Research on a Short-Term Power Load Forecasting Method Based on a Three-Channel LSTM-CNN
Abstract
1. Introduction
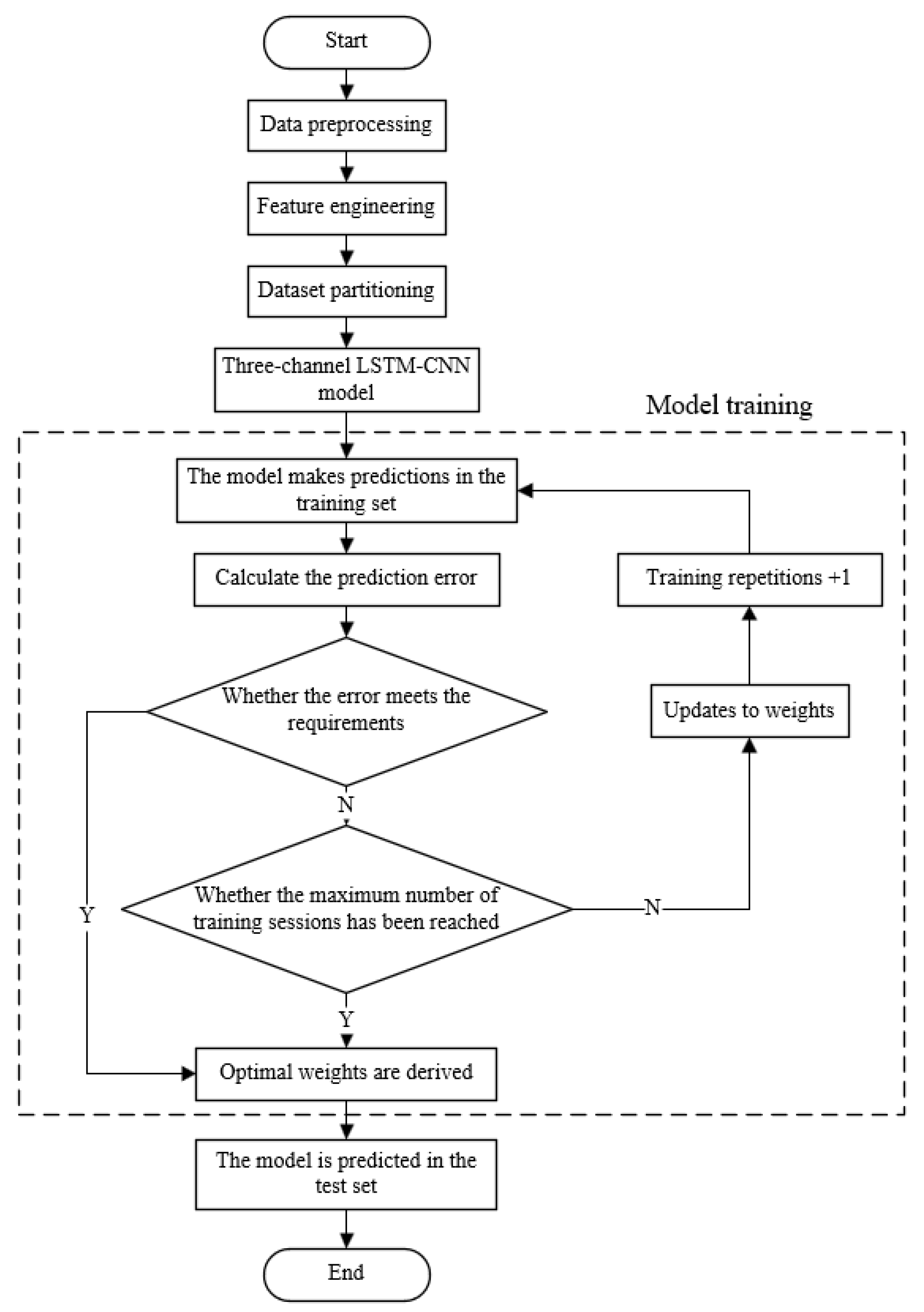
2. Three-Channel LSTM-CNN Combined Model
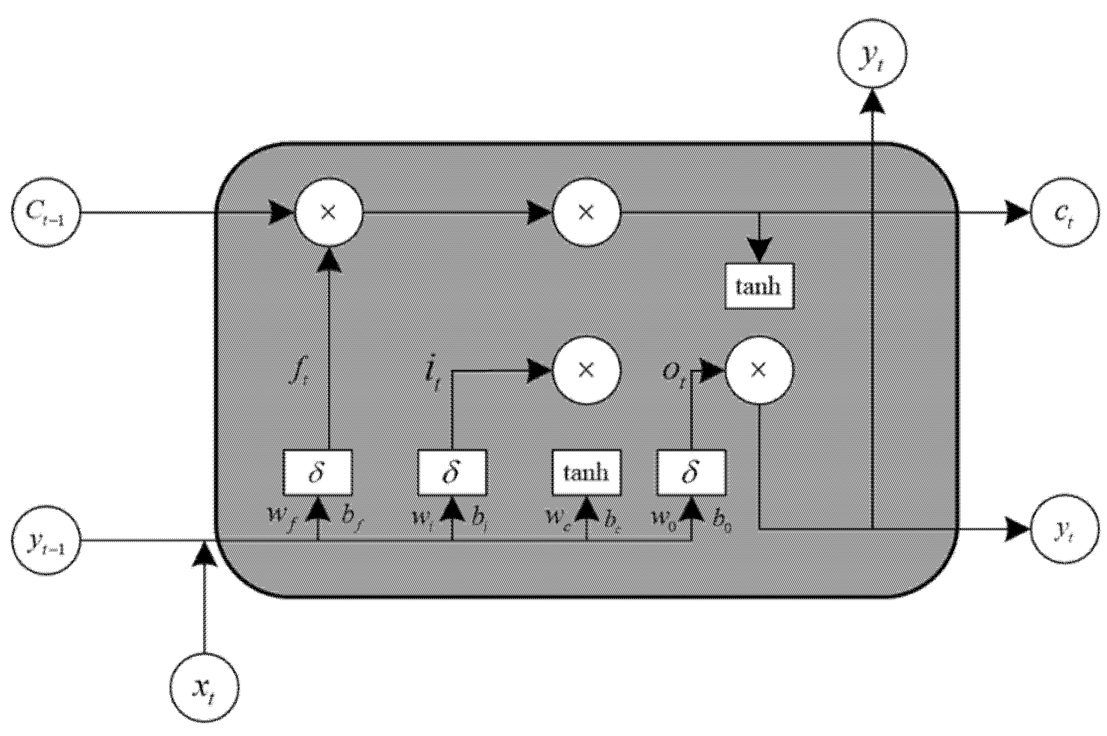
2.1. Long Short-Term Memory Neural Network
2.2. Convolutional Neural Network
2.3. The Structure of the LSTM + CNN Model with Three Channels of History, Time, and Meteorology
3. Experimental Parameter Settings
4. Analysis of Experimental Results
- (1)
- Table 4 presents the load forecasting results of different models in the Tétouan municipal power supply dataset. It can be known from Table 4 that, compared with the LSTM model, the CNN-LSTM combined model that adds a CNN for feature extraction on the basis of LSTM, and the TCN model, the RMSE of the three-channel LSTM-CNN model decreased by 239.202 MW, 215.660 MW, and 27.887 MW, respectively. MAE decreased by 202.1 MW, 177.6 MW, and 42.0 MW, respectively; MAPE decreased by 0.566%, 0.465% and 0.104%, respectively. It is indicated that the LSTM model after feature extraction using the CNN network can better capture the characteristic information of power load, thereby improving the accuracy of power load prediction. Among all the comparison models, the three-channel LSTM-CNN model has the best effect in power load forecasting. Experiments prove that this model has good predictive performance.
- (2)
- Table 5 shows the load forecasting results of different models in the Electrician Cup competition dataset. It can be known from Table 5 that among the various comparison models, the three-channel LSTM-CNN prediction model has a relatively high accuracy in power load prediction. Its RMSE is 321.198 MW, its MAE is 278.6 MW, and its MAPE is 0.974%. Compared with the LSTM, the CNN-LSTM model, and the TCN model, RMSE decreased by 187.659 MW, 104.998 MW, and 37.096 MW, respectively. The MAE decreased by 128.5 MW, 65.2 MW, and 26.1 MW, respectively. The MAPE decreased by 0.548%, 0.272%, and 0.109%, respectively. All three evaluation indicators decreased, indicating that the model in this section has a good effect on power load forecasting.
5. Conclusions
Author Contributions
Funding
Data Availability Statement
Conflicts of Interest
References
- Hao, P.; Yin, S.; Wang, D.; Wang, J. Exploring the influencing factors of urban residential electricity consumption in China. Energy Sustain. Dev. 2023, 72, 278–289. [Google Scholar] [CrossRef]
- Jiang, Q.; Khattak, S.I.; Rahman, Z.U. Measuring the simultaneous effects of electricity consumption and production on carbon di-oxide emissions (CO2e) in China: New evidence from an EKC-based assessment. Energy 2021, 229, 120616. [Google Scholar] [CrossRef]
- Hao, Y.; Li, Y.; Guo, Y.; Chai, J.; Yang, C.; Wu, H. Digitalization and electricity consumption: Does internet development contribute to the reduction in electricity intensity in China. Energy Policy 2022, 164, 112912. [Google Scholar] [CrossRef]
- Zou, H.B.; Yang, Q.H.; Chen, J.T.; Chai, Y.H. Short-term Power Load Forecasting Based on Phase Space Reconstruction and EMD-ELM. J. Electr. Eng. Technol. 2023, 18, 3349–3359. [Google Scholar] [CrossRef]
- Ji, Y.; An, A.; Zhang, L.; He, P.; Liu, X. Short-term load forecasting based on temporal importance analysis and feature extraction. Electr. Power Syst. Res. 2025, 244, 111551. [Google Scholar]
- Liu, W.; Li, J. Short-Term Power Load Forecasting Based on Genetic Algorithm Improved VMD-BP. Int. J. Intell. Inf. Technol. 2025, 21, 1–18. [Google Scholar] [CrossRef]
- Liu, M.; Xia, C.; Xia, Y.; Deng, S.; Wang, Y. TDCN: A novel temporal depthwise convolutional network for short-term load forecasting. Int. J. Electr. Power Energy Syst. 2025, 165, 110512. [Google Scholar] [CrossRef]
- Chen, W.; Rong, F.; Lin, C. Short-term building electricity load forecasting with a hybrid deep learning method. Energy Build. 2025, 330, 115342. [Google Scholar] [CrossRef]
- Smyl, S.; Dudek, G.; Pełka, P. Contextually enhanced ES-dRNN with dynamic attention for short-term load forecasting. Neural Netw. 2024, 169, 660–672. [Google Scholar] [CrossRef]
- Du, S.H.; Gao, T.; Su, J.; Yang, G.; Fang, S. Short-term Load Combination Forecasting Model Based on Causality Mining of Influencing Factors. In Proceedings of the 3rd Asia Energy and Electrical Engineering Symposium (AEEES 2021), Chengdu, China, 26–29 March 2021; pp. 969–973. [Google Scholar]
- Cheng, L.; Zhang, Y.; Suo, L.; Shen, S.; Fang, F.; Jin, L. Short-Term Cooling, Heating and Electrical Load Forecasting in Business Parks Based on Improved Entropy Method. In Proceedings of the 36th Chinese Control Conference (CCC), Dalian, China, 26–28 July 2017; pp. 10611–10616. [Google Scholar]
- Chen, X.Y.; Dong, X.L.; Shi, L. Short-Term Power Load Forecasting Based on I-GWO-KELM Algorithm. In Proceedings of the 2nd International Conference on Computer Science Communication and Network Security (CSCNS 2020), Sanya, China, 22–23 December 2020. MATEC Web Conf. 2021, 336, 05021. [Google Scholar] [CrossRef]
- Zeng, L.S.; Li, Y.L. A Method for Power System Short-Term Load Forecasting Based on Radial Basis Function Neural Network. In Proceedings of the 4th International Conference on Intelligent Systems Design and Engineering Applications (ISDEA), Zhangjiajie, China, 6–7 November 2013; pp. 12–14. [Google Scholar]
- Giacomazzi, E.; Haag, F.; Hopf, K. Short-term electricity load forecasting using the temporal fusion transformer: Effect of grid hierarchies and data sources. In Proceedings of the 14th ACM International Conference on Future Energy Systems, Orlando, FL, USA, 20–23 June 2023; pp. 353–360. [Google Scholar]
- Lv, Y.; Wang, L.; Long, D.; Hu, Q.; Hu, Z. Multi-area short-term load forecasting based on spatiotemporal graph neural network. Eng. Appl. Artif. Intell. 2024, 138, 109398. [Google Scholar] [CrossRef]
- Ren, C.; Jia, L.; Wang, Z. A CNN-LSTM hybrid model based short-term power load forecasting. In Proceedings of the 2021 Power System and Green Energy Conference (PSGEC), Shanghai, China, 20–22 August 2021; IEEE: Piscataway, NJ, USA, 2021; pp. 182–186. [Google Scholar]
- Zhao, F.; Zhang, C.; Geng, B. Deep multimodal data fusion. ACM Comput. Surv. 2024, 56, 1–36. [Google Scholar] [CrossRef]
- Zhang, C.J.; Zhang, F.Q.; Gou, F.Y.; Cao, W.S. Study on Short-Term Electricity Load Forecasting Based on the Modified Simplex Approach Sparrow Search Algorithm Mixed with a Bidirectional Long- and Short-Term Memory Network. Processes 2024, 12, 1796. [Google Scholar] [CrossRef]
- Li, F.; Yu, X.W.; Tian, X.; Zhao, Z.L. Short-Term Load Forecasting for an Industrial Park Using LSTM-RNN Considering Energy Storage. In Proceedings of the 3rd Asia Energy and Electrical Engineering Symposium (AEEES), Chengdu, China, 26–29 March 2021; pp. 684–689. [Google Scholar]
- Wang, Y.Z.; Zhang, N.Q.; Chen, X. A Short-Term Residential Load Forecasting Model Based on LSTM Recurrent Neural Network Considering Weather Features. Energies 2021, 14, 2737. [Google Scholar] [CrossRef]
- Yalcinoz, T.; Eminoglu, U. Short Term and Medium Term Power Distribution Load Forecasting by Neural Networks. Energy Convers. Manag. 2005, 46, 1393–1405. [Google Scholar] [CrossRef]
- Greff, K.; Srivastava, R.K.; Koutník, J.; Steunebrink, B.R.; Schmidhuber, J. LSTM: A search space odyssey. IEEE Trans. Neural Netw. Learn. Syst. 2016, 28, 2222–2232. [Google Scholar] [CrossRef] [PubMed]
- Mei, T.D.; Si, Z.J.; Yan, J.; Lu, L.F. Short-Term Power Load Forecasting Study Based on IWOA Optimized CNN-BiLSTM. In Advanced Intelligent Computing Technology and Applications, Proceedings of the 20th International Conference on Intelligent Computing (ICIC 2024), Tianjin, China, 5–8 August 2024; Lecture Notes in Computer Science; Springer: Berlin/Heidelberg, Germany, 2024; Volume 14862, pp. 502–510. [Google Scholar]
- Zhang, W.J.; Qin, J.; Mei, F.; Fu, J.J.; Dai, B.; Yu, W.W. Short-Term Power Load Forecasting Using Integrated Methods Based on Long Short-Term Memory. Sci. China Technol. Sci. 2020, 63, 614–624. [Google Scholar] [CrossRef]
- Chua, L.O.; Roska, T. The CNN paradigm. IEEE Trans. Circuits Syst. I Fundam. Theory Appl. 1993, 40, 147–156. [Google Scholar] [CrossRef]
- Dao, F.; Zeng, Y.; Qian, J. Fault diagnosis of hydro-turbine via the incorporation of bayesian algorithm optimized CNN-LSTM neural network. Energy 2024, 290, 130326. [Google Scholar] [CrossRef]
- Farsi, B.; Amayri, M.; Bouguila, N.; Eicker, U. On Short-Term Load Forecasting Using Machine Learning Techniques and a Novel Parallel Deep LSTM-CNN Approach. IEEE Access 2021, 9, 31191–31212. [Google Scholar] [CrossRef]
- Yi, S.Y.; Liu, H.C.; Chen, T.; Zhang, J.W.; Fan, Y.B. A Deep LSTM-CNN Based on Self-Attention Mechanism with Input Data Reduction for Short-Term Load Forecasting. IET Gener. Transm. Distrib. 2023, 17, 1538–1552. [Google Scholar] [CrossRef]
- Agga, F.A.; Abbou, S.A.; El Houm, Y.; Labbadi, M. Short-Term Load Forecasting Based on CNN and LSTM Deep Neural Networks. In Proceedings of the 14th IFAC Workshop on Adaptive and Learning Control Systems (ALCOS 2022), Casablanca, Morocco, 29 June–1 July 2022. IFAC-PapersOnLine 2022, 55, 777–781. [Google Scholar] [CrossRef]












| Activation Function | RMSE/MW | MAE/MW | MAPE/% |
|---|---|---|---|
| Sigmoid | 393.250 | 315.6 | 1.155 |
| Tanh | 449.462 | 362.8 | 1.273 |
| ReLU | 651.879 | 543.2 | 2.218 |
| Leaky ReLU | 321.198 | 275.3 | 0.974 |
| Optimizer | RMSE/MW | MAE/MW | MAPE/% |
|---|---|---|---|
| SGD | 523.866 | 423.7 | 1.493 |
| RMSprop | 335.207 | 287.5 | 1.102 |
| Nadam | 327.914 | 280.1 | 1.038 |
| Adam | 321.198 | 266.4 | 0.974 |
| Input Length | RMSE/MW | MAE/MW | MAPE/% |
|---|---|---|---|
| 1 | 321.198 | 277.1 | 0.974 |
| 2 | 405.693 | 338.9 | 1.130 |
| 3 | 512.023 | 425.6 | 1.536 |
| 4 | 1310.602 | 1005.8 | 4.520 |
| Method | RMSE/MW | MAE/MW | MAPE/% |
|---|---|---|---|
| LSTM | 799.783 | 652.3 | 1.942 |
| CNN-LSTM | 776.214 | 627.8 | 1.823 |
| TCN | 588.468 | 492.2 | 1.471 |
| Three-channel LSTM-CNN | 560.581 | 450.2 | 1.367 |
| Method | RMSE/MW | MAE/MW | MAPE/% |
|---|---|---|---|
| LSTM | 508.857 | 407.1 | 1.522 |
| CNN-LSTM | 426.196 | 343.8 | 1.246 |
| TCN | 358.294 | 304.7 | 1.083 |
| Three-channel LSTM-CNN | 321.198 | 278.6 | 0.974 |
Disclaimer/Publisher’s Note: The statements, opinions and data contained in all publications are solely those of the individual author(s) and contributor(s) and not of MDPI and/or the editor(s). MDPI and/or the editor(s) disclaim responsibility for any injury to people or property resulting from any ideas, methods, instructions or products referred to in the content. |
© 2025 by the authors. Licensee MDPI, Basel, Switzerland. This article is an open access article distributed under the terms and conditions of the Creative Commons Attribution (CC BY) license (https://creativecommons.org/licenses/by/4.0/).
Share and Cite
Zhao, X.; Peng, H.; Zhang, L.; Ma, H. Research on a Short-Term Power Load Forecasting Method Based on a Three-Channel LSTM-CNN. Electronics 2025, 14, 2262. https://doi.org/10.3390/electronics14112262
Zhao X, Peng H, Zhang L, Ma H. Research on a Short-Term Power Load Forecasting Method Based on a Three-Channel LSTM-CNN. Electronics. 2025; 14(11):2262. https://doi.org/10.3390/electronics14112262
Chicago/Turabian StyleZhao, Xiaojing, Huimin Peng, Lanyong Zhang, and Hongwei Ma. 2025. "Research on a Short-Term Power Load Forecasting Method Based on a Three-Channel LSTM-CNN" Electronics 14, no. 11: 2262. https://doi.org/10.3390/electronics14112262
APA StyleZhao, X., Peng, H., Zhang, L., & Ma, H. (2025). Research on a Short-Term Power Load Forecasting Method Based on a Three-Channel LSTM-CNN. Electronics, 14(11), 2262. https://doi.org/10.3390/electronics14112262
