Sign in to use this feature.

Years

Between: -

Subjects

remove_circle_outline
remove_circle_outline
remove_circle_outline
remove_circle_outline
remove_circle_outline
remove_circle_outline
remove_circle_outline
remove_circle_outline
remove_circle_outline

Journals

Article Types

Countries / Regions

Search Results (22)

Search Parameters:
Keywords = mode imputation

Order results
Result details
Results per page
Select all
Export citation of selected articles as:
22 pages, 544 KB  
Article
Determinants of HIV Testing Among Men Who Have Sex with Men in Ghana: Insights from the Ghana Men’s Study II
by Kofi Atakorah-Yeboah Junior, Edith Phalane, Thomas Agyarko-Poku, Kyeremeh Atuahene, Yegnanew Alem Shiferaw and Refilwe Nancy Phaswana-Mafuya
Sexes 2025, 6(4), 56; https://doi.org/10.3390/sexes6040056 - 15 Oct 2025
Viewed by 191
Abstract
Despite notable progress in HIV prevention and treatment, men who have sex with men (MSM) continue to bear a disproportionate burden of HIV, particularly in sub-Saharan Africa, where systemic barriers restrict access to HIV testing. This study draws on data from the 2017 [...] Read more.
Despite notable progress in HIV prevention and treatment, men who have sex with men (MSM) continue to bear a disproportionate burden of HIV, particularly in sub-Saharan Africa, where systemic barriers restrict access to HIV testing. This study draws on data from the 2017 Ghana Men’s Study II (GMS II), to examine the socio-demographic, behavioural, and structural factors influencing HIV testing among MSM. The Ghana Men’s Study II dataset, involving 4095 MSM, was de-identified and analysed using STATA (software version 17). Before the analysis, missing information for categorical variables were treated using the mode imputation technique. Chi-square test was done to describe relevant characteristics of the study population, such as socio-demographic/socio-economic variables and behavioural practices. Multivariable logistic regression analysis was performed for variables with p < 0.05 to determine significant predictors of HIV testing among MSM. All the statistical analyses were performed at a 95% confidence interval, with significant differences at p < 0.05. In multivariable logistic regression analysis, age 25–34 (AOR: 1.43; 95% CI: 1.18–1.74, p < 0.001), having a senior high school education (AOR: 1.69; 95% CI: 1.02–2.80, p = 0.040), tertiary education (AOR: 2.03; 95% CI: 1.17–3.55, p = 0.012), being a light drinker of alcohol (AOR: 1.28; 95% CI: 1.04–1.58, p = 0.020), and having a comprehensive knowledge of HIV (AOR: 1.50; 95% CI: 1.26–1.78, p < 0.001) had higher odds for HIV testing. Other factors such as being a Muslim (AOR: 0.69; 95% CI: 0.54–0.90, p = 0.005) and sold sex to other males (AOR: 0.67; 95% CI: 0.50–0.90, p = 0.007) were also positively associated with HIV testing among Ghanaian MSM. The findings revealed a number of socio-demographic and behavioural factors associated with HIV testing among the MSM population in Ghana. Full article
(This article belongs to the Section Sexually Transmitted Infections/Diseases)
Show Figures

Figure 1

14 pages, 452 KB  
Article
An Integrated Intuitionistic Fuzzy-Clustering Approach for Missing Data Imputation
by Charlène Béatrice Bridge-Nduwimana, Aziza El Ouaazizi and Majid Benyakhlef
Computers 2025, 14(8), 325; https://doi.org/10.3390/computers14080325 - 12 Aug 2025
Viewed by 613
Abstract
Missing data imputation is a critical preprocessing task that directly impacts the quality and reliability of data-driven analyses, yet many existing methods treat numerical and categorical data separately and lack the integration of advanced techniques. We suggest a novel imputation technique to overcome [...] Read more.
Missing data imputation is a critical preprocessing task that directly impacts the quality and reliability of data-driven analyses, yet many existing methods treat numerical and categorical data separately and lack the integration of advanced techniques. We suggest a novel imputation technique to overcome these restrictions that synergistically combines regression imputation using HistGradientBoostingRegressor and fuzzy rule-based systems and is enhanced by a tailored clustering process. This integrated approach effectively handles mixed data types and complex data structures using regression models to predict missing numerical values, fuzzy logic to incorporate expert knowledge and interpretability, and clustering to capture latent data patterns. Categorical variables are managed by mode imputation and label encoding. We evaluated the method on twelve tabular datasets with artificially introduced missingness, employing a comprehensive set of metrics focused on originally missing entries. The results demonstrate that our iterative imputer performs competitively with other established imputation techniques, achieving better and comparable error rates and accuracy. By combining statistical learning with fuzzy and clustering frameworks, the method achieves 15% lower Root Mean Square Error (RMSE), 10% lower Mean Absolute Error (MAE), and 80% higher precision in UCI datasets, thus offering a promising advance in data preprocessing in practical applications. Full article
(This article belongs to the Special Issue Emerging Trends in Machine Learning and Artificial Intelligence)
Show Figures

Graphical abstract

6 pages, 1076 KB  
Proceeding Paper
Applying Transformer-Based Dynamic-Sequence Techniques to Transit Data Analysis
by Bumjun Choo and Dong-Kyu Kim
Eng. Proc. 2025, 102(1), 12; https://doi.org/10.3390/engproc2025102012 - 7 Aug 2025
Viewed by 456
Abstract
Transit systems play a vital role in urban mobility, yet predicting individual travel behavior within these systems remains a complex challenge. Traditional machine learning approaches struggle with transit trip data because each trip may consist of a variable number of transit legs, leading [...] Read more.
Transit systems play a vital role in urban mobility, yet predicting individual travel behavior within these systems remains a complex challenge. Traditional machine learning approaches struggle with transit trip data because each trip may consist of a variable number of transit legs, leading to missing data and inconsistencies when using fixed-length tabular representations. To address this issue, we propose a transformer-based dynamic-sequence approach that models transit trips as variable-length sequences, allowing for flexible representation while leveraging the power of attention mechanisms. Our methodology constructs trip sequences by encoding each transit leg as a token, incorporating travel time, mode of transport, and a 2D positional encoding based on grid-based spatial coordinates. By dynamically skipping missing legs instead of imputing artificial values, our approach maintains data integrity and prevents bias. The transformer model then processes these sequences using self-attention, effectively capturing relationships across different trip segments and spatial patterns. To evaluate the effectiveness of our approach, we train the model on a dataset of urban transit trips and predict first-mile and last-mile travel times. We assess performance using Mean Absolute Error (MAE) and Root Mean Squared Error (RMSE). Experimental results demonstrate that our dynamic-sequence method yields up to a 30.96% improvement in accuracy compared to non-dynamic methods while preserving the underlying structure of transit trips. This study contributes to intelligent transportation systems by presenting a robust, adaptable framework for modeling real-world transit data. Our findings highlight the advantages of self-attention-based architectures for handling irregular trip structures, offering a novel perspective on a data-driven understanding of individual travel behavior. Full article
(This article belongs to the Proceedings of The 2025 Suwon ITS Asia Pacific Forum)
Show Figures

Figure 1

15 pages, 572 KB  
Article
Statistical Data-Generative Machine Learning-Based Credit Card Fraud Detection Systems
by Xiaomei Feng and Song-Kyoo Kim
Mathematics 2025, 13(15), 2446; https://doi.org/10.3390/math13152446 - 29 Jul 2025
Viewed by 1272
Abstract
This study addresses the challenges of data imbalance and missing values in credit card transaction datasets by employing mode-based imputation and various machine learning models. We analyzed two distinct datasets: one consisting of European cardholders and the other from American Express, applying multiple [...] Read more.
This study addresses the challenges of data imbalance and missing values in credit card transaction datasets by employing mode-based imputation and various machine learning models. We analyzed two distinct datasets: one consisting of European cardholders and the other from American Express, applying multiple machine learning algorithms, including Artificial Neural Networks, Convolutional Neural Networks, and Gradient Boosted Decision Trees, as well as others. Notably, the Gradient Boosted Decision Tree demonstrated superior predictive performance, with accuracy increasing by 4.53%, reaching 96.92% on the European cardholders dataset. Mode imputation significantly improved data quality, enabling stable and reliable analysis of merged datasets with up to 50% missing values. Hypothesis testing confirmed that the performance of the merged dataset was statistically significant compared to the original datasets. This study highlights the importance of robust data handling techniques in developing effective fraud detection systems, setting the stage for future research on combining different datasets and improving predictive accuracy in the financial sector. Full article
Show Figures

Figure 1

20 pages, 4787 KB  
Article
A Data Imputation Strategy to Enhance Online Game Churn Prediction, Considering Non-Login Periods
by JaeHong Lee, Pavinee Rerkjirattikal and SangGyu Nam
Data 2025, 10(7), 96; https://doi.org/10.3390/data10070096 - 23 Jun 2025
Viewed by 1579
Abstract
User churn in online games refers to players becoming inactive for an extended period. Even a small increase in churn can lead to significant revenue loss, making churn prediction crucial for sustaining long-term player engagement. Although user churn prediction has been extensively studied, [...] Read more.
User churn in online games refers to players becoming inactive for an extended period. Even a small increase in churn can lead to significant revenue loss, making churn prediction crucial for sustaining long-term player engagement. Although user churn prediction has been extensively studied, most existing approaches either ignore non-login periods or treat all inactivity uniformly, overlooking key behavioral differences. This study addresses this gap by categorizing non-login periods into three types, as follows: inactivity due to new or dormant users, genuine loss of interest, and temporary inaccessibility caused by external factors. These periods are treated as either non-existent or missing data and imputed using techniques such as mean or mode substitution, linear interpolation, and multiple imputation by chained equations (MICE). MICE was selected due to its ability to impute missing values more robustly by considering multivariate relationships. A random forest (RF) classifier, chosen for its interpretability and robustness to incomplete data, serves as the primary prediction model. Additionally, classifier chains are used to capture label dependencies, and principal component analysis (PCA) is applied to reduce dimensionality and mitigate overfitting. Experiments on real-world MMORPG data show that our approach improves predictive accuracy, achieving a micro-averaged AUC of above 0.92 and a weighted F1 score exceeding 0.70. These findings suggest that our approach improves churn prediction and offers actionable insights for supporting personalized player retention strategies. Full article
(This article belongs to the Section Information Systems and Data Management)
Show Figures

Figure 1

28 pages, 24642 KB  
Article
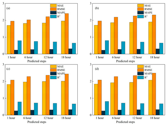
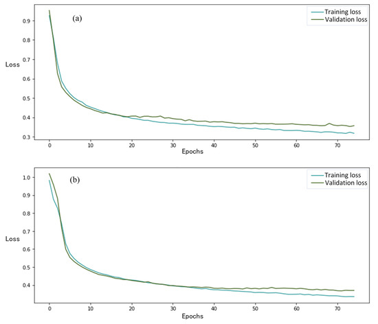
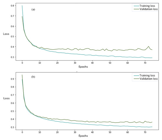
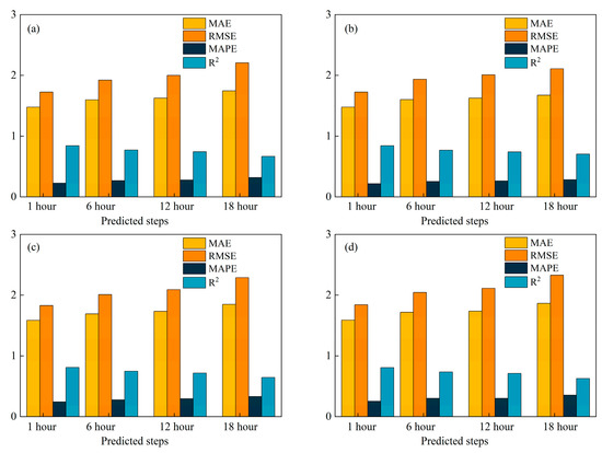
Prediction for Coastal Wind Speed Based on Improved Variational Mode Decomposition and Recurrent Neural Network
by Muyuan Du, Zhimeng Zhang and Chunning Ji
Energies 2025, 18(3), 542; https://doi.org/10.3390/en18030542 - 24 Jan 2025
Cited by 1 | Viewed by 1108
Abstract
Accurate and comprehensive wind speed forecasting is crucial for improving efficiency in offshore wind power operation systems in coastal regions. However, raw wind speed data often suffer from noise and missing values, which can undermine the prediction performance. This study proposes a systematic [...] Read more.
Accurate and comprehensive wind speed forecasting is crucial for improving efficiency in offshore wind power operation systems in coastal regions. However, raw wind speed data often suffer from noise and missing values, which can undermine the prediction performance. This study proposes a systematic framework, termed VMD-RUN-Seq2Seq-Attention, for noise reduction, outlier detection, and wind speed prediction by integrating Variational Mode Decomposition (VMD), the Runge–Kutta optimization algorithm (RUN), and a Sequence-to-Sequence model with an Attention mechanism (Seq2Seq-Attention). Using wind speed data from the Shidao, Xiaomaidao, and Lianyungang stations as case studies, a fitness function based on the Pearson correlation coefficient was developed to optimize the VMD mode count and penalty factor. A comparative analysis of different Intrinsic Mode Function (IMF) selection ratios revealed that selecting a 50% IMF ratio effectively retains the intrinsic information of the raw data while minimizing noise. For outlier detection, statistical methods were employed, followed by a comparative evaluation of three models—LSTM, LSTM-KAN, and Seq2Seq-Attention—for multi-step wind speed forecasting over horizons ranging from 1 to 12 h. The results consistently showed that the Seq2Seq-Attention model achieved superior predictive accuracy across all forecast horizons, with the correlation coefficient of its prediction results greater than 0.9 in all cases. The proposed VMD-RUN-Seq2Seq-Attention framework outperformed other methods in the denoising, data cleansing, and reconstruction of the original wind speed dataset, with a maximum improvement of 21% in accuracy, producing highly accurate and reliable results. This approach offers a robust methodology for improving data quality and enhancing wind speed forecasting accuracy in coastal environments. Full article
(This article belongs to the Section A3: Wind, Wave and Tidal Energy)
Show Figures

Figure 1

23 pages, 484 KB  
Article
Inference with Non-Homogeneous Lognormal Diffusion Processes Conditioned on Nearest Neighbor
by Ana García-Burgos, Paola Paraggio, Desirée Romero-Molina and Nuria Rico-Castro
Mathematics 2024, 12(23), 3703; https://doi.org/10.3390/math12233703 - 26 Nov 2024
Viewed by 839
Abstract
In this work, we approach the forecast problem for a general non-homogeneous diffusion process over time with a different perspective from the classical one. We study the main characteristic functions as mean, mode, and α-quantiles conditioned on a future time, not conditioned [...] Read more.
In this work, we approach the forecast problem for a general non-homogeneous diffusion process over time with a different perspective from the classical one. We study the main characteristic functions as mean, mode, and α-quantiles conditioned on a future time, not conditioned on the past (as is normally the case), and we observe the specific formula in some interesting particular cases, such as Gompertz, logistic, or Bertalanffy diffusion processes, among others. This study aims to enhance classical inference methods when we need to impute data based on available information, past or future. We develop a simulation and obtain a dataset that is closer to reality, where there is no regularity in the number or timing of observations, to extend the traditional inference method. For such data, we propose using characteristic functions conditioned on the past or the future, depending on the closest point at which we aim to perform the imputation. The proposed inference procedure greatly reduces imputation errors in the simulated dataset. Full article
(This article belongs to the Section D1: Probability and Statistics)
Show Figures

Figure 1

15 pages, 4963 KB  
Article
The Vitamin D Receptor as a Prognostic Marker in Breast Cancer—A Cohort Study
by Linnea Huss, Igis Gulz-Haake, Emma Nilsson, Helga Tryggvadottir, Linn Nilsson, Björn Nodin, Karin Jirström, Karolin Isaksson and Helena Jernström
Nutrients 2024, 16(7), 931; https://doi.org/10.3390/nu16070931 - 23 Mar 2024
Cited by 4 | Viewed by 4061
Abstract
Previous research has indicated an association between the presence of the vitamin D receptor (VDR) in breast cancer tissue and a favorable prognosis. This study aimed to further evaluate the prognostic potential of VDR located in the nuclear membrane or nucleus (liganded). The [...] Read more.
Previous research has indicated an association between the presence of the vitamin D receptor (VDR) in breast cancer tissue and a favorable prognosis. This study aimed to further evaluate the prognostic potential of VDR located in the nuclear membrane or nucleus (liganded). The VDR protein levels were analyzed using immunohistochemistry in tumor samples from 878 breast cancer patients from Lund, Sweden, included in the Breast Cancer and Blood Study (BCBlood) from October 2002 to June 2012. The follow-up for breast cancer events and overall survival was recorded until 30 June 2019. Univariable and multivariable survival analyses were conducted, both with complete case data and with missing data imputed using multiple imputation by chained equations (MICE). Tumor-specific positive nuclear membrane VDR(num) staining was associated with favorable tumor characteristics and a longer breast cancer free interval (BCFI; HR: 0.64; 95% CI: 0.44–0.95) and overall survival (OS; HR: 0.52; 95% CI: 0.34–0.78). Further analyses indicated that VDRnum status also was predictive of overall survival when investigated in relation to ER status. There were significant interactions between VDR and invasive tumor size (Pinteraction = 0.047), as well as mode of detection (Pinteraction = 0.049). VDRnum was associated with a longer BCFI in patients with larger tumors (HR: 0.36; 95% CI: 0.14–0.93) or clinically detected tumors (HR: 0.28; 95% CI: 0.09–0.83), while no association was found for smaller tumors and screening-detected tumors. Further studies are suggested to confirm our results and to evaluate whether VDR should and could be used as a prognostic and targetable marker in breast cancer diagnostics. Full article
(This article belongs to the Special Issue Micronutrients and Breast Cancer)
Show Figures

Figure 1

18 pages, 4486 KB  
Article
Displacement Estimation via 3D-Printed RFID Sensors for Structural Health Monitoring: Leveraging Machine Learning and Photoluminescence to Overcome Data Gaps
by Metin Pekgor, Reza Arablouei, Mostafa Nikzad and Syed Masood
Sensors 2024, 24(4), 1233; https://doi.org/10.3390/s24041233 - 15 Feb 2024
Cited by 4 | Viewed by 2257
Abstract
Monitoring object displacement is critical for structural health monitoring (SHM). Radio frequency identification (RFID) sensors can be used for this purpose. Using more sensors enhances displacement estimation accuracy, especially when it is realized through the use of machine learning (ML) algorithms for predicting [...] Read more.
Monitoring object displacement is critical for structural health monitoring (SHM). Radio frequency identification (RFID) sensors can be used for this purpose. Using more sensors enhances displacement estimation accuracy, especially when it is realized through the use of machine learning (ML) algorithms for predicting the direction of arrival of the associated signals. Our research shows that ML algorithms, in conjunction with adequate RFID passive sensor data, can precisely evaluate azimuth angles. However, increasing the number of sensors can lead to gaps in the data, which typical numerical methods such as interpolation and imputation may not fully resolve. To overcome this challenge, we propose enhancing the sensitivity of 3D-printed passive RFID sensor arrays using a novel photoluminescence-based RF signal enhancement technique. This can boost received RF signal levels by 2 dB to 8 dB, depending on the propagation mode (near-field or far-field). Hence, it effectively mitigates the issue of missing data without necessitating changes in transmit power levels or the number of sensors. This approach, which enables remote shaping of radiation patterns via light, can herald new prospects in the development of smart antennas for various applications apart from SHM, such as biomedicine and aerospace. Full article
Show Figures

Figure 1

20 pages, 1322 KB  
Article
Machine Learning-Based Imputation Approach with Dynamic Feature Extraction for Wireless RAN Performance Data Preprocessing
by Jean Nestor M. Dahj and Kingsley A. Ogudo
Symmetry 2023, 15(6), 1161; https://doi.org/10.3390/sym15061161 - 27 May 2023
Cited by 5 | Viewed by 2261
Abstract
Machine learning (ML) in wireless mobile communication is becoming more and more customary, with application trends leaning toward performance improvement and network automation. The radio access network (RAN), critical for service access, frequently generates performance data that mobile network operators (MNOs) and researchers [...] Read more.
Machine learning (ML) in wireless mobile communication is becoming more and more customary, with application trends leaning toward performance improvement and network automation. The radio access network (RAN), critical for service access, frequently generates performance data that mobile network operators (MNOs) and researchers leverage for planning, self-optimization, and intelligent network operations. However, missing values in the RAN performance data, as in any valuable data, impact analysis. Poor handling of such missing data in the RAN can distort the relationships between different metrics, leading to inaccurate and unreliable conclusions and predictions. Therefore, there is a need for imputation methods that preserve the overall structure of the RAN data to an optimal level. In this study, we present an imputation approach for handling RAN performance missing data based on machine learning algorithms. The method customizes the feature-extraction mechanism by using dynamic correlation analysis. We apply the method to actual RAN performance indicator data to evaluate its performance. We finally compare and evaluate the proposed approach with statistical imputation techniques such as the mean, median, and mode. The results show that machine learning-based imputation, as approached in this experimental study, preserves some relationships between KPIs compared to non-ML techniques. Random Forest regressor gave the best performance in imputing the data. Full article
Show Figures

Figure 1

20 pages, 10919 KB  
Article
Multivariate Transfer Passenger Flow Forecasting with Data Imputation by Joint Deep Learning and Matrix Factorization
by Jinlong Li, Pan Wu, Hengcong Guo, Ruonan Li, Guilin Li and Lunhui Xu
Appl. Sci. 2023, 13(9), 5625; https://doi.org/10.3390/app13095625 - 3 May 2023
Cited by 5 | Viewed by 2074
Abstract
Accurate forecasting of the future transfer passenger flow from historical data is essential for helping travelers to adjust their trips, optimal resource allocation and alleviating traffic congestion. However, current studies have mainly emphasized predicting traffic parameters for a single type of transport, while [...] Read more.
Accurate forecasting of the future transfer passenger flow from historical data is essential for helping travelers to adjust their trips, optimal resource allocation and alleviating traffic congestion. However, current studies have mainly emphasized predicting traffic parameters for a single type of transport, while lacking research into transfer passenger flow influenced by multiple factors across different transport modes. Additionally, efficient traffic prediction relies on high-quality traffic data, yet data loss issues are inevitable but often ignored. To fill these gaps, we present for the first time a reliable joint long short-term memory with matrix factorization deep learning model (i.e., Joint-IF) for accurate imputation and forecasting of transfer passenger flow between metro and bus. This hybrid Joint-IF model uses a repair-before-prediction strategy to deliver the final high-quality outputs. In particular, we simulate a variety of missing combinations under the natural conditions and apply a low-rank matrix factorization to infer those lost values. In addition, we investigate the effects of crucial parameters and spatiotemporal features on transfer flow prediction. To validate the effectiveness of Joint-IF, a large series of experiments are carried out for models’ comparison and validation on the real-world transfer passenger flow dataset of the Shenzhen public transport system, and the results show that the proposed Joint-IF performs better for both imputation and forecasting of transfer passenger flow relative to the baseline models in terms of accuracy and stability. Full article
Show Figures

Figure 1

21 pages, 17762 KB  
Article
Multi-Analytical Investigation on a Renaissance Polychrome Earthenware Attributed to Giovanni Antonio Amadeo
by Vittoria Guglielmi, Chiara Andrea Lombardi, Giacomo Fiocco, Valeria Comite, Andrea Bergomi, Mattia Borelli, Monica Azzarone, Marco Malagodi, Mario Colella and Paola Fermo
Appl. Sci. 2023, 13(6), 3924; https://doi.org/10.3390/app13063924 - 20 Mar 2023
Cited by 4 | Viewed by 2554
Abstract
This research aimed to characterise pigments used to decorate a polychrome earthenware bas-relief of the 15th century entitled “Madonna with Child, Saint Catherine of Siena, and a Carthusian Prior”, attributed to Giovanni Antonio Amadeo (Pavia, 1447–Milan, 1522) and owned by the Sforzesco Castle [...] Read more.
This research aimed to characterise pigments used to decorate a polychrome earthenware bas-relief of the 15th century entitled “Madonna with Child, Saint Catherine of Siena, and a Carthusian Prior”, attributed to Giovanni Antonio Amadeo (Pavia, 1447–Milan, 1522) and owned by the Sforzesco Castle Museum of Milan. The artwork underwent a cleaning procedure whose aims were the removal of the dark coating that obscured its surface and restoration work that could bring back its original features. Before the cleaning, six microsamples were collected and analysed using optical microscopy (OM), scanning electron microscopy coupled with energy-dispersive X-ray spectroscopy (SEM-EDXS), and Fourier-transform infrared microspectroscopy in ATR mode (ATR-FTIR), providing the restorers with decisive information on the materials underlying the coating. After the cleaning, the terracotta appeared vibrantly coloured, mainly with bright red, blue, green, black, and white tones. Then, some in situ, non-destructive, spectroscopic measurements were performed by a portable Raman spectrometer on some of the areas that could not otherwise have been sampled. The analyses revealed the presence of natural pigments, including lead white, azurite, yellow ochre, carbon black, calcite, cinnabar, and gypsum. For Madonna’s mantle, cobalt and Prussian blue were employed. Furthermore, the presence of barium sulphate was widely evidenced on the bas-relief. Albeit cobalt blue is of synthetic origin, its presence is compatible with the 15th-century palette, whereas Prussian blue and barium sulphate could be imputed to a previous restoration. Finally, the use of true gold for the background of the earthenware attests to the artwork’s importance and value. Full article
Show Figures

Figure 1

14 pages, 2750 KB  
Article
Phosphoproteomic Analysis Identifies TYRO3 as a Mediator of Sunitinib Resistance in Metastatic Thymomas
by Stefan Küffer, Jessica Grabowski, Satoru Okada, Nikolai Sojka, Stefan Welter, Alexander von Hammerstein-Equord, Marc Hinterthaner, Lucia Cordes, Xenia von Hahn, Denise Müller, Christian Sauer, Hanibal Bohnenberger, Alexander Marx and Philipp Ströbel
Cancers 2022, 14(19), 4762; https://doi.org/10.3390/cancers14194762 - 29 Sep 2022
Cited by 6 | Viewed by 2611
Abstract
Background: After initially responding to empiric radio-chemotherapy, most advanced thymomas (TH) and thymic carcinomas (TC) become refractory and require second-line therapy. The multi-target receptor tyrosine kinase (RTK) inhibitor, sunitinib, is one of the few options, especially in patients with thymic carcinomas, and has [...] Read more.
Background: After initially responding to empiric radio-chemotherapy, most advanced thymomas (TH) and thymic carcinomas (TC) become refractory and require second-line therapy. The multi-target receptor tyrosine kinase (RTK) inhibitor, sunitinib, is one of the few options, especially in patients with thymic carcinomas, and has resulted in partial remissions and prolonged overall survival. However, sunitinib shows variable activity in thymomas, and not all patients benefit equally. A better understanding of its mode of action and the definition of predictive biomarkers would help select patients who profit most. Methods: Six cell lines were treated with sunitinib in vitro. Cell viability was measured by MTS assay and used to define in vitro responders and non-responders. A quantitative real-time assay simultaneously measuring the phosphorylation of 144 tyrosine kinase substrates was used to correlate cell viability with alterations of the phospho-kinome, calculate a sunitinib response index (SRI), and impute upstream tyrosine kinases. Sunitinib was added to protein lysates of 29 malignant TH and TC. Lysates were analyzed with the same phosphorylation assay. The SRI tentatively classified cases into potential clinical responders and non-responders. In addition, the activation patterns of 44 RTKs were studied by phospho-RTK arrays in 37 TH and TC. Results: SRI application separated thymic epithelial tumors (TET) in potential sunitinib responders and resistant cases. Upstream kinase prediction identified multiple RTKs potentially involved in sunitinib response, many of which were subsequently shown to be differentially overexpressed in TH and TC. Among these, TYRO3/Dtk stood out since it was exclusively present in metastatic TH. The function of TYRO3 as a mediator of sunitinib resistance was experimentally validated in vitro. Conclusions: Using indirect and direct phosphoproteomic analyses to predict sunitinib response in malignant TET, we have shown that TH and TC express multiple important sunitinib target RTKs. Among these, TYRO3 was identified as a potent mediator of sunitinib resistance activity, specifically in metastatic TH. TYRO3 may thus be both a novel biomarker of sunitinib resistance and a potential therapeutic target in advanced thymomas and thymic carcinomas. Full article
(This article belongs to the Special Issue Precision Medicine in Thoracic Oncology)
Show Figures

Figure 1

26 pages, 6975 KB  
Article
An Improved Method Based on EEMD-LSTM to Predict Missing Measured Data of Structural Sensors
by Zengshun Chen, Chenfeng Yuan, Haofan Wu, Likai Zhang, Ke Li, Xuanyi Xue and Lei Wu
Appl. Sci. 2022, 12(18), 9027; https://doi.org/10.3390/app12189027 - 8 Sep 2022
Cited by 13 | Viewed by 3150
Abstract
Time history testing using a shaking table is one of the most widely used methods for assessing the dynamic response of structures. In shaking-table experiments and on-site monitoring, acceleration sensors are facing problems of missing data due to the fact of measurement point [...] Read more.
Time history testing using a shaking table is one of the most widely used methods for assessing the dynamic response of structures. In shaking-table experiments and on-site monitoring, acceleration sensors are facing problems of missing data due to the fact of measurement point failures, affecting the validity and accuracy of assessing the structural dynamic response. The original measured signals are decomposed by ensemble empirical mode decomposition (EEMD), and the widely used deep neural networks (DNNs), gated recurrent units (GRUs), and long short-term memory networks (LSTMs) are used to predict the subseries of the decomposed original measured signal data to help model and recover the irregular, periodic variations in the measured signal data. The raw acceleration data of a liquefied natural gas (LNG) storage tank in shaking-table experiments were used as an example to compare and discuss the method’s performance for the complementation of missing measured signal data. The results of the measured signal data recovery showed that the hybrid method (EEMD based) proposed in this paper had a higher complementary performance compared with the traditional deep learning methods, while the EEMD-LSTM exhibited the best missing data complementary accuracy among all models. In addition, the effect of the number of prediction steps on the prediction accuracy of the EEMD-LSTM model is also discussed. This study not only provides a method to fuse EEMD and deep learning models to predict measured signal’ missing data but also provides suggestions for the use of EEMD-LSTM models under different conditions. Full article
Show Figures

Figure 1

23 pages, 5869 KB  
Article
Discrete Missing Data Imputation Using Multilayer Perceptron and Momentum Gradient Descent
by Hu Pan, Zhiwei Ye, Qiyi He, Chunyan Yan, Jianyu Yuan, Xudong Lai, Jun Su and Ruihan Li
Sensors 2022, 22(15), 5645; https://doi.org/10.3390/s22155645 - 28 Jul 2022
Cited by 21 | Viewed by 3283
Abstract
Data are a strategic resource for industrial production, and an efficient data-mining process will increase productivity. However, there exist many missing values in data collected in real life due to various problems. Because the missing data may reduce productivity, missing value imputation is [...] Read more.
Data are a strategic resource for industrial production, and an efficient data-mining process will increase productivity. However, there exist many missing values in data collected in real life due to various problems. Because the missing data may reduce productivity, missing value imputation is an important research topic in data mining. At present, most studies mainly focus on imputation methods for continuous missing data, while a few concentrate on discrete missing data. In this paper, a discrete missing value imputation method based on a multilayer perceptron (MLP) is proposed, which employs a momentum gradient descent algorithm, and some prefilling strategies are utilized to improve the convergence speed of the MLP. To verify the effectiveness of the method, experiments are conducted to compare the classification accuracy with eight common imputation methods, such as the mode, random, hot-deck, KNN, autoencoder, and MLP, under different missing mechanisms and missing proportions. Experimental results verify that the improved MLP model (IMLP) can effectively impute discrete missing values in most situations under three missing patterns. Full article
Show Figures

Figure 1

Back to TopTop