Sign in to use this feature.

Years

Between: -

Subjects

remove_circle_outline
remove_circle_outline
remove_circle_outline
remove_circle_outline
remove_circle_outline
remove_circle_outline
remove_circle_outline
remove_circle_outline
remove_circle_outline

Journals

Article Types

Countries / Regions

Search Results (154)

Search Parameters:
Keywords = multi-index grading

Order results
Result details
Results per page
Select all
Export citation of selected articles as:
23 pages, 14312 KB  
Article
Gradient Flow Field Designing to Enhance Mass and Heat Transfer for Air-Cooled Proton Exchange Membrane Fuel Cell Using the Modeling Frame
by Xuemei Li, Beibei Chen, Fei Wang, Zhijun Deng, Yajun Wang and Chen Zhao
Batteries 2026, 12(3), 105; https://doi.org/10.3390/batteries12030105 - 19 Mar 2026
Abstract
Structural optimization of the cathode flow field is a viable approach to homogenize multi-physical field distributions and boost the output of air-cooled proton exchange membrane fuel cells (PEMFCs). This work develops a three-dimensional non-isothermal model to systematically evaluate the performance of graded flow [...] Read more.
Structural optimization of the cathode flow field is a viable approach to homogenize multi-physical field distributions and boost the output of air-cooled proton exchange membrane fuel cells (PEMFCs). This work develops a three-dimensional non-isothermal model to systematically evaluate the performance of graded flow channel designs. The results indicate that the graded structure promotes fluid transport in the central zone, thereby improving oxygen distribution uniformity at the gas diffusion layer/catalyst layer (GDL/CL) interface. Compared to the traditional parallel flow channel (with an average oxygen mass fraction of 0.051% and a uniformity index of 0.779), this configuration yields a 6.4% increase in the average oxygen mass fraction and a 0.96% enhancement in distribution uniformity. However, increased gradient flow reduces the flow velocity within the channels and raises the operating temperature, posing challenges for water and thermal management. The curved channel design, featuring longer channels at the ends and shorter channels in the center, compensates for the uneven air supply caused by the fan, thus balancing the flow distribution. Among the tested configurations, the 10° curved structure exhibits optimal performance, achieving the best compromise between gas distribution and liquid water removal. It effectively promotes oxygen diffusion and uniform water distribution, significantly alleviating mass transfer polarization and yielding a more uniform interface temperature distribution due to evaporative cooling. Both excessively small and large curvature angles lead to performance degradation, primarily due to inadequate water removal and flow separation, accompanied by excessive pressure drop, respectively. In contrast, the 10° curved channel strikes an optimal balance, offering significant advantages in overall cell performance and water–thermal management, which provides critical guidance for optimizing PEMFC flow field designs. Full article
(This article belongs to the Special Issue Fuel Cell for Portal and Stationary Applications)
Show Figures

Figure 1

26 pages, 6365 KB  
Article
Geochemical Behaviors and Constraints on REE Enrichment in Weathered Crust of Shallow Metamorphic Rocks: Insights from the Getengzui Ion-Adsorption REE Deposit, South China
by Huihu Fan, Zhenya Chen, Luping Zeng, Dehai Wu, Fuyong Qi, Zhenghui Chen, Tao Wang, Wei Wan and Shuilong Wang
Minerals 2026, 16(3), 321; https://doi.org/10.3390/min16030321 - 19 Mar 2026
Abstract
Ion-adsorption rare earth element (REE) deposits represent strategic critical resources in China, which were traditionally considered to be predominantly hosted in granite weathering crusts. However, the recent discovery of new deposit types within the weathering crusts of shallow metamorphic rocks in South China [...] Read more.
Ion-adsorption rare earth element (REE) deposits represent strategic critical resources in China, which were traditionally considered to be predominantly hosted in granite weathering crusts. However, the recent discovery of new deposit types within the weathering crusts of shallow metamorphic rocks in South China has opened up novel exploration frontiers, while research on their metallogenic mechanisms remains insufficient. To elucidate the REE enrichment mechanisms in shallow metamorphic rock weathering crusts, this study focuses on the Getengzui ion-adsorption REE deposit in southern Jiangxi Province. Twenty-four samples were collected from the weathering crust profiles of the Qingbaikouan Shenshan and Kuli Formations. Multiple analytical approaches were employed, including major and trace element analysis, Chemical Index of Alteration (CIA), Base Leaching Index (BA), and quantitative evaluation of element mass transfer coefficients (τ). Trace element spider diagrams, REE distribution patterns, and A-CN-K diagram analysis were also utilized. The results reveal that the weathering crusts have progressed to the middle–late stage of chemical weathering. The average CIA value is 83 for the middle-upper part of the completely weathered horizon in the Kuli Formation. In contrast, for the completely weathered horizon in the Shenshan Formation, the value is 86. Intense chemical weathering has resulted in the near-complete decomposition of primary silicate minerals and extensive leaching of base cations. This progress has created an acidic pore water environment, which is critical for REE mobilization. REEs exhibit characteristics of in situ secondary enrichment, with significant enrichment of ΣREE in the middle-upper part of the completely weathered horizon. The peak τ(ΣREE) values reach 0.78 and 2.43 for the Kuli and Shenshan Formations, respectively. Apatite dissolution is identified as the primary source of REE ions. Differences exist in the geochemical mobility sequences of elements between the two formations. REE enrichment is controlled by multi-stage geochemical barriers, including an oxidation barrier and a clay adsorption barrier. The oxidation barrier preferentially fixes Ce4+, whereas the clay adsorption barrier serves as the dominant mechanism for large-scale REE enrichment. Parent rock lithology is the primary factor governing the efficiency, scale, and fractionation characteristics of REE enrichment. The Kuli Formation is favorable for forming the thick, large-scale orebodies enriched in light rare earth elements (LREEs). In the contrast, the Shenshan Formation tends to host higher-grade orebodies, characterized by a relatively balanced ratio of LREEs and heavy rare earth elements (HREEs). This study clarifies the main controlling factors for ion-adsorption REE mineralization in two shallow metamorphic rocks. It thereby provides a theoretical basis for future exploration. This framework is applicable to analogous REE resources within shallow metamorphic rock distributions across South China and nationwide. Full article
(This article belongs to the Special Issue Geochemical Exploration for Critical Mineral Resources, 2nd Edition)
Show Figures

Figure 1

24 pages, 684 KB  
Review
Anti-Inflammatory Diets in Metabolic Syndrome and Obesity: Multi-Omics Perspectives on the Interplay Between Gut Microbiota, DNA Methylation, and Adipokine Regulation—A Narrative Review
by Karol Makiel
Int. J. Mol. Sci. 2026, 27(6), 2734; https://doi.org/10.3390/ijms27062734 - 17 Mar 2026
Viewed by 207
Abstract
An anti-inflammatory dietary pattern represents a key component of non-pharmacological management in obesity and metabolic syndrome (MetS), as it targets chronic low-grade inflammation, adipose tissue dysfunction, insulin resistance, and disturbances of the gut–metabolic axis. In the present work, we outline a framework for [...] Read more.
An anti-inflammatory dietary pattern represents a key component of non-pharmacological management in obesity and metabolic syndrome (MetS), as it targets chronic low-grade inflammation, adipose tissue dysfunction, insulin resistance, and disturbances of the gut–metabolic axis. In the present work, we outline a framework for an “omics-based” approach that integrates data on gut microbiota composition and function (metagenomics), adipokine profiles, nutrigenomics, epigenetics, and related transcriptomic and metabolomic layers in order to enable more precise characterization of the metabolic phenotype and to support precision nutrition strategies. The proposed dietary model emphasizes the quality rather than merely the quantity of macronutrients, with particular focus on lipid profile optimization. Specifically, total fat intake is recommended to remain below 30% of total energy through the reduction in saturated fatty acids (SFA), trans fats, and excessive omega-6 fatty acids, alongside increased consumption of omega-3 PUFA (EPA/DHA) and plant-based sources of α-linolenic acid (ALA). Concurrently, greater intake of lean protein sources and low-glycemic-index carbohydrates rich in dietary fibre—particularly fermentable fractions—is recommended. The model also highlights the importance of polyphenols with antioxidant and immunomodulatory properties. To enhance feasibility and long-term adherence, recommendations are structured as flexible food substitutions rather than rigid prescriptions. Further well-designed interventional studies are required to confirm the impact of a multi-omics-based anti-inflammatory diet on both molecular and clinical endpoints. Full article
Show Figures

Figure 1

20 pages, 2312 KB  
Article
Effect-Directed Extraction of Grape Pomace: Optimizing Antioxidant and Antibrowning Efficacy
by Ignacio Cabezudo, Maximiliano Campero, Andrea M. Escalante and Ricardo L. E. Furlan
Processes 2026, 14(6), 925; https://doi.org/10.3390/pr14060925 - 14 Mar 2026
Viewed by 250
Abstract
The increasing interest in valorizing agricultural by-products has positioned grape pomace as a rich source of bioactive compounds. This study developed an effect-directed extraction (EDE) approach guided by bioactivity quantification on thin layer chromatography (TLC). Twelve grape pomaces were screened based on antioxidant [...] Read more.
The increasing interest in valorizing agricultural by-products has positioned grape pomace as a rich source of bioactive compounds. This study developed an effect-directed extraction (EDE) approach guided by bioactivity quantification on thin layer chromatography (TLC). Twelve grape pomaces were screened based on antioxidant and tyrosinase inhibitory properties. Using hydroalcoholic solvent (ethanol:water, 1:1), the two most promising sources (Malbec from San Rafael) were subjected to response surface methodology (RSM) to optimize extraction of anti-browning and antioxidant compounds visualized as TLC spots. Temperature and time were optimized (76 °C, 45 min), and samples were analyzed using TLC coupled with DPPH and laccase inhibition bioautography. Antioxidant compounds showed retention factor values on TLC plates of 0.37 and 0.75 (DPPH/ABTS-active), while laccase inhibition occurred at Rf 0.35, coinciding with the primary tyrosinase inhibition zone. However, subsequent bioassay-guided HPLC fractionation and HRMS/MS analysis revealed that tyrosinase and laccase inhibitions are mediated by distinct compounds within this bioactive zone, highlighting a synergistic multi-target effect in the optimized extract that is retained throughout the process. The primary tyrosinase inhibitor at Rf ~0.35 was tentatively elucidated as an acylated anthocyanin, consistent with malvidin-3-O-(p-coumaroyl)glucoside. Optimized extracts were evaluated on Pink Lady apple slices at different timepoints. The browning index was reduced by 25% versus the control at 15 h, confirmed by significantly lower ΔE values (p < 0.05). The process requires only food-grade solvents and conventional equipment, facilitating scale-up for grape pomace generated worldwide. Validating the EDE strategy, this TLC-guided approach successfully tracked and preserved the primary anti-tyrosinase activity from the crude waste matrix down to the tentatively identified molecule, contributing to circular economy objectives in the wine industry. Full article
Show Figures

Figure 1

29 pages, 4988 KB  
Article
MARU-MTL: A Mamba-Enhanced Multi-Task Learning Framework for Continuous Blood Pressure Estimation Using Radar Pulse Waves
by Jinke Xie, Juhua Huang, Chongnan Xu, Hongtao Wan, Xuetao Zuo and Guanfang Dong
Bioengineering 2026, 13(3), 320; https://doi.org/10.3390/bioengineering13030320 - 11 Mar 2026
Viewed by 242
Abstract
Continuous blood pressure (BP) monitoring is essential for the prevention and management of cardiovascular diseases. Traditional cuff-based methods cause discomfort during repeated measurements, and wearable sensors require direct skin contact, limiting their applicability. Radar-based contactless BP measurement has emerged as a promising alternative. [...] Read more.
Continuous blood pressure (BP) monitoring is essential for the prevention and management of cardiovascular diseases. Traditional cuff-based methods cause discomfort during repeated measurements, and wearable sensors require direct skin contact, limiting their applicability. Radar-based contactless BP measurement has emerged as a promising alternative. However, radar pulse wave (RPW) signals are susceptible to motion artifacts, respiratory interference, and environmental clutter, posing persistent challenges to estimation accuracy and robustness. In this paper, we propose MARU-MTL, a Mamba-enhanced multi-task learning framework for continuous BP estimation using a single millimeter-wave radar sensor. To address signal quality degradation, a Variational Autoencoder-based Signal Quality Index (VAE-SQI) mechanism is proposed to automatically screen RPW segments without manual annotation. To capture long-range temporal dependencies across cardiac cycles, we integrate a Bidirectional Mamba module into the bottleneck of a U-Net backbone, enabling linear-time sequence modeling with respect to the segment length. We also introduce a multi-task learning strategy that couples BP regression with arterial blood pressure waveform reconstruction to strengthen physiological consistency. Extensive experiments on two datasets comprising 55 subjects demonstrate that MARU-MTL achieves mean absolute errors of 3.87 mmHg and 2.93 mmHg for systolic and diastolic BP, respectively, meeting commonly used AAMI error thresholds and achieving metrics comparable to BHS Grade A. Full article
(This article belongs to the Special Issue Contactless Technologies for Patient Health Monitoring)
Show Figures

Figure 1

20 pages, 14553 KB  
Article
Spatiotemporal Characteristics and Hazard Assessment of Drought in Inner Mongolia Based on the MCI
by Yanmin Li, Jinghui Liu, Xinxu Li, Zixuan Wang and Chenxu Liu
ISPRS Int. J. Geo-Inf. 2026, 15(3), 102; https://doi.org/10.3390/ijgi15030102 - 1 Mar 2026
Viewed by 228
Abstract
This study identifies and extracts two typical drought characteristics, drought frequency and drought severity, based on the Meteorological Drought Composite Index (MCI), and systematically analyzes their spatiotemporal evolution in Inner Mongolia. Using a two-stage geographical detector approach, the dominant factors of drought characteristics [...] Read more.
This study identifies and extracts two typical drought characteristics, drought frequency and drought severity, based on the Meteorological Drought Composite Index (MCI), and systematically analyzes their spatiotemporal evolution in Inner Mongolia. Using a two-stage geographical detector approach, the dominant factors of drought characteristics and their spatial variations are quantitatively identified across different drought grades and subregions, and the weights of drought indicators are determined accordingly. Finally, a multi-level drought hazard assessment is conducted using a drought hazard index model, providing scientific support for drought risk management and disaster prevention in Inner Mongolia. The results indicate that (1) drought characteristics exhibit significant spatial heterogeneity. Drought frequency presents a distinct east–high to west–low gradient, while high values of drought severity are concentrated in the central and southwestern regions. Temporally, drought frequency shows an increasing trend, whereas drought severity demonstrates periodic fluctuations and relative stability. (2) Results from factor and interaction detection reveal that light, moderate, and extreme drought levels are primarily influenced by the combined effects of regions with extremely high drought frequency and drought severity. In contrast, severe drought is mainly driven by regions with extremely high frequency and high severity. Moreover, the interaction between multiple factors significantly enhances the explanatory power for drought severity levels compared to individual factors. (3) The drought hazard assessment shows that high-hazard areas are mainly concentrated in Alxa League, Tongliao City, and other regions. The spatial distribution of hazard levels is highly consistent with historical drought statistics, thereby validating the rationality and practical applicability of the proposed model. Full article
Show Figures

Figure 1

19 pages, 2815 KB  
Article
Quantitative Evaluation of Aggregate Gradation Based on Synergistic Mechanism of Geometric Characteristics, Size and Passing Rates
by Baoyong Zhang, Peng Ji, Xin He, Jinfei Su, Jicong Xu and Ming Jia
Coatings 2026, 16(3), 290; https://doi.org/10.3390/coatings16030290 - 27 Feb 2026
Viewed by 220
Abstract
The current gradation design of asphalt mixtures relies solely on sieve passing rates of single-sized aggregates. The quantitative evaluation of aggregate gradation is a challenge, considering the combined action of the geometric characteristics, size and passing rates of the aggregates. Analyzing the multi-dimensional [...] Read more.
The current gradation design of asphalt mixtures relies solely on sieve passing rates of single-sized aggregates. The quantitative evaluation of aggregate gradation is a challenge, considering the combined action of the geometric characteristics, size and passing rates of the aggregates. Analyzing the multi-dimensional geometric synergistic characteristics of graded aggregate can help to quantify the gradation. The AIMS II system was used to systematically and quantitatively evaluate the shape, angularity and texture of parameter distribution of single-sized aggregates. The synergistic effect of composite geometric characteristics on the mesoscopic interface behaviors was analyzed, and then a calculation model of aggregate gradation characteristic was established based on the gray relational analysis method. The results show that the lithology and source of aggregates govern the geometric characteristics indices of single-sized aggregates, whereas particle size controls the extent to which these geometric characteristics contribute to skeleton stability and interface interactions. A higher proportion of large-sized coarse aggregates results in a greater composite angularity index and a more stable skeleton structure within the asphalt mixture. Texture characteristics and particle size distribution are integrated into a unified composite texture index. As this index increases, the lubrication effect of asphalt on the aggregate skeleton becomes more pronounced. The aggregate gradation characteristic index demonstrates strong discriminative capability for different gradations and exhibits a robust linear correlation with aggregate–asphalt interfacial interaction indices. This index demonstrates strong capability to quantitatively describe the synergistic mechanism of multi-dimensional geometric characteristics and gradation types of asphalt mixtures. Full article
(This article belongs to the Section Environmental Aspects in Colloid and Interface Science)
Show Figures

Figure 1

24 pages, 16893 KB  
Article
Shale Gas Sweet Spot Prediction and Optimal Well Deployment in the Wufeng–Longmaxi Formation of the Anchang Syncline, Northern Guizhou
by Jiliang Yu, Ye Tao and Zhidong Bao
Processes 2026, 14(4), 652; https://doi.org/10.3390/pr14040652 - 13 Feb 2026
Viewed by 251
Abstract
Shale gas “sweet spot” prediction serves as a pivotal technical link in shale gas exploration and development, directly governing the efficiency of exploration deployment and the economic viability of development projects. To address the research gap in sweet spot prediction for complex synclinal [...] Read more.
Shale gas “sweet spot” prediction serves as a pivotal technical link in shale gas exploration and development, directly governing the efficiency of exploration deployment and the economic viability of development projects. To address the research gap in sweet spot prediction for complex synclinal structures, this study establishes an integrated geology–engineering–economics evaluation framework, incorporating artificial intelligence (AI)-assisted parameter optimization and dynamic weight adjustment. This innovative approach overcomes the inherent limitations of single-parameter and static evaluation methods commonly employed in new exploration areas. Focusing on the Upper Ordovician Wufeng Formation to Lower Silurian Longmaxi Formation shale sequences within the Anchang Syncline of northern Guizhou, a comprehensive geological characterization of shale reservoirs was accomplished through the fine processing of 3D seismic data (dominant frequency: 30 Hz; signal-to-noise ratio: 8.5) and statistical analysis of logging data. Prestack elastic parameter inversion technology was utilized to quantitatively predict key geological sweet spot parameters, including the total organic carbon (TOC) content and total gas content, with model validation conducted using core test data. Coupled with prestack and poststack seismic attribute analysis, engineering sweet spot evaluation indicators—encompassing fracture development, in situ stress, the pressure coefficient, and the brittleness index—were established with well-defined quantitative criteria. By integrating multi-source data from geology, geophysics, and engineering dynamics, a three-dimensional evaluation system encompassing “preservation conditions–reservoir quality–engineering feasibility” was constructed, with the random forest algorithm employed for sensitive parameter screening. Research findings indicate that high-quality shale in the study area exhibits a thickness ranging from 17 to 22 m, characterized by a TOC content ≥ 4%, gas content of 4.3–4.8 m3/t, effective porosity of 3.5–5.25%, and brittleness index of 55–75. These properties collectively manifest the “high organic matter enrichment, high gas content, and high brittleness” characteristics. Through multi-parameter weighted comprehensive evaluation using the Analytic Hierarchy Process (AHP), complemented by sensitivity testing, sweet spots were classified into three grades: Class I (63 km2), Class II (31 km2), and Class III (27 km2). An optimized well placement scheme for the southern region was proposed, taking into account long-term production dynamics and economic assessment. This study establishes a multi-parameter, multi-technology integrated sweet spot evaluation system with strong transferability, providing a robust scientific basis for the large-scale exploration and development of shale gas in northern Guizhou and analogous complex structural regions worldwide. Full article
(This article belongs to the Section Petroleum and Low-Carbon Energy Process Engineering)
Show Figures

Figure 1

14 pages, 1787 KB  
Article
Multi-Omics Analysis of Morbid Obesity Using a Patented Unsupervised Machine Learning Platform: Genomic, Biochemical, and Glycan Insights
by Irena Šnajdar, Luka Bulić, Andrea Skelin, Leo Mršić, Mateo Sokač, Maja Brkljačić, Martina Matovinović, Martina Linarić, Jelena Kovačić, Petar Brlek, Gordan Lauc, Martina Smolić and Dragan Primorac
Int. J. Mol. Sci. 2026, 27(3), 1551; https://doi.org/10.3390/ijms27031551 - 4 Feb 2026
Viewed by 575
Abstract
Morbid obesity is a complex, multifactorial disorder characterized by metabolic and inflammatory dysregulation. The aim of this study was to observe changes in obese patients adhering to a personalized nutrition plan based on multi-omic data. This study included 14 adult patients with a [...] Read more.
Morbid obesity is a complex, multifactorial disorder characterized by metabolic and inflammatory dysregulation. The aim of this study was to observe changes in obese patients adhering to a personalized nutrition plan based on multi-omic data. This study included 14 adult patients with a body mass index (BMI) > 40 kg/m2 who were consecutively recruited from those presenting to our outpatient clinic and who met the inclusion criteria. Clinical, biochemical, hormonal, and glycomic parameters were assessed, along with whole-genome sequencing (WGS) that included a focused analysis of obesity-associated genes and an extended analysis encompassing genes related to cardiometabolic disorders, hereditary cancer risk, and nutrigenetic profiles. Patients were stratified into nutrigenetic clusters using a patented unsupervised machine learning platform (German Patent Office, No. DE 20 2025 101 197 U1), which was employed to generate personalized nutrigenetic dietary recommendations for patients with morbid obesity to follow over a six-month period. At baseline, participants exhibited elevated glucose, insulin, homeostatic model assessment for insulin resistance (HOMA-IR), triglycerides, and C-reactive protein (CRP) levels, consistent with insulin resistance and chronic low-grade inflammation. The majority of participants harbored risk alleles within the fat mass and obesity-associated gene (FTO) and the interleukin-6 gene (IL-6), together with multiple additional significant variants identified across more than 40 genes implicated in metabolic regulation and nutritional status. Using an AI-driven clustering model, these genetic polymorphisms delineated a uniform cluster of patients with morbid obesity. The mean GlycanAge index (56 ± 12.45 years) substantially exceeded chronological age (32 ± 9.62 years), indicating accelerated biological aging. Following a six-month personalized nutrigenetic dietary intervention, significant reductions were observed in both BMI (from 52.09 ± 7.41 to 34.6 ± 9.06 kg/m2, p < 0.01) and GlycanAge index (from 56 ± 12.45 to 48 ± 14.83 years, p < 0.01). Morbid obesity is characterized by a pro-inflammatory and metabolically adverse molecular signature reflected in accelerated glycomic aging. Personalized nutrigenetic dietary interventions, derived from AI-driven analysis of whole-genome sequencing (WGS) data, effectively reduced both BMI and biological age markers, supporting integrative multi-omics and machine learning approaches as promising tools in precision-based obesity management. Full article
(This article belongs to the Special Issue Molecular Studies on Obesity and Related Diseases)
Show Figures

Figure 1

16 pages, 1159 KB  
Article
Oscillatory Correlates of Habituation: EEG Evidence of Sustained Frontal Theta Activity to Food Cues
by Aruna Duraisingam, Daniele Soria and Ramaswamy Palaniappan
Sensors 2026, 26(3), 1001; https://doi.org/10.3390/s26031001 - 3 Feb 2026
Viewed by 512
Abstract
Understanding how the brain adapts to repeated food-related cues provides insight into attentional and motivational mechanisms that influence eating behaviour. Previous studies using event-related potentials (ERPs) have shown that food cues, particularly high-calorie stimuli, elicit sustained neural responses with repeated exposure. The present [...] Read more.
Understanding how the brain adapts to repeated food-related cues provides insight into attentional and motivational mechanisms that influence eating behaviour. Previous studies using event-related potentials (ERPs) have shown that food cues, particularly high-calorie stimuli, elicit sustained neural responses with repeated exposure. The present study extends this line of inquiry by examining the oscillatory dynamics of within-session habituation using time-frequency analysis of electroencephalographic (EEG) data from 24 healthy adult participants. Repeated presentations of the same high-calorie, low-calorie, and non-food images were shown, and changes in power across the delta, theta, alpha, beta, and gamma bands were analysed using cluster-based permutation testing. The results revealed a significant habituation effect for the non-food image within the theta band at frontal scalp electrode clusters between 110–330 ms, characterised by a progressive reduction in power over time. In contrast, both high and low-calorie food cues maintained more stable oscillatory activity, indicating sustained attentional engagement. Participant-level analyses further suggested that changes in attentional engagement followed a graded pattern rather than clear categorical differences across stimulus types. These findings suggest that neural habituation is modulated by stimulus salience, with high-calorie food images resisting adaptation through persistent theta-band synchronisation at frontal scalp electrodes. Integrating these oscillatory results with prior time-domain evidence highlights a multi-stage attentional process: an early sensory filtering phase reflected in parietal ERPs and a sustained regulatory phase indexed by theta-band activity recorded at frontal scalp electrodes. This study provides novel evidence that time-frequency analysis captures complementary aspects of attentional adaptation that are not visible in traditional ERP measures, offering a richer understanding of how the brain maintains attention to appetitive visual stimuli. Full article
Show Figures

Figure 1

29 pages, 4507 KB  
Article
Data-Driven Modeling and Simulation for Optimizing Color in Polycarbonate: The Dominant Role of Processing Speed on Pigment Dispersion and Rheology
by Jamal Al Sadi
Materials 2026, 19(2), 366; https://doi.org/10.3390/ma19020366 - 16 Jan 2026
Viewed by 509
Abstract
Maintaining color constancy in polymer extrusion processes is a key difficulty in manufacturing applications, as fluctuations in processing parameters greatly influence pigment dispersion and the quality of the finished product. Preliminary historical data mining analysis was conducted in 2009. This work concentrates on [...] Read more.
Maintaining color constancy in polymer extrusion processes is a key difficulty in manufacturing applications, as fluctuations in processing parameters greatly influence pigment dispersion and the quality of the finished product. Preliminary historical data mining analysis was conducted in 2009. This work concentrates on Opaque PC Grade 5, which constituted 2.43% of the pigment; it contained 10 PPH of resin2 with a Melt Flow Index (MFI) of 6.5 g/10 min and 90 PPH of resin1. It also employs a fixed resin composition with an MFI of 25 g/10 min. This research identified the significant processing parameters (PPs) contributing to the lowest color deviation. Interactions between processing parameters, for the same color formulation, were analyzed using statistical methods under various processing conditions. A principle-driven General Trends (GT) diagnostic procedure was applied, wherein each parameter was individually varied across five levels while holding others constant. Particle size distribution (PSD) and colorimetric data (CIE Lab*) were systematically measured and analyzed. To complete this, correlations for the impact of temperature (Temp) on viscosity, particle characteristics, and color quality were studied by characterizing viscosity, Digital Optical Microscopy (DOM), and particle size distribution at various speeds. The samples were characterized for viscosity at three temperatures (230, 255, 280 °C) and particle size distribution at three speeds: 700, 750, 800 rpm. This study investigates particle processing features, such as screw speed and pigment size distribution. The average pigment diameter and the fraction of small particles were influenced by the speed of 700–775 rpm. At 700 rpm, the mean particle size was 2.4 µm, with 61.3% constituting particle numbers. The mean particle size diminished to 2 µm at 775 rpm; however, the particle count proportion escalated to 66% at 800 rpm. This research ultimately quantifies the relative influence of particle size on the reaction, resulting in a color value of 1.36. The mean particle size and particle counts are positively correlated; thus, reduced pigment size at increased speed influences color response and quality. The weighted contributions of the particles, 51.4% at 700 rpm and 48.6% at 800 rpm, substantiate the hypothesis. Further studies will broaden the GT analysis to encompass multi-parameter interactions through design experiments and will test the diagnostic assessment procedure across various polymer grades and colorants to create robust models of prediction for industrial growth. The global quality of mixing polycarbonate compounding constituents ensured consistent and smooth pigment dispersion, minimizing color streaks and resulting in a significant improvement in color matching for opaque grades. Full article
Show Figures

Graphical abstract

27 pages, 7611 KB  
Article
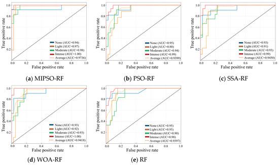
Model for Predicting the Rockburst Intensity Grade in Gently Dipping Rock Strata via MIPSO-RF
by Junwei Ma, Kepeng Hou, Huafen Sun, Yalei Zhe, Qunzhi Cheng, Zhigang Zhu, Lidie Wang and Zixu Wang
Sustainability 2026, 18(2), 809; https://doi.org/10.3390/su18020809 - 13 Jan 2026
Viewed by 217
Abstract
This study aims to improve the prediction accuracy of rockburst intensity grades in gently dipping rock strata, and provide reliable technical support for risk prevention, long-term stable production and sustainable development in underground engineering construction. Therefore, a rockburst intensity grade prediction model combining [...] Read more.
This study aims to improve the prediction accuracy of rockburst intensity grades in gently dipping rock strata, and provide reliable technical support for risk prevention, long-term stable production and sustainable development in underground engineering construction. Therefore, a rockburst intensity grade prediction model combining multi-strategy improved particle swarm optimization (MIPSO) with random forest (RF) is proposed, and the stress coefficient (SCF), brittleness coefficient (B) and elastic energy index (Wet) are selected as input indicators. After the algorithm and model are validated using benchmark test functions and the five-fold cross-validation method, their performance is compared with that of the other four models based on evaluation metrics, and the Shapley interpretability analysis (SHAP) is conducted. The results show that the performance of the model is superior to that of other models, and the importance ranking of the prediction indicators is SCF, Wet, and B. Finally, the application software developed based on the model is used for rockburst intensity grade prediction; rockburst prediction indicators are obtained through experiments and numerical simulations, and the prediction results obtained after importing them into the software are consistent with the actual situation, which proves that the rockburst prediction framework constructed in this paper has practicality. Full article
Show Figures

Figure 1

27 pages, 9008 KB  
Article
Assessing Ecosystem Health in Qinling Region: A Spatiotemporal Analysis Using an Improved Pressure–State–Response Framework and Monte Carlo Simulations
by Hanwen Tian, Yiping Chen, Yan Zhao, Jiahong Guo and Yao Jiang
Sustainability 2026, 18(2), 760; https://doi.org/10.3390/su18020760 - 12 Jan 2026
Viewed by 285
Abstract
Ecosystem health assessment is essential for informing ecological protection and sustainable management, yet current evaluation frameworks often overlook the foundational role of natural background conditions and struggle with methodological uncertainties in indicator weighting, particularly in ecologically fragile regions. To address these dual challenges, [...] Read more.
Ecosystem health assessment is essential for informing ecological protection and sustainable management, yet current evaluation frameworks often overlook the foundational role of natural background conditions and struggle with methodological uncertainties in indicator weighting, particularly in ecologically fragile regions. To address these dual challenges, this study proposes a novel Base–Pressure–State–Response (BPSR) framework that systematically integrates key natural background factors as a fundamental “Base” layer. Focusing on the Qinling Mountains—a critical ecological barrier in China—we implemented this framework at the county scale using multi-source data (2000–2023) and introduced a Monte Carlo simulation with triangular probability distributions to quantify and synthesize weight uncertainties from multiple methods, thereby enhancing assessment robustness. Furthermore, the Geodetector method was employed to quantitatively identify the driving forces behind the spatiotemporal heterogeneity of ecosystem health. Supported by 3S technology, our analysis demonstrates a sustained improvement in ecosystem health: the composite index rose from 0.723 to 0.916, healthy areas expanded from 60.17% to 68.48%, and nearly half of the region achieved a higher health grade. Spatially, a persistent “low–south, high–north” pattern was observed, shaped by human disturbance gradients, while temporally, the region evolved from localized improvement (2000–2010) to broad-scale recovery (2010–2023), despite lingering degradation in human-dominated zones. Driving force analysis revealed a shift from early dominance by natural and land use factors to a later complex interplay where urbanization pressure and climatic conditions jointly shaped the health pattern. The BPSR framework, combined with probabilistic weight optimization and driving force quantification, offers a methodologically robust and spatially explicit tool that advances ecosystem health evaluation and supports targeted ecological governance, policy formulation, and sustainable management in fragile mountain ecosystems, with transferable insights for similar regions globally. Full article
Show Figures

Figure 1

26 pages, 10086 KB  
Article
Multi-Strain Probiotic Improves Tryptophan Metabolism and Symptoms in Chronic Fatigue Syndrome Patients with Co-Occurring Irritable Bowel Syndrome: An Open-Label Pilot Study
by Cezary Chojnacki, Marta Mędrek-Socha, Jan Chojnacki, Anita Gąsiorowska, Ewa Walecka-Kapica, Michal Bijak, Karolina Przybylowska-Sygut and Tomasz Poplawski
Nutrients 2026, 18(1), 174; https://doi.org/10.3390/nu18010174 - 5 Jan 2026
Viewed by 1424
Abstract
Background/Objectives: Gut dysbiosis in Chronic Fatigue Syndrome (CFS) drives low-grade inflammation and shifts tryptophan metabolism toward neurotoxic pathways. The causal link between bacterial translocation, kynurenine pathway dysregulation, and symptom severity remains under-defined. We evaluated the impact of a high-concentration multi-strain probiotic on [...] Read more.
Background/Objectives: Gut dysbiosis in Chronic Fatigue Syndrome (CFS) drives low-grade inflammation and shifts tryptophan metabolism toward neurotoxic pathways. The causal link between bacterial translocation, kynurenine pathway dysregulation, and symptom severity remains under-defined. We evaluated the impact of a high-concentration multi-strain probiotic on the “gut-kynurenine axis” and clinical status in CFS patients with co-morbid IBS-U and confirmed dysbiosis. Methods: Forty female patients with confirmed dysbiosis (GA-map™ Dysbiosis Index > 2) received the CDS22 formula (450 billion CFU/day) for 12 weeks. We compared urinary tryptophan metabolite profiles (LC-MS/MS), gut dysbiosis markers (3-indoxyl sulfate), and fatigue severity (FSS) against 40 age-matched healthy controls. Results: Baseline analysis revealed profound metabolic perturbations: elevated bacterial proteolytic markers (3-IS), substrate depletion (low tryptophan), and a neurotoxic signature (high quinolinic acid [QA], low kynurenic acid [KYNA]). Following the intervention, fatigue scores declined by 40.3%, with 97.5% of patients reaching the remission threshold (FSS < 36). Biochemically, 3-IS levels decreased to the range observed in healthy controls and attenuated xanthurenic acid levels. Although absolute QA concentrations remained elevated compared to controls, the neuroprotective KYNA/QA ratio increased significantly (+45%). Increased systemic tryptophan availability correlated directly with clinical symptom reduction (Spearman’s rho = −0.36, p = 0.024). Conclusions: The CDS22 formulation was associated with a restoration of intestinal eubiosis and functional tryptophan partitioning. Clinical remission coincides with a metabolic shift favoring neuroprotection (increased KYNA/QA ratio), validating the gut–kynurenine axis as a modifiable therapeutic target. Peripheral metabolic improvement relative to the healthy baseline appeared sufficient for symptom relief in this specific phenotype, despite incomplete clearance of neurotoxic metabolites. Full article
(This article belongs to the Section Prebiotics, Probiotics and Postbiotics)
Show Figures

Figure 1

29 pages, 6257 KB  
Article
WGMG-Net: A Wavelet-Guided Real-Time Instance Segmentation Framework for Automated Post-Harvest Grape Quality Assessment
by Haoyuan Hao, Lvhan Zhuang, Yi Yang, Chongchong Yu, Xinting Yang and Jiangbo Li
Agriculture 2026, 16(1), 121; https://doi.org/10.3390/agriculture16010121 - 2 Jan 2026
Viewed by 415
Abstract
Grading of table grapes depends on reliable berry-level phenotyping, yet manual inspection is subjective and slow. A wavelet-guided instance segmentation network named WGMG-Net is introduced for automated assessment of post-harvest grape clusters. A multi-scale feature merging module based on discrete wavelet transform is [...] Read more.
Grading of table grapes depends on reliable berry-level phenotyping, yet manual inspection is subjective and slow. A wavelet-guided instance segmentation network named WGMG-Net is introduced for automated assessment of post-harvest grape clusters. A multi-scale feature merging module based on discrete wavelet transform is used to preserve edges under dense occlusion, and a bivariate fusion enhanced attention mechanism is used to strengthen channel and spatial cues. Instance masks are produced for all berries, a regression head estimates the total berry count, and a mask-derived compactness index assigns clusters to three tightness grades. On a Shine Muscat dataset with 252 cluster images acquired on a simulated sorting line, the WGMG-Net variant attains a mean average precision at Intersection over Union (IoU) 0.5 of 98.98 percent and at IoU 0.5 to 0.95 of 87.76 percent, outperforming Mask R-CNN, PointRend and YOLO models with fewer parameters. For berry counting, a mean absolute error of 1.10 berries, root mean square error of 1.48 berries, mean absolute percentage error of 2.82 percent, accuracy within two berries of 92.86 percent and Pearson correlation of 0.986 are achieved. Compactness grading reaches Top-1 accuracy of 98.04 percent and Top-2 accuracy of 100 percent, supporting the use of WGMG-Net for grape quality evaluation. Full article
(This article belongs to the Section Artificial Intelligence and Digital Agriculture)
Show Figures

Figure 1

Back to TopTop