Multi-Strain Probiotic Improves Tryptophan Metabolism and Symptoms in Chronic Fatigue Syndrome Patients with Co-Occurring Irritable Bowel Syndrome: An Open-Label Pilot Study
Simple Summary
Abstract
1. Introduction
2. Materials and Methods
2.1. Participants and Study Design
2.2. Fatigue Assessment
2.3. Laboratory Tests
2.4. Direct Dysbiosis Assessment (GA-Map™ Technology)
2.5. Probiotic Intervention Protocol
2.6. Nutritional Control and Dietary Monitoring
2.7. Ethical Statement
2.8. Statistical Analysis
2.8.1. Hypothesis Testing and Effect Sizes
- Cliff’s delta (δ) for independent samples.
- Rank–biserial correlation (rrb) for paired samples.
- 95% CIs for effect sizes were generated via bootstrap resampling (B = 4000 replicates).
2.8.2. Multiple Testing Correction
2.8.3. Clinical and Longitudinal Analysis
2.8.4. Binary Outcomes
2.8.5. Visualization
3. Results
3.1. Baseline Characteristics and Safety Profile
3.2. Baseline Tryptophan Metabolite Profile Distinguishes CFS from Healthy Controls
3.2.1. Overview of Metabolic Dysregulation
3.2.2. Markers of Dysbiotic Tryptophan Catabolism
3.2.3. Shift Toward Kynurenine Pathway Neurotoxicity
3.2.4. Imbalance of Neuroprotective Capacity
3.2.5. Substrate Availability and Serotonin Pathway
3.3. Treatment-Induced Changes in Tryptophan Metabolism
3.3.1. Overview of Treatment Response
3.3.2. Attenuation of the Kynurenine Pathway
3.3.3. Restoration of Neuroprotective Capacity
3.3.4. Reduction in Gut-Derived Metabolites
3.3.5. Serotonin Pathway and Substrate Availability
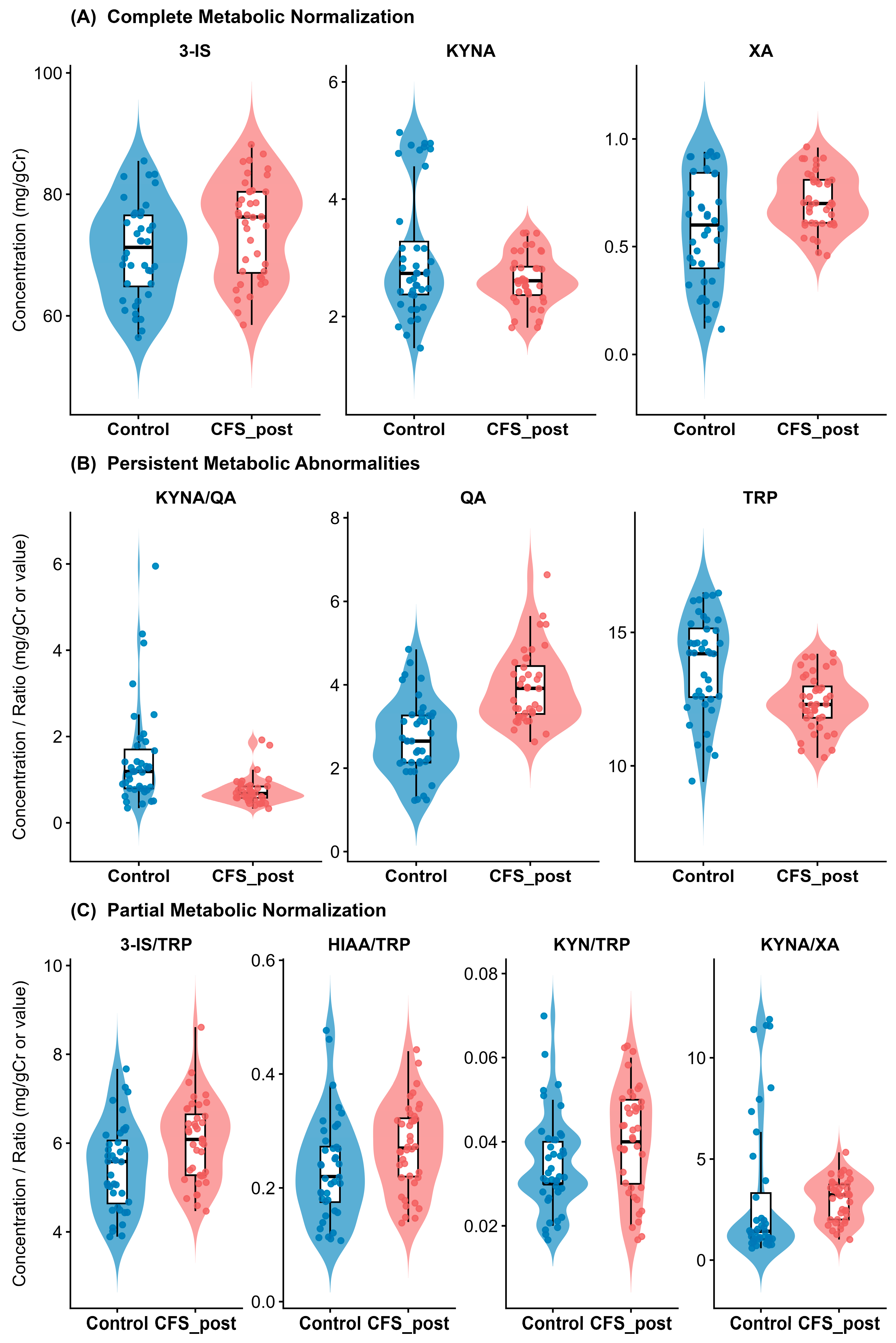
3.4. Post-Treatment Metabolic Profile Relative to Healthy Baseline
3.4.1. Overview of Normalization Status
3.4.2. Complete Normalization of Gut and Kynurenine Markers
3.4.3. Persistent Neurotoxic Liability
3.4.4. Persistent Tryptophan Deficit
3.5. Progressive Reduction in Fatigue and Symptom Resolution
3.5.1. Fatigue Severity Scale (FSS) Trajectory
3.5.2. Clinical Response Rates
3.5.3. Somatic Symptoms and Tolerability
3.6. Tryptophan Availability Predicts Magnitude of Clinical Benefit
4. Discussion
5. Conclusions
Author Contributions
Funding
Institutional Review Board Statement
Informed Consent Statement
Data Availability Statement
Acknowledgments
Conflicts of Interest
Abbreviations
| 3-IS | 3-Indoxyl Sulfate |
| 5-HIAA | 5-Hydroxyindoleacetic Acid |
| ALT | Alanine Aminotransferase |
| AST | Aspartate Aminotransferase |
| CFQ-11 | Chalder Fatigue Scale |
| CFS | Chronic Fatigue Syndrome |
| CFU | Colony-Forming Units |
| CI | Confidence Interval |
| CRP | C-Reactive Protein |
| DI | Dysbiosis Index |
| eGFR | Estimated Glomerular Filtration Rate |
| FDR | False Discovery Rate |
| FSH | Follicle-Stimulating Hormone |
| FSS | Fatigue Severity Scale |
| GA-map | Genetic Analysis map (Dysbiosis Test) |
| GC-MS/MS | Gas Chromatography–Tandem Mass Spectrometry |
| IBS-U | Irritable Bowel Syndrome (Unclassified Subtype) |
| IDO | Indoleamine 2,3-Dioxygenase |
| IQR | Interquartile Range |
| KYN | Kynurenine |
| KYNA | Kynurenic Acid |
| LC-MS/MS | Liquid Chromatography–Tandem Mass Spectrometry |
| MCID | Minimally Clinically Important Difference |
| NMDA | N-Methyl-D-Aspartate |
| QA | Quinolinic Acid |
| SDI | Shannon Diversity Index |
| TDO | Tryptophan 2,3-Dioxygenase |
| TRP | Tryptophan |
| TSH | Thyroid-Stimulating Hormone |
| XA | Xanthurenic Acid |
References
- Holmes, G.P.; Kaplan, J.E.; Gantz, N.M.; Komaroff, A.L.; Schonberger, L.B.; Straus, S.E.; Jones, J.F.; Dubois, R.E.; Cunningham-Rundles, C.; Pahwa, S.; et al. Chronic Fatigue Syndrome: A Working Case Definition. Ann. Intern. Med. 1988, 108, 387–389. [Google Scholar] [CrossRef]
- Fukuda, K.; Straus, S.E.; Hickie, I.; Sharpe, M.C.; Dobbins, J.G.; Komaroff, A. The Chronic Fatigue Syndrome: A Comprehensive Approach to Its Definition and Study. Ann. Intern. Med. 1994, 121, 953–959. [Google Scholar] [CrossRef]
- Carruthers, B.M.; Jain, A.; De Meirleir, K.L.; Peterson, D.L.; Klimas, N.G.; Lerner, A.M.; Bested, A.C.; Flor-Henry, P.; Joshi, P.; Powles, A.C.P.; et al. Myalgic Encephalomyelitis/Chronic Fatigue Syndrome: Clinical Working Case Definition, Diagnostic and Treatment Protocols. J. Chronic Fatigue Syndr. 2003, 11, 7–115. [Google Scholar] [CrossRef]
- Committee on the Diagnostic Criteria for Myalgic Encephalomyelitis/Chronic Fatigue Syndrome; Board on the Health of Select Populations; Institute of Medicine. Beyond Myalgic Encephalomyelitis/Chronic Fatigue Syndrome: Redefining an Illness; National Academies Press: Washington, DC, USA, 2015. Available online: https://www.ncbi.nlm.nih.gov/books/NBK274235/ (accessed on 10 February 2025).
- Tate, W.; Walker, M.; Sweetan, E.; Heliweli, A.; Peppercorn, K.; Edgar, C.; Blair, A.; Chatterjee, A. Molecular Mechanism of Neuroinflammation in ME/CFS and Long COVID to Sustain Disease and Promote Relapses. Front. Neurol. 2022, 13, 877772. [Google Scholar] [CrossRef] [PubMed]
- Nagy-Szakal, D.; Williams, B.L.; Mishra, N.; Che, X.; Lee, B.; Bateman, L.; Klimas, N.G.; Komaroff, A.L.; Levine, S.; Montoya, J.G.; et al. Fecal Metagenomic Profiles in Subgroups of Patients with Myalgic Encephalomyelitis/Chronic Fatigue Syndrome. Microbiome 2017, 5, 44. [Google Scholar] [CrossRef] [PubMed]
- Fremont, M.; Coomans, D.; Massart, S.; De Meirleir, K. High-Throughput 16S rRNA Gene Sequencing Reveals Alterations of Intestinal Microbiota in Myalgic Encephalomyelitis/Chronic Fatigue Syndrome Patients. Anaerobe 2013, 22, 50–56. [Google Scholar] [CrossRef]
- Armstrong, C.W.; McGregor, N.R.; Lewis, D.; Butt, H.L.; Gooley, P.R. The Association of Fecal Microbiota and Fecal, Blood Serum and Urine Metabolites in Myalgic Encephalomyelitis/Chronic Fatigue Syndrome. Metabolomics 2017, 13, 8. [Google Scholar] [CrossRef]
- Navaneetharaja, N.; Griffiths, V.; Wileman, T.; Carding, S. A Role for the Intestinal Microbiota and Virome in Myalgic Encephalomyelitis/Chronic Fatigue Syndrome (ME/CFS)? J. Clin. Med. 2016, 5, 55. [Google Scholar] [CrossRef]
- Maes, M.; Mihaylova, I.; Leunis, J.-C. Increased Serum IgA and IgM Against LPS of Enterobacteria in Chronic Fatigue Syndrome (CFS): Indication for the Involvement of Gram-Negative Enterobacteria in the Etiology of CFS and for the Presence of an Increased Gut–Intestinal Permeability. J. Affect. Disord. 2007, 99, 237–240. [Google Scholar] [CrossRef]
- Lupo, G.F.D.; Rocchetti, G.; Lucini, L.; Lorusso, L.; Manara, E.; Bertelli, M.; Puglisi, E.; Capelli, E. Potential Role of Microbiome in Chronic Fatigue Syndrome/Myalgic Encephalomyelits (CFS/ME). Sci. Rep. 2021, 11, 7043. [Google Scholar] [CrossRef]
- Hanson, M.R.; Giloteaux, L. The Gut Microbiome in Myalgic Encephalomyelitis. Biochemist 2017, 39, 10–13. [Google Scholar] [CrossRef]
- Maes, M.; Twisk, F.N.M.; Kubera, M.; Ringel, K.; Leunis, J.-C.; Geffard, M. Increased IgA Responses to the LPS of Commensal Bacteria Is Associated with Inflammation and Activation of Cell-Mediated Immunity in Chronic Fatigue Syndrome. J. Affect. Disord. 2012, 136, 909–917. [Google Scholar] [CrossRef]
- Barker, E.; Fujimura, S.F.; Fadem, M.B.; Landay, A.L.; Levy, J.A. Immunologic Abnormalities Associated with Chronic Fatigue Syndrome. Clin. Infect. Dis. 1994, 18, S136–S141. [Google Scholar] [CrossRef]
- Lakhan, S.E.; Kirchgessner, A. Gut Inflammation in Chronic Fatigue Syndrome. Nutr. Metab. 2010, 7, 79. [Google Scholar] [CrossRef]
- Berstad, A.; Hauso, O.; Berstad, K.; Berstad, J.E.R. From IBS to ME—The Dysbiotic March Hypothesis. Med. Hypotheses 2020, 140, 109648. [Google Scholar] [CrossRef] [PubMed]
- El-Salhy, M. Intestinal bacteria associated with irritable bowel syndrome and chronic fatigue syndrome. Neurogastroenterol. Motil. 2023, 35, e14621. [Google Scholar] [CrossRef]
- Olesen, S.W.; Alm, E.J. Dysbiosis is not an answer. Nat. Microbiol. 2016, 1, 16228. [Google Scholar] [CrossRef] [PubMed]
- Haenel, H. Human normal and abnormal gastrointestinal flora. J. Clin. Nutr. 1970, 23, 1433–1439. [Google Scholar] [CrossRef] [PubMed]
- Prescottt, S.L. History of medicine: Origin of the term microbiome why it matters. Hum. Microbiome J. 2017, 4, 24–25. [Google Scholar] [CrossRef]
- Petersen, C.; Round, J.L. Defining dysbiosis and its influence on host immunity and disease. Cell. Microbiol. 2014, 16, 1024–1033. [Google Scholar] [CrossRef]
- Galland, L. The Gut Microbiome and the Brain. J. Med. Food 2014, 17, 1261–1272. [Google Scholar] [CrossRef]
- Chojnacki, M.; Bł0ńska, A.; Kaczka, A.; Chojnacki, J.; Walecka-Kapica, E.; Romanowska, N.; Przybyłowska-Sygut, K.; Popławski, T. Assessment of the Gut Microbiome in Patients with Coexisting Irritable Bowel Syndrome and Chronic Fatigue Syndrome. Nutrients 2025, 17, 2232. [Google Scholar] [CrossRef]
- Sullivan, Å.; Nord, C.E.; Evengård, B. Effect of Supplement with Lactic-Acid Producing Bacteria on Fatigue and Physical Activity in Patients with Chronic Fatigue Syndrome. Nutr. J. 2009, 8, 4. [Google Scholar] [CrossRef]
- Rondanelli, M.; Faliva, M.; Perna, S.; Giacosa, A.; Peroni, G.; Castellazzi, A.M. Using Probiotics in Clinical Practice: Where Are We Now? A Review of Existing Meta-Analyses. Gut Microbes 2017, 8, 521–543. [Google Scholar] [CrossRef]
- Lacy, B.E.; Patel, N.K. Rome Criteria and a Diagnostic Approach to Irritable Bowel Syndrome. J. Clin. Med. 2017, 6, 99. [Google Scholar] [CrossRef] [PubMed]
- Palsson, O.S.; Baggish, J.S.; Turner, M.J.; Whithead, W.E. Patients Show Frequent Fluctuations between Loose/Watery andHard/Lumpy Stools: Implications for treatment. Am. J. Gastroenterol. 2012, 107, 286–295. [Google Scholar] [CrossRef] [PubMed]
- Chalder, T.; Berelowitz, G.; Pawlikowska, T.; Watts, L.; Wessely, S.; Wright, D.; Wallace, E.P. Development of fatigue scale. J. Psychosom. Res. 1993, 37, 147–153. [Google Scholar] [CrossRef] [PubMed]
- Krupp, L.B.; LaRocca, N.G.; Muir-Nash, J.; Steinberg, A.D. The fatigue severity scale: Application to patients with multiple sclerosis and systemic lupus erythematosus. Arch. Neurol. 1989, 46, 1121–1123. [Google Scholar] [CrossRef]
- Casén, C.; Vebo, H.C.; Sekelja, M.; Hegge, F.T.; Karlson, M.K.; Ciemniejewska, E.; Dzankovic, S.; Frøyland, C.; Nestestog, R.; Engstrand, L.; et al. Deviations in human gut microbiota: A novel diagnostic test for determining dysbiosis in patients with IBS or IBD. Aliment. Pharmacol. Ther. 2015, 42, 71–83. [Google Scholar] [CrossRef]
- Nacul, L.; Authier, F.J.; Scheibenbogen, C.; Lorusso, L.; Helland, I.B.; Martin, J.A.; Sirbu, C.A.; Mengshoel, A.M.; Polo, O.; Behrends, U.; et al. European Network on Myalgic Encephalomyelitis/Chronic Fatigue Syndrome (EUROMENE): Expert Consensus on the Diagnosis, Service Provision, and Care of People with ME/CFS in Europe. Medicina 2021, 57, 510. [Google Scholar] [CrossRef]
- Collatz, A.; Johnston, S.C.; Staines, D.R.; Marshall-Gradisnik, S.M. A Systematic Review of Drug Therapies for Chronic Fatigue Syndrome/Myalgic Encephalomyelitis. Clin. Ther. 2016, 38, 1263–1271.e9. [Google Scholar] [CrossRef]
- Kashi, A.A.; Davis, R.W.; Phair, R.D. The IDO Metabolic Trap Hypothesis for the Etiology of ME/CFS. Diagnostics 2019, 9, 82. [Google Scholar] [CrossRef]
- Laurans, L.; Venteclef, N.; Haddad, Y.; Chajadine, M.; Alzaid, F.; Metghalchi, S.; Sovran, B.; Denis, R.G.P.; Dairou, J.; Cardellini, M.; et al. Genetic Deficiency of Indoleamine 2,3-Dioxygenase Promotes Gut Microbiota-Mediated Metabolic Health. Nat. Med. 2018, 24, 1113–1120. [Google Scholar] [CrossRef] [PubMed]
- Wang, J.; Simonavicius, N.; Swaminath, G.; Reagan, J.; Tian, H.; Ling, L. Kynurenic acid as a ligand for orphan G protein-coupled receptor GPR35. J. Biol. Chem. 2006, 281, 22021–22028. [Google Scholar] [CrossRef]
- Wirthgen, E.; Hoeflich, A.; Rebi, A.; Gϋnther, J. Kynurenic acid: The Janus-faced role of an immunomodulatory tryptophan metabolite and its link to pathological conditions. Front. Immunol. 2018, 8, 1957. [Google Scholar] [CrossRef] [PubMed]
- Braidy, N.; Berg, J.; Clement, J.; Khorshidi, F.; Poljak, A.; Jayasena, T.; Gran, R.; Sachdev, P. Role of nicotinamide adenine dinucleotide and related precursors as therapeutic targets for age-related degenerative diseases: Rationale, biochemistry, pharmacokinetics, and outcomes. Antioxid. Redox Signal. 2019, 30, 251–294. [Google Scholar] [CrossRef]
- Hiratsuka, C.; Sano, M.; Fukuwatari, T.; Shibata, K. Time-dependent effects of L-tryptophan administration on urinary excretion of L-tryptophan metabolites. J. Nutr. Sci. Vitaminol. 2014, 60, 255–260. [Google Scholar] [CrossRef] [PubMed][Green Version]
- Poesen, R.; Mutsaers, H.A.M.; Windey, K.; Broek, P.H.v.D.; Verweij, V.; Augustijns, P.; Kuypers, D.; Jansen, J.; Evenepoel, P.; Verbeke, K.; et al. The influence of dietary protein intake on mammalian tryptophan and phenolic metabolites. PLoS ONE 2015, 10, e0140820. [Google Scholar] [CrossRef]
- Rose, D.; Toseland, P. Urinary excretion of quinolinic acid and other tryptophan metabolites after deoxypyridoxine or oral contraceptive administration. Metabolism 1973, 22, 165–171. [Google Scholar] [CrossRef]










| Parameter | Reference Values | Pre-Treatment (Mean ± SD) | Post-Treatment (Mean ± SD) | p-Value |
|---|---|---|---|---|
| Hematology and Iron Metabolism | ||||
| Hemoglobin (g/dL) | 12.0–16.0 | 12.8 ± 0.9 | 13.4 ± 1.1 | 0.083 |
| Serum Iron (µg/dL) | 60.0–170 | 93.0 ± 11.1 | 112.6 ± 12.8 | 0.046 * |
| Vitamin B12 (pg/mL) | 200–600 | 441.0 ± 121.2 | 469.3 ± 103.6 | 0.654 |
| Metabolic and Renal | ||||
| Creatinine (mg/dL) | 0.4–1.1 | 0.8 ± 0.1 | 0.8 ± 0.2 | 0.913 |
| eGFR (mL/min) | 86–130 | 88.6 ± 10.5 | 91.6 ± 6.4 | 0.756 |
| Vitamin D3 (25-OH-D) (ng/mL) | 30.0–50.0 | 38.8 ± 4.7 | 42.5 ± 6.4 | 0.093 |
| Liver and Inflammation | ||||
| ALT (U/L) | 7.0–30.0 | 14.9 ± 3.8 | 15.3 ± 4.5 | 0.818 |
| AST (U/L) | 5.0–35.0 | 14.3 ± 1.8 | 13.8 ± 2.1 | 0.776 |
| C-reactive protein (mg/L) | 0.2–5.0 | 3.1 ± 2.3 | 3.0 ± 1.4 | 0.923 |
| Fecal Calprotectin (µg/g) | <50.0 | 30.9 ± 12.8 | 23.6 ± 13.1 | 0.074 |
| Endocrine Profile | ||||
| TSH (µIU/mL) | 0.4–4.0 | 3.2 ± 0.9 | 3.2 ± 0.8 | 0.932 |
| 17-β-Estradiol (pg/mL) | 12–300 | 140.2 ± 39.9 | 152.7 ± 40.8 | 0.068 |
| FSH (IU/L) | 3.0–12.0 | 7.2 ± 3.3 | 7.4 ± 2.2 | 0.196 |
| Variable | Controls Median [IQR] | CFS Median [IQR] | Median Diff. (95% CI) | Effect Size (δ) [95% CI] | q-Value |
|---|---|---|---|---|---|
| Gut Microbial Metabolites | |||||
| 3-IS (mg/gCr) | 71.25 [11.68] | 88.18 [13.79] | 16.9 [11.3, 22.1] | −0.87 (large) | <0.001 |
| 3-IS/TRP Ratio | 5.59 [1.42] | 7.41 [1.43] | 1.83 [1.54, 2.47] | −0.85 (large) | <0.001 |
| Kynurenine Pathway | |||||
| QA (mg/gCr) | 2.65 [1.13] | 4.13 [1.34] | 1.48 [0.83, 1.96] | −0.69 (large) | <0.001 |
| XA (mg/gCr) | 0.60 [0.44] | 0.94 [0.17] | 0.34 [0.21, 0.47] | −0.74 (large) | <0.001 |
| KYNA (mg/gCr) | 2.74 [0.90] | 1.93 [0.77] | −0.81 [−1.08, −0.38] | +0.60 (large) | <0.001 |
| KYN (mg/gCr) | 0.45 [0.10] | 0.49 [0.13] | 0.04 [−0.02, 0.13] | −0.22 (small) | 0.098 |
| Metabolic Ratios | |||||
| KYNA/QA | 1.19 [0.90] | 0.47 [0.31] | −0.72 [−0.88, −0.40] | +0.71 (large) | <0.001 |
| KYNA/KYN | 5.89 [2.70] | 3.92 [2.15] | −1.97 [−2.83, −0.85] | +0.42 (medium) | 0.002 |
| KYNA/XA | 1.43 [2.28] | 2.33 [1.03] | 0.90 [0.30, 1.32] | −0.34 (medium) | 0.012 |
| KYN/TRP | 0.03 [0.01] | 0.04 [0.02] | 0.01 [0.00, 0.02] | −0.34 (medium) | 0.011 |
| Substrate and Serotonin | |||||
| TRP (mg/gCr) | 14.20 [2.58] | 12.20 [1.93] | −2.00 [−2.80, −0.65] | +0.55 (large) | <0.001 |
| 5-HIAA (mg/gCr) | 3.10 [1.30] | 3.28 [1.24] | 0.18 [−0.30, 0.85] | −0.15 (small) | 0.240 |
| 5-HIAA/TRP | 0.22 [0.10] | 0.26 [0.08] | 0.04 [0.00, 0.09] | −0.26 (small) | 0.052 |
| Variable | Pre-Treatment (mg/gCr) | Post-Treatment (mg/gCr) | Median Diff. [95% CI] | Effect Size (rrb) [95% CI] | Response (↓/↑/=) * | q-Value |
|---|---|---|---|---|---|---|
| Significant Changes | ||||||
| XA | 0.94 [0.17] | 0.70 [0.20] | −0.22 [−0.29, −0.14] | −0.90 (large) | 37/2/1 | <0.001 |
| 3-IS | 88.18 [13.79] | 76.25 [13.33] | −18.0 [−20.6, −1.6] | −0.80 (large) | 27/3/10 | <0.001 |
| 3-IS/TRP | 7.41 [1.43] | 6.09 [1.37] | −1.39 [−2.19, −1.01] | −0.75 (large) | 35/5/0 | <0.001 |
| KYNA | 1.93 [0.77] | 2.61 [0.49] | +0.60 [0.37, 0.84] | +0.65 (large) | 7/33/0 | <0.001 |
| KYNA/QA | 0.47 [0.31] | 0.68 [0.26] | +0.18 [0.10, 0.26] | +0.59 (large) | 8/31/1 | 0.006 |
| 5-HIAA | 3.28 [1.24] | 3.40 [1.43] | +0.23 [0.05, 0.40] | +0.44 (medium) | 10/26/4 | 0.006 |
| KYNA/XA | 2.33 [1.03] | 3.24 [1.73] | +0.99 [0.42, 1.62] | +0.49 (medium) | 10/29/1 | 0.050 |
| Non-Significant Trends | ||||||
| QA | 4.13 [1.34] | 3.92 [1.15] | −0.19 [−0.35, −0.09] | −0.35 (medium) | 27/13/0 | 0.062 |
| TRP | 12.20 [1.93] | 12.30 [1.18] | +0.30 [−0.10, 0.60] | +0.23 (small) | 15/24/1 | 0.105 |
| KYN | 0.49 [0.13] | 0.52 [0.21] | +0.02 [−0.07, 0.11] | +0.11 (small) | 17/21/2 | 0.850 |
| Variable | Controls (Baseline) Median [IQR] | CFS (Post-Tx) Median [IQR] | Effect Size (δ) [95% CI] | q-Value | Status |
|---|---|---|---|---|---|
| Normalized (no significant difference) | |||||
| KYNA | 2.74 [0.90] | 2.61 [0.49] | +0.15 [−0.11, 0.40] | 0.258 | Normalized |
| XA | 0.60 [0.44] | 0.70 [0.20] | −0.26 [−0.50, 0.00] | 0.062 | Normalized |
| 3-IS | 71.25 [11.68] | 76.25 [13.33] | −0.27 [−0.50, −0.02] | 0.060 | Normalized |
| 5-HIAA | 3.10 [1.30] | 3.40 [1.43] | −0.27 [−0.51, −0.01] | 0.060 | Normalized |
| KYN | 0.45 [0.10] | 0.52 [0.21] | −0.23 [−0.48, 0.02] | 0.082 | Normalized |
| Persistent Abnormalities (q < 0.05) | |||||
| QA | 2.65 [1.13] | 3.92 [1.15] | −0.67 (large) | <0.001 | Elevated |
| TRP | 14.20 [2.58] | 12.30 [1.18] | +0.51 (large) | <0.001 | Depressed |
| KYNA/QA | 1.19 [0.90] | 0.68 [0.26] | +0.56 (large) | <0.001 | Depressed |
| KYNA/XA | 1.43 [2.28] | 3.24 [1.73] | −0.41 (medium) | 0.006 | Elevated |
| 3-IS/TRP | 5.59 [1.42] | 6.09 [1.37] | −0.37 (medium) | 0.013 | Elevated |
| Time Point | FSS Score (Mean ± SD) | Median [IQR] | Remission (FSS < 36) n (%) |
|---|---|---|---|
| Baseline | 38.0 ± 8.8 | 37.5 [31.5–46.0] | 18 (45.0%) |
| Week 4 | 34.3 ± 8.0 | 33.0 [28.0–39.2] | 23 (57.5%) |
| Week 8 | 23.9 ± 6.1 | 25.5 [18.0–29.0] | 39 (97.5%) *** |
| Week 12 | 22.7 ± 5.3 | 23.0 [18.8–26.0] | 39 (97.5%) *** |
| Adverse Event | Incidence n (%) | Onset (Week) | Severity | Management/Intervention | Outcome |
|---|---|---|---|---|---|
| Constipation (worsening) | 6 (15.0%) | 2 | Mild to Moderate | Osmotic laxatives: Lactulose (2 × 15 mL/d) or Macrogols (2 × sachet/d) | Resolved within 3 days; maintenance dose continued |
| Transient Bloating | 3 (7.5%) | 1 | Mild | None (spontaneous resolution) | Resolved within 3–7 days |
| Headache | 1 (2.5%) | 6 | Mild | Analgesics (paracetamol 500 mg, ad hoc) | Resolved within 48 h |
| Study Discontinuation | 0 (0.0%) | — | — | — | — |
Disclaimer/Publisher’s Note: The statements, opinions and data contained in all publications are solely those of the individual author(s) and contributor(s) and not of MDPI and/or the editor(s). MDPI and/or the editor(s) disclaim responsibility for any injury to people or property resulting from any ideas, methods, instructions or products referred to in the content. |
© 2026 by the authors. Licensee MDPI, Basel, Switzerland. This article is an open access article distributed under the terms and conditions of the Creative Commons Attribution (CC BY) license.
Share and Cite
Chojnacki, C.; Mędrek-Socha, M.; Chojnacki, J.; Gąsiorowska, A.; Walecka-Kapica, E.; Bijak, M.; Przybylowska-Sygut, K.; Poplawski, T. Multi-Strain Probiotic Improves Tryptophan Metabolism and Symptoms in Chronic Fatigue Syndrome Patients with Co-Occurring Irritable Bowel Syndrome: An Open-Label Pilot Study. Nutrients 2026, 18, 174. https://doi.org/10.3390/nu18010174
Chojnacki C, Mędrek-Socha M, Chojnacki J, Gąsiorowska A, Walecka-Kapica E, Bijak M, Przybylowska-Sygut K, Poplawski T. Multi-Strain Probiotic Improves Tryptophan Metabolism and Symptoms in Chronic Fatigue Syndrome Patients with Co-Occurring Irritable Bowel Syndrome: An Open-Label Pilot Study. Nutrients. 2026; 18(1):174. https://doi.org/10.3390/nu18010174
Chicago/Turabian StyleChojnacki, Cezary, Marta Mędrek-Socha, Jan Chojnacki, Anita Gąsiorowska, Ewa Walecka-Kapica, Michal Bijak, Karolina Przybylowska-Sygut, and Tomasz Poplawski. 2026. "Multi-Strain Probiotic Improves Tryptophan Metabolism and Symptoms in Chronic Fatigue Syndrome Patients with Co-Occurring Irritable Bowel Syndrome: An Open-Label Pilot Study" Nutrients 18, no. 1: 174. https://doi.org/10.3390/nu18010174
APA StyleChojnacki, C., Mędrek-Socha, M., Chojnacki, J., Gąsiorowska, A., Walecka-Kapica, E., Bijak, M., Przybylowska-Sygut, K., & Poplawski, T. (2026). Multi-Strain Probiotic Improves Tryptophan Metabolism and Symptoms in Chronic Fatigue Syndrome Patients with Co-Occurring Irritable Bowel Syndrome: An Open-Label Pilot Study. Nutrients, 18(1), 174. https://doi.org/10.3390/nu18010174

