Quantitative Evaluation of Aggregate Gradation Based on Synergistic Mechanism of Geometric Characteristics, Size and Passing Rates
Highlights
- The synergistic effect of composite geometric characteristics on the interface behaviors was analyzed.
- A calculation model of aggregate gradation characteristic was established.
- The particle size affects the contribution degree of geometric characteristics.
- The aggregate gradation characteristic index increases with the rising NMAS.
Abstract
1. Introduction
2. Materials
2.1. Aggregates
2.2. Gradation
2.3. Asphalt
3. Test Method
3.1. Geometric Characteristics Tests Based on AIMS II
3.2. Aggregates Contact Friction Test
4. Analysis of Geometric Characteristics of Single-Sized Aggregates
4.1. Shape Characteristics
4.2. Texture Characteristics
4.3. Angularity Characteristics
5. Multi-Dimensional Geometric Synergistic Behaviors of Graded Aggregates Based on Grey Relational Analysis
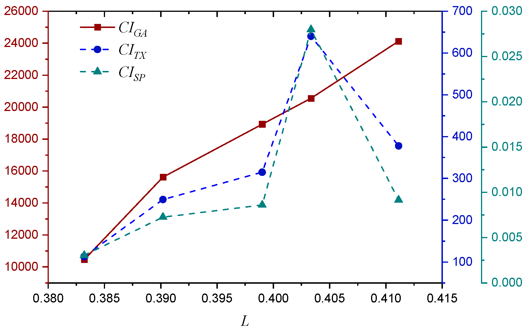
5.1. Synergistic Effect of Composite Geometric Characteristics on Interface Behaviors
5.2. Synergistic Mechanism of Multi-Dimensional Geometric Characteristics
6. Analysis of Aggregate Gradation Characteristics
6.1. Evaluation Model of Aggregate Gradation Based on Grey Relational Analysis
- (1)
- Construct the reference sequence
- (2)
- Construct the comparative sequence
- (3)
- Data preprocessing
- (4)
- Calculation of grey relational coefficients
- (5)
- Calculation of relational degree
- (6)
- Calculation of weighting coefficients
6.2. Quantitative Analysis of Aggregate Gradation Characteristics
7. Conclusions
- (1)
- When the aggregate is processed by the same crushing method, its geometric characteristics are primarily affected by lithology, with minimal correlation to particle size. The production regions have a certain influence on the geometric indices. Basalt exhibits a ridge- and channel-like texture with its higher hardness, resulting in a significantly higher texture index compared to the two limestone aggregates.
- (2)
- Increasing the particle size and the proportion of coarse aggregates enhances the role of angularity in forming a stable interlocking skeleton. Although a higher composite texture index is beneficial for strengthening interface friction, it may simultaneously intensify the lubrication effect of asphalt, thereby weakening the frictional contribution. This reveals the dual role of texture in interface mechanical behavior.
- (3)
- A gradation characterization model was developed using the gray relational analysis method, and its reliability was verified. The particle size affects the aggregate gradations by regulating the contribution degree of geometric characteristics. In general, mixtures with larger nominal maximum aggregate sizes present higher gradation indices, and the typical ranking can be summarized as SMA > OGFC > AC. With the gradation from coarse to fine, the aggregate gradation index increases.
8. Limitations
Author Contributions
Funding
Institutional Review Board Statement
Informed Consent Statement
Data Availability Statement
Conflicts of Interest
Abbreviations
| Symbols | Definitions | Units |
| CISP | The composite shape index | None |
| CITX | The composite texture index | None |
| CIGA | The composite angular index | None |
| M | The total mass of the particle system | g |
| The gravity of the i-th file aggregate | g/cm3 | |
| The weighted volume of aggregates | cm3 | |
| The weighted perimeter of aggregates | cm | |
| The average particle size of the i-th file aggregate | cm | |
| ai | The mass fraction of the i-th file aggregate | None |
| SAwi | The weighted surface area of the i-th file aggregate | cm2 |
| SPi | The shape of the i-th file aggregate | None |
| TXi | The texture of the i-th file aggregate | None |
| GAi | The angular of the i-th file aggregate | None |
| AFm | The maximum slip force | N |
| L | The lubrication coefficient | None |
| AES | The contact slip energy of asphalt mixture | J |
| Es | The contact slip energy of graded aggregates | J |
| MGI | The aggregate gradation index | None |
References
- Xing, C.; Liu, B.; Liu, H.; Zhang, L.; Xu, H.; Tan, Y. Topological characterization and typical topologies of disruption aggregates in asphalt mixture. J. Mater. Civ. Eng. 2024, 36, 04024158. [Google Scholar] [CrossRef]
- Dong, S.H.; Han, S.; Su, J.; Su, H.; Niu, D.; Chen, D.; Jia, M.; Wang, W. A review on 3D reconstruction and evaluation methods of asphalt pavement texture. China J. Highw. Transp. 2025, 38, 60–84. [Google Scholar] [CrossRef]
- Liu, P.F.; Hu, J.; Wang, D.W. Modelling and Evaluation of Aggregate Morphology on Asphalt Compression Behavior. Constr. Build. Mater. 2017, 133, 196–208. [Google Scholar] [CrossRef]
- Flether, T.; Chandan, C.; Masad, E. Aggregate Imaging System for Characterizing the Shape of Fine and Coarse Aggregates. Transp. Res. Rec. J. Transp. Res. Board 2003, 1832, 67–77. [Google Scholar] [CrossRef]
- Al-Rousan, T.; Masad, E.; Myers, L.; Speigelman, C. New methodology for shape classification of aggregates. Transp. Res. Rec. 2005, 1913, 11–23. [Google Scholar] [CrossRef]
- Wang, L.; Wang, X.; Mohammad, L.; Abadie, C. Unified Method to Quantify Aggregate Shape Angularity and Texture Using Fourier Analysis. J. Mater. Civ. Eng. 2005, 17, 498–504. [Google Scholar] [CrossRef]
- Jiang, R.; Zhou, X.; Ran, M. 3D Reconstruction and morphology analysis of coarse aggregate using optical laser triangulation and image processing technology. Road Mater. Pavement Des. 2024, 25, 790–819. [Google Scholar] [CrossRef]
- Gao, J.; Wang, H.; Bu, Y.; You, Z.; Zhang, X.; Irfan, M. Influence of Coarse-Aggregate Angularity on Asphalt Mixture Macroperformance: Skid Resistance, High-Temperature, and Compaction Performance. J. Mater. Civ. Eng. 2020, 32, 04020095. [Google Scholar] [CrossRef]
- Xie, X.; Lu, G.; Liu, P.; Wang, D.; Fan, Q.; Oeser, M. Evaluation of Morphological Characteristics of Fine Aggregate in Asphalt Pavement. Constr. Build. Mater. 2017, 139, 1–8. [Google Scholar] [CrossRef]
- Pei, Y.; Li, P.; Jiang, S.; Yao, S.; Ding, Z.; Falchetto, A.C. Mix design optimization of high-viscosity asphalt mixtures for ultra-thin pavement considering geometric properties and interface slip behavior for aggregate system. Constr. Build. Mater. 2025, 464, 140085. [Google Scholar] [CrossRef]
- Yang, X.D.; Ma, L.; Zhang, Z.Q. Analysis of the Influence of Coarse Aggregate Particle Size on the Skeleton Stability of Mineral Mixtures. J. Xi’an Univ. Sci. Technol. 2006, 26, 480–484. [Google Scholar]
- Chen, J.; Huang, X.M. Evaluation of Aggregate Skeleton Structure Using Discrete Element Method. J. Southeast Univ. 2012, 42, 761–765. [Google Scholar] [CrossRef]
- Zhang, X.; Liu, T.; Liu, C.; Chen, Z. Research on Skid Resistance of Asphalt Pavement Based on Three-dimensional Laser-scanning Technology and Pressure-sensitive Film. Constr. Build. Mater. 2014, 69, 49–59. [Google Scholar] [CrossRef]
- Jiang, W.; Sha, A.; Xiao, J. Experimental Study on Relationships among Composition, Microscopic Void Features, and Performance of Porous Asphalt Concrete. J. Mater. Civ. Eng. 2015, 27, 04015028. [Google Scholar] [CrossRef]
- Pei, J.Z.; Zhang, J.L.; Chang, M.F. Effect of Mineral Aggregate Gradation on the Void Distribution Characteristics of Open-Graded Asphalt Mixtures. J. China Highw. 2010, 23, 1–6. [Google Scholar] [CrossRef]
- Li, Y.; Mao, C.; Sun, M.; Hong, J.; Zhao, X.; Li, P.; Xiao, J. Effect of Smart Aggregate Size on Mesostructure and Mechanical Properties of Asphalt Mixtures. Coatings 2024, 14, 1238. [Google Scholar] [CrossRef]
- Guo, Q.; Xu, H.; Wang, J.; Hang, J.; Wang, K.; Hu, P.; Li, H. Gradation Optimization Based on Micro-Analysis of Rutting Behavior of Asphalt Mixture. Coatings 2023, 13, 1965. [Google Scholar] [CrossRef]
- JTG F40-2004; Technical Specifications for Construction of Highway Asphalt Pavements. People’s Republic of China Ministry of Transportation: Beijing, China, 2004.
- JTJ 052-2000; Standard Test Methods of Bitumen and Bituminous Mixtures for Highway Engineering. China Communications Press: Beijing, China, 2000.
- Su, J.; Fan, L.; Zhang, L.; Hu, S.; Xu, J.; Li, G.; Dong, S. A Three-Dimensional Optimization Framework for Asphalt Mixture Design: Balancing Skeleton Stability, Segregation Control, and Mechanical Strength. Coatings 2025, 15, 807. [Google Scholar] [CrossRef]
- Su, J.; Li, P.; Sun, S.; Cheng, L.; Bi, J.; Zhu, D. Effects of composite geometric characteristics of coarse particles on interface interactions of aggregate-asphalt system. Constr. Build. Mater. 2021, 287, 122750, Erratum in Constr. Build. Mater. 2025, 458, 139501. https://doi.org/10.1016/j.conbuildmat.2024.139501. [Google Scholar] [CrossRef]
- Sun, X.; Qin, X.; Liu, Z.; Yin, Y. Damaging effect of fine grinding treatment on the microstructure of polyurea elastomer modifier used in asphalt binder. Measurement 2025, 242, 115984. [Google Scholar] [CrossRef]
- Su, J.; Li, P.; Wei, X.; Zhu, L.; Gao, J. Interface Transformation Behavior of Bonding/Lubrication of Aggregate-Asphalt System. J. Mater. Civ. Eng. 2020, 32, 04020380. [Google Scholar] [CrossRef]
- Zhu, H.; Hu, M.; Zhang, Y.; Abudurahman, A.; Zhu, Y.; Cui, J. Microwave-Functionalized Sustainable Lignin to Enhance the Oxidation Resistance of Asphalt: A Chemical Oxygen Quenching and Physical VOCs Adsorption Perspective. Fuel 2026, 410, 137855. [Google Scholar] [CrossRef]













| Sieve Size/mm | 19.0 | 16.0 | 13.2 | 9.5 | 4.75 | |
|---|---|---|---|---|---|---|
| Bulk Specific Gravity (g/cm3) | A | 2.680 | 2.694 | 2.702 | 2.783 | 2.703 |
| B | 2.689 | 2.690 | 2.697 | 2.697 | 2.710 | |
| C | 2.735 | 2.733 | 2.739 | 2.717 | 2.714 | |
| Sieve Size/mm | 2.36 | 1.18 | 0.6 | 0.3 | 0.15 | 0.075 | |
|---|---|---|---|---|---|---|---|
| Apparent relative gravity/(g/cm3) | A | 2.740 | 2.762 | 2.774 | 2.767 | 2.719 | 2.716 |
| B | 2.735 | 2.773 | 2.775 | 2.771 | 2.720 | 2.719 | |
| C | 2.796 | 2.773 | 2.773 | 2.765 | 2.717 | 2.731 | |
| Test Indicators | A | B | C | Standard | Test | |
|---|---|---|---|---|---|---|
| Crushing value/% | 20.4 | 22.2 | 16.8 | ≤28 | T0318 | |
| Percentage of flat-elongated particles/% | >9.5 mm | 9.8 | 11.6 | 4.3 | ≤15 | T0312 |
| <9.5 mm | 12.6 | 13.1 | 13.4 | ≤20 | ||
| Hydroscopicity/% | 0.81 | 1.22 | 0.44 | ≤3.0 | T0304 | |
| Abrasion/% | 22.4 | 25.3 | 17.9 | ≤28 | T0317 | |
| Robustness/% | 6.5 | 9.7 | 3.2 | ≤12 | T0314 | |
| Adhesion to asphalt | 5 | 5 | 4 | ≥4 | T0663 | |
| Test Indicators | A | B | C | Standard | Test |
|---|---|---|---|---|---|
| Sand equivalent/% | 68 | 61 | 84 | ≥50 | T0334 |
| Mud content/% | 1.6 | 2.1 | 1.7 | ≤3 | T0333 |
| Gradation Types | Passing Rate (%) for Different Sieve Sizes (mm) | ||||||||||||
|---|---|---|---|---|---|---|---|---|---|---|---|---|---|
| 26.5 | 19 | 16 | 13.2 | 9.5 | 4.75 | 2.36 | 1.18 | 0.6 | 0.3 | 0.15 | 0.075 | ||
| AC-20 | U | 100 | 100 | 92 | 80 | 72 | 56 | 44 | 33 | 24 | 17 | 13 | 7 |
| M | 100 | 95 | 85 | 71 | 61 | 41 | 30 | 22.5 | 16 | 11 | 8.5 | 5 | |
| X | 100 | 90 | 78 | 62 | 50 | 26 | 16 | 12 | 8 | 5 | 4 | 3 | |
| AC-16 | U | 100 | 100 | 100 | 92 | 80 | 62 | 48 | 36 | 26 | 18 | 14 | 8 |
| M | 100 | 100 | 95 | 84 | 70 | 48 | 34 | 24.5 | 17.5 | 12.5 | 9.5 | 6 | |
| X | 100 | 100 | 90 | 76 | 60 | 34 | 20 | 13 | 9 | 7 | 5 | 4 | |
| AC-13 | U | 100 | 100 | 100 | 100 | 85 | 68 | 50 | 38 | 28 | 20 | 15 | 8 |
| M | 100 | 100 | 100 | 84 | 61.5 | 46 | 32.5 | 24 | 17.5 | 12.5 | 9.5 | 4 | |
| X | 100 | 100 | 100 | 90 | 68 | 38 | 24 | 15 | 10 | 7 | 5 | 4 | |
| AC-10 | U | 100 | 100 | 100 | 100 | 100 | 75 | 58 | 44 | 32 | 23 | 16 | 8 |
| M | 100 | 100 | 100 | 100 | 95 | 60 | 44 | 32 | 22.5 | 16 | 11 | 6 | |
| X | 100 | 100 | 100 | 100 | 90 | 45 | 30 | 20 | 13 | 9 | 6 | 4 | |
| Gradation Types | Passing Rate (%) for Different Sieve Sizes (mm) | ||||||||||||
|---|---|---|---|---|---|---|---|---|---|---|---|---|---|
| 26.5 | 19 | 16 | 13.2 | 9.5 | 4.75 | 2.36 | 1.18 | 0.6 | 0.3 | 0.15 | 0.075 | ||
| SMA-20 | U | 100 | 100 | 98 | 82 | 55 | 30 | 22 | 20 | 16 | 14 | 13 | 12 |
| M | 95 | 85 | 72 | 47.5 | 24 | 17.5 | 16 | 13 | 11.5 | 10.5 | 10 | 95 | |
| X | 100 | 90 | 72 | 62 | 40 | 18 | 13 | 12 | 10 | 9 | 8 | 8 | |
| SMA-16 | U | 100 | 100 | 100 | 85 | 65 | 32 | 24 | 22 | 18 | 15 | 14 | 12 |
| M | 100 | 100 | 95 | 75 | 55 | 26 | 19.5 | 18 | 15 | 12.5 | 11.5 | 10 | |
| X | 100 | 100 | 90 | 65 | 45 | 20 | 15 | 14 | 12 | 10 | 9 | 8 | |
| SMA-13 | U | 100 | 100 | 100 | 100 | 75 | 34 | 26 | 24 | 20 | 16 | 15 | 12 |
| M | 100 | 100 | 100 | 95 | 62.5 | 27 | 20.5 | 19 | 16 | 13 | 12 | 10 | |
| X | 100 | 100 | 100 | 90 | 50 | 20 | 15 | 14 | 12 | 10 | 9 | 8 | |
| SMA-10 | U | 100 | 100 | 100 | 100 | 100 | 60 | 32 | 26 | 22 | 18 | 16 | 13 |
| M | 100 | 100 | 100 | 100 | 95 | 44 | 26 | 20 | 17 | 14 | 12.5 | 10.5 | |
| X | 100 | 100 | 100 | 100 | 90 | 28 | 20 | 14 | 12 | 10 | 9 | 8 | |
| Gradation Types | Passing Rate (%) for Different Sieve Sizes (mm) | ||||||||||||
|---|---|---|---|---|---|---|---|---|---|---|---|---|---|
| 26.5 | 19 | 16 | 13.2 | 9.5 | 4.75 | 2.36 | 1.18 | 0.6 | 0.3 | 0.15 | 0.075 | ||
| OGFC-16 | U | 100 | 100 | 100 | 90 | 70 | 30 | 22 | 18 | 15 | 12 | 8 | 6 |
| M | 100 | 100 | 95 | 80 | 57.5 | 21 | 16 | 12 | 9.5 | 7.5 | 5.5 | 4 | |
| X | 100 | 100 | 90 | 70 | 45 | 12 | 10 | 6 | 4 | 3 | 3 | 2 | |
| OGFC-13 | U | 100 | 100 | 100 | 100 | 80 | 30 | 22 | 18 | 15 | 12 | 8 | 6 |
| M | 100 | 100 | 100 | 95 | 70 | 21 | 16 | 12 | 9.5 | 7.5 | 5.5 | 4 | |
| X | 100 | 100 | 100 | 90 | 60 | 12 | 10 | 6 | 4 | 3 | 3 | 2 | |
| OGFC-10 | U | 100 | 100 | 100 | 100 | 100 | 70 | 22 | 18 | 15 | 12 | 8 | 6 |
| M | 100 | 100 | 100 | 100 | 95 | 60 | 16 | 12 | 9.5 | 7.5 | 5.5 | 4 | |
| X | 100 | 100 | 100 | 100 | 90 | 50 | 10 | 6 | 4 | 3 | 3 | 2 | |
| Indicators | Technical Requirements | Test Results | Test | |
|---|---|---|---|---|
| Penetration (25 °C, 5 s, 100 g)/0.1 mm | 90~100 | 88.6 | T0604 | |
| Penetration index PI | −1.0~+1.0 | −0.6 | T0604 | |
| Ductility (5 cm/min, 10 °C)/cm | ≥25 | 79.5 | T0605 | |
| Ductility (5 cm/min, 15 °C)/cm | ≥100 | >100 | T0605 | |
| Softening point (Ring and ball method)/℃ | ≥45 | 46 | T0606 | |
| Flash point (Open bottle method)/℃ | ≥245 | 292 | T0611 | |
| Solubility (trichloroethylene)/% | ≥99.5 | 99.88 | T0607 | |
| Density (15 °C) g/cm3 | ≥1.01 | 1.034 | T0603 | |
| RTFOT (163 °C, 85 min) | Quality change/%, no higher than | ±0.8 | −0.065 | T0609 |
| Resistance penetration ratio (25 °C)/% | ≥57 | 61.2 | T0604 | |
| Resistance ductility (10 °C)/cm | ≥8 | 10 | T0605 | |
| Resistance ductility (15 °C)/cm | ≥8 | 47.3 | T0605 | |
| Composite Geometric Characteristic Index | Maximum Slip Force AFm | Lubrication Index L | ||
|---|---|---|---|---|
| Regression Relation | Correlation Coefficient R2 | Regression Relation | Correlation Coefficient R2 | |
| CISP | y = 6.47Ex − 0.1 | 0.182 | y = 2.801Ex − 0.164 | 0.001 |
| CITX | y = 17.05x − 2646 | 0.549 | y = 1278x − 4740 | 0.355 |
| CIGA | y = 545.73x − 77595 | 0.943 | y = 468832x − 168369 | 0.955 |
Disclaimer/Publisher’s Note: The statements, opinions and data contained in all publications are solely those of the individual author(s) and contributor(s) and not of MDPI and/or the editor(s). MDPI and/or the editor(s) disclaim responsibility for any injury to people or property resulting from any ideas, methods, instructions or products referred to in the content. |
© 2026 by the authors. Licensee MDPI, Basel, Switzerland. This article is an open access article distributed under the terms and conditions of the Creative Commons Attribution (CC BY) license.
Share and Cite
Zhang, B.; Ji, P.; He, X.; Su, J.; Xu, J.; Jia, M. Quantitative Evaluation of Aggregate Gradation Based on Synergistic Mechanism of Geometric Characteristics, Size and Passing Rates. Coatings 2026, 16, 290. https://doi.org/10.3390/coatings16030290
Zhang B, Ji P, He X, Su J, Xu J, Jia M. Quantitative Evaluation of Aggregate Gradation Based on Synergistic Mechanism of Geometric Characteristics, Size and Passing Rates. Coatings. 2026; 16(3):290. https://doi.org/10.3390/coatings16030290
Chicago/Turabian StyleZhang, Baoyong, Peng Ji, Xin He, Jinfei Su, Jicong Xu, and Ming Jia. 2026. "Quantitative Evaluation of Aggregate Gradation Based on Synergistic Mechanism of Geometric Characteristics, Size and Passing Rates" Coatings 16, no. 3: 290. https://doi.org/10.3390/coatings16030290
APA StyleZhang, B., Ji, P., He, X., Su, J., Xu, J., & Jia, M. (2026). Quantitative Evaluation of Aggregate Gradation Based on Synergistic Mechanism of Geometric Characteristics, Size and Passing Rates. Coatings, 16(3), 290. https://doi.org/10.3390/coatings16030290

