Sign in to use this feature.

Years

Between: -

Subjects

remove_circle_outline
remove_circle_outline
remove_circle_outline
remove_circle_outline
remove_circle_outline
remove_circle_outline
remove_circle_outline
remove_circle_outline

Journals

Article Types

Countries / Regions

Search Results (79)

Search Parameters:
Keywords = multiconfigurational methods

Order results
Result details
Results per page
Select all
Export citation of selected articles as:
13 pages, 1962 KB  
Article
Dielectronic Recombination Strengths and Plasma Rate Coefficients of Lithium-like Argon Ions: Theory and Experiment
by Houke Huang, Zhongkui Huang, Yang Yuan, Hanbing Wang, Zeshan Muhammad, Chang Liu, Weiqiang Wen, Linfan Zhu, Xinwen Ma and Stephan Fritzsche
Atoms 2026, 14(2), 13; https://doi.org/10.3390/atoms14020013 - 13 Feb 2026
Viewed by 226
Abstract
Dielectronic recombination (DR) is widely recognized as a fundamental atomic process in many astrophysical and laboratory plasmas, where it plays a crucial role in determining ionization balance and level populations over a broad temperature range. Reliable DR resonance strengths and plasma rate coefficients [...] Read more.
Dielectronic recombination (DR) is widely recognized as a fundamental atomic process in many astrophysical and laboratory plasmas, where it plays a crucial role in determining ionization balance and level populations over a broad temperature range. Reliable DR resonance strengths and plasma rate coefficients for such plasma modeling can be computed using the Jena Atomic Calculator (JAC)—a relativistic code based on the multiconfiguration Dirac–Hartree–Fock (MCDHF) method. In this work, we investigate the DR of Li-like Ar15+ ions in their ground state (2s), focusing on resonances associated with the fine-structure core excitations 2s1/22p1/2,3/2. The resulting fine-structure-resolved DR resonance strengths and plasma rate coefficients are in good agreement with recent high-resolution DR measurements of Ar15+ ions performed at the Main Cooler Storage Ring (CSRm) in Lanzhou, China. These results provide a stringent benchmark for JAC calculations and support their applicability in plasma modeling. Full article
(This article belongs to the Special Issue Computational Atomic Physics in Astrophysics)
Show Figures

Figure 1

25 pages, 4034 KB  
Article
Estimating Deep Soil Salinity by Inverse Modeling of Loop–Loop Frequency Domain Electromagnetic Induction Data in a Semi-Arid Region: Merguellil (Tunisia)
by Dorsaf Allagui, Julien Guillemoteau and Mohamed Hachicha
Land 2026, 15(1), 32; https://doi.org/10.3390/land15010032 - 23 Dec 2025
Viewed by 509
Abstract
Accumulation of salts in irrigated soils can be detrimental not only to growing crops but also to groundwater quality. Soil salinity should be regularly monitored, and appropriate irrigation at the required leaching rate should be applied to prevent excessive salt accumulation in the [...] Read more.
Accumulation of salts in irrigated soils can be detrimental not only to growing crops but also to groundwater quality. Soil salinity should be regularly monitored, and appropriate irrigation at the required leaching rate should be applied to prevent excessive salt accumulation in the root zone, thereby improving soil fertility and crop production. We combined two frequency domain electromagnetic induction (FD-EMI) mono-channel sensors (EM31 and EM38) and operated them at different heights and with different coil orientations to monitor the vertical distribution of soil salinity in a salt-affected irrigated area in Kairouan (central Tunisia). Multiple measurement heights and coil orientations were used to enhance depth sensitivity and thereby improve salinity predictions from this type of proximal sensor. The resulting multi-configuration FD-EMI datasets were used to derive soil salinity information via inverse modeling with a recently developed in-house laterally constrained inversion (LCI) approach. The collected apparent electrical conductivity (ECa) data were inverted to predict the spatial and temporal distribution of soil salinity. The results highlight several findings about the distribution of salinity in relation to different irrigation systems using brackish water, both in the short and long term. The expected transfer of salinity from the surface to deeper layers was systematically observed by our FD-EMI surveys. However, the intensity and spatial distribution of soil salinity varied between different crops, depending on the frequency and amount of drip or sprinkler irrigation. Furthermore, our results show that vertical salinity transfer is also influenced by the wet or dry season. The study provides insights into the effectiveness of combining two different FD-EMI sensors, EM31 and EM38, for monitoring soil salinity in agricultural areas, thereby contributing to the sustainability of irrigated agricultural production. The inversion approach provides a more detailed representation of soil salinity distribution across spatial and temporal scales at different depths, and across irrigation systems, compared to the classical method based on soil samples and laboratory analysis, which is a point-scale measurement. It provides a more extensive assessment of soil conditions at depths up to 4 m with different irrigation systems. For example, the influence of local drip irrigation was imaged, and the history of a non-irrigated plot was evaluated, confirming the potential of this method. Full article
(This article belongs to the Section Land Use, Impact Assessment and Sustainability)
Show Figures

Figure 1

10 pages, 509 KB  
Article
Energy Levels, Lifetimes, and Transition Properties for N iiiv
by Meichun Li, Juan Du, Kaijian Huang and Wenxian Li
Atoms 2025, 13(6), 49; https://doi.org/10.3390/atoms13060049 - 6 Jun 2025
Viewed by 1613
Abstract
We present excitation energies, transition wavelengths, electric dipole (E1) transition rates, oscillator strengths, line strengths, and lifetimes for the 86 lowest states up to and including 1s22s27f in N iii, the 125 lowest states up [...] Read more.
We present excitation energies, transition wavelengths, electric dipole (E1) transition rates, oscillator strengths, line strengths, and lifetimes for the 86 lowest states up to and including 1s22s27f in N iii, the 125 lowest states up to and including 1s22s7f in N iv, and the 53 lowest states up to 1s28g in N v using the multiconfiguration Dirac–Hartree–Fock (MCDHF) and relativistic configuration interaction (RCI) methods. The computed results are then compared with data from the Atomic Spectra Database of the National Institute of Standards and Technology (NIST-ASD), experimental results, and other theoretical studies. For all levels in N iiiv, the root mean square energy differences from the NIST values are 130, 103, and 6 cm−1, respectively. Compared to previous multiconfiguration Hartree–Fock and the Breit–Pauli (MCHF-BP) calculations, 89.3%, 98.5%, and 100% of the log(gf) values for N iiiv agree within 5%, respectively. Full article
(This article belongs to the Special Issue Atomic and Molecular Data and Their Applications: ICAMDATA 2024)
Show Figures

Figure 1

20 pages, 1096 KB  
Article
Elastic e-Atom Scattering Using Multi-Configuration Dirac–Fock Partial Wave Analysis
by R. Aiswarya and Jobin Jose
Atoms 2025, 13(5), 39; https://doi.org/10.3390/atoms13050039 - 30 Apr 2025
Viewed by 1511
Abstract
A novel scattering formalism, the multi-configuration Dirac–Fock partial wave analysis (MCDF-PWA), is presented in this study. This approach extends the conventional Dirac partial wave analysis by incorporating multiple atomic configurations of the target scatterer. The newly formulated methodology is employed to compute the [...] Read more.
A novel scattering formalism, the multi-configuration Dirac–Fock partial wave analysis (MCDF-PWA), is presented in this study. This approach extends the conventional Dirac partial wave analysis by incorporating multiple atomic configurations of the target scatterer. The newly formulated methodology is employed to compute the cross-sections in elastic e-atom scattering. The analysis is performed for a few atomic targets like Mg, Ca, and Ba. Full article
Show Figures

Figure 1

19 pages, 861 KB  
Article
Prediction of 57Fe Mössbauer Nuclear Quadrupole Splittings with Hybrid and Double-Hybrid Density Functionals
by Yihao Zhang, Haonan Tang and Wenli Zou
Int. J. Mol. Sci. 2025, 26(6), 2821; https://doi.org/10.3390/ijms26062821 - 20 Mar 2025
Viewed by 2139
Abstract
As a crucial parameter in Mössbauer spectroscopy, nuclear quadrupole splitting (NQS) exhibits a strong dependence on quantum chemistry methods, which makes accurate theoretical predictions challenging. Meanwhile, the continuous emergence of new density functionals presents opportunities to advance current NQS research. In this study, [...] Read more.
As a crucial parameter in Mössbauer spectroscopy, nuclear quadrupole splitting (NQS) exhibits a strong dependence on quantum chemistry methods, which makes accurate theoretical predictions challenging. Meanwhile, the continuous emergence of new density functionals presents opportunities to advance current NQS research. In this study, we evaluate the performance of eleven hybrid density functionals and twelve double-hybrid density functionals, selected from widely used functionals and newly developed functionals, in predicting the NQS values of the 57Fe nuclide for 32 iron-containing molecules within about 70 atoms. The calculations have incorporated scalar relativistic effects using the exact two-component (X2C) Hamiltonian. In general, the double-hybrid functional PBE-0DH demonstrates superior performance compared to the experimental values, achieving a mean absolute error (MAE) of 0.20 mm/s. Meanwhile, rSCAN38 is the best hybrid functional for our database with an MAE = 0.25 mm/s, and it offers a significant advantage in computational efficiency over PBE-0DH. The +/ sign of NQS has also been considered in our error statistics when it has a clear physical meaning; if neglected, the errors of many functionals decrease, but PBE-0DH and rSCAN38 remain unaffected. Notably, when calculating ferrocene [Fe(C5H5)2], which involves strong static correlations, all hybrid functionals that incorporate more than 10% exact exchange fail, while several double-hybrid functionals continue to deliver reliable results. In addition, we encountered two particularly challenging species characterized by strong static correlations: [Fe(H2O)5NO]2+ and FeO2-porphyrin. Unfortunately, none of the density functionals tested in our study yielded satisfactory results for the two cases since the density functional theory (DFT) is a single-determinant approach, and it is imperative to explore large-scale multi-configurational methods for these species. This research offers valuable guidance for selecting density functionals in Mössbauer NQS calculations and serves as a reference point for the future development of new density functionals. Full article
Show Figures

Figure 1

14 pages, 749 KB  
Article
Modelling of X-Ray Spectra Originating from the He- and Li-like Ni Ions for Plasma Electron Temperature Diagnostics Purposes
by Karol Kozioł, Andrzej Brosławski and Jacek Rzadkiewicz
Atoms 2025, 13(2), 18; https://doi.org/10.3390/atoms13020018 - 9 Feb 2025
Viewed by 1004
Abstract
The multi-configurational Dirac–Hartree–Fock method has been used to examine the electron correlation effect on wavelengths and transition rates for LK transitions occurring in He- and Li-like nickel ions. The collisional-radiative modelling approach has been used to simulate the X-ray spectra, in [...] Read more.
The multi-configurational Dirac–Hartree–Fock method has been used to examine the electron correlation effect on wavelengths and transition rates for LK transitions occurring in He- and Li-like nickel ions. The collisional-radiative modelling approach has been used to simulate the X-ray spectra, in a 1.585–1.620 Å wavelength range, originating from the He-like nickel ions and their dielectronic Li-, Be-, and B-like satellites for various electron temperature values in the 2 keV to 8 keV range. The presented results may be useful in improving the plasma electron temperature diagnostics based on nickel spectra. Full article
(This article belongs to the Special Issue Atom and Plasma Spectroscopy)
Show Figures

Figure 1

18 pages, 1928 KB  
Article
Calculated Transition Probabilities for Os VI Spectral Lines of Interest to Nuclear Fusion Research
by Maxime Brasseur, Patrick Palmeri and Pascal Quinet
Atoms 2025, 13(2), 11; https://doi.org/10.3390/atoms13020011 - 21 Jan 2025
Viewed by 1196
Abstract
In this work, we present a new set of transition probabilities for experimentally classified spectral lines in the Os VI spectrum. To do this, two independent computational approaches based on the pseudo-relativistic Hartree–Fock, including core polarization effects (HFR+CPOL) and fully relativistic Multiconfiguration Dirac–Hartree–Fock [...] Read more.
In this work, we present a new set of transition probabilities for experimentally classified spectral lines in the Os VI spectrum. To do this, two independent computational approaches based on the pseudo-relativistic Hartree–Fock, including core polarization effects (HFR+CPOL) and fully relativistic Multiconfiguration Dirac–Hartree–Fock (MCDHF) methods, were used, with the detailed comparison of the results obtained with these two approaches allowing us to estimate the quality of the calculated radiative parameters. These atomic data, corresponding to 367 lines of five-times ionized osmium between 438.720 and 1486.275 Å, are expected to be useful for the analysis of the spectra emitted by fusion plasmas in which osmium could appear as a result of transmutation by the neutron bombardment of tungsten used as component of the reactor wall, such as the ITER divertor. Full article
(This article belongs to the Special Issue Atom and Plasma Spectroscopy)
Show Figures

Figure 1

9 pages, 1256 KB  
Article
Double and Triple Photoionization of CCl4
by Antônio Carlos Fontes dos Santos, Joselito Barbosa Maciel, Alexandre Braga Rocha and Gerardo Gerson Bezerra de Souza
Atoms 2024, 12(12), 74; https://doi.org/10.3390/atoms12120074 - 21 Dec 2024
Cited by 1 | Viewed by 1212
Abstract
(1) Background: Fragmentation after double and triple photoionization of the CCl4 molecule in the valence, Cl 2p, and C 1s regions have been reported; (2) Methods: We have used photoion-photoion (PIPICO) coincidence technique combined with synchrotron radiation. In addition, [...] Read more.
(1) Background: Fragmentation after double and triple photoionization of the CCl4 molecule in the valence, Cl 2p, and C 1s regions have been reported; (2) Methods: We have used photoion-photoion (PIPICO) coincidence technique combined with synchrotron radiation. In addition, ab initio quantum mechanical calculations were done at multiconfigurational self-consistent and multireference configuration interaction to describe ground and inner-shell states; (3) Results: We have observed coincidences involving singly and doubly charged fragments coming from the doubly and triply ionized molecule. We have also found a well agreement between the quantum mechanical calculations and the total ion yield spectrum. It is shown that the Cl+ ion is the predominant product resulting from the fragmentation of the doubly and triply charged CCl4 molecule. The CCl+ + Cl+ pair is the dominant coincidence in the spectra from valence up to the C 1s edge; (4) Conclusions: The kinetic energy of the fragments is compatible with the Coulomb explosion model. Full article
(This article belongs to the Section Atomic, Molecular and Nuclear Spectroscopy and Collisions)
Show Figures

Figure 1

17 pages, 6807 KB  
Article
Many-Body Effects in a Composite Bosonic Josephson Junction
by Sudip Kumar Haldar and Anal Bhowmik
Atoms 2024, 12(12), 66; https://doi.org/10.3390/atoms12120066 - 11 Dec 2024
Cited by 3 | Viewed by 1343
Abstract
In standard bosonic Josephson junctions (BJJs), particles tunnel between two single-well potentials linked by a finite barrier. The dynamics of standard BJJs have been extensively studied, both at the many-body and mean-field levels of theory. In the present work, we introduce the concept [...] Read more.
In standard bosonic Josephson junctions (BJJs), particles tunnel between two single-well potentials linked by a finite barrier. The dynamics of standard BJJs have been extensively studied, both at the many-body and mean-field levels of theory. In the present work, we introduce the concept of a composite BJJ. In a composite BJJ, particles tunnel between two double-well potentials linked by a finite potential barrier between them. We focused on the many-body facets of quantum dynamics and investigate how the complex structure of the junction influences the tunneling. Employing the multiconfigurational time-dependent Hartree method for bosons, highly accurate many-boson wavefunctions were obtained, from which properties were computed. We analyzed the dynamics using the survival probability, the degree of fragmentation of the junction, and the fluctuations of the observables, and discuss how the many-boson tunneling behaved, and how it may be controlled, using the composite nature of the junction. A central result of this work relates to the degree of fragmentation of composite BJJs with different numbers of bosons. We provide strong evidence that a universal degree of fragmentation into multiple time-dependent modes takes place. Further applications are briefly discussed. Full article
(This article belongs to the Section Cold Atoms, Quantum Gases and Bose-Einstein Condensation)
Show Figures

Figure 1

26 pages, 3162 KB  
Article
Ab Initio Manganese Kα and Kβ Energy Eigenvalues, Shake-Off Probabilities, Auger Rates, with Convergence Tests
by Jonathan William Dean, Scott Neil Thompson and Christopher Thomas Chantler
Molecules 2024, 29(17), 4199; https://doi.org/10.3390/molecules29174199 - 4 Sep 2024
Cited by 5 | Viewed by 1638
Abstract
This work presents ab initio calculations for the Kα spectrum of manganese (Z = 25, [Ar]3d54s2), a highly complex system due to the five open orbitals in the 3d shell. The spectrum is composed [...] Read more.
This work presents ab initio calculations for the Kα spectrum of manganese (Z = 25, [Ar]3d54s2), a highly complex system due to the five open orbitals in the 3d shell. The spectrum is composed of the canonical diagram line [1s][2p] and shake-off satellite lines [1snl][2pnl] (nl{2s,2p,3s,3p,3d,4s}), where square brackets denote a hole state. The multiconfiguration Dirac–Hartree–Fock method with the active set approach provides the initial and final atomic wavefunctions. Results are presented as energy eigenvalue spectra for the diagram and satellite transitions. The calculated wavefunctions include over one hundred million configuration state functions and over 280,000 independent transition energies for the seven sets of spectra considered. Shake-off probabilities and Auger transition rates determine satellite intensities. The number of configuration state functions ensures highly-converged wavefunctions. Several measures of convergence demonstrate convergence in the calculated parameters. We obtain convergence of the transition energies in all eight transitions to within 0.06 eV and shake-off probabilities to within 4.5%. Full article
(This article belongs to the Special Issue Molecular Spectroscopy in Applied Chemistry)
Show Figures

Figure 1

24 pages, 10559 KB  
Article
A Hierarchical Control Method for Trajectory Tracking of Aerial Manipulators Arms
by Haoze Zhuo, Zhong Yang, Yulong You, Nuo Xu, Luwei Liao, Jiying Wu and Jiahui He
Actuators 2024, 13(9), 333; https://doi.org/10.3390/act13090333 - 2 Sep 2024
Cited by 5 | Viewed by 1923
Abstract
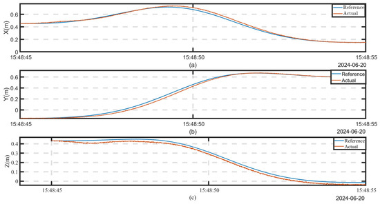
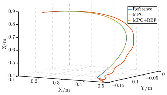
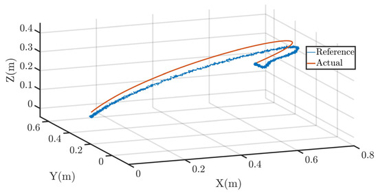
To address the control challenges of an aerial manipulator arm (AMA) mounted on a drone under conditions of model inaccuracy and strong disturbances, this paper proposes a hierarchical control architecture. In the upper-level control, Bézier curves are first used to generate smooth and [...] Read more.
To address the control challenges of an aerial manipulator arm (AMA) mounted on a drone under conditions of model inaccuracy and strong disturbances, this paper proposes a hierarchical control architecture. In the upper-level control, Bézier curves are first used to generate smooth and continuous desired trajectory points, and the theory of singular trajectory lines along with a Radial Basis Function Neural Network (RBFNN) is introduced to construct a highly accurate multi-configuration inverse kinematic solver. This solver not only effectively avoids singular solutions but also enhances its precision online through data-driven methods, ensuring the accurate calculation of joint angles. The lower-level control focuses on optimizing the dynamic model of the manipulator. Using a Model Predictive Control (MPC) strategy, the dynamic behavior of the manipulator is predicted, and a rolling optimization process is executed to solve for the optimal control sequence. To enhance system robustness, an RBFNN is specifically introduced to compensate for external disturbances, ensuring that the manipulator maintains stable performance in dynamic environments and computes the optimal control commands. Physical prototype testing results show that this control strategy achieves a root mean square (RMS) error of 0.035, demonstrating the adaptability and disturbance rejection capabilities of the proposed method. Full article
(This article belongs to the Section Control Systems)
Show Figures

Figure 1

9 pages, 926 KB  
Article
Testing the Pauli Exclusion Principle across the Periodic Table with the VIP-3 Experiment
by Simone Manti, Massimiliano Bazzi, Nicola Bortolotti, Cesidio Capoccia, Michael Cargnelli, Alberto Clozza, Luca De Paolis, Carlo Fiorini, Carlo Guaraldo, Mihail Iliescu, Matthias Laubenstein, Johann Marton, Fabrizio Napolitano, Kristian Piscicchia, Alessio Porcelli, Alessandro Scordo, Francesco Sgaramella, Diana Laura Sirghi, Florin Sirghi, Oton Vazquez Doce, Johann Zmeskal and Catalina Curceanuadd Show full author list remove Hide full author list
Entropy 2024, 26(9), 752; https://doi.org/10.3390/e26090752 - 2 Sep 2024
Cited by 1 | Viewed by 2702
Abstract
The Pauli exclusion principle (PEP), a cornerstone of quantum mechanics and whole science, states that in a system, two fermions can not simultaneously occupy the same quantum state. Several experimental tests have been performed to place increasingly stringent bounds on the validity of [...] Read more.
The Pauli exclusion principle (PEP), a cornerstone of quantum mechanics and whole science, states that in a system, two fermions can not simultaneously occupy the same quantum state. Several experimental tests have been performed to place increasingly stringent bounds on the validity of PEP. Among these, the series of VIP experiments, performed at the Gran Sasso Underground National Laboratory of INFN, is searching for PEP-violating atomic X-ray transitions in copper. In this paper, the upgraded VIP-3 setup is described, designed to extend these investigations to higher-Z elements such as zirconium, silver, palladium, and tin. We detail the enhanced design of this setup, including the implementation of cutting-edge, 1 mm thick, silicon drift detectors, which significantly improve the measurement sensitivity at higher energies. Additionally, we present calculations of expected PEP-violating energy shifts in the characteristic lines of these elements, performed using the multi-configurational Dirac–Fock method from first principles. The VIP-3 realization will contribute to ongoing research into PEP violation for different elements, offering new insights and directions for future studies. Full article
Show Figures

Figure 1

11 pages, 2412 KB  
Article
A Collisional-Radiative Model for Kr III Ions
by Shikha Rathi and Lalita Sharma
Atoms 2024, 12(8), 39; https://doi.org/10.3390/atoms12080039 - 29 Jul 2024
Cited by 2 | Viewed by 1722
Abstract
A collisional radiative model for Kr III in the ultraviolet regime is developed. For this purpose, atomic parameters for 4s24p4, 4s4p5, 4s24p3nl, and [...] Read more.
A collisional radiative model for Kr III in the ultraviolet regime is developed. For this purpose, atomic parameters for 4s24p4, 4s4p5, 4s24p3nl, and 4s24p35d configurations with n ranging from 5 to 7 and l=s,p, using the multiconfiguration Dirac–Hatree–Fock method are calculated. The effects of Breit and radiative quantum electrodynamic corrections are also included. Electron impact excitation cross-sections from the ground state, along with four metastable states arising from the 4s24p4 configuration to all fine structure levels of interest, are calculated using the relativistic distorted wave method. The reliability of the model is tested by comparing the predicted results with the previous measurements. Full article
(This article belongs to the Section Atomic, Molecular and Nuclear Spectroscopy and Collisions)
Show Figures

Figure 1

30 pages, 5766 KB  
Article
Reliability Optimization Design of Constrained Metamorphic Mechanism Based on the Augmented Assur Groups
by Qiang Yang, Hongxiang Zhang, Benqi Sun, Yuan Gao and Xin Zhao
Appl. Sci. 2024, 14(15), 6524; https://doi.org/10.3390/app14156524 - 26 Jul 2024
Cited by 1 | Viewed by 1445
Abstract
In order to obtain stable and reliable configuration transformation ability, reliability optimization design is regarded as an effective way to reduce the probability of kinematic function failure for the constrained metamorphic mechanism. Based on the structural composition principle of multi-configuration source metamorphic mechanism [...] Read more.
In order to obtain stable and reliable configuration transformation ability, reliability optimization design is regarded as an effective way to reduce the probability of kinematic function failure for the constrained metamorphic mechanism. Based on the structural composition principle of multi-configuration source metamorphic mechanism that can operate in an under-actuated state, the modularized calculation methods are established for the force analysis of augmented Assur groups including metamorphic kinematic joints. According to the equivalent resistance gradient model of metamorphic mechanisms, with considering the uncertainties in the link dimensions, masses, and compliance parameters et al., a probabilistic evaluation method for describing the configuration transformation ability of the constrained metamorphic mechanism is established. Based on reliability evaluation and reliability sensitivity analysis, a reliability optimization design method for improving the configuration transformation ability is proposed, and then the optimization design is carried out for tolerances of random variables focusing on those structural parameters with higher reliability sensitivity, so that the optimized results can satisfy the requirements of both reliability and economic simultaneously. Finally, the feasibility and effectiveness of the proposed method is verified by the illustration of a paper folding metamorphic mechanism. The research provides the foundation of reliability design of metamorphic mechanisms to obtain the high-probability repeated execution ability of configuration transformation, it also has theoretical and practical significance to promote the engineering application of metamorphic mechanisms. Full article
(This article belongs to the Special Issue Structural Optimization Methods and Applications, 2nd Edition)
Show Figures

Figure 1

15 pages, 586 KB  
Article
State-to-State Rate Constants for the O(3P)H2(v) System: Quasiclassical Trajectory Calculations
by Alexey V. Pelevkin, Ilya V. Arsentiev, Ilya N. Kadochnikov, Ivan A. Zubrilin, Evgeny P. Filinov and Denis V. Yakushkin
Fire 2024, 7(7), 220; https://doi.org/10.3390/fire7070220 - 28 Jun 2024
Viewed by 2127
Abstract
The rate constants of elementary processes in the atom–diatom system O(3P)+H2(v), including the processes of vibrational relaxation and dissociation, were studied using the quasiclassical trajectory method. All calculations were carried out along [...] Read more.
The rate constants of elementary processes in the atom–diatom system O(3P)+H2(v), including the processes of vibrational relaxation and dissociation, were studied using the quasiclassical trajectory method. All calculations were carried out along the ground potential energy surface (PES) 3A that was approximated by a neural network. Approximation data were obtained using ab initio quantum chemistry methods at the extended multi-configuration quasi-degenerate second-order perturbation theory XMCQDPT2 in a basis set limit. The calculated cross-sections of the reaction channels are in good agreement with the literature data. A complete set of state-to-state rate constants was obtained for the metathesis reaction, the dissociation and relaxation of the H2 molecule upon collision with an O atom. According to these data, Arrhenius approximations over a wide temperature range were obtained for the thermal rate constants of considered processes. Data obtained on the dissociation constants and VT relaxation of vibrationally excited H2 molecules can be used in constructing kinetic models describing the oxidation of hydrogen at high temperatures or highly nonequilibrium conditions. Full article
(This article belongs to the Special Issue State-of-the-Art on Hydrogen Combustion)
Show Figures

Figure 1

Back to TopTop