Sign in to use this feature.

Years

Between: -

Subjects

remove_circle_outline
remove_circle_outline
remove_circle_outline
remove_circle_outline
remove_circle_outline
remove_circle_outline
remove_circle_outline
remove_circle_outline
remove_circle_outline

Journals

remove_circle_outline
remove_circle_outline
remove_circle_outline
remove_circle_outline
remove_circle_outline
remove_circle_outline
remove_circle_outline
remove_circle_outline
remove_circle_outline
remove_circle_outline
remove_circle_outline
remove_circle_outline
remove_circle_outline

Article Types

Countries / Regions

remove_circle_outline
remove_circle_outline
remove_circle_outline
remove_circle_outline
remove_circle_outline
remove_circle_outline

Search Results (1,311)

Search Parameters:
Keywords = milk supplementation

Order results
Result details
Results per page
Select all
Export citation of selected articles as:
20 pages, 13781 KB  
Article
Longitudinal Microbiome and Metabolome Shifts After Successful Intervention in Impending Stunting in Indonesian Infants
by Conny Tanjung, Ryohei Shibata, Bahrul Fikri, Titis Prawitasari, Andi Alfian Zainuddin, Aidah Juliaty, Dwi Sora Yullyana, Tonny Sundjaya, Hedi Kuswanto, Jessica Clarensia, Naoki Shimojo, Berthold Koletzko, Hiroshi Ohno and Nasrum Massi
Nutrients 2025, 17(22), 3570; https://doi.org/10.3390/nu17223570 - 14 Nov 2025
Abstract
Background/Objectives: Stunting and weight faltering (WF) remain pressing public health challenges in low- and middle-income countries, with long-term consequences for child growth, development, and survival. While the role of gut health in early growth is increasingly recognized, evidence on how the gut [...] Read more.
Background/Objectives: Stunting and weight faltering (WF) remain pressing public health challenges in low- and middle-income countries, with long-term consequences for child growth, development, and survival. While the role of gut health in early growth is increasingly recognized, evidence on how the gut microbiome and metabolome respond to nutritional interventions in WF infants is scarce. This study explored gut microbiome and metabolome changes in Indonesian infants aged 6–12 months who overcame WF following a one-month intervention. Methods: Infants were assigned to either a Nutritional Advice (NA) group or a Nutritional Advice plus Oral Nutritional Supplements (NAONS) group. Stool samples were collected before and after the intervention for microbiome (16S rRNA sequencing) and metabolome (LC-MS) analysis. Results: Significant shifts in gut microbial composition (beta diversity) and species richness (Chao1 index) were observed in both groups, suggesting enhanced microbial diversity and gut resilience. Within-group analysis revealed increases in beneficial genera such as Faecalibacterium and Peptostreptococcus, and a reduction in pro-inflammatory Fusobacterium in the NA group. The NAONS group showed a notable decrease in Proteus, a potentially pathogenic genus. Between-group comparisons indicated higher abundances of Lactococcus and Leuconostoc in the NAONS group, likely reflecting the influence of milk protein-rich supplements on microbial colonization, favoring lactic acid bacteria over SCFA-producing taxa, leading to better gut health. Metabolome analysis revealed significant changes in the NA group, increases in metabolites like Threonine, Tryptophan, and Xylose pointed to improved energy metabolism and gut health, while a decrease in Oxalic Acid suggested better metabolic efficiency. In contrast, the NAONS group, while benefiting from rapid weight gain, displayed a distinct metabolic profile influenced by high milk protein intake. No significant correlations were found between microbiome and metabolome changes, highlighting the complexity of gut-host interactions, suggesting that the interventions led to independent shifts in the aforementioned profiles. Conclusions: Overall, the findings suggest that nutritional interventions may enhance gut health and support recovery from weight faltering, providing insights into strategies that may contribute to restoring healthy growth trajectories and preventing stunting by modulating gut health. Full article
(This article belongs to the Section Pediatric Nutrition)
20 pages, 4858 KB  
Article
Effect of Ultrasound on the Microbial Flora and Physicochemical Parameters of Yogurt Added to Native Mexican Plants
by Luis M. Carrillo-López, Ismael Ortíz-Aguirre, América Chávez-Martínez, Luis F. Salomé-Abarca, Lorena Luna-Rodríguez, Juan M. Vargas-Romero and Ramón M. Soto-Hernández
Gels 2025, 11(11), 907; https://doi.org/10.3390/gels11110907 - 13 Nov 2025
Abstract
There is a growing trend in food fortification to use natural products to improve quality during production and processing. We study the effect of high-intensity ultrasound (HIU), applied at different processing times to fresh raw cow’s milk supplemented with dried plant material (DPM), [...] Read more.
There is a growing trend in food fortification to use natural products to improve quality during production and processing. We study the effect of high-intensity ultrasound (HIU), applied at different processing times to fresh raw cow’s milk supplemented with dried plant material (DPM), on the gel fermentation kinetics and the physicochemical profile of yogurt during storage. The results showed a significant reduction in milk fermentation with the application of HIU after inoculation (INOC). The counts of Lactobacillus delbrueckii ssp. bulgaricus and Streptococcus thermophilus increased with the use of HIU, producing a synergistic effect in the presence of DPM due to the phenolic acids and flavonoids present. Syneresis was reduced and the water holding capacity (WHC) significantly increased in gels obtained with milk to which DPM had been added and which was sonicated after INOC. This led to the formation of a denser and more homogeneous protein network that retained more serum during storage. The luminosity of gels produced with milk sonicated at 40 °C increased, improving their appearance. However, saturation was reduced, shifting the yellow color to a neutral hue. In gels produced with non-sonicated milk, the fat separated, forming a yellow upper layer. HIU applied after INOC in milk to which DPM had been added reduced the milk processing time, producing stable and better-quality yogurts during refrigerated storage. Full article
Show Figures

Figure 1

12 pages, 227 KB  
Article
Supplementing 25-Hydroxy-Vitamin D3 to Sows Enhances Milk and Blood Parameters, with Extended Benefits to Their Offspring
by Shanmugam Sureshkumar, Md Raihanul Hoque and In Ho Kim
Animals 2025, 15(22), 3264; https://doi.org/10.3390/ani15223264 - 11 Nov 2025
Viewed by 159
Abstract
The objective of this study was to evaluate the effects of 25-hydroxy-vitamin D3 (25OHD3) supplementation on reproductive performance, nutrient digestibility, lameness score, milk composition, and blood profiles in sows, as well as the performance and blood profiles of their offspring. [...] Read more.
The objective of this study was to evaluate the effects of 25-hydroxy-vitamin D3 (25OHD3) supplementation on reproductive performance, nutrient digestibility, lameness score, milk composition, and blood profiles in sows, as well as the performance and blood profiles of their offspring. From day 110 of gestation to 21 days of weaning, a total of 30 multiparous sows (Landrace × Yorkshire) were randomly assigned to one of three dietary treatments, with ten sows per treatment. The dietary treatments were: (1) CON, basal diet; (2) TRT1, CON diet plus 1114 IU 25OHD3/kg (13.92 µg 25OHD3/kg feed); and (3) TRT2, CON diet plus 2227 IU 25OHD3/kg (27.84 µg 25OHD3/kg feed). The reproduction performance and nutrient digestibility of sows were not affected by 25OHD3 supplementation. However, the inclusion of graded levels of 25OHD3 in the sow diet had significantly reduced their farrowing time (p < 0.001) compared to those fed the CON diet. Also, sows fed 25OHD3 produced significantly higher (p < 0.05) number of piglets compared to the CON group. Piglets from supplemented sows exhibited greater (p < 0.05) average daily gain and weaning body weight. Moreover, colostrum protein content was higher (p < 0.05) in sows fed 25OHD3 compared with the CON group. Similarly, the concentration of 25OHD3 in colostrum and milk at weaning was markedly (p < 0.001) elevated. Furthermore, serum 25OHD3 levels were significantly higher (p < 0.05) in both sows and piglets, and piglet serum immunoglobulin G (IgG) concentrations were also elevated (p < 0.05) in the supplemented groups. In summary, dietary 25OHD3 in the sow diet not only improves their reproductive performance and milk quality but also enhances piglet growth, immunity, and overall vitality, suggesting that 25OHD3 is a valuable nutritional strategy for optimizing sow productivity and promoting healthier offspring. Full article
(This article belongs to the Special Issue Feeding Strategies to Improve the Health or Development of Piglets)
17 pages, 681 KB  
Article
Maternal and Environmental Drivers of Trace Mineral Dynamics in Camel Dams and Neonates Across Regions and Seasons in Saudi Arabia
by Mutassim M. Abdelrahman, Ibrahim A. Alhidary, Ahmad A. Aboragah, Mohammed M. Qaid, Mohammed A. Al-Badwi, Abdulkareem M. Matar, Mohsen M. Alobre, Ramzi A. Amran and Riyadh S. Aljumaah
Life 2025, 15(11), 1730; https://doi.org/10.3390/life15111730 - 10 Nov 2025
Viewed by 214
Abstract
Background: Dromedary camel in Saudi Arabia thrive across diverse desert ecosystems where trace minerals are vital for key physiological functions, yet data on how regional and seasonal factors affect these minerals in dams and neonates are limited. Aim: This study investigated the effects [...] Read more.
Background: Dromedary camel in Saudi Arabia thrive across diverse desert ecosystems where trace minerals are vital for key physiological functions, yet data on how regional and seasonal factors affect these minerals in dams and neonates are limited. Aim: This study investigated the effects of regional and seasonal variability on trace mineral status in dam serum (DS), dam milk (DM), and neonatal serum (NS) across major camel-rearing regions of Saudi Arabia. We hypothesized that environmental factors—particularly heat stress and local feed resources—drive regional and seasonal differences in mineral profiles and maternal–neonatal transfer. Methods: Samples of serum, milk, feed, water, and soil were collected from five major regions during three seasons. Concentrations of selenium (Se), zinc (Zn), copper (Cu), iron (Fe), manganese (Mn), and iodine (I) were quantified, and correlations among biological compartments were analyzed. Meteorological data were used to compute the temperature-humidity index (THI). Results: The THI ranged from thermoneutral levels in the Northern winter (17.4) to severe heat stress in Eastern summer (33.8). Milk minerals exhibited strong seasonal and regional effects, with selenium peaking in summer and zinc in spring. Western dams showed elevated iron and iodine, whereas northern dams had higher zinc. Serum minerals in dams varied moderately with season but differed regionally for zinc, selenium, and iron. Neonatal serum reflected maternal and regional influences, showing significant season-by-region interactions for selenium and iodine. Positive correlations indicated coordinated maternal–neonatal mineral transfer, particularly for selenium, iodine, and zinc. Feed represented the main environmental source of Cu and Se. In conclusion, camel trace mineral status is mainly driven by environmental factors but regulated through maternal transfer, with selenium and iodine emerging as key heat-stress markers supporting targeted, region- and season-specific supplementation to improve health and productivity in arid regions. Full article
(This article belongs to the Section Animal Science)
Show Figures

Figure 1

14 pages, 1062 KB  
Article
Fatty Acid Composition and Health Benefits of Some Seed Oils of Emerging Interest
by Teresina Nevigato, Aurora Bocci, Sofia Marica, Roberto Caproni and Maurizio Masci
Methods Protoc. 2025, 8(6), 137; https://doi.org/10.3390/mps8060137 - 8 Nov 2025
Viewed by 357
Abstract
The fatty acid composition of some seed oils from plants of emerging interest was studied. The benefits towards human health were evaluated by taking into account current recommendations regarding dietary intake of essential, polyunsaturated, and monounsaturated fatty acids and by discussing the pathologies [...] Read more.
The fatty acid composition of some seed oils from plants of emerging interest was studied. The benefits towards human health were evaluated by taking into account current recommendations regarding dietary intake of essential, polyunsaturated, and monounsaturated fatty acids and by discussing the pathologies for which such fatty acids exert protective action. Species studied were Hemp (Cannabis sativa), Flax (Linum usitatissimum), Milk Thistle (Silybum marianum), Perilla (Perilla frutescens), Borage (Borago officinalis), and Black Cumin (Nigella sativa). Seeds were subjected to cold milling in order to maintain their original nutritional characteristics. Chemical analyses were performed via the dual-detector gas chromatography technique by means of Flame Ionization Detection (FID) and mass spectrometry (MS) and by applying a modified version of the AOAC Official Method 991.39, thanks to which it was possible to obtain the fatty acid composition expressed as mg per gram of oil: such information is not always available in the literature for the species studied here. Comparison with the fatty acid international guidelines about the recommended intakes in g/day was made. This allowed us to evaluate whether such oils are suitable to be used as fatty acid food supplements to rebalance the Western diet, which is shown to be inadequate by numerous studies. Results show that seed oils from Cannabis sativa, Linum usitatissimum, and Perilla frutescens are suitable to be used as food supplements while seed oils from Silybum marianum, Borago officinalis, and Nigella sativa are not. It is important to note that any possible benefits from other parts of the plant (leaves, stems, flowers, and roots) are not studied or questioned by the present research, which focuses solely on fatty acids in the oil extracted from the seeds. Full article
(This article belongs to the Special Issue Feature Papers in Methods and Protocols 2025)
Show Figures

Graphical abstract

14 pages, 805 KB  
Article
Impact of Kefir on the Gut–Brain Axis: Serotonin Metabolism and Signaling in Pediatric Rats
by Mehmet Gazi Boyaci, Ayhan Pektaş, Fadime Topal, Nur Önen and Bilgehan Mehmet Pektaş
Microorganisms 2025, 13(11), 2536; https://doi.org/10.3390/microorganisms13112536 - 5 Nov 2025
Viewed by 566
Abstract
Serotonin (5-hydroxytryptamine) is a key neurotransmitter involved in gastrointestinal and central nervous system functions. Given that approximately 90% of serotonin is synthesized in the gut, dietary interventions targeting the gut microbiota have emerged as promising strategies to modulate serotonin homeostasis. Kefir, a fermented [...] Read more.
Serotonin (5-hydroxytryptamine) is a key neurotransmitter involved in gastrointestinal and central nervous system functions. Given that approximately 90% of serotonin is synthesized in the gut, dietary interventions targeting the gut microbiota have emerged as promising strategies to modulate serotonin homeostasis. Kefir, a fermented milk beverage rich in probiotics and bioactive compounds, has been suggested to influence gut–brain axis signaling, yet its effects in the pediatric period remain insufficiently characterized. This study aimed to investigate the impact of kefir supplementation on serotonin biosynthesis, receptor expression, and metabolic pathways in a pediatric rat model, focusing on molecular markers across brain, jejunum, and serum tissues. Sixteen male Wistar rats (four weeks old) were divided into kefir and control groups. The kefir group received daily oral gavage of kefir (1 mL/100 g) for eight weeks, while controls received saline. Gene and protein expression levels of serotonergic markers (5-HT, TPH1, TPH2, SLC6A4, VMAT2, 5-HTR2B, 5-HTR3A, and 5-HTR4) were analyzed using quantitative PCR, ELISA, and Western blotting. Serotonin turnover was assessed via 5-HIAA levels. Kefir supplementation significantly increased 5-HT and TPH1 expression in both brain and jejunum tissues. In the brain, kefir elevated TPH2 and upregulated 5-HTR3A and 5-HTR2B, while reducing 5-HIAA levels, suggesting decreased serotonin degradation. In the jejunum, 5-HTR4 expression was markedly increased. Serum analyses revealed reduced TPH1/TPH2 expression but elevated 5-HTR4 levels, indicating systemic modulation of serotonergic signaling. Kefir exerts multifaceted effects on the serotonergic system in pediatric rats by enhancing serotonin biosynthesis, modulating receptor expression, and reducing serotonin turnover. These findings highlight kefir as a potential psychobiotic capable of influencing the gut–brain axis during early life, with implications for pediatric neurodevelopment and mental health. Further research, including clinical trials, is warranted to confirm its translational potential. Full article
(This article belongs to the Special Issue Role of Dietary Nutrients in the Modulation of Gut Microbiota)
Show Figures

Figure 1

14 pages, 924 KB  
Article
Effects of Mulberry Leaf and Corn Silk Extracts Against α-Amylase and α-Glucosidase In Vitro and on Postprandial Glucose in Prediabetic Individuals: A Randomized Crossover Trial
by You Sun, Xiaokang Niu, Yifan Wang, Qi Zhang, Yan Liu, Jingjing He, Lingling Xu, Ran Wang and Jie Guo
Nutrients 2025, 17(21), 3438; https://doi.org/10.3390/nu17213438 - 31 Oct 2025
Viewed by 431
Abstract
Objective: Postprandial hyperglycemia is a major risk factor for type 2 diabetes and cardiovascular disease. Inhibition of α-amylase and α-glucosidase can attenuate postprandial glycemic response (PPGR). This study aimed to investigate the inhibitory effects of mulberry leaf and corn silk on these enzymes [...] Read more.
Objective: Postprandial hyperglycemia is a major risk factor for type 2 diabetes and cardiovascular disease. Inhibition of α-amylase and α-glucosidase can attenuate postprandial glycemic response (PPGR). This study aimed to investigate the inhibitory effects of mulberry leaf and corn silk on these enzymes in vitro and their impact on postprandial glucose (PG) levels in prediabetic individuals using milk-based matrices. Research Design and Methods: In vitro, enzyme inhibition was assessed using the DNS method (α-amylase) and pNPG method (α-glucosidase). A randomized crossover trial was conducted in 11 prediabetic individuals with four interventions: pure milk; lactose-hydrolyzed milk; lactose-hydrolyzed milk with mulberry leaf, corn silk, and resistant dextrin; and GOS milk with mulberry leaf and corn silk. PPGR was assessed by area under the glucose curve, 1 and 2 h PG, maximum PG, and 2 h glucose excursion. Paired Wilcoxon signed-rank tests were used for comparisons. Results: Mulberry leaf and corn silk extracts inhibited both enzymes dose-dependently, with synergistic effects. No significant differences in PPGR indices were observed across interventions in the overall prediabetic individuals. However, in the overweight subgroup, the combination of GOS milk supplemented with mulberry leaf and corn silk significantly reduced 1 h PG (median difference [P25, P75]: −0.84 mmol/L [−1.05, −0.49]), maximum PG (−0.54 mmol/L [−0.75, −0.25]), and glucose excursion (−0.62 mmol/L [−0.75, −0.24]) compared to pure milk. Conclusions: Mulberry leaf and corn silk extracts inhibit α-amylase and α-glucosidase in vitro and may attenuate postprandial glucose excursions in overweight prediabetic individuals when delivered in a GOS milk matrix. Full article
Show Figures

Graphical abstract

23 pages, 2658 KB  
Article
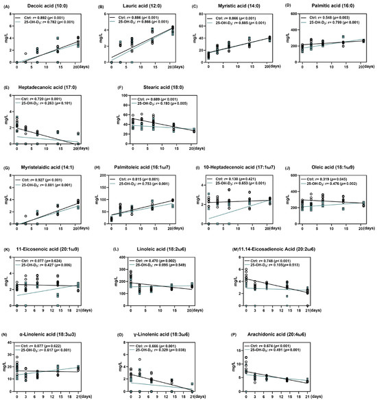
Maternal 25-Hydroxycholecalciferol Supplementation Dynamically Altered Milk Fatty Acid and Amino Acid Profiles and Improves Sow Performance
by Liang Wang, Haitong Wang, Peipei Wen, Yikai Fan, Xiaoli Ren, Yongqing Li, Chu Chu, Li Liu, Juncheng Huang, Bo Hu, Huaiyong Zhang and Shujun Zhang
Animals 2025, 15(21), 3160; https://doi.org/10.3390/ani15213160 - 30 Oct 2025
Viewed by 196
Abstract
This study was performed to evaluate the effects of maternal 25-hydroxycholecalciferol (25-OH-D3) supplementation on sow performance, as well as the dynamic alterations of both the amino acid and fatty acid profiles in milk. On day 85 of gestation, twenty primiparous hybrid [...] Read more.
This study was performed to evaluate the effects of maternal 25-hydroxycholecalciferol (25-OH-D3) supplementation on sow performance, as well as the dynamic alterations of both the amino acid and fatty acid profiles in milk. On day 85 of gestation, twenty primiparous hybrid sows were allocated into two groups (10 sows/group) and fed a basal diet (3200 IU/kg vitamin D3) containing either 0 or 50 μg/kg 25-OH-D3 until weaning on d 21 of lactation. Milk was collected at 1, 3, 7, 14, and 21 d of lactation. The results showed that dietary 25-OH-D3 supplementation notably decreased the score of tear stain at 101 d of gestation when compared to the Ctrl group (p = 0.030). No significant difference was found in terms of the gestation day, litter size, and litter weight at birth, whereas maternal 25-OH-D3 intervention notably increased weaning weight and weight gain of the piglet (p < 0.05), while dietary 25-OH-D3 supplementation contributed to a 16.4% body gain during lactation. The concentration of all amino acids in milk was higher in colostrum, following a dramatic drop. The rate of reduction for all amino acids was increased by dietary 25-OH-D3 supplementation. The contents of saturated fatty acids and polyunsaturated fatty acids were increased and decreased linearly throughout lactation (both p < 0.05). Dietary 25-OH-D3 supplementation initially suppressed both saturated and unsaturated fatty acid levels from d 1 to 7, while prompting a recovery of specific fatty acids from d 14 to 21 of lactation, particularly oleic acid, linoleic acid, and arachidonic acid. These findings indicate that maternal 25-OH-D3 supplementation alters the pattern of milk fatty acid and amino acid composition, which may be associated with the observed improvement in piglet outcomes. Full article
(This article belongs to the Section Pigs)
Show Figures

Figure 1

17 pages, 557 KB  
Article
Sustainable Valorization of Grape Pomace in Sheep Through Systemic Health, Metabolic Safety, Milk and Meat Quality
by Gabriella Guelfi, Piermario Mangili, Francesca Mercati, David Ranucci, Silvia Crotti, Muhammad Tuseef, Gianluca Veneziani, Vicente Francisco Ratto, Camilla Capaccia, Francesco Ciancabilla, Margherita Maranesi and Cecilia Dall’Aglio
Int. J. Mol. Sci. 2025, 26(21), 10578; https://doi.org/10.3390/ijms262110578 - 30 Oct 2025
Viewed by 223
Abstract
Grape pomace (GP), a by-product of winemaking, is rich in polyphenols and fiber, making it a promising and sustainable feed supplement for ruminants. This study evaluated the safety and productive impact of a 5% GP-supplemented diet (GP5) including non-lactating end-cycle (EC) ewes regularly [...] Read more.
Grape pomace (GP), a by-product of winemaking, is rich in polyphenols and fiber, making it a promising and sustainable feed supplement for ruminants. This study evaluated the safety and productive impact of a 5% GP-supplemented diet (GP5) including non-lactating end-cycle (EC) ewes regularly destined for slaughter and human consumption, and lactating (LAC) ewes, over a 30-day period. Control (CTRL) animals received a standard pellet diet with no GP inclusion. Sampling was performed at four time points (T0, T10, T20, and T30), corresponding to days 0, 10, 20, and 30 of the experimental period. The study assessed clinical status, hematology/biochemistry (T0 and T30), milk composition (T0, T10, T20, and T30), meat quality traits and oxidative stability in EC ewes (T30). Since no significant differences were observed in the CTRL animals, the effects were evaluated within the GP5 group by comparing T0 vs. T30. Meat quality was assessed by comparing EC-GP5 to CTRL at T30. The GP extract showed a high total phenolic content (254.02 ± 20.39 mg GAE/g DW). No clinical or hematological alterations were observed, and most values remained within physiological ranges. Biochemical analysis revealed significant increases in albumin, bilirubin, creatinine, and triglycerides (p < 0.05), with significant decreases in plasma urea and glucose (p < 0.05). In LAC-GP5 ewes, milk urea and lactose concentrations decreased (p < 0.05), while pH increased (p < 0.05), with no significant changes in fat or casein content. These findings are consistent with reduced ruminal propionate availability, leading to decreased hepatic gluconeogenesis and lactose synthesis, with secondary effects on nitrogen metabolism and the acid–base profile of milk. In EC-GP5 ewes, meat quality traits were unaffected, and DPPH scavenging activity did not differ from CTRL (p > 0.05). GP5 was metabolically safe, induced adaptive changes in milk composition, and had no negative effects on meat quality, supporting the valorization of grape pomace as a sustainable feed resource. This trial was designed as a metabolic safety assessment, representing a preliminary step toward future mechanistic and molecular investigations. Full article
(This article belongs to the Section Bioactives and Nutraceuticals)
Show Figures

Figure 1

14 pages, 561 KB  
Article
Maternal and Infant Determinants of Zinc Status and Zinc’s Association with Anthropometry in 3-Month-Old Bangladeshi Infants
by Ximing Ge, Katherine K. Stephenson, Lee S.-F. Wu, Sarah Baker, Hasmot Ali, Saijuddin Shaikh, Keith P. West, Parul Christian and Kerry J. Schulze
Nutrients 2025, 17(21), 3393; https://doi.org/10.3390/nu17213393 - 29 Oct 2025
Viewed by 359
Abstract
Background/Objectives: Zinc deficiency remains a public health concern in South Asia but is rarely studied through gestation to infancy. Methods: We identified maternal and infant factors related to plasma zinc of 3 mo old Bangladeshi infants (n = 317) in the context [...] Read more.
Background/Objectives: Zinc deficiency remains a public health concern in South Asia but is rarely studied through gestation to infancy. Methods: We identified maternal and infant factors related to plasma zinc of 3 mo old Bangladeshi infants (n = 317) in the context of a trial of a daily antenatal to 3 mo postpartum multiple micronutrient supplementation (MMS) with 15 vitamins and minerals, including 12 mg zinc, versus iron–folic acid (IFA). Factors explored included maternal age, parity, and plasma zinc in early (pre-supplementation) and late pregnancy, at 3 months postpartum, and in milk; cord blood zinc (n = 83); birth outcomes; and infant feeding and biomarkers. Consequently, infant zinc was explored with 3 mo anthropometry and growth rates. Results: Mean ± SD infant plasma zinc was 15.63 ± 6.65 µmol/L, with 10.1% deficiency (<9.9 µmol/L). In adjusted analyses, infant zinc was positively associated with maternal age [20–30 years +0.11 µmol/L (p = 0.018) and ≥30 years +0.28 µmol/L (p = 0.003) relative to <20 years], maternal early pregnancy zinc (+0.01 µmol/L per 1 µmol/L maternal zinc, p = 0.011), and infant ferritin (+0.001 µmol/L per 1 µg/L, p = 0.007); conversely, infant zinc was −0.13 µmol/L lower (p = 0.013) with maternal parity ≥2 versus 0–1 and with partial versus exclusive breastfeeding (−0.15 µmol/L, p = 0.038). Relationships with MMS, maternal later pregnancy, postpartum, milk, and cord blood zinc were absent. Length-for-age (+0.02 per µmol/L, p = 0.047) but not weight-for-length Z-scores at 3 months were associated with infant zinc. Conclusions: Thus, infant zinc was associated with pre- but not post-MMS maternal zinc, age and parity, feeding style, and infant iron status. Infant length but not weight was associated with plasma zinc. Full article
(This article belongs to the Special Issue Advancing Knowledge of Zinc in Health and Disease)
Show Figures

Figure 1

16 pages, 1324 KB  
Article
Effects of Egg White on the Texture, Physicochemical Properties and Sensory Characteristics of Double Protein Yogurt During Storage
by Yuhang Gao, Rongcheng Li, Jie Pan, Yihan Zhang, Renfeng Gao, Ning Xia, Huajing Liu and Lifeng Wang
Gels 2025, 11(11), 865; https://doi.org/10.3390/gels11110865 - 28 Oct 2025
Viewed by 413
Abstract
With the growing demand for functional dairy products, integrating dual-animal proteins presents a promising strategy to enhance both nutritional value and functional properties. This study aimed to elucidate the impact of egg white supplementation on the stability, physicochemical attributes, sensory quality, and shelf-life [...] Read more.
With the growing demand for functional dairy products, integrating dual-animal proteins presents a promising strategy to enhance both nutritional value and functional properties. This study aimed to elucidate the impact of egg white supplementation on the stability, physicochemical attributes, sensory quality, and shelf-life of yogurt. Yogurt samples were prepared by fermenting milk supplemented with 0%, 5%, 10%, 15%, 20%, and 25% egg white, and subsequently evaluated for physicochemical parameters, microstructure, rheological behavior, water-holding capacity, and sensory profiles using an electronic nose and electronic tongue. Results showed that 5% egg white significantly improved yogurt stability after one day of refrigeration, whereas 10% supplementation yielded texture comparable to the control but with enhanced protein content, water retention, gel strength, and microstructural uniformity. Over 14 days of cold storage, a gradual decline occurred in physicochemical and structural parameters across all samples; however, flavor profiles remained largely stable, with no adverse effects on sensory quality except for a mild increase in acidity. These findings highlight egg white as a functional ingredient capable of improving yogurt stability and textural quality without compromising flavor, offering new opportunities for the development of high-protein, dual-animal protein fermented dairy products in the functional food industry. Full article
(This article belongs to the Special Issue Functional Gels Loaded with Natural Products)
Show Figures

Figure 1

16 pages, 1968 KB  
Article
Effect of Different Prebiotic Saccharides on Listeria monocytogenes Adherence to Human Adenocarcinoma Caco-2 Cell Line
by Tereza Kodešová, Ivo Doskočil, Eva Vlková and Hana Šubrtová Salmonová
Curr. Issues Mol. Biol. 2025, 47(11), 891; https://doi.org/10.3390/cimb47110891 - 28 Oct 2025
Viewed by 269
Abstract
Listeria monocytogenes (LM) is one of the most emerging pathogens responsible for the serious foodborne disease listeriosis. The risk of disease outbreaks can be reduced by suppressing the adherence of LM to the intestinal epithelial cells. This effect can be achieved by prebiotic [...] Read more.
Listeria monocytogenes (LM) is one of the most emerging pathogens responsible for the serious foodborne disease listeriosis. The risk of disease outbreaks can be reduced by suppressing the adherence of LM to the intestinal epithelial cells. This effect can be achieved by prebiotic supplementation. The aim of this work was to determine the effect of prebiotics beta-(1,3)-D-glucan, inulin, fructooligosaccharides, galactooligosaccharides, lactulose, raffinose, stachyose, human milk oligosaccharides (HMOs), and 2’-fucosyllactose on the ability of LM to adhere to the human adenocarcinoma Caco-2 cell line. Despite strain-specific variability, a statistically significant reduction in LM adhesion to intestinal epithelial cells was observed in the presence of beta-(1,3)-D-glucan (~60% reduction), inulin (~46%), and HMOs (~44%). In contrast, the remaining tested prebiotics did not show a significant impact on LM adhesion. These findings highlight the potential of specific prebiotics, especially beta-glucans, to limit LM adherence, suggesting a protective effect for the host. Full article
Show Figures

Figure 1

14 pages, 636 KB  
Article
Effects of Dietary Chromium Supplementation During Late Lactation on Productive Performance, Milk Composition, and Immune and Antioxidant Responses in Dairy Cows
by Natália Turcatto, Guilherme Luiz Deolindo, Maksuel Gatto de Vitt, Maisa Damo, João Gustavo Weschenfelder Wandscheer, Daiane Manica, Gilnei Bruno da Silva, Margarete Dulce Bagatini and Aleksandro Schafer Da Silva
Animals 2025, 15(21), 3111; https://doi.org/10.3390/ani15213111 - 27 Oct 2025
Viewed by 442
Abstract
The study evaluated whether organic chromium supplementation in the diets of Jersey cows in the final third of lactation has positive effects on productive performance and milk quality, as well as markers of metabolism, hematology, immunological, and oxidative response. We used 22 cows [...] Read more.
The study evaluated whether organic chromium supplementation in the diets of Jersey cows in the final third of lactation has positive effects on productive performance and milk quality, as well as markers of metabolism, hematology, immunological, and oxidative response. We used 22 cows in a 56-day study, divided into two groups: control (n = 11) and chromium treatment at 10 mg/kg of dry matter per day (n = 11). We evaluated these animals’ productive performance markers (milk production, feed intake, and lactation persistence), milk quality (composition and somatic cell counts), and blood biomarkers to assess animal health. Chromium concentration at the beginning of the experiment was within normal limits for the animal category (221 to 246 nM). The cows’ consumption of organic chromium increased its bioavailability in the body, with higher concentration in the serum (p = 0.01) and milk (p = 0.013) of Jersey cows compared to the control cows. Supplementing cows with chromium resulted in higher fat-corrected milk production (p = 0.05), longer lactation persistence (p = 0.05), and feed efficiency (p = 0.02) compared to the control group. There was a lower SCC (p = 0.01) on days 28, 42, and 56, as well as a higher percentage of fat in the milk of supplemented cows on days 28 and 42 compared to that of the control group (p = 0.01). As a treatment effect (p ≤ 0.05), we found cows supplemented with chromium had a higher concentration of insulin, immunoglobulin G, and creatine kinase activity dismutase compared to control animals. Considering the treatment × day interaction (p ≤ 0.05), we observed greater activity of the creatine kinase enzymes (days 14, 28, and 56), as well as lower cholinesterase activity (days 42 and 56) compared to those of the control. The concentration of globulins (p = 0.05) and immunoglobulin G (p = 0.01) on day 56 was higher in cows that consumed chromium. Higher superoxide dismutase activity on days 42 and 56 (p = 0.04) was observed in the blood of cows supplemented with organic chromium compared to that of the control. Therefore, we conclude that the addition of organic chromium was beneficial to maintaining lactation persistence and increasing fat-corrected milk production. Full article
(This article belongs to the Special Issue Feed Additives in Animal Nutrition)
Show Figures

Figure 1

26 pages, 663 KB  
Article
Probiotic Sheep Milk: Physicochemical Properties of Fermented Milk and Viability of Bacteria Under Simulated Gastrointestinal Conditions
by Małgorzata Pawlos, Katarzyna Szajnar and Agata Znamirowska-Piotrowska
Nutrients 2025, 17(21), 3340; https://doi.org/10.3390/nu17213340 - 24 Oct 2025
Viewed by 465
Abstract
Background/Objectives: Within the spectrum of lactic acid bacteria, Lacticaseibacillus casei and Lactobacillus johnsonii are of particular technological and nutritional significance. Protein fortification of fermented dairy systems offers dual benefits: it improves product quality while enhancing probiotic resilience. Supplementary proteins supply bioavailable nitrogen and [...] Read more.
Background/Objectives: Within the spectrum of lactic acid bacteria, Lacticaseibacillus casei and Lactobacillus johnsonii are of particular technological and nutritional significance. Protein fortification of fermented dairy systems offers dual benefits: it improves product quality while enhancing probiotic resilience. Supplementary proteins supply bioavailable nitrogen and peptides that stimulate bacterial metabolism and contribute to a viscoelastic gel matrix that buffers cells against gastric acidity and bile salts. The aim of this study was to clarify the functional potential of such formulations by assessing probiotic survival under in vitro digestion simulating oral, gastric, and intestinal phases. Methods: Sheep milk was fermented with L. casei 431 or L. johnsonii LJ in the presence of whey protein isolate (WPI), soy protein isolate (SPI), or pea protein isolate (PPI) at concentrations of 1.5% and 3.0%. Physicochemical parameters (pH, titratable acidity, color, syneresis), organoleptic properties, and microbiological counts were evaluated. The viability of L. casei and L. johnsonii was determined at each digestion stage, and probiotic survival rates were calculated. Results: Samples with L. johnsonii consistently exhibited lower pH values compared to L. casei. Across both bacterial strains, the addition of 1.5% protein isolate more effectively limited syneresis than 3.0%, regardless of protein type. Samples fortified with WPI at 1.5% (JW1.5) and 3.0% (JW3.0) were rated highest by the panel, demonstrating smooth, homogeneous textures without grittiness. The greatest bacterial survival (>70%) was observed in WPI-fortified samples (JW1.5, JW3.0) and in SPI-fortified JS3. Conclusions: Protein isolates of diverse origins are suitable for the enrichment of fermented sheep milk, with 1.5% supplementation proving optimal. Such formulations maintained desirable fermentation dynamics and, in most cases, significantly improved the survival of L. casei and L. johnsonii under simulated gastrointestinal conditions, underscoring their potential in the development of functional probiotic dairy products. Full article
(This article belongs to the Special Issue Probiotics, Postbiotics, Gut Microbiota and Gastrointestinal Health)
Show Figures

Figure 1

12 pages, 1185 KB  
Article
Effect of High Dietary Salt Intake on Macro-Mineral Status of Lactating Camels Raised Under Arid Conditions
by Riyadh S. Aljumaah, Moez Ayadi, Abdulkareem M. Matar, Ahmed A. K. Salama, Gerardo Caja, Mohammed A. Alshaikh and Mutassim M. Abdelrahman
Vet. Sci. 2025, 12(11), 1026; https://doi.org/10.3390/vetsci12111026 - 23 Oct 2025
Viewed by 384
Abstract
This study examined the effects of high dietary salt intake on the concentrations of major microminerals (K, Na, P, Mg, and Ca) in the serum and milk of lactating dromedary camels (Camelus dromedarius). Twelve multiparous camels were assigned in a two-period [...] Read more.
This study examined the effects of high dietary salt intake on the concentrations of major microminerals (K, Na, P, Mg, and Ca) in the serum and milk of lactating dromedary camels (Camelus dromedarius). Twelve multiparous camels were assigned in a two-period crossover design to receive either a control diet containing 1.5% NaCl (CON) or a salt-supplemented diet containing 4.5% NaCl (T1). Each period lasted 21 days, including 14 days of adaptation and 7 days of sampling. Blood and milk samples were analyzed using inductively coupled serum–mass spectrometry (ICP-MS). Camels fed the high-salt diet showed lower serum concentrations of Mg and Ca (p < 0.05). Milk concentrations of Mg, K, and Ca increased under high-salt intake (p < 0.05), whereas Na and P decreased. Correlation analysis revealed negative associations between P intake and milk Ca, as well as between milk Ca and serum Mg. While positive associations were observed between K intake and milk Ca, and between Ca and Mg within milk. Principal component analysis further demonstrated distinct clustering of minerals according to dietary treatment. These results highlight the complex regulation of mineral partitioning between serum and milk in camels exposed to saline diets, underscoring their adaptive capacity to arid environments. The findings provide insights for developing mineral supplementation strategies tailored to camel production systems in regions with high dietary salinity. Full article
(This article belongs to the Section Nutritional and Metabolic Diseases in Veterinary Medicine)
Show Figures

Figure 1

Back to TopTop