Sign in to use this feature.

Years

Between: -

Subjects

remove_circle_outline
remove_circle_outline
remove_circle_outline
remove_circle_outline
remove_circle_outline
remove_circle_outline
remove_circle_outline
remove_circle_outline
remove_circle_outline

Journals

Article Types

Countries / Regions

Search Results (51)

Search Parameters:
Keywords = multi-scalar management

Order results
Result details
Results per page
Select all
Export citation of selected articles as:
21 pages, 2881 KB  
Review
Understanding South Africa’s Flood Vulnerabilities and Resilience Pathways: A Comprehensive Overview
by Nicholas Byaruhanga, Daniel Kibirige and Glen Mkhonta
Water 2025, 17(17), 2608; https://doi.org/10.3390/w17172608 - 3 Sep 2025
Viewed by 2348
Abstract
This review examines South Africa’s escalating flood vulnerability through a synthesis of over 80 peer-reviewed articles, historical records, policy reports, and case studies. Using a PRISMA-guided analysis, the study identifies key climatic drivers, including extreme rainfall from tropical–temperate interactions, cut-off lows, and La [...] Read more.
This review examines South Africa’s escalating flood vulnerability through a synthesis of over 80 peer-reviewed articles, historical records, policy reports, and case studies. Using a PRISMA-guided analysis, the study identifies key climatic drivers, including extreme rainfall from tropical–temperate interactions, cut-off lows, and La Niña conditions that interact with structural weaknesses such as inadequate drainage, poorly maintained stormwater systems, and rapid urban expansion. Apartheid-era spatial planning has further entrenched risk by locating marginalised communities in floodplains. Governance failures like weak disaster risk reduction (DRR) policies, fragmented institutional coordination, and insufficient early warning systems intensify flood vulnerabilities. Catastrophic events in KwaZulu-Natal (KZN) and the Western Cape (WC) illustrate the consequences exemplified by the April 2022 KZN floods alone, which caused over 450 deaths, displaced more than 40,000 people, and generated damages exceeding ZAR 17 billion. Nationally, more than 1500 flood-related fatalities have been documented in the past two decades. Emerging resilience pathways include ecosystem-based adaptation, green infrastructure, participatory governance, integration of Indigenous knowledge, improved hydrological forecasting, and stricter land-use enforcement. These approaches can simultaneously reduce physical risks and address entrenched socio-economic inequalities. However, significant gaps remain in spatial flood modelling, gender-sensitive responses, urban–rural disparities, and policy implementation. The review concludes that South Africa urgently requires integrated, multi-scalar strategies that combine scientific innovation, policy reform, and community-based action. Embedding these insights into disaster management policy and planning is essential to curb escalating losses and build long-term resilience in the face of climate change. Full article
Show Figures

Figure 1

55 pages, 5431 KB  
Review
Integration of Drones in Landscape Research: Technological Approaches and Applications
by Ayşe Karahan, Neslihan Demircan, Mustafa Özgeriş, Oğuz Gökçe and Faris Karahan
Drones 2025, 9(9), 603; https://doi.org/10.3390/drones9090603 - 26 Aug 2025
Viewed by 2068
Abstract
Drones have rapidly emerged as transformative tools in landscape research, enabling high-resolution spatial data acquisition, real-time environmental monitoring, and advanced modelling that surpass the limitations of traditional methodologies. This scoping review systematically explores and synthesises the technological applications of drones within the context [...] Read more.
Drones have rapidly emerged as transformative tools in landscape research, enabling high-resolution spatial data acquisition, real-time environmental monitoring, and advanced modelling that surpass the limitations of traditional methodologies. This scoping review systematically explores and synthesises the technological applications of drones within the context of landscape studies, addressing a significant gap in the integration of Uncrewed Aerial Systems (UASs) into environmental and spatial planning disciplines. The study investigates the typologies of drone platforms—including fixed-wing, rotary-wing, and hybrid systems—alongside a detailed examination of sensor technologies such as RGB, LiDAR, multispectral, and hyperspectral imaging. Following the PRISMA-ScR (Preferred Reporting Items for Systematic Reviews and Meta-Analyses extension for Scoping Reviews) guidelines, a comprehensive literature search was conducted across Scopus, Web of Science, and Google Scholar, utilising predefined inclusion and exclusion criteria. The findings reveal that drone technologies are predominantly applied in mapping and modelling, vegetation and biodiversity analysis, water resource management, urban planning, cultural heritage documentation, and sustainable tourism development. Notably, vegetation analysis and water management have shown a remarkable surge in application over the past five years, highlighting global shifts towards sustainability-focused landscape interventions. These applications are critically evaluated in terms of spatial efficiency, operational flexibility, and interdisciplinary relevance. This review concludes that integrating drones with Geographic Information Systems (GISs), artificial intelligence (AI), and remote sensing frameworks substantially enhances analytical capacity, supports climate-resilient landscape planning, and offers novel pathways for multi-scalar environmental research and practice. Full article
(This article belongs to the Special Issue Drones for Green Areas, Green Infrastructure and Landscape Monitoring)
Show Figures

Figure 1

19 pages, 1561 KB  
Review
Inequalities in Drinking Water Access in Piura (Peru): Territorial Diagnosis and Governance Challenges
by Eduardo Alonso Sánchez Ruiz, Lázaro V. Cremades and Stephanie Villanueva Benites
Sustainability 2025, 17(16), 7542; https://doi.org/10.3390/su17167542 - 21 Aug 2025
Viewed by 1740
Abstract
Latin American countries continue to face critical challenges in ensuring safe and continuous access to drinking water, particularly in rural and peri-urban areas. This article presents a territorial and institutional diagnosis of drinking water access in the Piura region (Peru). It is a [...] Read more.
Latin American countries continue to face critical challenges in ensuring safe and continuous access to drinking water, particularly in rural and peri-urban areas. This article presents a territorial and institutional diagnosis of drinking water access in the Piura region (Peru). It is a coastal region with approximately 2 million inhabitants, characterized by environmental stress, governance fragmentation, and social inequality. The study adopts a structural documentary approach based on academic literature and validated institutional data to analyze spatial disparities in water coverage, continuity, and quality. It identifies structural and institutional barriers—such as overlapping mandates, limited local capacity, and the absence of monitoring systems—to universal access. The findings also highlight the limitations of isolated innovation efforts, such as pilot projects led by universities and private companies, which often lack mechanisms for institutional integration and policy scaling. The analysis is framed within international water governance frameworks, including the OECD Principles and the Integrated Water Resources Management paradigm, and aligns with Sustainable Development Goal 6. The study offers a multi-scalar perspective grounded in local realities and identifies governance research gaps in rural Peru. Results underscore the need for territorialized planning, strengthened coordination, and inclusive governance to achieve sustainable and equitable water access in fragile contexts. Full article
(This article belongs to the Section Sustainable Water Management)
Show Figures

Figure 1

47 pages, 1179 KB  
Article
Rethinking Sustainable Operations: A Multi-Level Integration of Circularity, Localization, and Digital Resilience in Manufacturing Systems
by Antonius Setyadi, Suharno Pawirosumarto and Alana Damaris
Sustainability 2025, 17(15), 6929; https://doi.org/10.3390/su17156929 - 30 Jul 2025
Cited by 1 | Viewed by 1859
Abstract
The escalating climate crisis and global disruptions have prompted a critical re-evaluation of operations management within manufacturing and supply systems. This conceptual article addresses the theoretical and strategic gap in aligning resilience and sustainability by proposing an Integrated Sustainable Operational Strategy (ISOS) framework. [...] Read more.
The escalating climate crisis and global disruptions have prompted a critical re-evaluation of operations management within manufacturing and supply systems. This conceptual article addresses the theoretical and strategic gap in aligning resilience and sustainability by proposing an Integrated Sustainable Operational Strategy (ISOS) framework. Drawing on systems theory, circular economy principles, and sustainability science, the framework synthesizes multiple operational domains—circularity, localization, digital adaptation, and workforce flexibility—across macro (policy), meso (organizational), and micro (process) levels. This study constructs a conceptual model that explains the interdependencies and trade-offs among strategic operational responses in the Anthropocene era. Supported by multi-level logic and a synthesis of domain constructs, the model provides a foundation for empirical investigation and strategic planning. Key propositions for future research are developed, focusing on causal relationships and boundary conditions. The novelty of ISOS lies in its simultaneous integration of three strategic pillars—circularity, localization, and digital resilience—within a unified, multi-scalar architecture that bridges fragmented operational theories. The article advances theory by redefining operational excellence through regenerative logic and adaptive capacity, responding directly to SDG 9 (industry innovation), SDG 12 (responsible consumption and production), and SDG 13 (climate action). This integrative framework offers both theoretical insight and practical guidance for transforming operations into catalysts of sustainable transition. Full article
Show Figures

Figure 1

38 pages, 1394 KB  
Article
A Ladder of Urban Resilience: An Evolutionary Framework for Transformative Governance of Communities Facing Chronic Crises
by Dario Esposito
Sustainability 2025, 17(13), 6010; https://doi.org/10.3390/su17136010 - 30 Jun 2025
Viewed by 1643
Abstract
This paper explores the concept of evolutionary urban resilience by framing cities as complex, open, and adaptive Social-Ecological-Technological Systems (SETS), shaped by multi-scalar dynamics, systemic uncertainty, and interdependent crises. It challenges the reductionist view of resilience as a fixed capacity or linear sequence [...] Read more.
This paper explores the concept of evolutionary urban resilience by framing cities as complex, open, and adaptive Social-Ecological-Technological Systems (SETS), shaped by multi-scalar dynamics, systemic uncertainty, and interdependent crises. It challenges the reductionist view of resilience as a fixed capacity or linear sequence of risk management phases, and instead proposes a process-based paradigm rooted in learning, creativity, and the ability to navigate disequilibrium. The framework defines urban resilience as a continuous and iterative transformation process, supported by: (i) a combination of tangible and intangible qualities activated according to problem typology; (ii) cross-domain processes involving infrastructures, flows, governance, networks, and community dynamics; and (iii) the engagement of diverse agents in shared decision-making and coordinated action. These dimensions unfold across three incremental and interdependent scenarios—baseline, critical, and chronic crisis—forming a ladder of resilience that guides communities through escalating challenges. Special emphasis is placed on the role of Information and Communication Technologies (ICTs) as relational and adaptive tools enabling distributed intelligence and inclusive governance. The framework also outlines concrete operational and policy implications for cities aiming to build anticipatory and transformative resilience capacities. Applied to the case of Taranto, the approach offers insights into how structurally fragile communities facing conflicting adaptive trajectories can unlock transformative potential. Ultimately, the paper calls for a shift from government to governance, from control to co-creation, and from reactive adaptation to chaos generativity, recasting urban resilience as an evolving project of collective agency, systemic reconfiguration, and co-production of emergent urban futures. Full article
Show Figures

Figure 1

30 pages, 3320 KB  
Article
Environmental and Cultural Tourism in Heritage-Led Regions—Performance Assessment of Cultural-Ecological Complexes Using Multivariate Data Envelopment Analysis
by Karima Kourtit, Peter Nijkamp and Soushi Suzuki
Sustainability 2025, 17(13), 5871; https://doi.org/10.3390/su17135871 - 26 Jun 2025
Cited by 2 | Viewed by 2098
Abstract
Cultural and ecological heritage is often an essential ingredient for sustainable urban and regional regeneration and needs to be properly managed for an environment-benign development. Many heritage-led areas in Europe, named here ‘cultural-ecological complexes’ (CECs), seek a sustainable, regenerative, and actionable strategy. Our [...] Read more.
Cultural and ecological heritage is often an essential ingredient for sustainable urban and regional regeneration and needs to be properly managed for an environment-benign development. Many heritage-led areas in Europe, named here ‘cultural-ecological complexes’ (CECs), seek a sustainable, regenerative, and actionable strategy. Our study aims to identify successful CECs from the viewpoint of their transformative cultural potential, assessed through surveys among visitors and residents. The research focuses on the assessment of seven Cultural-Ecological Complexes (CECs) in Europe: Karlsborg (Sweden), Mark (Sweden), Larnaca (Cyprus), Basilicata (Italy), Huesca (Spain), Vojvodina (Serbia), and Sibiu (Romania/Moldova). The European areas under study are selected on the basis of their transformative cultural tourism profile and potential, with the aim of tracing a balanced, sustainable development and a positive regenerative or circular transition. Each CEC was analyzed based on its transformative cultural potential and sustainability impact using multivariate Data Envelopment Analysis (DEA). Each region under consideration comprises a set of ‘information agents’, in particular visitors and residents, who may be regarded as informal stakeholders providing crucial or decisive information and guidelines on the sustainability situation in the region and on ways to proceed to transformative cultural tourism. This novel approach is essentially a form of citizen-based or agent-based co-creation. In our study, empirical information on the perceptions, preferences, and involvement of such agents was collected through systematically structured and consistently administered surveys among hundreds of participants (visitors, residents, etc.) in seven CECs in Europe. The research methodology is based on a blend of multivariate statistics (in particular, Principal Component Analysis—PCA) and spatial efficiency analysis (using Data Envelopment Analysis—DEA). The agents in each region are conceived of as spatial decision-making units (DMUs) in a DEA framework. Our DEA assessment model contains a multiscalar structure organized in a cascadic and interactive form with two constituents, namely cultural-ecological areas (CECs) and place-based information agents. The findings from this novel Multivariate DEA provide generic directives for an enhancement of the cultural-ecological performance for CECs and offer quantitative information for place-based efficiency-improving strategies of CECs in various contexts. Full article
(This article belongs to the Special Issue Urban Green Areas: Benefits, Design and Management Strategies)
Show Figures

Figure 1

25 pages, 1008 KB  
Article
Understand the Changes in Motivation at Work: Empirical Studies Using Self-Determination Theory-Based Interventions
by Zheni Wang and Melanie Briand
Behav. Sci. 2025, 15(7), 864; https://doi.org/10.3390/bs15070864 - 25 Jun 2025
Viewed by 2365
Abstract
Managers often need to stay motivated and effectively motivate others. Therefore, they should rely on evidence-based interventions to effectively motivate and self-motivate. This research investigated how self-determination theory-based interventions affect employees’ motivation dynamics and motivational consequences within short time frames (i.e., within an [...] Read more.
Managers often need to stay motivated and effectively motivate others. Therefore, they should rely on evidence-based interventions to effectively motivate and self-motivate. This research investigated how self-determination theory-based interventions affect employees’ motivation dynamics and motivational consequences within short time frames (i.e., within an hour, within a few weeks or months) in two empirical studies. Study one focused on assessing the effectiveness of a one-day training workshop in helping to improve managers’ work motivation, basic psychological needs satisfaction/frustration, subordinates’ motivation, and perceptions of managers’ needs-supportive/thwarting behaviors within a few weeks. Results support the effectiveness of the training, as managers were rated by their direct subordinates as having fewer needs-thwarting behaviors and reported self-improvement in needs satisfaction and frustration six weeks after completing the training program. Study two used the mean and covariance structure analysis and tested the impact of three types of basic psychological needs-supportive/thwarting and control conditions (3 × 2 × 1 factorial design) on participants’ situational motivation, vitality, and general self-efficacy for playing online word games within 30 min. Multi-group confirmatory factor analysis (CFA) confirmed the scalar measurement invariance, then latent group mean comparison results show consistently lower controlled motivation across the experimental conditions. During a quick online working scenario, the theory-based momentary intervention effectively changed situational extrinsic self-regulation in participants. Supplementary structural equation modeling (SEM; cross-sectional) analyses using experience samples supported the indirect dual-path model from basic needs satisfaction to vitality and general efficacy via situational motivation. We discussed the theoretical implications of the temporal properties of work motivation, the practical implications for employee training, and the limitations. Full article
(This article belongs to the Special Issue Work Motivation, Engagement, and Psychological Health)
Show Figures

Figure 1

24 pages, 2772 KB  
Article
Multi-Agent Deep Reinforcement Learning for Scheduling of Energy Storage System in Microgrids
by Sang-Woo Jung, Yoon-Young An, BeomKyu Suh, YongBeom Park, Jian Kim and Ki-Il Kim
Mathematics 2025, 13(12), 1999; https://doi.org/10.3390/math13121999 - 17 Jun 2025
Cited by 3 | Viewed by 2431
Abstract
Efficient scheduling of Energy Storage Systems (ESS) within microgrids has emerged as a critical issue to ensure energy cost reduction, peak shaving, and battery health management. For ESS scheduling, both single-agent and multi-agent deep reinforcement learning (DRL) approaches have been explored. However, the [...] Read more.
Efficient scheduling of Energy Storage Systems (ESS) within microgrids has emerged as a critical issue to ensure energy cost reduction, peak shaving, and battery health management. For ESS scheduling, both single-agent and multi-agent deep reinforcement learning (DRL) approaches have been explored. However, the former has suffered from scalability to include multiple objectives while the latter lacks comprehensive consideration of diverse user objectives. To defeat the above issues, in this paper, we propose a new DRL-based scheduling algorithm using a multi-agent proximal policy optimization (MAPPO) framework that is combined with Pareto optimization. The proposed model employs two independent agents: one is to minimize electricity costs and the other does charge/discharge switching frequency to account for battery degradation. The candidate actions generated by the agents are evaluated through Pareto dominance, and the final action is selected via scalarization-reflecting operator-defined preferences. The simulation experiments were conducted using real industrial building load and photovoltaic (PV) generation data under realistic South Korean electricity tariff structures. The comparative evaluations against baseline DRL algorithms (TD3, SAC, PPO) demonstrate that the proposed MAPPO method significantly reduces electricity costs while minimizing battery-switching events. Furthermore, the results highlight that the proposed method achieves a balanced improvement in both economic efficiency and battery longevity, making it highly applicable to real-world dynamic microgrid environments. Specifically, the proposed MAPPO-based scheduling achieved a total electricity cost reduction of 14.68% compared to the No-ESS case and achieved 3.56% greater cost savings than other baseline reinforcement learning algorithms. Full article
(This article belongs to the Special Issue Artificial Intelligence and Optimization in Engineering Applications)
Show Figures

Figure 1

23 pages, 7168 KB  
Article
Nature-Based Solutions for Stormwater Management: Co-Creating a Multiscalar Proposal in the Global South
by Fabiano Lemes de Oliveira, Maria do Carmo de Lima Bezerra, Orlando Vinicius Rangel Nunes, Enzo D’Angelo Arruda Duarte, Anna Giulia Castaldo and Davi Navarro de Almeida
Land 2025, 14(4), 740; https://doi.org/10.3390/land14040740 - 30 Mar 2025
Cited by 1 | Viewed by 2622
Abstract
This article examines the application of nature-based solutions in stormwater management in the context of the Global South, focusing on a co-created green infrastructure plan and a pilot intervention project in the city of Paranoá-DF, Brazil. Urban challenges such as extreme floods, droughts, [...] Read more.
This article examines the application of nature-based solutions in stormwater management in the context of the Global South, focusing on a co-created green infrastructure plan and a pilot intervention project in the city of Paranoá-DF, Brazil. Urban challenges such as extreme floods, droughts, landslides, heatwaves, and biodiversity loss call for innovative planning strategies to enhance adaptation and resilience. The research methodology combined technical analyses, field work, community participation, and stormwater runoff modelling to develop integrated and culturally sensitive solutions to the city’s environmental and socio-economic challenges. This article then presents the outcomes of the community-based participatory workshops, which informed the definition of a green and blue infrastructure network incorporating a range of NBS. Community-identified priorities were used to design urban landscape interventions aimed at enhancing water-related ecosystem services and improving quality of life. Additionally, and supported by hydrological modelling, this article details a localised landscape intervention project that provides new perspectives on urban resilience in this context. Acknowledging the unique challenges faced by cities in the Global South—where social inequities and infrastructure deficits intersect with environmental vulnerabilities—this study highlights the importance of adapting NBS to the contexts of precarious urbanisation patterns. With hydrological stress expected to intensify under climate change, the proposed solutions address the heightened risks faced by low- and middle-income households, promoting more equitable and sustainable urban transformations. Full article
Show Figures

Figure 1

16 pages, 4063 KB  
Review
A Bibliometric Review and Interdisciplinary Analysis of the Brahmaputra River
by Yisha Ma and Tao Song
Water 2024, 16(21), 3115; https://doi.org/10.3390/w16213115 - 31 Oct 2024
Cited by 1 | Viewed by 1767 | Correction
Abstract
In this study, we visualize and analyze the literature on the Brahmaputra river using a spectral clustering algorithm, tracking research trends over time. We found that the focus of research on the Brahmaputra has changed over time in the last decade, with a [...] Read more.
In this study, we visualize and analyze the literature on the Brahmaputra river using a spectral clustering algorithm, tracking research trends over time. We found that the focus of research on the Brahmaputra has changed over time in the last decade, with a shift from geology to hydrology and geochemistry and a rapid growth in climate change research in recent years. In the future, potential hot topics may be “water resource management” and other topics related to transboundary water resource management and cooperation. At the same time, this study also analyzes in detail the keywords and clusters “geohydrology” and “ecological risk and sustainable development”, among other topics. We believe that future research should carefully consider the potential effects of transdisciplinary research trends. For instance, it is urgent that transborder governance and management regimes be renovated through joint efforts and cross-border effective actions carried out by multifaceted and multi-scalar agencies along this river. Full article
Show Figures

Figure 1

34 pages, 6363 KB  
Article
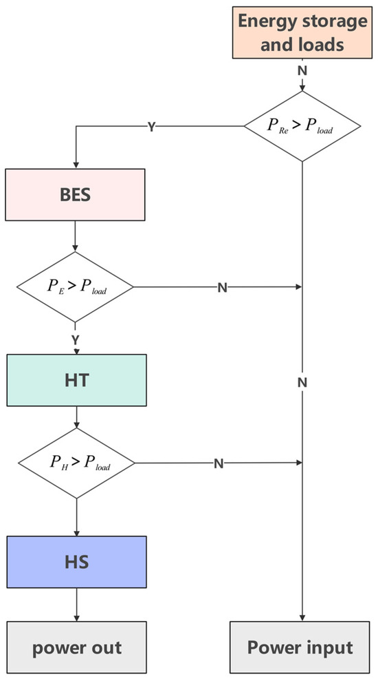
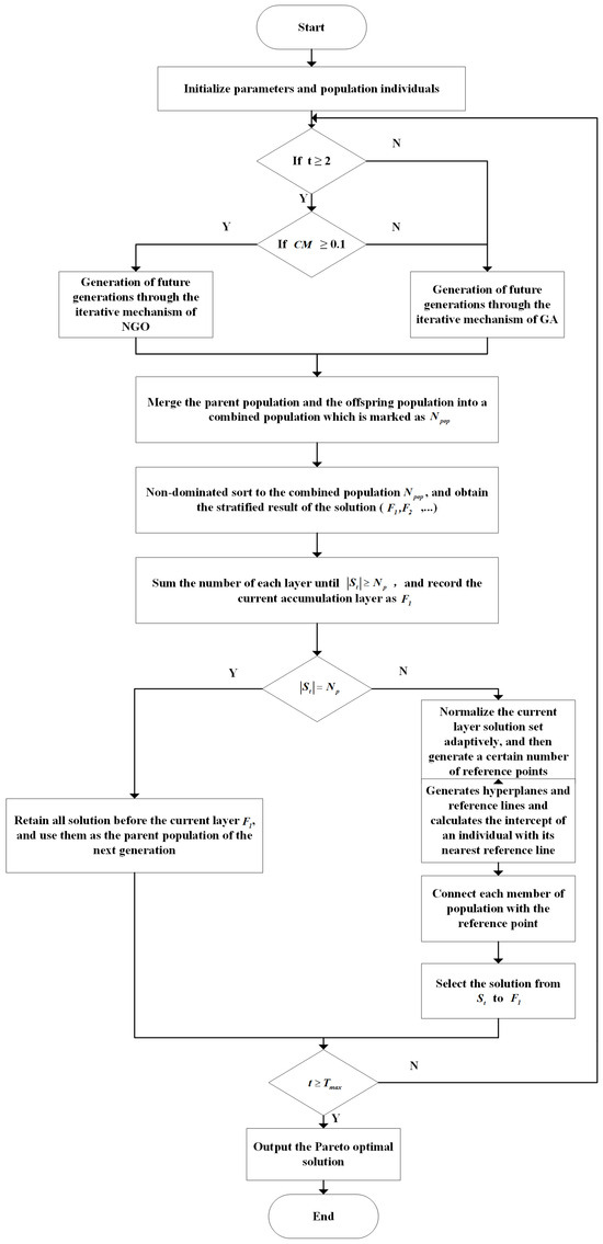
Capacity Optimization Allocation of Multi-Energy-Coupled Integrated Energy System Based on Energy Storage Priority Strategy
by Xiang Liao, Runjie Lei, Shuo Ouyang and Wei Huang
Energies 2024, 17(21), 5261; https://doi.org/10.3390/en17215261 - 22 Oct 2024
Cited by 3 | Viewed by 1401
Abstract
As the global focus on environmental conservation and energy stability intensifies, enhancing energy efficiency and mitigating pollution emissions have emerged as pivotal issues that cannot be overlooked. In order to make a multi-energy-coupled integrated energy system (IES) that can meet the demand of [...] Read more.
As the global focus on environmental conservation and energy stability intensifies, enhancing energy efficiency and mitigating pollution emissions have emerged as pivotal issues that cannot be overlooked. In order to make a multi-energy-coupled integrated energy system (IES) that can meet the demand of load diversity under low-carbon economic operation, an optimal capacity allocation model of an electricity–heat–hydrogen multi-energy-coupled IES is proposed, with the objectives of minimizing operating costs and pollutant emissions and minimizing peak-to-valley loads on the grid side. Different Energy management strategies with different storage priorities are proposed, and the proposed NSNGO algorithm is used to solve the above model. The results show that the total profit after optimization is 5.91% higher on average compared to the comparison type, and the pollutant emission scalar function is reduced by 980.64 (g), which is 7.48% lower. The peak–valley difference of the regional power system before optimization is 0.5952, and the peak–valley difference of the regional power system after optimization is 0.4142, which is reduced by 30.40%, and the proposed capacity allocation method can realize the economic operation of the multi-energy-coupled integrated energy system. Full article
(This article belongs to the Section B: Energy and Environment)
Show Figures

Figure 1

14 pages, 19093 KB  
Article
Integrated Approach of Historical Landscape Characterisation Techniques and Remote Sensing for the Definition of Predictive Models and Scenario Analysis in the Planning of Archaeological Areas
by Giuliana Quattrone
Heritage 2024, 7(5), 2444-2457; https://doi.org/10.3390/heritage7050116 - 8 May 2024
Cited by 1 | Viewed by 1905
Abstract
This study explores the synergistic integration of remote sensing (RS) and Historical Landscape Characterisation (HLC) methodology as an innovative, multi-scalar and holistic approach to enhance archaeological planning. The goal is to maximize the effectiveness of the investigations, optimizing data collection and improving the [...] Read more.
This study explores the synergistic integration of remote sensing (RS) and Historical Landscape Characterisation (HLC) methodology as an innovative, multi-scalar and holistic approach to enhance archaeological planning. The goal is to maximize the effectiveness of the investigations, optimizing data collection and improving the contextual understanding of the sites. In fact, these methodologies can significantly contribute to the documentation, conservation, planning and valorisation of archaeological areas. By integrating RS data with features detected by HLC, a complete picture is obtained that facilitates a deeper understanding of the landscape and historical dynamics. This article will explain the combined approach of RS and HLC, presenting some methodologies key to improving the precision and effectiveness of archaeological planning. This integration facilitates the sustainable preservation of archaeological resources and contributes to the conscious management of cultural heritage in the context of contemporary development. The paper demonstrates, through a case study, how the application of the two methodologies (RS and HLC) in an integrated form can provide an exhaustive interpretation of the territory in which the archaeological area is located, which can represent an exhaustive knowledge base on which to set up effective processes for the strategic territorial planning of archaeological areas. Full article
(This article belongs to the Section Archaeological Heritage)
Show Figures

Figure 1

24 pages, 15318 KB  
Article
Design and Implementation of a Linear Induction Launcher with a New Excitation System Utilizing Multi-Stage Inverters
by Serkan Dogangunes and Abdulkadir Balikci
Energies 2024, 17(6), 1302; https://doi.org/10.3390/en17061302 - 8 Mar 2024
Cited by 1 | Viewed by 1892
Abstract
Linear induction launchers (LILs) are a specific subtype of linear motors. However, LILs are air-core machines that consistently operate in a transient rather than a steady state. Moreover, their operating currents and voltages exceed those of traditional machines. The execution time of LILs [...] Read more.
Linear induction launchers (LILs) are a specific subtype of linear motors. However, LILs are air-core machines that consistently operate in a transient rather than a steady state. Moreover, their operating currents and voltages exceed those of traditional machines. The execution time of LILs often remains within a few milliseconds, and it is essential to manage extremely high-power levels quickly. The control methods for LILs differ from those used for regular machines due to the differences from conventional linear motors. In this respect, there are still challenges to be overcome in power systems designed for LILs in the literature. This study has developed a novel power energization system to address these challenges, particularly in terms of inadequate V/f control and the unnecessary energization of regions along the barrel where no projectile is present. It focuses on the system’s design using multi-stage H-bridge inverters to produce a sinusoidal current for section-by-section polyphase excitation. An FPGA-based electronics control system generates bipolar PWM fiber-optical signals for IGBT switches for scalar V/f control of the inverters. Distributed multi-inverters power each stage of the launcher’s barrel and are controlled by the FPGA to create the travelling electromagnetic wave package. Three-dimensional FEM analysis is used for observation of the trigger timing to ensure positive force along the barrel. By driving each inverter independently, the coils on the barrel are excited sequentially based on the position of the projectile. This study also explains the implementation of a laboratory-scale barrel prototype, a 40 mm aluminum projectile, its power electronics, and the control part of the multi-stage inverters. In this study, 3300 V–1200 A IGBTs and 8.8 mF–2000 V DC-Link capacitors were used in the H-bridge inverter modules. Experimental studies have been conducted on the launcher, and the results obtained, including achieving a velocity of 30 m/s, are consistent with the electromagnetic simulations. It has been observed that the launcher, powered by the proposed system, is approximately 57.14% more efficient compared to the version energized by a single inverter. Full article
(This article belongs to the Section F: Electrical Engineering)
Show Figures

Figure 1

23 pages, 5698 KB  
Article
Optimization of Cryptocurrency Algorithmic Trading Strategies Using the Decomposition Approach
by Sherin M. Omran, Wessam H. El-Behaidy and Aliaa A. A. Youssif
Big Data Cogn. Comput. 2023, 7(4), 174; https://doi.org/10.3390/bdcc7040174 - 14 Nov 2023
Cited by 2 | Viewed by 9296
Abstract
A cryptocurrency is a non-centralized form of money that facilitates financial transactions using cryptographic processes. It can be thought of as a virtual currency or a payment mechanism for sending and receiving money online. Cryptocurrencies have gained wide market acceptance and rapid development [...] Read more.
A cryptocurrency is a non-centralized form of money that facilitates financial transactions using cryptographic processes. It can be thought of as a virtual currency or a payment mechanism for sending and receiving money online. Cryptocurrencies have gained wide market acceptance and rapid development during the past few years. Due to the volatile nature of the crypto-market, cryptocurrency trading involves a high level of risk. In this paper, a new normalized decomposition-based, multi-objective particle swarm optimization (N-MOPSO/D) algorithm is presented for cryptocurrency algorithmic trading. The aim of this algorithm is to help traders find the best Litecoin trading strategies that improve their outcomes. The proposed algorithm is used to manage the trade-offs among three objectives: the return on investment, the Sortino ratio, and the number of trades. A hybrid weight assignment mechanism has also been proposed. It was compared against the trading rules with their standard parameters, MOPSO/D, using normalized weighted Tchebycheff scalarization, and MOEA/D. The proposed algorithm could outperform the counterpart algorithms for benchmark and real-world problems. Results showed that the proposed algorithm is very promising and stable under different market conditions. It could maintain the best returns and risk during both training and testing with a moderate number of trades. Full article
(This article belongs to the Special Issue Applied Data Science for Social Good)
Show Figures

Figure 1

25 pages, 17444 KB  
Article
Automatic Soil Sampling Site Selection in Management Zones Using a Multi-Objective Optimization Algorithm
by Meysam Kazemi and Faramarz F. Samavati
Agriculture 2023, 13(10), 1993; https://doi.org/10.3390/agriculture13101993 - 13 Oct 2023
Cited by 6 | Viewed by 2196
Abstract
Precision agriculture hinges on accurate soil condition data obtained through soil testing across the field, which is a foundational step for subsequent processes. Soil testing is expensive, and reducing the number of samples is an important task. One viable approach is to divide [...] Read more.
Precision agriculture hinges on accurate soil condition data obtained through soil testing across the field, which is a foundational step for subsequent processes. Soil testing is expensive, and reducing the number of samples is an important task. One viable approach is to divide the farm fields into homogenous management zones that require only one soil sample. As a result, these sample points must be the best representatives of the management zones and satisfy some other geospatial conditions, such as accessibility and being away from field borders and other test points. In this paper, we introduce an algorithmic method as a framework for automatically determining locations for test points using a constrained multi-objective optimization model. Our implementation of the proposed algorithmic framework is significantly faster than the conventional GIS process. While the conventional process typically takes several days with the involvement of GIS technicians, our framework takes only 14 s for a 200-hectare field to find optimal benchmark sites. To demonstrate our framework, we use time-varying Sentinel-2 satellite imagery to delineate management zones and a digital elevation model (DEM) to avoid steep regions. We define the objectives for a representative area of a management zone. Then, our algorithm optimizes the objectives using a scalarization method while avoiding constraints. We assess our method by testing it on five fields and showing that it generates optimal results. This method is fast, repeatable, and extendable. Full article
Show Figures

Figure 1

Back to TopTop