, and fluorescent spectroscopy, as well as image processing in Matlab. The composites were shown to form tunable anisotropic intermolecular structures in microchannels with several levels of molecular ordering. A predominant lamellar structure of the composites was found to undergo additional ordering with respect to the microchannel axis and walls. Such an alignment was controlled by applying shear and temperature factors to the microfluidic environment. The revealed molecular behavior of the composite may contribute to the synthesis of hybrid organized media capable of polarized luminescence for on-chip diagnostics and biomimetics. Full article
(This article belongs to the Section Physical Chemistry and Chemical Physics)
Show Figures

Figure 1

27 pages, 2876 KB  
Review
A Comprehensive Review of Organ-on-a-Chip Technology and Its Applications
by Negar Farhang Doost and Soumya K. Srivastava
Biosensors 2024, 14(5), 225; https://doi.org/10.3390/bios14050225 - 1 May 2024
Cited by 35 | Viewed by 22915
Abstract
Organ-on-a-chip (OOC) is an emerging technology that simulates an artificial organ within a microfluidic cell culture chip. Current cell biology research focuses on in vitro cell cultures due to various limitations of in vivo testing. Unfortunately, in-vitro cell culturing fails to provide an [...] Read more.
Organ-on-a-chip (OOC) is an emerging technology that simulates an artificial organ within a microfluidic cell culture chip. Current cell biology research focuses on in vitro cell cultures due to various limitations of in vivo testing. Unfortunately, in-vitro cell culturing fails to provide an accurate microenvironment, and in vivo cell culturing is expensive and has historically been a source of ethical controversy. OOC aims to overcome these shortcomings and provide the best of both in vivo and in vitro cell culture research. The critical component of the OOC design is utilizing microfluidics to ensure a stable concentration gradient, dynamic mechanical stress modeling, and accurate reconstruction of a cellular microenvironment. OOC also has the advantage of complete observation and control of the system, which is impossible to recreate in in-vivo research. Multiple throughputs, channels, membranes, and chambers are constructed in a polydimethylsiloxane (PDMS) array to simulate various organs on a chip. Various experiments can be performed utilizing OOC technology, including drug delivery research and toxicology. Current technological expansions involve multiple organ microenvironments on a single chip, allowing for studying inter-tissue interactions. Other developments in the OOC technology include finding a more suitable material as a replacement for PDMS and minimizing artefactual error and non-translatable differences. Full article
(This article belongs to the Section Nano- and Micro-Technologies in Biosensors)
Show Figures

Figure 1

14 pages, 4308 KB  
Article
Experimental Study on SPR Array Sensing Chip Integrated with Microvalves
by Wanwan Chen, Peng Wang and Bin Li
Sensors 2024, 24(8), 2540; https://doi.org/10.3390/s24082540 - 15 Apr 2024
Cited by 1 | Viewed by 1423
Abstract
This paper discusses a microfluidic system designed for surface plasmon resonance (SPR) sensing, incorporating integrated microvalves. This system is built from a layered structure of polydimethylsiloxane (PDMS) and polymethylmethacrylate (PMMA). The functionality of the microvalves is verified through a conductance method involving electrodes [...] Read more.
This paper discusses a microfluidic system designed for surface plasmon resonance (SPR) sensing, incorporating integrated microvalves. This system is built from a layered structure of polydimethylsiloxane (PDMS) and polymethylmethacrylate (PMMA). The functionality of the microvalves is verified through a conductance method involving electrodes positioned at the microfluidic channels’ inlets and outlets. These microvalves can fully close at a control pressure of 0.3 MPa, with their operation depending on the duration of the applied pressure. The study further explores the coordinated operation of multiple microvalves to regulate the sequential flow of samples and reagents in the system. In SPR detection experiments, the microfluidic system is integrated with an SPR array sensing system to control the injection of NaCl solutions via the microvalves, and the observation of phase change curves in different chip regions are observed. The findings validate the microvalves’ dependability and suitability for use in SPR array sensing. Full article
(This article belongs to the Section Biosensors)
Show Figures

Figure 1

Back to TopTop