Sign in to use this feature.

Years

Between: -

Subjects

remove_circle_outline
remove_circle_outline
remove_circle_outline
remove_circle_outline
remove_circle_outline
remove_circle_outline
remove_circle_outline
remove_circle_outline
remove_circle_outline

Journals

Article Types

Countries / Regions

Search Results (36)

Search Parameters:
Keywords = multi-feature grid sequences

Order results
Result details
Results per page
Select all
Export citation of selected articles as:
20 pages, 8184 KB  
Article
Enhanced Short-Term Photovoltaic Power Prediction Through Multi-Method Data Processing and SFOA-Optimized CNN-BiLSTM
by Xiaojun Hua, Zhiming Zhang, Tao Ye, Zida Song, Yun Shao and Yixin Su
Energies 2025, 18(19), 5124; https://doi.org/10.3390/en18195124 - 26 Sep 2025
Abstract
The increasing global demand for renewable energy poses significant challenges to grid stability due to the fluctuation and unpredictability of photovoltaic (PV) power generation. To enhance the accuracy of short-term PV power prediction, this study proposes an innovative integrated model that combines Convolutional [...] Read more.
The increasing global demand for renewable energy poses significant challenges to grid stability due to the fluctuation and unpredictability of photovoltaic (PV) power generation. To enhance the accuracy of short-term PV power prediction, this study proposes an innovative integrated model that combines Convolutional Neural Networks (CNN) and Bidirectional Long Short-Term Memory (BiLSTM), optimized using the Starfish Optimization Algorithm (SFOA) and integrated with a multi-method data processing framework. To reduce input feature redundancy and improve prediction accuracy under different conditions, the K-means clustering algorithm is employed to classify past data into three typical weather scenarios. Empirical Mode Decomposition is utilized for multi-scale feature extraction, while Kernel Principal Component Analysis is applied to reduce data redundancy by extracting nonlinear principal components. A hybrid CNN-BiLSTM neural network is then constructed, with its hyperparameters optimized using SFOA to enhance feature extraction and sequence modeling capabilities. The experiments were carried out with historical data from a Chinese PV power station, and the results were compared with other existing prediction models. The results demonstrate that the Root Mean Square Error of PV power generation prediction for three scenarios are 9.8212, 12.4448, and 6.2017, respectively, outperforming all other comparative models. Full article
Show Figures

Figure 1

34 pages, 3701 KB  
Article
Symmetry-Aware Short-Term Load Forecasting in Distribution Networks: A Synergistic Enhanced KMA-MVMD-Crossformer Framework
by Jingfeng Zhao, Kunhua Liu, Qi You, Lan Bai, Shuolin Zhang, Huiping Guo and Haowen Liu
Symmetry 2025, 17(9), 1512; https://doi.org/10.3390/sym17091512 - 11 Sep 2025
Viewed by 310
Abstract
Accurate and efficient short-term load forecasting is crucial for the secure and stable operation and scheduling of power grids. Addressing the inability of traditional Transformer-based prediction models to capture symmetric correlations between different feature sequences and their susceptibility to multi-scale feature influences, this [...] Read more.
Accurate and efficient short-term load forecasting is crucial for the secure and stable operation and scheduling of power grids. Addressing the inability of traditional Transformer-based prediction models to capture symmetric correlations between different feature sequences and their susceptibility to multi-scale feature influences, this paper proposes a short-term power distribution network load forecasting model based on an enhanced Komodo Mlipir Algorithm (KMA)—Multivariate Variational Mode Decomposition (MVMD)-Crossformer. Initially, the KMA is enhanced with chaotic mapping and temporal variation inertia weighting, which strengthens the symmetric exploration of the solution space. This enhanced KMA is integrated into the parameter optimization of the MVMD algorithm, facilitating the decomposition of distribution network load sequences into multiple Intrinsic Mode Function (IMF) components with symmetric periodic characteristics across different time scales. Subsequently, the Multi-variable Rapid Maximum Information Coefficient (MVRapidMIC) algorithm is employed to extract features with strong symmetric correlations to the load from weather and date characteristics, reducing redundancy while preserving key symmetric associations. Finally, a power distribution network short-term load forecasting model based on the Crossformer is constructed. Through the symmetric Dimension Segmentation (DSW) embedding layer and the Two-Stage Attention (TSA) mechanism layer with bidirectional symmetric correlation capture, the model effectively captures symmetric dependencies between different feature sequences, leading to the final load prediction outcome. Experimental results on the real power distribution network dataset show that: the Root Mean Square Error (RMSE) of the proposed model is as low as 14.7597 MW, the Mean Absolute Error (MAE) is 13.9728 MW, the Mean Absolute Percentage Error (MAPE) reaches 4.89%, and the coefficient of determination (R2) is as high as 0.9942. Full article
(This article belongs to the Section Engineering and Materials)
Show Figures

Figure 1

25 pages, 6752 KB  
Article
Hybrid Deep Learning Combining Mode Decomposition and Intelligent Optimization for Discharge Forecasting: A Case Study of the Baiquan Karst Spring
by Yanling Li, Tianxing Dong, Yingying Shao and Xiaoming Mao
Sustainability 2025, 17(18), 8101; https://doi.org/10.3390/su17188101 - 9 Sep 2025
Viewed by 419
Abstract
Karst springs play a critical strategic role in regional economic and ecological sustainability, yet their spatiotemporal heterogeneity and hydrological complexity pose substantial challenges for flow prediction. This study proposes FMD-mGTO-BiGRU-KAN, a four-stage hybrid deep learning architecture for daily spring flow prediction that integrates [...] Read more.
Karst springs play a critical strategic role in regional economic and ecological sustainability, yet their spatiotemporal heterogeneity and hydrological complexity pose substantial challenges for flow prediction. This study proposes FMD-mGTO-BiGRU-KAN, a four-stage hybrid deep learning architecture for daily spring flow prediction that integrates multi-feature signal decomposition, meta-heuristic optimization, and interpretable neural network design: constructing an Feature Mode Decomposition (FMD) decomposition layer to mitigate modal aliasing in meteorological signals; employing the improved Gorilla Troops Optimizer (mGTO) optimization algorithm to enable autonomous hyperparameter evolution, overcoming the limitations of traditional grid search; designing a Bidirectional Gated Recurrent Unit (BiGRU) network to capture long-term historical dependencies in spring flow sequences through bidirectional recurrent mechanisms; introducing Kolmogorov–Arnold Networks (KAN) to replace the fully connected layer, and improving the model interpretability through differentiable symbolic operations; Additionally, residual modules and dropout blocks are incorporated to enhance generalization capability, reduce overfitting risks. By integrating multiple deep learning algorithms, this hybrid model leverages their respective strengths to adeptly accommodate intricate meteorological conditions, thereby enhancing its capacity to discern the underlying patterns within complex and dynamic input features. Comparative results against benchmark models (LSTM, GRU, and Transformer) show that the proposed framework achieves 82.47% and 50.15% reductions in MSE and RMSE, respectively, with the NSE increasing by 8.01% to 0.9862. The prediction errors are more tightly distributed, and the proposed model surpasses the benchmark model in overall performance, validating its superiority. The model’s exceptional prediction ability offers a novel high-precision solution for spring flow prediction in complex hydrological systems. Full article
Show Figures

Figure 1

29 pages, 2133 KB  
Article
A Wavelet–Attention–Convolution Hybrid Deep Learning Model for Accurate Short-Term Photovoltaic Power Forecasting
by Kaoutar Ait Chaoui, Hassan EL Fadil, Oumaima Choukai and Oumaima Ait Omar
Forecasting 2025, 7(3), 45; https://doi.org/10.3390/forecast7030045 - 19 Aug 2025
Cited by 1 | Viewed by 690
Abstract
The accurate short-term forecasting (PV) of power is crucial for grid stability control, energy trading optimization, and renewable energy integration in smart grids. However, PV generation is extremely variable and non-linear due to environmental fluctuations, which challenge the conventional forecasting models. This study [...] Read more.
The accurate short-term forecasting (PV) of power is crucial for grid stability control, energy trading optimization, and renewable energy integration in smart grids. However, PV generation is extremely variable and non-linear due to environmental fluctuations, which challenge the conventional forecasting models. This study proposes a hybrid deep learning architecture, Wavelet Transform–Transformer–Temporal Convolutional Network–Efficient Channel Attention Network–Gated Recurrent Unit (WT–Transformer–TCN–ECANet–GRU), to capture the overall temporal complexity of PV data through integrating signal decomposition, global attention, local convolutional features, and temporal memory. The model begins by employing the Wavelet Transform (WT) to decompose the raw PV time series into multi-frequency components, thereby enhancing feature extraction and denoising. Long-term temporal dependencies are captured in a Transformer encoder, and a Temporal Convolutional Network (TCN) detects local features. Features are then adaptively recalibrated by an Efficient Channel Attention (ECANet) module and passed to a Gated Recurrent Unit (GRU) for sequence modeling. Multiscale learning, attention-driven robust filtering, and efficient encoding of temporality are enabled with the modular pipeline. We validate the model on a real-world, high-resolution dataset of a Moroccan university building comprising 95,885 five-min PV generation records. The model yielded the lowest error metrics among benchmark architectures with an MAE of 209.36, RMSE of 616.53, and an R2 of 0.96884, outperforming LSTM, GRU, CNN-LSTM, and other hybrid deep learning models. These results suggest improved predictive accuracy and potential applicability for real-time grid operation integration, supporting applications such as energy dispatching, reserve management, and short-term load balancing. Full article
Show Figures

Figure 1

22 pages, 696 KB  
Article
Domain Knowledge-Driven Method for Threat Source Detection and Localization in the Power Internet of Things
by Zhimin Gu, Jing Guo, Jiangtao Xu, Yunxiao Sun and Wei Liang
Electronics 2025, 14(13), 2725; https://doi.org/10.3390/electronics14132725 - 7 Jul 2025
Viewed by 497
Abstract
Although the Power Internet of Things (PIoT) significantly improves operational efficiency by enabling real-time monitoring, intelligent control, and predictive maintenance across the grid, its inherently open and deeply interconnected cyber-physical architecture concurrently introduces increasingly complex and severe security threats. Existing IoT security solutions [...] Read more.
Although the Power Internet of Things (PIoT) significantly improves operational efficiency by enabling real-time monitoring, intelligent control, and predictive maintenance across the grid, its inherently open and deeply interconnected cyber-physical architecture concurrently introduces increasingly complex and severe security threats. Existing IoT security solutions are not fully adapted to the specific requirements of power systems, such as safety-critical reliability, protocol heterogeneity, physical/electrical context awareness, and the incorporation of domain-specific operational knowledge unique to the power sector. These limitations often lead to high false positives (flagging normal operations as malicious) and false negatives (failing to detect actual intrusions), ultimately compromising system stability and security response. To address these challenges, we propose a domain knowledge-driven threat source detection and localization method for the PIoT. The proposed method combines multi-source features—including electrical-layer measurements, network-layer metrics, and behavioral-layer logs—into a unified representation through a multi-level PIoT feature engineering framework. Building on advances in multimodal data integration and feature fusion, our framework employs a hybrid neural architecture combining the TabTransformer to model structured physical and network-layer features with BiLSTM to capture temporal dependencies in behavioral log sequences. This design enables comprehensive threat detection while supporting interpretable and fine-grained source localization. Experiments on a real-world Power Internet of Things (PIoT) dataset demonstrate that the proposed method achieves high detection accuracy and enables the actionable attribution of attack stages aligned with the MITRE Adversarial Tactics, Techniques, and Common Knowledge (ATT&CK) framework. The proposed approach offers a scalable and domain-adaptable foundation for security analytics in cyber-physical power systems. Full article
Show Figures

Figure 1

20 pages, 1859 KB  
Article
Data Flow Forecasting for Smart Grid Based on Multi-Verse Expansion Evolution Physical–Social Fusion Network
by Kun Wang, Bentao Hu, Jiahao Zhang, Ruqi Zhang, Hongshuo Zhang, Sunxuan Zhang and Xiaomei Chen
Energies 2025, 18(12), 3093; https://doi.org/10.3390/en18123093 - 12 Jun 2025
Viewed by 415
Abstract
The accurate forecasting of financial flow data in power-grid operations is critical for improving operational efficiency. To tackle the challenges of low forecasting accuracy and high error rates caused by the long sequences, nonlinearity, and multi-scale and non-stationary characteristics of financial flow data, [...] Read more.
The accurate forecasting of financial flow data in power-grid operations is critical for improving operational efficiency. To tackle the challenges of low forecasting accuracy and high error rates caused by the long sequences, nonlinearity, and multi-scale and non-stationary characteristics of financial flow data, a forecasting model based on multi-verse expansion evolution (MVE2) and spatial–temporal fusion network (STFN) is proposed. Firstly, preprocess data for power-grid financial flow data based on the autoregressive integrated moving average (ARIMA) model. Secondly, establish a financial flow data forecasting framework using MVE2-STFN. Then, a feature extraction model is developed by integrating convolutional neural networks (CNN) for spatial feature extraction and bidirectional long short-term memory networks (BiLSTM) for temporal feature extraction. Next, a hybrid fine-tuning method based on MVE2 is proposed, exploiting its global optimization capability and fast convergence speed to optimize the STFN parameters. Finally, the experimental results demonstrate that our approach significantly reduces forecasting errors. It reduces RMSE by 5.75% and 13.37%, MAPE by 22.28% and 41.76%, and increases R2 by 1.25% and 6.04% compared to CNN-BiLSTM and BiLSTM models, respectively. These results confirm the model’s effectiveness in improving both accuracy and efficiency in financial flow data forecasting for power grids. Full article
Show Figures

Figure 1

23 pages, 4034 KB  
Article
Short-Term Electric Load Probability Forecasting Based on the BiGRU-GAM-GPR Model
by Qizhuan Shao, Rungang Bao, Shuangquan Liu, Kaixiang Fu, Li Mo and Wenjing Xiao
Sustainability 2025, 17(12), 5267; https://doi.org/10.3390/su17125267 - 6 Jun 2025
Viewed by 752
Abstract
Accurate and reliable short-term electricity load forecasting plays an important role in ensuring the healthy operation of the power grid and promoting sustainable socio-economic development. This research proposes a novel hybrid load probability prediction model, BiGRU-GAM-GPR, which combines a bidirectional gated recurrent unit [...] Read more.
Accurate and reliable short-term electricity load forecasting plays an important role in ensuring the healthy operation of the power grid and promoting sustainable socio-economic development. This research proposes a novel hybrid load probability prediction model, BiGRU-GAM-GPR, which combines a bidirectional gated recurrent unit (BiGRU), global attention mechanism (GAM), and Gaussian process regression (GPR). Firstly, BiGRU-GAM is used to predict the sequence to obtain preliminary prediction results, and then these results are input into GPR to obtain more accurate deterministic and probabilistic prediction results. To verify the effectiveness of the proposed model, a series of experiments are conducted on three real-world power load datasets. The experimental results show the following: (1) BiGRU has the optimal forecasting ability compared with the other basic models. (2) The global attention mechanism improves the model’s perception ability of the spatial features of multi-feature sequences and plays a positive role in enhancing the model’s forecasting performance. (3) The GPR model further explores the internal relationships of the data by expanding the deterministic prediction results into probabilistic results, thus improving the forecasting effect. (4) The proposed model BiGRU-GAM-GPR exhibits the best performance in both deterministic and probabilistic forecasting and has good robustness. Full article
Show Figures

Figure 1

15 pages, 1265 KB  
Article
Research on a Short-Term Power Load Forecasting Method Based on a Three-Channel LSTM-CNN
by Xiaojing Zhao, Huimin Peng, Lanyong Zhang and Hongwei Ma
Electronics 2025, 14(11), 2262; https://doi.org/10.3390/electronics14112262 - 31 May 2025
Viewed by 782
Abstract
Aiming at addressing the problem of insufficient fusion of multi-source heterogeneous features in short-term power load forecasting, this paper proposes a three-channel LSTM-CNN hybrid forecasting model. This method extracts the temporal characteristics of time, weather, and historical loads through independent LSTM channels and [...] Read more.
Aiming at addressing the problem of insufficient fusion of multi-source heterogeneous features in short-term power load forecasting, this paper proposes a three-channel LSTM-CNN hybrid forecasting model. This method extracts the temporal characteristics of time, weather, and historical loads through independent LSTM channels and realizes cross-modal spatial correlation mining by using a Convolutional Neural Network (CNN). The time channel takes hour, week, and holiday codes as input to capture the daily/weekly cycle patterns. The meteorological channel integrates real-time data such as temperature and humidity and models the nonlinear delay effect between them and the load. The historical load channel sequence of the past 24 h is analyzed to interpret the internal trend and fluctuation characteristics. The output of the three channels is concatenated and then input into a one-dimensional convolutional layer. Cross-modal cooperative features are extracted through local perception. Finally, the 24 h load prediction value is output through the fully connected layer. The experimental results show that the prediction model based on the three-channel LSTM-CNN has a better prediction effect compared with the existing models, and its average absolute percentage error on the two datasets is reduced to 1.367% and 0.974%, respectively. The research results provide an expandable framework for multi-source time series data modeling, supporting the precise dispatching of smart grids and optimal energy allocation. Full article
Show Figures

Figure 1

19 pages, 823 KB  
Article
Power Prediction Based on Signal Decomposition and Differentiated Processing with Multi-Level Features
by Yucheng Jin, Wei Shen and Chase Q. Wu
Electronics 2025, 14(10), 2036; https://doi.org/10.3390/electronics14102036 - 16 May 2025
Viewed by 766
Abstract
As global energy demand continues to rise, accurate load forecasting has become increasingly crucial for power system operations. This study proposes a novel Complete Ensemble Empirical Mode Decomposition with Adaptive Noise-Fast Fourier Transform-inverted Transformer-Long Short-Term Memory (CEEMDAN-FFT-iTransformer-LSTM) methodological framework to address the challenges [...] Read more.
As global energy demand continues to rise, accurate load forecasting has become increasingly crucial for power system operations. This study proposes a novel Complete Ensemble Empirical Mode Decomposition with Adaptive Noise-Fast Fourier Transform-inverted Transformer-Long Short-Term Memory (CEEMDAN-FFT-iTransformer-LSTM) methodological framework to address the challenges of component complexity and transient fluctuations in power load sequences. The framework initiates with CEEMDAN-based signal decomposition, which dissects the original load sequence into multiple intrinsic mode functions (IMFs) characterized by different temporal scales and frequencies, enabling differentiated processing of heterogeneous signal components. A subsequent application of Fast Fourier Transform (FFT) extracts discriminative frequency-domain features, thereby enriching the feature space with spectral information. The architecture employs an iTransformer module with multi-head self-attention mechanisms to capture high-frequency patterns in the most volatile IMFs, while a gated recurrent unit (LSTM) specializes in modeling low-frequency components with longer temporal dependencies. Experimental results demonstrate the proposed framework achieves superior performance with an average 80% improvement in R-squared (R2), 40.1% lower Mean Absolute Error (MAE), and 54.1% reduced Mean Squared Error (RMSE) compared to other models. This advancement provides a robust computational tool for power grid operators, enabling optimal resource dispatch through enhanced prediction accuracy to reduce operational costs. The demonstrated capability to resolve multi-scale temporal dynamics suggests potential extensions to other forecasting tasks in energy systems involving complex temporal patterns. Full article
Show Figures

Figure 1

26 pages, 4896 KB  
Article
A Novel Hybrid Deep Learning Model for Day-Ahead Wind Power Interval Forecasting
by Jianjing Mao, Jian Zhao, Hongtao Zhang and Bo Gu
Sustainability 2025, 17(7), 3239; https://doi.org/10.3390/su17073239 - 5 Apr 2025
Cited by 2 | Viewed by 1104
Abstract
Accurate interval forecasting of wind power is crucial for ensuring the safe, stable, and cost-effective operation of power grids. In this paper, we propose a hybrid deep learning model for day-ahead wind power interval forecasting. The model begins by utilizing a Gaussian mixture [...] Read more.
Accurate interval forecasting of wind power is crucial for ensuring the safe, stable, and cost-effective operation of power grids. In this paper, we propose a hybrid deep learning model for day-ahead wind power interval forecasting. The model begins by utilizing a Gaussian mixture model (GMM) to cluster daily data with similar distribution patterns. To optimize input features, a feature selection (FS) method is applied to remove irrelevant data. The empirical wavelet transform (EWT) is then employed to decompose both numerical weather prediction (NWP) and wind power data into frequency components, effectively isolating the high-frequency components that capture the inherent randomness and volatility of the data. A convolutional neural network (CNN) is used to extract spatial correlations and meteorological features, while the bidirectional gated recurrent unit (BiGRU) model captures temporal dependencies within the data sequence. To further enhance forecasting accuracy, a multi-head self-attention mechanism (MHSAM) is incorporated to assign greater weight to the most influential elements. This leads to the development of a day-ahead wind power interval forecasting model based on GMM-FS-EWT-CNN-BiGRU-MHSAM. The proposed model is validated through comparison with a benchmark forecasting model and demonstrates superior performance. Furthermore, a comparison with the interval forecasts generated using the NPKDE method shows that the new model achieves higher accuracy. Full article
(This article belongs to the Section Energy Sustainability)
Show Figures

Figure 1

14 pages, 863 KB  
Article
Surface Classification from Robot Internal Measurement Unit Time-Series Data Using Cascaded and Parallel Deep Learning Fusion Models
by Ghaith Al-refai, Dina Karasneh, Hisham Elmoaqet, Mutaz Ryalat and Natheer Almtireen
Machines 2025, 13(3), 251; https://doi.org/10.3390/machines13030251 - 20 Mar 2025
Cited by 2 | Viewed by 882
Abstract
Surface classification is critical for ground robots operating in diverse environments, as it improves mobility, stability, and adaptability. This study introduces IMU-based deep learning models for surface classification as a low-cost alternative to computer vision systems. Two feature fusion models were introduced to [...] Read more.
Surface classification is critical for ground robots operating in diverse environments, as it improves mobility, stability, and adaptability. This study introduces IMU-based deep learning models for surface classification as a low-cost alternative to computer vision systems. Two feature fusion models were introduced to classify the surface type using time-series data from an IMU sensor mounted on a ground robot. The first model, a cascaded fusion model, employs a 1-D Convolutional Neural Network (CNN) followed by a Long Short-Term Memory (LSTM) network and then a multi-head attention mechanism. The second model is a parallel fusion model, which processes sensor data through both a CNN and an LSTM simultaneously before concatenating the resulting feature vectors and then passing them to a multi-head attention mechanism. Both models utilize a multi-head attention mechanism to enhance focus on relevant segments of the time-sequence data. The models were trained on a normalized Internal Measurement Unit (IMU) dataset, with hyperparameter tuning achieved via grid search for optimal performance. Results showed that the cascaded model achieved higher accuracy metrics, including a mean Average Precision (mAP) of 0.721 compared to 0.693 for the parallel model. However, the cascaded model incurred a 44.37% increase in processing time, which makes the parallel fusion model more suitable for real-time applications. The multi-head attention mechanism contributed significantly to accuracy improvements, particularly in the cascaded model. Full article
(This article belongs to the Special Issue Recent Developments in Machine Design, Automation and Robotics)
Show Figures

Figure 1

18 pages, 1412 KB  
Article
Photovoltaic Power Prediction Technology Based on Multi-Source Feature Fusion
by Xia Zhou, Xize Zhang, Jianfeng Dai and Tengfei Zhang
Symmetry 2025, 17(3), 414; https://doi.org/10.3390/sym17030414 - 10 Mar 2025
Cited by 1 | Viewed by 786
Abstract
With the increase in photovoltaic installed capacity year by year, accurate photovoltaic power prediction is of great significance for photovoltaic grid-connected operation and scheduling planning. In order to improve the prediction accuracy, this paper proposes a photovoltaic power prediction combination model based on [...] Read more.
With the increase in photovoltaic installed capacity year by year, accurate photovoltaic power prediction is of great significance for photovoltaic grid-connected operation and scheduling planning. In order to improve the prediction accuracy, this paper proposes a photovoltaic power prediction combination model based on Pearson Correlation Coefficient (PCC), Complete Ensemble Empirical Mode Decomposition (CEEMDAN), K-means clustering, Variational Mode Decomposition (VMD), Convolutional Neural Network (CNN), and Bidirectional Long Short-Term Memory (BiLSTM). By making full use of the symmetric structure of the BiLSTM algorithm, one part is used to process the data sequence in order, and the other part is used to process the data sequence in reverse order. It captures the characteristics of sequence data by simultaneously processing a ‘symmetric’ information. Firstly, the historical photovoltaic data are preprocessed, and the correlation analysis of meteorological factors is carried out by PCC, and the high correlation factors are extracted to obtain the multivariate time series feature matrix of meteorological factors. Then, the historical photovoltaic power data are decomposed into multiple intrinsic modes and a residual component at one time by CEEMDAN. The high-frequency components are clustered by K-means combined with sample entropy, and the high-frequency components are decomposed and refined by VMD to form a multi-scale characteristic mode matrix. Finally, the obtained features are input into the CNN–BiLSTM model for the final photovoltaic power prediction results. After experimental verification, compared with the traditional single-mode decomposition algorithm (such as CEEMDAN–BiLSTM, VMD–BiLSTM), the combined prediction method proposed reduces MAE by more than 0.016 and RMSE by more than 0.017, which shows excellent accuracy and stability. Full article
(This article belongs to the Special Issue Symmetry and Asymmetry in Data Analysis)
Show Figures

Figure 1

24 pages, 1909 KB  
Article
Power Grid Load Forecasting Using a CNN-LSTM Network Based on a Multi-Modal Attention Mechanism
by Wangyong Guo, Shijin Liu, Liguo Weng and Xingyu Liang
Appl. Sci. 2025, 15(5), 2435; https://doi.org/10.3390/app15052435 - 24 Feb 2025
Cited by 9 | Viewed by 4084
Abstract
Optimizing short-term load forecasting performance is a challenge due to the non-linearity and randomness of electrical load, as well as the variability of system operating patterns. Existing methods often fail to consider how to effectively combine their complementary advantages and fail to fully [...] Read more.
Optimizing short-term load forecasting performance is a challenge due to the non-linearity and randomness of electrical load, as well as the variability of system operating patterns. Existing methods often fail to consider how to effectively combine their complementary advantages and fail to fully capture the internal information in the load sequence, leading to a decrease in accuracy. To achieve accurate and efficient short-term load forecasting, this study proposes a novel power grid load forecasting model that integrates Convolutional Neural Networks (CNNs), Long Short-Term Memory Networks (LSTMs), Multi-Head Self-Attention Mechanism (MHSA), Global Attention Mechanism (GAM), and Channel Attention Mechanism (CAM) to achieve efficient and precise short-term load forecasting. This model aims to address the issue in traditional methods where complex temporal features and important information in power grid load data are not fully captured. Firstly, the CNN module is used to extract high-dimensional spatial features from the load data, and a pooling layer is applied to reduce dimensionality while retaining key information. Then, the Multi-Head Self-Attention mechanism is employed to model the long-range dependencies of the sequence data, enhancing the ability to extract temporal features. Next, the LSTM layer further captures the time dependencies in the load sequence. Subsequently, the Global Attention mechanism helps the model focus more on the most relevant parts of the input sequence, improving the model’s performance and generalization ability. The Channel Attention module is then applied to weight different feature channels, highlighting important information and reducing redundancy. Finally, the flattened output layer produces the forecast results. Experimental validation shows that the proposed CNN-MHSA-LSTM-GAM-CAM model outperforms existing mainstream methods in terms of load forecasting accuracy, providing effective support for the optimized scheduling of smart grids. Full article
(This article belongs to the Special Issue Intelligent Big Data Processing)
Show Figures

Figure 1

17 pages, 3811 KB  
Article
A Named Entity Recognition Model for Chinese Electricity Violation Descriptions Based on Word-Character Fusion and Multi-Head Attention Mechanisms
by Lingwen Meng, Yulin Wang, Yuanjun Huang, Dingli Ma, Xinshan Zhu and Shumei Zhang
Energies 2025, 18(2), 401; https://doi.org/10.3390/en18020401 - 17 Jan 2025
Viewed by 906
Abstract
Due to the complexity and technicality of named entity recognition (NER) in the power grid field, existing methods are ineffective at identifying specialized terms in power grid operation record texts. Therefore, this paper proposes a Chinese power violation description entity recognition model based [...] Read more.
Due to the complexity and technicality of named entity recognition (NER) in the power grid field, existing methods are ineffective at identifying specialized terms in power grid operation record texts. Therefore, this paper proposes a Chinese power violation description entity recognition model based on word-character fusion and multi-head attention mechanisms. The model first utilizes a collected power grid domain corpus to train a Word2Vec model, which produces static word vector representations. These static word vectors are then integrated with the dynamic character vector features of the input text generated by the BERT model, thereby mitigating the impact of segmentation errors on the NER model and enhancing the model’s ability to identify entity boundaries. The combined vectors are subsequently input into a BiGRU model for learning contextual features. The output from the BiGRU layer is then passed to an attention mechanism layer to obtain enhanced semantic features, which highlight key semantics and improve the model’s contextual understanding ability. Finally, the CRF layer decodes the output to generate the globally optimal label sequence with the highest probability. Experimental results on the constructed power grid field operation violation description dataset demonstrate that the proposed NER model outperforms the traditional BERT-BiLSTM-CRF model, with an average improvement of 1.58% in precision, recall, and F1-score. This demonstrates the effectiveness of the model design and further enhances the accuracy of entity recognition in the power grid domain. Full article
(This article belongs to the Section A1: Smart Grids and Microgrids)
Show Figures

Figure 1

19 pages, 10708 KB  
Article
Short-Term Wind Power Prediction Based on Feature-Weighted and Combined Models
by Deyang Yin, Lei Zhao, Kai Zhai and Jianfeng Zheng
Appl. Sci. 2024, 14(17), 7698; https://doi.org/10.3390/app14177698 - 31 Aug 2024
Cited by 2 | Viewed by 1435
Abstract
Accurate wind power prediction helps to fully utilize wind energy and improve the stability of the power grid. However, existing studies mostly analyze key wind power-related features equally without distinguishing the importance of different features. In addition, single models have limitations in fully [...] Read more.
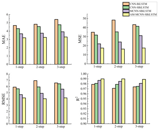
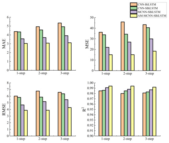
Accurate wind power prediction helps to fully utilize wind energy and improve the stability of the power grid. However, existing studies mostly analyze key wind power-related features equally without distinguishing the importance of different features. In addition, single models have limitations in fully extracting input feature information and capturing the time-dependent relationships of feature sequences, posing significant challenges to wind power prediction. To solve these problems, this paper presents a wind power forecasting approach that combines feature weighting and a combination model. Firstly, we use the attention mechanism to learn the weights of different input features, highlighting the more important features. Secondly, a Multi-Convolutional Neural Network (MCNN) with different convolutional kernels is employed to extract feature information comprehensively. Next, the extracted feature information is input into a Stacked BiLSTM (SBiLSTM) network to capture the temporal dependencies of the feature sequence. Finally, the prediction results are obtained. This article conducted four comparative experiments using measured data from wind farms. The experimental results demonstrate that the model has significant advantages; compared to the CNN-BiLSTM model, the mean absolute error, mean squared error, and root mean squared error of multi-step prediction at different prediction time resolutions are reduced by 35.59%, 59.84%, and 36.77% on average, respectively, and the coefficient of determination is increased by 1.35% on average. Full article
(This article belongs to the Section Computing and Artificial Intelligence)
Show Figures

Figure 1

Back to TopTop