Sign in to use this feature.

Years

Between: -

Subjects

remove_circle_outline
remove_circle_outline
remove_circle_outline
remove_circle_outline
remove_circle_outline
remove_circle_outline
remove_circle_outline
remove_circle_outline
remove_circle_outline

Journals

remove_circle_outline
remove_circle_outline
remove_circle_outline
remove_circle_outline
remove_circle_outline
remove_circle_outline
remove_circle_outline
remove_circle_outline
remove_circle_outline
remove_circle_outline
remove_circle_outline
remove_circle_outline
remove_circle_outline
remove_circle_outline
remove_circle_outline
remove_circle_outline
remove_circle_outline

Article Types

Countries / Regions

remove_circle_outline
remove_circle_outline
remove_circle_outline
remove_circle_outline
remove_circle_outline
remove_circle_outline
remove_circle_outline

Search Results (1,929)

Search Parameters:
Keywords = multi-objective decision-making

Order results
Result details
Results per page
Select all
Export citation of selected articles as:
28 pages, 1638 KB  
Article
A Self-Deciding Adaptive Digital Twin Framework Using Agentic AI for Fuzzy Multi-Objective Optimization of Food Logistics
by Hamed Nozari and Zornitsa Yordanova
Algorithms 2026, 19(3), 218; https://doi.org/10.3390/a19030218 (registering DOI) - 14 Mar 2026
Abstract
Due to the perishable nature of products, high uncertainty, and conflicting objectives, food supply chain logistics management requires dynamic and adaptive decision-making frameworks. In this study, an integrated decision-making architecture is presented that integrates a multi-objective fuzzy optimization model into an adaptive digital [...] Read more.
Due to the perishable nature of products, high uncertainty, and conflicting objectives, food supply chain logistics management requires dynamic and adaptive decision-making frameworks. In this study, an integrated decision-making architecture is presented that integrates a multi-objective fuzzy optimization model into an adaptive digital twin along with an agentic AI-based dynamic goal reset mechanism. The main methodological innovation of this study is not in the separate development of each of these components but in their structured integration in the form of a self-regulating decision-making loop in which the priority of goals is dynamically adjusted based on the current state of the system. Computational results based on real and simulated data show that the proposed framework reduces the total logistics cost by about 4–5% and reduces product waste by about 13% while simultaneously improving the service level by about 4%. Resilience analysis shows faster performance recovery in the face of operational disruptions, and scalability results confirm the controlled growth of computational time with increasing problem size. These findings demonstrate the effectiveness of integrating adaptive digital twins and agentic AI in a multi-objective fuzzy optimization environment for intelligent and resilient food logistics management. Full article
(This article belongs to the Special Issue Optimizing Logistics Activities: Models and Applications)
Show Figures

Figure 1

20 pages, 3878 KB  
Article
A Hybrid Multimodal Cancer Diagnostic Framework Integrating Deep Learning of Histopathology and Whispering Gallery Mode Optical Sensors
by Shereen Afifi, Amir R. Ali, Nada Haytham Abdelbasset, Youssef Poulis, Yasmin Yousry, Mohamed Zinal, Hatem S. Abdullah, Miral Y. Selim and Mohamed Hamed
Diagnostics 2026, 16(6), 848; https://doi.org/10.3390/diagnostics16060848 - 12 Mar 2026
Viewed by 31
Abstract
Background/Objectives: Biopsy examination remains the gold standard for cancer diagnosis, relying on histopathological assessment of tissue samples to identify malignant changes. However, manual interpretation of histopathological slides is time-consuming, subjective, and susceptible to inter-observer variability. The digitization of histopathological images enables automated analysis [...] Read more.
Background/Objectives: Biopsy examination remains the gold standard for cancer diagnosis, relying on histopathological assessment of tissue samples to identify malignant changes. However, manual interpretation of histopathological slides is time-consuming, subjective, and susceptible to inter-observer variability. The digitization of histopathological images enables automated analysis and offers opportunities to support clinicians with more consistent and objective diagnostic tools. This study aims to enhance cancer diagnosis by proposing a hybrid framework that integrates deep-learning-based histopathological image analysis with Whispering Gallery Mode (WGM) optical sensing for complementary tissue characterization. Methods: The proposed framework combines automated tumor classification from histopathological images with biochemical signal analysis obtained from WGM optical sensors. Deep learning models, including EfficientNet-B0, InceptionV3, and Vision Transformer (ViT), were employed for binary and multi-class tumor classification using the BreakHis dataset. To address class imbalance, a Deep Convolutional Generative Adversarial Network (DCGAN) was utilized to generate synthetic histopathological images alongside conventional data augmentation techniques. In parallel, WGM optical sensors were incorporated to capture subtle tissue-specific signatures, with machine learning algorithms enabling automated feature extraction and classification of the acquired signals. Results: In multi-class classification, InceptionV3 combined with DCGAN-based augmentation achieved an accuracy of 94.45%, while binary classification reached 96.49%. Fine-tuned Vision Transformer models achieved a higher classification accuracy of 98% on the BreakHis dataset. The integration of WGM optical sensing provided additional biochemical information, offering complementary insights to image-based analysis and supporting more robust diagnostic decision-making. Conclusions: The proposed hybrid framework demonstrates the potential of combining deep-learning-based histopathological image analysis with WGM optical sensing to improve the accuracy and reliability of cancer classification. By integrating morphological and biochemical information, the framework offers a promising approach for enhanced, objective, and supportive cancer diagnostic systems. Full article
Show Figures

Figure 1

31 pages, 8223 KB  
Article
X-ViTCNN: A Novel Network-Level Fusion of Transfer Learning and Customized Vision Transformer for Multi-Stage Alzheimer’s Disease Prediction Using MRI Scans
by Armughan Ali, Hooria Shahbaz, Shahid Mohammad Ganie and Manahil Mohammed Alfuraydan
Diagnostics 2026, 16(6), 835; https://doi.org/10.3390/diagnostics16060835 - 11 Mar 2026
Viewed by 136
Abstract
Background/Objectives: Alzheimer’s disease (AD), the most prevalent form of dementia, is characterized by an overall decline in cognitive functioning and represents a major public health crisis. It remains critical to be able to accurately and quickly diagnose patients with AD; however, recent deep [...] Read more.
Background/Objectives: Alzheimer’s disease (AD), the most prevalent form of dementia, is characterized by an overall decline in cognitive functioning and represents a major public health crisis. It remains critical to be able to accurately and quickly diagnose patients with AD; however, recent deep learning approaches using MRI data do not provide sample generalization, have high computational requirements, and offer little interpretability. Methods: In this study, we present a new framework called eXplorative ViT-CNN (X-ViTCNN) that combines a customized Vision Transformer model with two previously trained CNNs (DenseNet201 and MobileNetV2). With our proposed preprocessing approach using contrast-enhanced preprocessing to highlight neuroanatomical features as well as Bayesian Optimization to tune hyperparameters, we fuse local structural features originating from the CNNs with global representations from the transformer and feed the final result to fully connected dense layers for multi-stage classification. We also use Grad-CAM visualizations to provide insight into how our model arrived at its classification. Results: Experiments conducted on ADNI and OASIS datasets demonstrate the superiority of X-ViTCNN, achieving accuracies of 97.98% and 94.52%, respectively. The model outperformed individual baselines and other pre-trained architectures, showing balanced sensitivity and specificity across all AD stages. Conclusions: The proposed X-ViTCNN framework is a powerful, interpretable method for predicting the development of multi-stage Alzheimer’s disease using MRI scans. The combination of complementary feature learning, automatic hyperparameter optimization and interpretability through visualization make it an excellent potential tool for clinicians to support their decision making in the early diagnosis and ongoing monitoring of persons with Alzheimer’s disease. Full article
Show Figures

Figure 1

24 pages, 924 KB  
Article
Model to Assess the Intelligence Level of Buildings in the Hotel Industry by Applying Integrated Fuzzy Shannon Entropy and Fuzzy Multi-Objective Optimization on the Basis of Ratio Analysis
by Seyed Morteza Hatefi, Jolanta Tamošaitienė, Pardis Roshanayee and Ulrike Quapp
Appl. Sci. 2026, 16(6), 2652; https://doi.org/10.3390/app16062652 - 10 Mar 2026
Viewed by 119
Abstract
The rapid evolution of smart building technologies has transformed the hotel industry, necessitating structured methodologies for evaluating building intelligence. This research, dedicated to engineering problems, proposes an integrated decision-making model that combines fuzzy Shannon entropy and fuzzy multi-objective optimization on the basis of [...] Read more.
The rapid evolution of smart building technologies has transformed the hotel industry, necessitating structured methodologies for evaluating building intelligence. This research, dedicated to engineering problems, proposes an integrated decision-making model that combines fuzzy Shannon entropy and fuzzy multi-objective optimization on the basis of ratio analysis (MOORA) to assess the intelligence level of buildings within the hospitality sector. The model systematically determines the relative importance of intelligence criteria, including engineering, environmental, economic, social and cultural, technological, and energy conservation criteria. By leveraging fuzzy Shannon entropy, the framework objectively assigns weights to criteria based on information distribution, minimizing subjective biases in evaluation. Fuzzy MOORA is then applied to rank alternative intelligent buildings in hotels, ensuring an accurate comparative assessment. The proposed model is tested on real-world hotel data, demonstrating its effectiveness in identifying optimal intelligent building configurations. The results of applying fuzzy Shannon entropy reveal that human comfort, the emission of greenhouse gases (pollution), and system integration are the most important sub-criteria. Finally, by applying the importance of the criteria in the fuzzy MOORA model, the intelligence levels of hotels are evaluated. The results show that the Parsian Kowsar, Piroozy and Sepahan Hotels are the best hotels based on the intelligent building criteria. Full article
(This article belongs to the Special Issue Digital Twin and AI in Construction and Urban Sustainability)
Show Figures

Figure 1

19 pages, 6888 KB  
Article
Multi-Objective Optimization and Entropy-Weighted Technique for Order of Preference by Similarity to Ideal Solution Decision Making for Cotton Sliver Drawing Process Based on Particle Swarm Optimization–Backpropagation Neural Network and Non-Dominated Sorting Genetic Algorithm II
by Laihu Peng, Zhiwen Wu, Yubao Qi, Jianqiang Li and Xin Ru
Appl. Sci. 2026, 16(6), 2636; https://doi.org/10.3390/app16062636 - 10 Mar 2026
Viewed by 134
Abstract
In recent years, vortex spinning has garnered significant attention owing to its high efficiency and superior yarn quality. However, the drafting process involves multiple interrelated parameters, and different combinations of parameters can considerably influence subsequent spinning performance. To address this, the present study [...] Read more.
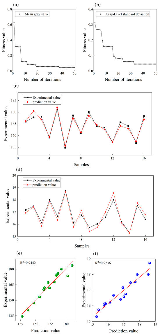
In recent years, vortex spinning has garnered significant attention owing to its high efficiency and superior yarn quality. However, the drafting process involves multiple interrelated parameters, and different combinations of parameters can considerably influence subsequent spinning performance. To address this, the present study introduces a novel hybrid optimization algorithm to enhance spinning quality by rationalizing the coordination of drafting parameters. First, orthogonal experiments were conducted with the draft ratio and roller center distance as variables, using the mean grayscale value and grayscale standard deviation of the post-experiment silver images as multi-objective functions to evaluate drafting effectiveness. Subsequently, a regression model between drafting parameters and drafting outcomes was constructed using the Particle Swarm Optimization–Backpropagation Neural Network (PSO-BP) algorithm, followed by multi-objective optimization via the Non-dominated Sorting Genetic Algorithm II (NSGA-II) genetic algorithm to obtain a Pareto-optimal solution set. Finally, the entropy-weighted Technique for Order of Preference by Similarity to Ideal Solution (TOPSIS) method was applied to comprehensively evaluate the Pareto-optimal set and determine the optimal combination of process parameters. The results demonstrate that, under the optimal parameter combination, the deviation between the measured quality indicators of the drafted sliver and the predicted values remains within 6%, confirming the effectiveness of the proposed model as a viable approach for optimizing drafting parameter configurations. Full article
Show Figures

Figure 1

36 pages, 5029 KB  
Article
Option-C Verified Semantic Digital Twins for Decarbonized, Pressure-Reliable Central Business District Hospitals
by Zhe Wei
Buildings 2026, 16(6), 1096; https://doi.org/10.3390/buildings16061096 - 10 Mar 2026
Viewed by 83
Abstract
Central business district (CBD) hospitals must sustain reliable pressure relationships in critical rooms while reducing whole-facility carbon under tight space and disruption constraints. We developed an ontology-grounded semantic digital twin that normalizes building automation system (BAS) and building management system (BMS) telemetry into [...] Read more.
Central business district (CBD) hospitals must sustain reliable pressure relationships in critical rooms while reducing whole-facility carbon under tight space and disruption constraints. We developed an ontology-grounded semantic digital twin that normalizes building automation system (BAS) and building management system (BMS) telemetry into a unified semantic store consistent with Brick Schema, enabling portable asset discovery via query and thereby supporting forecasting, anomaly detection, and multi-objective optimization without dependence on vendor point naming conventions. Whole-facility impacts were verified using International Performance Measurement and Verification Protocol Option C–style measurement and verification with an S0-calibrated baseline model and residual-based savings attribution. Relative to the baseline (S0), the intervention (S3) produced a step increase in the critical-room pressure-compliance pass rate, tighter room-to-corridor differential-pressure (ΔP) control across airborne infection isolation and open room strata, and intent-aligned ventilation delivery (air changes per hour ratio distribution concentrated near unity; p < 0.05 where letter groups differ). Operational-state discrimination improved (AUC 0.649→0.696) and issue-resolution times shortened (left-shifted cumulative distribution function), indicating reduced service burden. Option C verification showed energy residuals shifting negative under S3, consistent with net savings versus baseline expectations. Across progressive maturity (S0→S3), time-to-value and burden fractions decreased, carbon intensity (tCO2e m−2) decreased, long-tail exposure compressed (log-scale horizon), and composite performance indices increased (p < 0.05). These results demonstrate a verifiable pathway to pressure-reliable, decarbonized hospital operations at the whole-facility boundary while making the semantic layer’s utility explicit through query-driven, ontology-grounded asset discovery. We present an IPMVP Option-C–verifiable semantic digital-twin governance framework that links audited operational evidence (telemetry → actions → verification) to whole-facility energy and carbon outcomes while maintaining critical-room pressure-relationship reliability. Optimization benchmarking (including quantum annealing) is used as supporting decision-support evaluation, rather than as the central contribution. Full article
Show Figures

Figure 1

32 pages, 1326 KB  
Article
Assessing Digital Maturity in the Textile Sector: An Integrated MEREC and OCRA Approach
by Eyup Kahveci, Biset Toprak, Emine Elif Nebati and Selim Zaim
Adm. Sci. 2026, 16(3), 135; https://doi.org/10.3390/admsci16030135 - 10 Mar 2026
Viewed by 200
Abstract
The digital transformation of the textile industry poses unique challenges due to its labor-intensive processes, complex global supply chains, and coexistence of traditional methods and emerging technologies. Despite the urgency of this transition, existing digital maturity models lack sector-specific frameworks and often fail [...] Read more.
The digital transformation of the textile industry poses unique challenges due to its labor-intensive processes, complex global supply chains, and coexistence of traditional methods and emerging technologies. Despite the urgency of this transition, existing digital maturity models lack sector-specific frameworks and often fail to integrate multi-criteria decision-making (MCDM) methodologies for quantitative performance assessment. This study addresses these gaps by proposing a novel digital maturity model tailored specifically to the textile sector. The research employs an integrated decision-making framework using the Method Based on the Removal Effects of Criteria (MEREC) to determine objective criterion weights and the Operational Competitiveness Rating Analysis (OCRA) method to rank firm-level digital maturity performance. The findings indicate that Strategy is the most influential dimension, whereas Technology receives the lowest weight. At the sub-criterion level, Management Support, Market Analysis, and Vision and Strategic Awareness are the most critical factors, while Technology Usage Competency is less influential. The performance evaluation shows that Company A3 achieves the highest level of digital maturity, whereas Company A2 ranks lowest. The robustness of the proposed framework is comprehensively validated through a scenario-based sensitivity analysis and a comparative evaluation using the Additive Ratio Assessment System (ARAS) method. Overall, the results suggest that successful digital transformation in the textile sector depends primarily on strategic vision and managerial support rather than on technological infrastructure alone. Full article
Show Figures

Figure 1

29 pages, 10745 KB  
Article
A Machine Learning-Based Multi-Objective Optimization and Decision Support Framework for Age-Friendly Outdoor Activity Spaces
by Hui Wang, Rui Zhang, Ling Jiang, Lu Zhang and Guang Yang
Buildings 2026, 16(5), 1088; https://doi.org/10.3390/buildings16051088 - 9 Mar 2026
Viewed by 192
Abstract
Thermal comfort and adequate sunlight exposure are essential for maintaining the health of older adults. Although multi-objective optimization (MOO) has been increasingly applied to improve environmental performance in spatial design, most existing studies still rely on computationally expensive physical simulations, and their optimization [...] Read more.
Thermal comfort and adequate sunlight exposure are essential for maintaining the health of older adults. Although multi-objective optimization (MOO) has been increasingly applied to improve environmental performance in spatial design, most existing studies still rely on computationally expensive physical simulations, and their optimization results often lack interpretability and operability in early design decision-making. To address these issues, this study proposes a collaborative optimization framework that integrates machine learning surrogate models with neural visualization tools to support performance-driven design of age-friendly outdoor spaces at the early stage. Based on survey data from 46 typical Beijing communities, we constructed a parametric model with three objectives: minimizing summer UTCI, maximizing winter UTCI, and maximizing sunlight duration. An XGBoost model is adopted as a surrogate to accelerate performance prediction, while a self-organizing map (SOM) was applied to cluster and visualize Pareto-optimal solutions. The results indicate that the surrogate model achieves high predictive accuracy and reduces overall computational time by approximately 45% compared with conventional physical simulations. Moreover, the SOM-based visual decision process compresses the high-dimensional solution space and reduces candidate schemes by more than 90%, enabling rapid identification of design solutions that balance environmental performance and spatial morphology. The proposed framework improves both computational efficiency and decision support capacity for performance-oriented spatial design and provides a novel methodological reference for the environmental renewal of age-friendly outdoor spaces. Full article
(This article belongs to the Section Architectural Design, Urban Science, and Real Estate)
Show Figures

Figure 1

23 pages, 4201 KB  
Article
A Game-Theoretic Intention Planning Method for Autonomous Vehicles
by Sishen Li, Hsin Guan and Xin Jia
Electronics 2026, 15(5), 1124; https://doi.org/10.3390/electronics15051124 - 9 Mar 2026
Viewed by 160
Abstract
Autonomous vehicles (AVs) must make predictable and socially compliant behavioral decisions to ensure safe and efficient interactions with other road users. To address this challenge, this paper proposes a game-theoretic behavioral decision-making model integrated with spatial motion planning to capture the interactive intentions [...] Read more.
Autonomous vehicles (AVs) must make predictable and socially compliant behavioral decisions to ensure safe and efficient interactions with other road users. To address this challenge, this paper proposes a game-theoretic behavioral decision-making model integrated with spatial motion planning to capture the interactive intentions between the ego vehicle (EV) and target vehicle (TV) in pairwise scenarios. First, the study defines an intention representation method that characterizes intentions using spatial area boundaries, feasible speed ranges, and a set of goal points (speed goal points, position-orientation goal points). Second, a spatial motion planning approach is adopted to evaluate the intention, which optimizes the driving scheme using a multi-objective cost function (incorporating pursuit precision, comfort, energy efficiency, and travel efficiency). Finally, the game-theoretic decision-making model is constructed. The Social Value Orientation (SVO) is introduced to quantify drivers’ social preferences, and the payoff function, which integrates safety rewards (based on inter-vehicle distance) and performance rewards (based on motion planning indices), is established. Simulation results verify that the proposed model can effectively address the interactive intention decision-making problem between the AV and other road users and handle different scenarios. Full article
Show Figures

Figure 1

32 pages, 2748 KB  
Review
Pediatric Hepatoblastoma: From Developmental Molecular Mechanisms to Innovative Therapeutic Strategies
by Ana Maria Scurtu, Elena Țarcă, Laura Mihaela Trandafir, Alina Belu, Alina Jehac, Ioana Martu, Valentin Bernic, Rodica Elena Heredea, Viorel Țarcă, Dumitrel Băiceanu and Elena Cojocaru
Cancers 2026, 18(5), 879; https://doi.org/10.3390/cancers18050879 - 9 Mar 2026
Viewed by 290
Abstract
Background/Objectives: Hepatoblastoma, the most common pediatric primary liver cancer, is no longer regarded as a conventional malignancy but rather as a tumor emerging from disrupted hepatic developmental processes. Although improvements in chemotherapy, surgical techniques, and liver transplantation have markedly enhanced survival, therapeutic decision-making [...] Read more.
Background/Objectives: Hepatoblastoma, the most common pediatric primary liver cancer, is no longer regarded as a conventional malignancy but rather as a tumor emerging from disrupted hepatic developmental processes. Although improvements in chemotherapy, surgical techniques, and liver transplantation have markedly enhanced survival, therapeutic decision-making is still primarily guided by anatomical criteria and insufficiently reflects the biological heterogeneity that contributes to variable treatment response and disease recurrence. This narrative review integrates recent advances in molecular biology, tumor stemness, microenvironmental interactions, and translational research models in pediatric hepatoblastoma. We critically examine how developmental signaling pathways, cellular plasticity, and immune–vascular context shape tumor behavior and therapeutic vulnerability, with a focus on emerging targeted, anti-angiogenic, immune, and epigenetic strategies. Results: Hepatoblastoma is characterized by aberrant activation of key developmental pathways, including Wnt/β-catenin, Hippo–YAP, IGF, and mTOR signaling, which cooperate to sustain proliferation, stem-like phenotypes, and treatment resistance. Tumor heterogeneity is further reinforced by cancer stem cell populations and a predominantly immune-cold microenvironment. While innovative therapeutic approaches show promise, their clinical impact has been limited by biological complexity and insufficient integration into current treatment algorithms. Liquid biopsy biomarkers, advanced translational models, and multi-omics approaches offer new opportunities for biologically informed risk stratification and therapy adaptation. Conclusions: Future progress in pediatric hepatoblastoma will require a paradigm shift from purely clinicopathological management toward an integrated molecular and surgical framework. Incorporating biological stratification into therapeutic decision-making may enable personalized treatment, rational therapy de-escalation, and improved outcomes for high-risk disease. This review highlights the foundations and future directions for precision medicine in hepatoblastoma. Full article
(This article belongs to the Section Pediatric Oncology)
Show Figures

Figure 1

49 pages, 1822 KB  
Review
Data-Driven Methods and Artificial Intelligence in Reliability and Maintenance: A Review
by Xuesong Chen, Wenting Li, Tianze Xia, Ruizhi Ouyang and Kaiye Gao
Mathematics 2026, 14(5), 899; https://doi.org/10.3390/math14050899 - 6 Mar 2026
Viewed by 188
Abstract
Reliability and maintenance serve as pivotal factors in safeguarding safety, enhancing efficiency, optimizing costs, and fostering sustainable development. They permeate all facets of industry, daily life, and society, thereby constituting a crucial foundation for achieving long-term, stable development. The rapid evolution of data-driven [...] Read more.
Reliability and maintenance serve as pivotal factors in safeguarding safety, enhancing efficiency, optimizing costs, and fostering sustainable development. They permeate all facets of industry, daily life, and society, thereby constituting a crucial foundation for achieving long-term, stable development. The rapid evolution of data-driven methods and artificial intelligence (AI) has revolutionized reliability and maintenance practices, driving a shift from reactive to predictive maintenance (PdM) and ultimately intelligent maintenance strategies. Unlike existing reviews that focus on single technologies or tasks, this paper adopts a system-level integration perspective to construct a closed-loop framework connecting data-driven reliability analysis, maintenance optimization, and intelligent decision-making. It further elucidates the integrated logic between prediction and decision-making through formalized mechanisms. This article systematically reviews the research progress and practical applications of data-driven methods and AI in reliability and maintenance. First, it classifies and summarizes data-driven reliability analysis methods based on existing literature. Second, a reliability-oriented maintenance optimization framework is proposed, comprehensively integrating economic, reliability, resource efficiency, and multi-objective collaboration considerations, while analyzing the characteristics of diverse maintenance systems. Furthermore, the innovative applications and performance advantages of AI algorithms in complex system maintenance are synthesized, and a comparative analysis of the applicability of different methods across various operational scenarios is conducted. And conducted a multidimensional comparison of the applicability scenarios for different methods from an engineering selection perspective. In addition, this review examines the current status and challenges of applying data-driven and AI technologies across multiple real industrial settings and identifies common obstacles encountered during project implementation. We further elucidate the research positioning of this work and provide a comparative discussion with existing review articles. Finally, the article conducts a bibliometric analysis to map the research landscape, provides quantitative support for the development trends in the field. Limitations in this field are also discussed. Full article
Show Figures

Figure 1

25 pages, 25575 KB  
Article
Sea Ice Classification Enhancement Using Calibration-Focused Loss Functions
by Nima Ahmadian, Matthew Hamilton and Weimin Huang
Remote Sens. 2026, 18(5), 810; https://doi.org/10.3390/rs18050810 - 6 Mar 2026
Viewed by 127
Abstract
Deep learning has become a key approach for automated sea ice mapping in the AI4Arctic Sea Ice Challenge dataset, yet most studies focus on accuracy metrics and rarely evaluate whether predicted probabilities are reliable for operational use. This paper investigates calibration-aware training for [...] Read more.
Deep learning has become a key approach for automated sea ice mapping in the AI4Arctic Sea Ice Challenge dataset, yet most studies focus on accuracy metrics and rarely evaluate whether predicted probabilities are reliable for operational use. This paper investigates calibration-aware training for multi-task sea ice segmentation of sea ice concentration (SIC), stage of development (SOD), and floe size (FLOE) using the U-Net model. We train the network with cross-entropy (CE) and augment the objective with focal loss, Brier loss, and an entropy-regularization term to reduce overconfidence and improve calibration. Experiments follow a scene-level Monte Carlo cross-validation protocol on the ready-to-train AI4Arctic Sea Ice Challenge dataset (AI4Arctic) dataset and are evaluated using R2 for SIC, F1 for SOD and FLOE, a weighted combined score, and expected calibration error (ECE) and reliability diagrams. Results show that calibration-aware loss functions improve test performance relative to the CE loss, and the full objective (CE + Brier + focal + entropy) achieves the highest combined score of 84.73% and reduces FLOE ECE to 0.044. Qualitative comparisons further indicate cleaner spatial structures and fewer scattered errors, particularly for FLOE. Overall, the proposed loss design improves both segmentation quality and confidence reliability, supporting more trustworthy sea ice products for decision-making. Full article
Show Figures

Figure 1

25 pages, 1774 KB  
Article
An Agentic Digital Twin Framework for Fuzzy Multi-Objective Optimization in Dynamic Humanitarian Logistics
by Zornitsa Yordanova and Hamed Nozari
Algorithms 2026, 19(3), 198; https://doi.org/10.3390/a19030198 - 6 Mar 2026
Viewed by 252
Abstract
Humanitarian logistics faces challenges such as conflicting objectives, severe uncertainty, temporal dynamics, and the need for interpretable decisions. This research presents an integrated decision-making framework that simultaneously considers fuzzy uncertainty, system dynamics, and adaptive decision logic. Operational uncertainties are modeled using triangular fuzzy [...] Read more.
Humanitarian logistics faces challenges such as conflicting objectives, severe uncertainty, temporal dynamics, and the need for interpretable decisions. This research presents an integrated decision-making framework that simultaneously considers fuzzy uncertainty, system dynamics, and adaptive decision logic. Operational uncertainties are modeled using triangular fuzzy numbers and a dynamic representation of the system allows for continuous updating of decisions over time. Computational results based on simulated data show that the proposed framework is capable of generating stable, diverse, and interpretable solutions. An improvement in the average quality of the Pareto front of more than 5% and a reduction in the distance from the reference front of about 30% are observed compared to non-adaptive approaches. Also, stability and dynamic behavior analyses show that the decisions are robust to changing environmental conditions and parameters and have high adaptability. These features make the proposed framework a reliable tool for decision support in relief operations. Full article
(This article belongs to the Special Issue Optimizing Logistics Activities: Models and Applications)
Show Figures

Figure 1

53 pages, 2913 KB  
Article
SORA 2.5-Guided BVLOS UAS for Wildlife Conservation in Kenya: Reducing Friction Between Safety and Field Operations
by Guy Maalouf, Thomas Stuart Richardson, David Roy Guerin, Matthew Watson, Ulrik Pagh Schultz Lundquist, Blair R. Costelloe, Elzbieta Pastucha, Saadia Afridi, Edouard George Alain Rolland, Kilian Meier, Jes Hundevadt Jepsen, Thomas van der Sterren, Lucie Laporte-Devylder, Camille Rondeau Saint-Jean, Constanza Andrea Molina Catricheo, Vandita Shukla, Elena Iannino, Jenna Kline, Dat Nguyen Ngoc, William Njoroge and Kjeld Jensenadd Show full author list remove Hide full author list
Drones 2026, 10(3), 178; https://doi.org/10.3390/drones10030178 - 5 Mar 2026
Viewed by 389
Abstract
Safe Beyond Visual Line of Sight (BVLOS) operations are increasingly required for wildlife monitoring and conservation, yet existing regulatory frameworks are rarely tailored to protected areas characterised by low population density and limited infrastructure. This paper presents a field-based use case illustrating how [...] Read more.
Safe Beyond Visual Line of Sight (BVLOS) operations are increasingly required for wildlife monitoring and conservation, yet existing regulatory frameworks are rarely tailored to protected areas characterised by low population density and limited infrastructure. This paper presents a field-based use case illustrating how the Specific Operations Risk Assessment (SORA) methodology can be applied to conservation-oriented BVLOS missions under Kenyan airspace conditions, including coordination within military-controlled airspace. We evaluate three population-density estimation approaches (qualitative, bottom-up, and top-down) against available ground truth, and compare tabulated and analytical SORA methods for deriving the Ground Risk Class. The work illustrates how SORA 2.5 structures ground and air risk reasoning in a conservation context, while retrospective review identifies limitations in containment, Operational Safety Objectives, and tactical mitigation performance requirements. Field trials involved five concurrent teams and 30 personnel conducting over 260 flights and more than 60 h of UAS activity across the Ol Pejeta Conservancy, providing insights into multi-team coordination under field conditions. Field implementation revealed areas of misalignment between prescribed safety requirements and operational realities, prompting iterative adaptation of workflows and procedures. Observed outcomes included reductions in team size (25–50%) and procedural steps (18%), derived from retrospective comparison of field procedures. A lightweight Uncrewed Traffic Management prototype was also trialled, revealing practical limitations in conservancy environments. Finally, we present a ten-step framework for developing field-ready safety procedures to support risk-informed decision-making in non-standard operational contexts. The findings provide empirically grounded guidance on applying SORA principles to conservation UAS missions, without proposing a new risk framework or generalised operational model. Full article
(This article belongs to the Special Issue UAVs for Nature Conservation Tasks in Complex Environments)
Show Figures

Figure 1

19 pages, 2053 KB  
Article
A Methodological Approach for Risk Assessment of Municipal Water Supply Projects
by Maria D. Gracia, Julio Mar-Ortiz, Carlos Roberto Luna-Domínguez and Jannya Pancardo
Mathematics 2026, 14(5), 890; https://doi.org/10.3390/math14050890 - 5 Mar 2026
Viewed by 196
Abstract
Critical infrastructure projects are essential for societal well-being and economic prosperity. These projects are characterized by significant complexities and uncertainties, including weather conditions, design challenges, and regulatory constraints, which can hinder their ability to meet time, cost, and quality goals. To address the [...] Read more.
Critical infrastructure projects are essential for societal well-being and economic prosperity. These projects are characterized by significant complexities and uncertainties, including weather conditions, design challenges, and regulatory constraints, which can hinder their ability to meet time, cost, and quality goals. To address the risks that can disrupt such projects, comprehensive risk assessment frameworks are necessary to support decision-makers in managing them. This paper introduces a novel methodological framework for risk assessment in municipal water supply projects. The framework decomposes overall project risk into specific risk criteria to evaluate the impact of each activity on the project’s global risk. It integrates the fuzzy analytical hierarchy process with a fuzzy multi-objective resource-constrained scheduling problem to enhance risk assessment. The practical applicability of the framework is demonstrated through a case study conducted with the Municipal Department of Water Systems in a metropolitan area in southern Tamaulipas, Mexico. The results confirm the effectiveness of the proposed methodology as a robust tool for assessing risks in municipal water supply projects. Full article
Show Figures

Figure 1

Back to TopTop