Sign in to use this feature.

Years

Between: -

Subjects

remove_circle_outline
remove_circle_outline
remove_circle_outline
remove_circle_outline
remove_circle_outline
remove_circle_outline
remove_circle_outline
remove_circle_outline
remove_circle_outline

Journals

remove_circle_outline
remove_circle_outline
remove_circle_outline
remove_circle_outline
remove_circle_outline
remove_circle_outline
remove_circle_outline
remove_circle_outline
remove_circle_outline
remove_circle_outline

Article Types

Countries / Regions

remove_circle_outline
remove_circle_outline
remove_circle_outline
remove_circle_outline
remove_circle_outline

Search Results (373)

Search Parameters:
Keywords = modular organization

Order results
Result details
Results per page
Select all
Export citation of selected articles as:
19 pages, 1440 KB  
Article
Mandibular Shape Variation, Allometry and Modularity in Adult Mesocephalic Dogs (Canis lupus familiaris): Insights into Morphological Integration and Animal Anatomy
by Resef Contreras and Paulo Salinas
Animals 2025, 15(22), 3244; https://doi.org/10.3390/ani15223244 (registering DOI) - 8 Nov 2025
Abstract
The mandible of domestic dogs represents a key structure in veterinary anatomy. This study tested the hypothesis that mandibular shape variation in adult mesocephalic dogs follows a non-random modular pattern with limited allometric influence. A total of 168 dry mandibles from academic osteological [...] Read more.
The mandible of domestic dogs represents a key structure in veterinary anatomy. This study tested the hypothesis that mandibular shape variation in adult mesocephalic dogs follows a non-random modular pattern with limited allometric influence. A total of 168 dry mandibles from academic osteological collections were analyzed using geometric morphometrics. Four anatomical landmarks and two curves of sliding semilandmarks were digitized and processed through Generalized Procrustes Analysis. Principal component analysis revealed that 62.7% of total variance was concentrated in the first two axes, associated with the coronoid height, ramus robustness, and curvature of the mandibular body. Cluster and Canonical Variate Analyses identified two overlapping but statistically distinct configurations, reflecting the intrinsic morphological diversity of mesocephalic dogs. Procrustes regression confirmed a significant yet low allometric effect (2.34%), while modularity tests based on RV coefficients supported a structured organization involving the ramus, coronoid, and angular processes (processus angularis mandibulae) as relatively independent modules. These results indicate that mandibular shape variation is hierarchically organized rather than random, highlighting the coexistence of integration and modular independence within the masticatory apparatus. Beyond its morphometric contribution, this study provides a reproducible anatomical baseline for veterinary and comparative research, facilitating future analyses of sexual dimorphism, functional adaptation, and surgical applications. Full article
(This article belongs to the Special Issue Recent Advances in Veterinary Anatomy and Morphology)
Show Figures

Graphical abstract

32 pages, 3533 KB  
Article
RDBAlert: An AI-Driven Automated Tool for Effective Identification of Victims’ Personal Information in Ransomware Data Breaches
by Juan Manuel Tejada-Triviño, Elvira Castillo-Fernández, Pedro García-Teodoro and José Antonio Gómez-Hernández
Electronics 2025, 14(21), 4327; https://doi.org/10.3390/electronics14214327 - 4 Nov 2025
Viewed by 269
Abstract
Ransomware attacks are increasingly resulting in the public leakage of sensitive personal data, affecting both individuals and organizations worldwide. Aimed to inform victims when their personal information is compromised, this paper introduces RDBAlert, a rapid and efficient practical tool that automates the [...] Read more.
Ransomware attacks are increasingly resulting in the public leakage of sensitive personal data, affecting both individuals and organizations worldwide. Aimed to inform victims when their personal information is compromised, this paper introduces RDBAlert, a rapid and efficient practical tool that automates the extraction of multimodal personal data from ransomware leak repositories, enabling victims to mitigate damage early and take necessary precautions to protect themselves from further harm. The comprehensive and modular nature of this novel tool contributes several notable features: (i) automation of ransomware data leak detection; (ii) analysis of information in multiple formats and languages by integrating well-known OCR, text/PDF, and image recognition, as well as multimodal currently available AI-related tools; (iii) user-friendly interface for quick and efficient analysis; and (iv) ability to gather forensic evidence for studying security incidents. In addition to the flexible nature of RDBAlert–as each module can be replaced or upgraded with potentially more effective solutions without impacting the overall service–experimental results show that it is highly effective at identifying personal information, which will contribute to the mitigation of ransomware attack consequences. Full article
Show Figures

Figure 1

35 pages, 4852 KB  
Review
From Waste to Resource: Algal–Bacterial Systems and Immobilization Techniques in Aquaculture Effluent Treatment
by Jiangqi Qu, Ruijun Ren, Zhanhui Wu, Jie Huang and Qingjing Zhang
Clean Technol. 2025, 7(4), 97; https://doi.org/10.3390/cleantechnol7040097 - 4 Nov 2025
Viewed by 327
Abstract
The rapid expansion of global aquaculture has led to wastewater enriched with nitrogen, phosphorus, organic matter, antibiotics, and heavy metals, posing serious risks such as eutrophication, ecological imbalance, and public health threats. Conventional physical, chemical, and biological treatments face limitations including high cost, [...] Read more.
The rapid expansion of global aquaculture has led to wastewater enriched with nitrogen, phosphorus, organic matter, antibiotics, and heavy metals, posing serious risks such as eutrophication, ecological imbalance, and public health threats. Conventional physical, chemical, and biological treatments face limitations including high cost, secondary pollution, and insufficient efficiency, limiting sustainable wastewater management. Algal–bacterial symbiotic systems (ABSS) provide a sustainable alternative, coupling the metabolic complementarity of microalgae and bacteria for effective pollutant mitigation and concurrent biomass valorization. Immobilizing microbial consortia within carrier materials enhances system stability, tolerance to environmental changes, and scalability. This review systematically summarizes the pollution characteristics and ecological risks of aquaculture effluents, highlighting the limitations of conventional treatment methods. It focuses on the metabolic cooperation within ABSS, including nutrient cycling and pollutant degradation, the impact of environmental factors, and the role of immobilization carriers in enhancing system performance and biomass resource valorization. Despite their potential, ABSS still face challenges related to mass transfer limitations, complex microbial interactions, and difficulties in scale-up. Future research should focus on improving environmental adaptability, regulating microbial dynamics, designing intelligent and cost-effective carriers, and developing modular engineering systems to enable robust and scalable solutions for sustainable aquaculture wastewater treatment. Full article
(This article belongs to the Special Issue Pollutant Removal from Wastewater by Microalgae-Based Processes)
Show Figures

Figure 1

16 pages, 14176 KB  
Article
Plug and Play Multi-Organ Chips: Integrated µGaskets for the Facile and Reversible Connection of Individual Organ-on-Chip Modules
by Hannah Graf, Martin Gaier, Caroline Culp and Peter Loskill
Micromachines 2025, 16(11), 1251; https://doi.org/10.3390/mi16111251 - 31 Oct 2025
Viewed by 552
Abstract
Multi-organ-chip (MOC) models provide a plethora of auspicious opportunities to replace current in vitro and in vivo models for a more systemic investigation of human (patho-)physiology for drug development and personalized medicine. Integration of individual organ tissues into a systemic circulation remains a [...] Read more.
Multi-organ-chip (MOC) models provide a plethora of auspicious opportunities to replace current in vitro and in vivo models for a more systemic investigation of human (patho-)physiology for drug development and personalized medicine. Integration of individual organ tissues into a systemic circulation remains a major challenge for their implementation/application. Modular ‘mix-and-match’ connection strategies are beneficial in their flexibility for individual organ-on-chip (OoC) module designs, and their connection and experimental timelines, but yet lack a facile implementation/realization without the addition of external connectors and dead volume. We introduce a novel concept for the flexible plug and play integration of OoC modules to an MOC platform by integrated µGaskets. The thermoplastic elastomer (TPE)-based µGaskets provide a highly robust and simultaneously easy connection of customizable tissue models. We characterized the facile fabrication of connection chips equipped with µGaskets and proved their functionality and durability in different burst, pressure and reusability tests. Full article
(This article belongs to the Section B:Biology and Biomedicine)
Show Figures

Figure 1

18 pages, 5083 KB  
Article
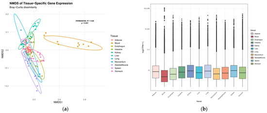
Spatial Modularity of Innate Immune Networks Across Bactrian Camel Tissues
by Lili Guo, Bin Liu, Chencheng Chang, Fengying Ma, Le Zhou and Wenguang Zhang
Animals 2025, 15(21), 3173; https://doi.org/10.3390/ani15213173 - 31 Oct 2025
Viewed by 140
Abstract
The Bactrian camel exemplifies mammalian adaptation to deserts, but the spatial organization of its innate immune system remains uncharacterized. This study integrated transcriptomes from 110 samples across 11 major tissues and organs to resolve tissue-specific gene expression and innate immune modularity. Through differential [...] Read more.
The Bactrian camel exemplifies mammalian adaptation to deserts, but the spatial organization of its innate immune system remains uncharacterized. This study integrated transcriptomes from 110 samples across 11 major tissues and organs to resolve tissue-specific gene expression and innate immune modularity. Through differential expression analysis, Tau specificity index (τ > 0.8), and machine learning validation (Random Forest F1-score = 0.86 ± 0.11), we identified 4242 high-confidence tissue-specific genes (e.g., LIPE/PLIN1 in adipose). Weighted gene co-expression network analysis (WGCNA) of 1522 innate immune genes revealed 11 co-expression modules, with six exhibiting significant tissue associations (FDR < 0.01): liver-specific (r = 0.96), spleen-adipose-enriched (r = 0.88), muscle-associated (r = 0.82), and blood-specific (r = 0.80) modules. These networks demonstrated multifunctional coordination of immune pathways—including Pattern Recognition, Cytokine Signaling, and Phagocytosis—rather than isolated functions. Our results establish that camel innate immunity is organized into spatially modular networks tailored to tissue microenvironments, providing the first systems-level framework for understanding immune resilience in desert-adapted mammals and may inform strategies for enhancing livestock resilience in arid regions. Full article
(This article belongs to the Section Animal Genetics and Genomics)
Show Figures

Figure 1

19 pages, 1043 KB  
Review
Fractal Technology for Sustainable Growth in the AI Era: Fractal Principles for Industry 5.0
by Young Chan Ko, Soon Wan Kweon, Byoung Geun Moon, Jong-Moon Park and Hyoung Jin Kim
Fractal Fract. 2025, 9(11), 695; https://doi.org/10.3390/fractalfract9110695 - 29 Oct 2025
Viewed by 535
Abstract
This study presents fractal technology as a foundational approach to sustainable growth in the artificial intelligence (AI) era and Industry 5.0. We explore how the principles of fractal geometry, including self-similarity and recursive properties, improve scalability, efficiency, and adaptability in AI-driven systems. Representative [...] Read more.
This study presents fractal technology as a foundational approach to sustainable growth in the artificial intelligence (AI) era and Industry 5.0. We explore how the principles of fractal geometry, including self-similarity and recursive properties, improve scalability, efficiency, and adaptability in AI-driven systems. Representative applications include neural networks, decentralized control, and intelligent manufacturing, where fractal-based design enables modularity, fault tolerance, and optimized resource use. Case studies and theoretical models demonstrate that a fractal frameworks provide a viable path toward long-term, self-organizing industrial innovation and sustainability-oriented vision of Industry 5.0. Theoretical perspectives are strengthened by connections to nonextensive Tsallis statistics and parallels with complex systems in quantum field theory, suggesting the universality of fractal laws across disciplines. Case studies confirm that fractal frameworks offer a viable path toward long-term, self-organizing industrial innovation, contributing to the emerging field of fractal engineering and providing a systems-level paradigm for sustainable technological evolution. Full article
(This article belongs to the Section Geometry)
Show Figures

Figure 1

21 pages, 3481 KB  
Article
A New and Smart Gas Meter with Blockchain Validation for Distributed Management of Energy Tokens
by Luciano Chiominto, Giulio D’Emilia, Paolo Esposito, Giuseppe Ferri, Emanuela Natale, Dario Polverini, Paolo Spinozzi, Vincenzo Stornelli and Luca Chiavaroli
Eng 2025, 6(11), 290; https://doi.org/10.3390/eng6110290 - 28 Oct 2025
Viewed by 290
Abstract
The design philosophy of a new smart gas meter is presented, based on an ultrasonic sensor employing LoRa and/or NB-IoT protocols and blockchain technologies to overcome the data integrity and security issues with a completely modular design. The architecture is organized into two [...] Read more.
The design philosophy of a new smart gas meter is presented, based on an ultrasonic sensor employing LoRa and/or NB-IoT protocols and blockchain technologies to overcome the data integrity and security issues with a completely modular design. The architecture is organized into two separate blocks, the former for measurement and the latter for communication, and it presents original characteristics with respect to the state of the art. The accuracy of measured data is studied, paying attention to the fluid dynamic effects of the geometrical layout on the flow rate ultrasonic sensor and the environmental temperature and pressure for variable gas flow rate values. As for data security issues, the proposed solution is critically analyzed with reference to the data string organization and the procedure by which the data are stored and prepared for transmission into the blockchain. Finally, a local network of counters is designed and simulated in order to check the compliance of the provided hardware and software solutions with the predicted computational load. Full article
(This article belongs to the Special Issue Interdisciplinary Insights in Engineering Research)
Show Figures

Figure 1

38 pages, 1493 KB  
Review
From Mineral Salts to Smart Hybrids: Coagulation–Flocculation at the Nexus of Water, Energy, and Resources—A Critical Review
by Faiçal El Ouadrhiri, Ebraheem Abdu Musad Saleh and Amal Lahkimi
Processes 2025, 13(11), 3405; https://doi.org/10.3390/pr13113405 - 23 Oct 2025
Viewed by 639
Abstract
Coagulation–flocculation, historically reliant on simple inorganic salts, has evolved into a technically sophisticated process that is central to the removal of turbidity, suspended solids, organic matter, and an expanding array of micropollutants from complex wastewaters. This review synthesizes six decades of research, charting [...] Read more.
Coagulation–flocculation, historically reliant on simple inorganic salts, has evolved into a technically sophisticated process that is central to the removal of turbidity, suspended solids, organic matter, and an expanding array of micropollutants from complex wastewaters. This review synthesizes six decades of research, charting the transition from classical aluminum and iron salts to high-performance polymeric, biosourced, and hybrid coagulants, and examines their comparative efficiency across multiple performance indicators—turbidity removal (>95%), COD/BOD reduction (up to 90%), and heavy metal abatement (>90%). Emphasis is placed on recent innovations, including magnetic composites, bio–mineral hybrids, and functionalized nanostructures, which integrate multiple mechanisms—charge neutralization, sweep flocculation, polymer bridging, and targeted adsorption—within a single formulation. Beyond performance, the review highlights persistent scientific gaps: incomplete understanding of molecular-scale interactions between coagulants and emerging contaminants such as microplastics, per- and polyfluoroalkyl substances (PFAS), and engineered nanoparticles; limited real-time analysis of flocculation kinetics and floc structural evolution; and the absence of predictive, mechanistically grounded models linking influent chemistry, coagulant properties, and operational parameters. Addressing these knowledge gaps is essential for transitioning from empirical dosing strategies to fully optimized, data-driven control. The integration of advanced coagulation into modular treatment trains, coupled with IoT-enabled sensors, zeta potential monitoring, and AI-based control algorithms, offers the potential to create “Coagulation 4.0” systems—adaptive, efficient, and embedded within circular economy frameworks. In this paradigm, treatment objectives extend beyond regulatory compliance to include resource recovery from coagulation sludge (nutrients, rare metals, construction materials) and substantial reductions in chemical and energy footprints. By uniting advances in material science, process engineering, and real-time control, coagulation–flocculation can retain its central role in water treatment while redefining its contribution to sustainability. In the systems envisioned here, every floc becomes both a vehicle for contaminant removal and a functional carrier in the broader water–energy–resource nexus. Full article
Show Figures

Figure 1

24 pages, 26148 KB  
Article
An Open-Source 3D Bioprinter Using Direct Light Processing for Tissue Engineering Applications
by Daniel Sanchez-Garcia, Anuar Giménez-El-Amrani, Armando Gonzalez-Muñoz and Andres Sanz-Garcia
Inventions 2025, 10(5), 92; https://doi.org/10.3390/inventions10050092 - 17 Oct 2025
Viewed by 365
Abstract
The demand for organ transplantation continues to rise worldwide, intensifying the gap between supply and demand and driving research in tissue engineering (TE). Bioprinting, particularly light-based vat photopolymerization (VP) methods such as digital light processing (DLP), has emerged as a promising strategy to [...] Read more.
The demand for organ transplantation continues to rise worldwide, intensifying the gap between supply and demand and driving research in tissue engineering (TE). Bioprinting, particularly light-based vat photopolymerization (VP) methods such as digital light processing (DLP), has emerged as a promising strategy to fabricate complex, cell-compatible tissue constructs with high precision. In this study, we developed an open-source, bottom-up DLP bioprinter designed to provide a cost-effective and modular alternative to commercial systems. The device was built from commercially available components and custom-fabricated parts, with tolerance allocation and deviation analyses applied to ensure structural reliability. Mechanical and optical subsystems were modeled and validated, and the control architecture was implemented on the Arduino platform with a custom Python-based graphical interface. The system achieved a theoretical Z-axis resolution of 1 μm and a vertical travel range of 50 mm, with accuracy and repeatability comparable to research-grade bioprinters. Initial printing trials using polyethylene glycol diacrylate (PEGDA) hydrogels demonstrated high-fidelity microfluidic constructs with adequate dimensional precision. Collectively, these results validate the functionality of the proposed system and highlight its potential as a flexible, precise, and cost-effective platform that is also easy to customize to advance the democratization of biofabrication in TE. Full article
(This article belongs to the Section Inventions and Innovation in Advanced Manufacturing)
Show Figures

Figure 1

14 pages, 3444 KB  
Article
Relational Infrastructures for Planetary Health: Network Governance and Inner Development in Brazil’s Traceable Beef Export System
by Ivan Bergier
Challenges 2025, 16(4), 48; https://doi.org/10.3390/challe16040048 - 16 Oct 2025
Viewed by 354
Abstract
This study analyzes the relational architecture of Brazilian traceable beef exports using a tripartite network model that connects certified meatpacking plants, AgriTrace sustainability protocols, and importing countries. By leveraging export authorization data from the Brazilian Ministry of Agriculture, it is shown that certification [...] Read more.
This study analyzes the relational architecture of Brazilian traceable beef exports using a tripartite network model that connects certified meatpacking plants, AgriTrace sustainability protocols, and importing countries. By leveraging export authorization data from the Brazilian Ministry of Agriculture, it is shown that certification protocols function not merely as compliance tools but as relational governance infrastructures, mediating legitimacy, market access, and coordination within global value chains. Bipartite projections allowed the deriving and analyzing of two secondary networks: one mapping connections between meatpacking plants that share certifications, and the other linking consumer nations through common supply channels. The meatpacking plant network displays high modularity, featuring two dominant clusters alongside several smaller, regionally coherent clusters. This structure reflects diverse governance capabilities and strategic certification adoptions. Conversely, the consumer nation network shows lower modularity but identifies central hubs that organize international demand and signal regulatory alignment. These patterns reveal underlying dynamics of coopetition, where actors collaborate through shared standards yet compete through innovation. By integrating the Inner Development Goals (IDG) framework, it is revealed internal capacities, such as trust, complexity awareness, and shared purpose, underpinning the efficacy of traceability systems as ethical and adaptive infrastructures. This values-based lens provides a novel perspective on how technical systems can foster resilient, inclusive, and sustainable trade, thereby contributing to planetary health and human-centered development in global livestock governance. Full article
(This article belongs to the Section Food Solutions for Health and Sustainability)
Show Figures

Figure 1

32 pages, 2733 KB  
Article
Collaborative Multi-Agent Platform with LIDAR Recognition and Web Integration for STEM Education
by David Cruz García, Sergio García González, Arturo Álvarez Sanchez, Rubén Herrero Pérez and Gabriel Villarrubia González
Appl. Sci. 2025, 15(20), 11053; https://doi.org/10.3390/app152011053 - 15 Oct 2025
Viewed by 330
Abstract
STEM (Science, Technology, Engineering, and Mathematics) education faces the challenge of incorporating advanced technologies that foster motivation, collaboration, and hands-on learning. This study proposes a portable system capable of transforming ordinary surfaces into interactive learning spaces through gamification and spatial perception. A prototype [...] Read more.
STEM (Science, Technology, Engineering, and Mathematics) education faces the challenge of incorporating advanced technologies that foster motivation, collaboration, and hands-on learning. This study proposes a portable system capable of transforming ordinary surfaces into interactive learning spaces through gamification and spatial perception. A prototype based on multi-agent architecture was developed on the PANGEA (Platform for automatic coNstruction of orGanizations of intElligent agents) platform, integrating LIDAR (Light Detection and Ranging) sensors for gesture detection, an ultra-short-throw projector for visual interaction and a web platform to manage educational content, organize activities and evaluate student performance. The data from the sensors is processed in real time using ROS (Robot Operating System), generating precise virtual interactions on the projected surface, while the web allows you to configure physical and pedagogical parameters. Preliminary tests show that the system accurately detects gestures, translates them into digital interactions, and maintains low latency in different classroom environments, demonstrating robustness, modularity, and portability. The results suggest that the combination of multi-agent architectures, LIDAR sensors, and gamified platforms offers an effective approach to promote active learning in STEM, facilitate the adoption of advanced technologies in diverse educational settings, and improve student engagement and experience. Full article
(This article belongs to the Section Computing and Artificial Intelligence)
Show Figures

Figure 1

41 pages, 3967 KB  
Article
Synergistic Air Quality and Cooling Efficiency in Office Space with Indoor Green Walls
by Ibtihaj Saad Rashed Alsadun, Faizah Mohammed Bashir, Zahra Andleeb, Zeineb Ben Houria, Mohamed Ahmed Said Mohamed and Oluranti Agboola
Buildings 2025, 15(20), 3656; https://doi.org/10.3390/buildings15203656 - 11 Oct 2025
Viewed by 393
Abstract
Enhancing indoor environmental quality while reducing building energy consumption represents a critical challenge for sustainable building design, particularly in hot arid climates where cooling loads dominate energy use. Despite extensive research on green wall systems (GWSs), robust quantitative data on their combined impact [...] Read more.
Enhancing indoor environmental quality while reducing building energy consumption represents a critical challenge for sustainable building design, particularly in hot arid climates where cooling loads dominate energy use. Despite extensive research on green wall systems (GWSs), robust quantitative data on their combined impact on air quality and thermal performance in real-world office environments remains limited. This research quantified the synergistic effects of an active indoor green wall system on key indoor air quality indicators and cooling energy consumption in a contemporary office environment. A comparative field study was conducted over 12 months in two identical office rooms in Dhahran, Saudi Arabia, with one room serving as a control while the other was retrofitted with a modular hydroponic green wall system. High-resolution sensors continuously monitored indoor CO2, volatile organic compounds via photoionization detection (VOC_PID; isobutylene-equivalent), and PM2.5 concentrations, alongside dedicated sub-metering of cooling energy consumption. The green wall system achieved statistically significant improvements across all parameters: 14.1% reduction in CO2 concentrations during occupied hours, 28.1% reduction in volatile organic compounds, 20.9% reduction in PM2.5, and 13.5% reduction in cooling energy consumption (574.5 kWh annually). Economic analysis indicated financial viability (2.0-year payback; benefit–cost ratio 3.0; 15-year net present value SAR 31,865). Productivity-related benefits were valued from published relationships rather than measured in this study; base-case viability remained strictly positive in energy-only and conservative sensitivity scenarios. Strong correlations were established between evapotranspiration rates and cooling benefits (r = 0.734), with peak performance during summer months reaching 17.1% energy savings. Active indoor GWSs effectively function as multifunctional strategies, delivering simultaneous air quality improvements and measurable cooling energy reductions through evapotranspiration-mediated mechanisms, supporting their integration into sustainable building design practices. Full article
(This article belongs to the Section Building Energy, Physics, Environment, and Systems)
Show Figures

Figure 1

26 pages, 2266 KB  
Article
Two-Sided Matching with Bounded Rationality: A Stochastic Framework for Personnel Selection
by Saeed Najafi-Zangeneh, Naser Shams-Gharneh and Olivier Gossner
Mathematics 2025, 13(19), 3173; https://doi.org/10.3390/math13193173 - 3 Oct 2025
Viewed by 478
Abstract
Personnel selection represents a two-sided matching problem in which firms compete for qualified candidates by designing job-offer packages. While traditional models assume fully rational agents, real-world decision-makers often face bounded rationality due to limited information and cognitive constraints. This study develops a matching [...] Read more.
Personnel selection represents a two-sided matching problem in which firms compete for qualified candidates by designing job-offer packages. While traditional models assume fully rational agents, real-world decision-makers often face bounded rationality due to limited information and cognitive constraints. This study develops a matching framework that incorporates bounded rationality through the Quantal Response Equilibrium, where firms and candidates act as probabilistic rather than perfect optimizers under uncertainty. Using Maximum Likelihood Estimation and organizational hiring data, we validate that both sides display bounded rational behavior and that rationality increases as the selection process advances. Building on these findings, we propose a two-stage stochastic optimization approach to determine optimal job-offer packages that balance organizational policies with candidate competencies. The optimization problem is solved using particle swarm optimization, which efficiently explores the solution space under uncertainty. Data analysis reveals that only 23.10% of low-level hiring decisions align with rational choice predictions, compared to 64.32% for high-level positions. In our case study, bounded rationality increases package costs by 26%, while modular compensation packages can reduce costs by up to 25%. These findings highlight the cost implications of bounded rationality, the advantages of flexible offers, and the systematic behavioral differences across job levels. The framework provides theoretical contributions to matching under bounded rationality and offers practical insights to help organizations refine their personnel selection strategies and attract suitable candidates more effectively. Full article
(This article belongs to the Section D2: Operations Research and Fuzzy Decision Making)
Show Figures

Figure 1

12 pages, 460 KB  
Article
A PEI Simulation Method for Process Manufacturing
by Xiaobin Tang, Meng Yan, Wenfeng Xu, Gaoping Xu and Yize Sun
Processes 2025, 13(10), 3148; https://doi.org/10.3390/pr13103148 - 30 Sep 2025
Viewed by 613
Abstract
In response to the growing complexity of modern process manufacturing systems, this paper proposes a novel simulation framework named the Process–Equipment–In-Process State (PEI) simulation method, which introduces a unified and structured approach to modeling multi-stage industrial processes. Unlike conventional simulation approaches that rely [...] Read more.
In response to the growing complexity of modern process manufacturing systems, this paper proposes a novel simulation framework named the Process–Equipment–In-Process State (PEI) simulation method, which introduces a unified and structured approach to modeling multi-stage industrial processes. Unlike conventional simulation approaches that rely on ad hoc or loosely organized modules, the PEI method decomposes the simulation system into three core and interoperable modules: Process Structure (P), Equipment Behavior (E), and In-Process State (I). This modular abstraction facilitates the decoupling of model logic. It also enables a structure-driven simulation execution mechanism. In this structure, the process topology governs task scheduling; equipment models translate control inputs into physical conditions; and state models simulate material evolution accordingly. A complete simulation case involving water mixing, heat exchange, and slurry transformation demonstrates the method’s capability to support traceable state evolution, logical task flow, and extensible model binding. The results demonstrate that the proposed method enables module decoupling, clear simulation pathways, and traceable state changes, providing effective support for structured modeling and behavioral evolution analysis in process manufacturing. Full article
(This article belongs to the Section Process Control and Monitoring)
Show Figures

Figure 1

25 pages, 1196 KB  
Review
Microbial Electrosynthesis: The Future of Next-Generation Biofuel Production—A Review
by Radu Mirea, Elisa Popescu and Traian Zaharescu
Energies 2025, 18(19), 5187; https://doi.org/10.3390/en18195187 - 30 Sep 2025
Cited by 1 | Viewed by 1174
Abstract
Microbial electrosynthesis (MES) has emerged as a promising bio-electrochemical technology for sustainable CO2 conversion into valuable organic compounds since it uses living electroactive microbes to directly convert CO2 into value-added products. This review synthesizes advancements in MES from 2010 to 2025, [...] Read more.
Microbial electrosynthesis (MES) has emerged as a promising bio-electrochemical technology for sustainable CO2 conversion into valuable organic compounds since it uses living electroactive microbes to directly convert CO2 into value-added products. This review synthesizes advancements in MES from 2010 to 2025, focusing on the electrode materials, microbial communities, reactor engineering, performance trends, techno-economic evaluations, and future challenges, especially on the results reported between 2020 and 2025, thus highlighting that MES technology is now a technology to be reckoned with in the spectrum of biofuel technology production. While the current productivity and scalability of microbial electrochemical systems (MESs) remain limited compared to conventional CO2 conversion technologies, MES offers distinct advantages, including process simplicity, as it operates under ambient conditions without the need for high pressures or temperatures; modularity, allowing reactors to be stacked or scaled incrementally to match varying throughput requirements; and seamless integration with circular economy strategies, enabling the direct valorization of waste streams, wastewater, or renewable electricity into valuable multi-carbon products. These features position MES as a promising platform for sustainable and adaptable CO2 utilization, particularly in decentralized or resource-constrained settings. Recent innovations in electrode materials, such as conductive polymers and metal–organic frameworks, have enhanced electron transfer efficiency and microbial attachment, leading to improved MES performance. The development of diverse microbial consortia has expanded the range of products achievable through MES, with studies highlighting the importance of microbial interactions and metabolic pathways in product formation. Advancements in reactor design, including continuous-flow systems and membrane-less configurations, have addressed scalability issues, enhancing mass transfer and system stability. Performance metrics, such as the current densities and product yields, have improved due to exceptionally high product selectivity and surface-area-normalized production compared to abiotic systems, demonstrating the potential of MES for industrial applications. Techno-economic analyses indicate that while MES offers promising economic prospects, challenges related to cost-effective electrode materials and system integration remain. Future research should focus on optimizing microbial communities, developing advanced electrode materials, and designing scalable reactors to overcome the existing limitations. Addressing these challenges will be crucial for the commercialization of MES as a viable technology for sustainable chemical production. Microbial electrosynthesis (MES) offers a novel route to biofuels by directly converting CO2 and renewable electricity into energy carriers, bypassing the costly biomass feedstocks required in conventional pathways. With advances in electrode materials, reactor engineering, and microbial performance, MES could achieve cost-competitive, carbon-neutral fuels, positioning it as a critical complement to future biofuel technologies. Full article
Show Figures

Figure 1

Back to TopTop