Effect of Different Prebiotic Saccharides on Listeria monocytogenes Adherence to Human Adenocarcinoma Caco-2 Cell Line
Abstract
1. Introduction
2. Materials and Methods
2.1. Tested Strains
2.2. Cell Culture
2.3. Prebiotic Saccharides and Testing Media Preparation
2.4. In Vitro Colonic Cell Adhesion Assay
2.5. Imaging of LM and Beta-1,3-D-Glucan Particles
2.6. Statistical Analysis
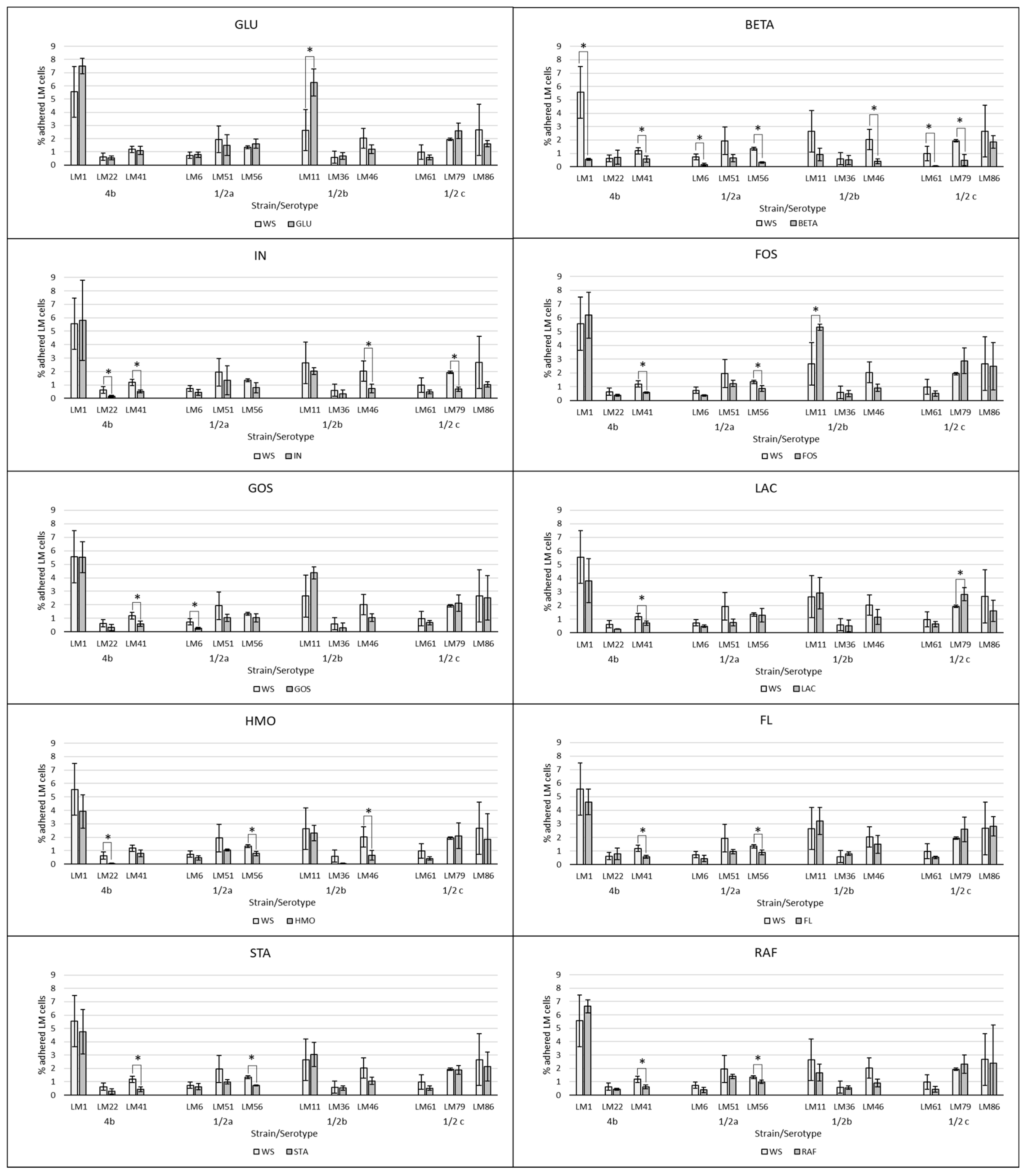
3. Results
4. Discussion
5. Conclusions
Supplementary Materials
Author Contributions
Funding
Institutional Review Board Statement
Informed Consent Statement
Data Availability Statement
Conflicts of Interest
Appendix A
| Strain | Serotype | BETA | IN | GOS | FOS | LAC | RAF | STA | 2’FL | HMO | GLU | WS |
|---|---|---|---|---|---|---|---|---|---|---|---|---|
| LM1 * | 4b | 5.45 ± 0.06 b | 6.43 ± 0.22 a | 6.44 ± 0.08 a | 6.48 ± 0.13 a | 6.25 ± 0.19 a | 6.52 ± 0.03 a | 6.36 ± 0.17 a | 6.36 ± 0.08 a | 6.28 ± 0.15 a | 6.57 ± 0.03 a | 6.43 ± 0.13 aA |
| LM22 | 5.45 ± 0.36 ab | 4.91 ± 0.17 ab | 5.13 ± 0.32 ab | 5.26 ± 0.08 ab | 5.12 ± 0.03 ab | 5.34 ± 0.07 ab | 5.09 ± 0.28 ab | 5.54 ± 0.30 a | 4.49 ± 0.13 b | 5.41 ± 0.13 ab | 5.47 ± 0.18 abB | |
| LM41 | 5.44 ± 0.15 bc | 5.41 ± 0.08 c | 5.46 ± 0.14 bc | 5.45 ± 0.05 bc | 5.54 ± 0.09 abc | 5.48 ± 0.11 bc | 5.33 ± 0.18 c | 5.45 ± 0.10 bc | 5.58 ± 0.14 abc | 5.73 ± 0.12 ab | 5.77 ± 0.09 aB | |
| LM6 | 1/2a | 4.90 ± 0.19 c | 5.32 ± 0.20 abc | 5.12 ± 0.14 bc | 5.26 ± 0.07 abc | 5.38 ± 0.08 abc | 5.26 ± 0.22 a | 5.47 ± 0.19 abc | 5.28 ± 0.30 abc | 5.35 ± 0.16 abc | 5.59 ± 0.12 a | 5.55 ± 0.16 abB |
| LM51 | 5.48 ± 0.20 a | 5.74 ± 0.36 a | 5.70 ± 0.13 a | 5.78 ± 0.08 a | 5.56 ± 0.16 a | 5.84 ± 0.05 a | 5.69 ± 0.07 a | 5.68 ± 0.07 a | 5.72 ± 0.03 a | 5.82 ± 0.28 a | 5.94 ± 0.24 aB | |
| LM56 * | 5.19 ± 0.07 c | 5.56 ± 0.22 bc | 5.70 ± 0.12 abc | 5.63 ± 0.01 abc | 5.79 ± 0.18 ab | 5.69 ± 0.06 abc | 5.56 ± 0.03 bc | 5.65 ± 0.09 abc | 5.59 ± 0.10 bc | 5.90 ± 0.10 a | 5.83 ± 0.20 abB | |
| LM11 * | 1/2b | 5.63 ± 0.22 d | 6.00 ± 0.05 cd | 6.34 ± 0.04 abc | 6.42 ± 0.02 ab | 6.14 ± 0.19 bcd | 5.90 ± 0.16 d | 6.17 ± 0.14 bcd | 6.19 ± 0.14 bcd | 6.05 ± 0.11 cd | 6.49 ± 0.08 a | 6.07 ± 0.24 cdAB |
| LM36 | 5.30 ± 0.39 a | 5.06 ± 0.42 a | 5.03 ± 0.46 a | 5.35 ± 0.26 a | 5.29 ± 0.36 a | 5.43 ± 0.10 a | 5.41 ± 0.13 a | 5.60 ± 0.06 a | 4.32 ± 0.32 a | 5.51 ± 0.19 a | 5.39 ± 0.32 aB | |
| LM46 | 5.29 ± 0.22 b | 5.54 ± 0.18 b | 5.71 ± 0.12 ab | 5.64 ± 0.14 ab | 5.72 ± 0.24 ab | 5.63 ± 0.16 ab | 5.72 ± 0.11 ab | 5.84 ± 0.19 ab | 5.47 ± 0.26 b | 5.76 ± 0.12 ab | 5.98 ± 0.19 aB | |
| LM61 | 1/2c | 4.29 ± 0.33 b | 5.35 ± 0.15 ab | 5.52 ± 0.11 ab | 5.37 ± 0.18 ab | 5.48 ± 0.16 ab | 5.32 ± 0.21 ab | 5.40 ± 0.16 ab | 5.42 ± 0.08 ab | 5.31 ± 0.14 ab | 5.43 ± 0.16 ab | 5.63 ± 0.32 aB |
| LM79 * | 5.29 ± 0.34 b | 5.52 ± 0.11 b | 6.01 ± 0.12 ab | 6.14 ± 0.15 a | 6.15 ± 0.08 a | 6.05 ± 0.15 ab | 5.97 ± 0.08 ab | 6.09 ± 0.15 a | 6.00 ± 0.18 ab | 6.10 ± 0.10 a | 5.99 ± 0.02 abB | |
| LM86 | 5.96 ± 0.11 a | 5.71 ± 0.09 a | 6.04 ± 0.29 a | 6.00 ± 0.39 a | 5.87 ± 0.24 a | 5.87 ± 0.51 a | 5.98 ± 0.26 a | 6.14 ± 0.11 a | 5.77 ± 0.56 a | 5.90 ± 0.07 a | 6.00 ± 0.46 aAB |
References
- European Food Safety Authority; European Centre for Disease Prevention and Control. The European Union One Health 2020 Zoonoses Report. EFSA J. 2021, 19, e06971. [Google Scholar] [CrossRef] [PubMed]
- Bhunia, A.K. Foodborne Microbial Pathogens, Mechanisms and Pathogenesis; Springer: New York, NY, USA, 2018; ISBN 978-1-4939-7347-7. [Google Scholar]
- Ravindhiran, R.; Sivarajan, K.; Sekar, J.N.; Murugesan, R.; Dhandapani, K. Listeria monocytogenes an Emerging Pathogen: A Comprehensive Overview on Listeriosis, Virulence Determinants, Detection, and Anti-Listerial Interventions. Microb. Ecol. 2023, 86, 2231–2251. [Google Scholar] [CrossRef] [PubMed]
- Schardt, J.; Jones, G.; Müller-Herbst, S.; Schauer, K.; D’Orazio, S.E.F.; Fuchs, T.M. Comparison between Listeria sensu stricto and Listeria sensu lato Strains Identifies Novel Determinants Involved in Infection. Sci. Rep. 2017, 7, 17821. [Google Scholar] [CrossRef] [PubMed]
- Azari, S.; Johnson, L.J.; Webb, A.; Kozlowski, S.M.; Zhang, X.; Rood, K.; Amer, A.; Seveau, S. Hofbauer Cells Spread Listeria monocytogenes among Placental Cells and Undergo Pro-Inflammatory Reprogramming While Retaining Production of Tolerogenic Factors. mBio 2021, 12, 10-1128. [Google Scholar] [CrossRef]
- Farber, J.M.; Peterkin, P.I. Listeria monocytogenes, a Food-Borne Pathogen. Microbiol. Rev. 1991, 55, 476–511. [Google Scholar] [CrossRef]
- Shamloo, E.; Hosseini, H.; Moghadam, A.Z.; Larsen, H.M.; Haslberger, A.; Alebouyeh, M. Importance of Listeria monocytogenes in Food Safety: A Review of Its Prevalence, Detection, and Antibiotic Resistance. Iran. J. Vet. Res. 2019, 20, 241. [Google Scholar]
- Radoshevich, L.; Cossart, P. Listeria monocytogenes: Towards a Complete Picture of Its Physiology and Pathogenesis. Nat. Rev. Microbiol. 2018, 16, 32–46. [Google Scholar] [CrossRef]
- Bae, D.; Seo, K.S.; Zhang, T.; Wang, C. Characterization of a Potential Listeria monocytogenes Virulence Factor Associated with Attachment to Fresh Produce. Appl. Environ. Microbiol. 2013, 79, 6855. [Google Scholar] [CrossRef]
- Burkholder, K.M.; Bhunia, A.K. Listeria monocytogenes Uses Listeria Adhesion Protein (LAP) To Promote Bacterial Transepithelial Translocation and Induces Expression of LAP Receptor Hsp60. Infect. Immun. 2010, 78, 5062. [Google Scholar] [CrossRef]
- Sauer, J.-D.; Herskovits, A.A.; O’Riordan, M.X.D. Metabolism of the Gram-Positive Bacterial Pathogen Listeria monocytogenes. Microbiol. Spectr. 2019, 7. [Google Scholar] [CrossRef]
- Feltham, L.; Moran, J.; Goldrick, M.; Lord, E.; Spiller, D.G.; Cavet, J.S.; Muldoon, M.; Roberts, I.S.; Paszek, P. Bacterial Aggregation Facilitates Internalin-Mediated Invasion of Listeria monocytogenes. Front. Cell Infect. Microbiol. 2024, 14, 1411124. [Google Scholar] [CrossRef] [PubMed]
- Renzoni, A.; Cossart, P.; Dramsl, S. PrfA, the Transcriptional Activator of Virulence Genes, Is Upregulated during Interaction of Listeria monocytogenes with Mammalian Cells and in Eukaryotic Cell Extracts. Mol. Microbiol. 1999, 34, 552–561. [Google Scholar] [CrossRef]
- Alvarez, D.E.; Agaisse, H. The Metalloprotease Mpl Supports Listeria monocytogenes Dissemination through Resolution of Membrane Protrusions into Vacuoles. Infect. Immun. 2016, 84, 1806. [Google Scholar] [CrossRef] [PubMed]
- Koh, S.Y.; George, S.; Brözel, V.; Moxley, R.; Francis, D.; Kaushik, R.S. Porcine Intestinal Epithelial Cell Lines as a New in Vitro Model for Studying Adherence and Pathogenesis of Enterotoxigenic Escherichia coli. Vet. Microbiol. 2008, 130, 191–197. [Google Scholar] [CrossRef] [PubMed]
- Hascoët, A.S.; Ripolles-avila, C.; Cervantes-huamán, B.R.H.; Rodríguez-jerez, J.J. In Vitro Preformed Biofilms of Bacillus Safensis Inhibit the Adhesion and Subsequent Development of Listeria monocytogenes on Stainless-Steel Surfaces. Biomolecules 2021, 11, 475. [Google Scholar] [CrossRef]
- Dong, Q.; Lu, X.; Gao, B.; Liu, Y.; Aslam, M.Z.; Wang, X.; Li, Z. Lactiplantibacillus Plantarum Subsp. Plantarum and Fructooligosaccharides Combination Inhibits the Growth, Adhesion, Invasion, and Virulence of Listeria monocytogenes. Foods 2022, 11, 170. [Google Scholar] [CrossRef]
- Becattini, S.; Pamer, E.G. Multifaceted Defense against Listeria monocytogenes in the Gastro-Intestinal Lumen. Pathogens 2017, 7, 1. [Google Scholar] [CrossRef]
- Gibson, G.R.; Hutkins, R.; Sanders, M.E.; Prescott, S.L.; Reimer, R.A.; Salminen, S.J.; Scott, K.; Stanton, C.; Swanson, K.S.; Cani, P.D.; et al. Expert Consensus Document: The International Scientific Association for Probiotics and Prebiotics (ISAPP) Consensus Statement on the Definition and Scope of Prebiotics. Nat. Rev. Gastroenterol. Hepatol. 2017, 14, 491–502. [Google Scholar] [CrossRef]
- Kupfahl, C.; Geginat, G.; Hof, H. Lentinan Has a Stimulatory Effect on Innate and Adaptive Immunity against Murine Listeria monocytogenes Infection. Int. Immunopharmacol. 2006, 6, 686–696. [Google Scholar] [CrossRef]
- Tlaskalová-Hogenová, H.; Štěpánková, R.; Hudcovic, T.; Tučková, L.; Cukrowska, B.; Lodinová-Žádníková, R.; Kozáková, H.; Rossmann, P.; Bártová, J.; Sokol, D.; et al. Commensal Bacteria (Normal Microflora), Mucosal Immunity and Chronic Inflammatory and Autoimmune Diseases. Immunol. Lett. 2004, 93, 97–108. [Google Scholar] [CrossRef]
- de Souza, V.R.; Menezes, C.C.; Cunha, L.R.; Pereira, P.A.P.; Pinto, U.M. Prebiotics: Technological Aspects and Human Health. In Probiotics and Prebiotics: Current Research and Future Trends; Caister Academic Press: Wymondham, NR, USA, 2015; pp. 275–288. [Google Scholar] [CrossRef]
- Roberfroid, M.; Gibson, G.R.; Hoyles, L.; McCartney, A.L.; Rastall, R.; Rowland, I.; Wolvers, D.; Watzl, B.; Szajewska, H.; Stahl, B.; et al. Prebiotic Effects: Metabolic and Health Benefits. Br. J. Nutr. 2010, 104 (Suppl. S2), S1–S63. [Google Scholar] [CrossRef] [PubMed]
- Kong, C.; de Jong, A.; de Haan, B.J.; Kok, J.; de Vos, P. Human Milk Oligosaccharides and Non-Digestible Carbohydrates Reduce Pathogen Adhesion to Intestinal Epithelial Cells by Decoy Effects or by Attenuating Bacterial Virulence. Food Res. Int. 2022, 151, 110867. [Google Scholar] [CrossRef] [PubMed]
- Monteagudo-Mera, A.; Rastall, R.A.; Gibson, G.R.; Charalampopoulos, D.; Chatzifragkou, A. Adhesion Mechanisms Mediated by Probiotics and Prebiotics and Their Potential Impact on Human Health. Appl. Microbiol. Biotechnol. 2019, 103, 6463. [Google Scholar] [CrossRef] [PubMed]
- Shoaf, K.; Mulvey, G.L.; Armstrong, G.D.; Hutkins, R.W. Prebiotic Galactooligosaccharides Reduce Adherence of Enteropathogenic Escherichia coli to Tissue Culture Cells. Infect. Immun. 2006, 74, 6920–6928. [Google Scholar] [CrossRef]
- Ebersbach, T.; Andersen, J.B.; Bergström, A.; Hutkins, R.W.; Licht, T.R. Xylo-Oligosaccharides Inhibit Pathogen Adhesion to Enterocytes In Vitro. Res. Microbiol. 2012, 163, 22–27. [Google Scholar] [CrossRef]
- Gibson, G.R.; Probert, H.M.; Van Loo, J.; Rastall, R.A.; Roberfroid, M.B. Dietary Modulation of the Human Colonic Microbiota: Updating the Concept of Prebiotics. Nutr. Res. Rev. 2004, 17, 259–275. [Google Scholar] [CrossRef]
- Pujari, R.; Banerjee, G. Impact of Prebiotics on Immune Response: From the Bench to the Clinic. Immunol. Cell Biol. 2021, 99, 255–273. [Google Scholar] [CrossRef]
- Moroni, O.; Kheadr, E.; Boutin, Y.; Lacroix, C.; Fliss, I. Inactivation of Adhesion and Invasion of Food-Borne Listeria monocytogenes by Bacteriocin-Producing Bifidobacterium Strains of Human Origin. Appl. Environ. Microbiol. 2006, 72, 6894–6901. [Google Scholar] [CrossRef]
- Poimenidou, S.V.; Skarveli, A.; Saxami, G.; Mitsou, E.K.; Kotsou, M.; Kyriacou, A. Inhibition of Listeria monocytogenes Growth, Adherence and Invasion in Caco-2 Cells by Potential Probiotic Lactic Acid Bacteria Isolated from Fecal Samples of Healthy Neonates. Microorganisms 2023, 11, 363. [Google Scholar] [CrossRef]
- Garriga, M.; Rubio, R.; Aymerich, T.; Ruas-Madiedo, P. Potentially Probiotic and Bioprotective Lactic Acid Bacteria Starter Cultures Antagonise the Listeria monocytogenes Adhesion to HT29 Colonocyte-like Cells. Benef. Microbes 2015, 6, 337–343. [Google Scholar] [CrossRef]
- Chen, P.; Reiter, T.; Huang, B.; Kong, N.; Weimer, B.C. Prebiotic Oligosaccharides Potentiate Host Protective Responses Against L. monocytogenes Infection. Pathogens 2017, 6, 68. [Google Scholar] [CrossRef]
- Kodešová, T.; Mašlejová, A.; Vlková, E.; Musilová, Š.; Horváthová, K.; Salmonová, H.Š. In Vitro Utilization of Prebiotics by Listeria monocytogenes. Microorganisms 2024, 12, 1876. [Google Scholar] [CrossRef]
- ISO 11290-1:2017; Microbiology of the Food Chain—Horizontal Method for the Detection and Enumeration of Listeria monocytogenes and of Listeria Spp.—Part 1: Detection Method. International Organization for Standardization (ISO): Geneva, Switzerland. Available online: https://www.iso.org/standard/60313.html (accessed on 6 September 2024).
- Weisburg, W.G.; Barns, S.M.; Pelletier, D.A.; Lane, D.J. 16S Ribosomal DNA Amplification for Phylogenetic Study. J. Bacteriol. 1991, 173, 697–703. [Google Scholar] [CrossRef] [PubMed]
- McGinnis, S.; Madden, T.L. BLAST: At the Core of a Powerful and Diverse Set of Sequence Analysis Tools. Nucleic Acids Res. 2004, 32, W20–W25. [Google Scholar] [CrossRef] [PubMed]
- Yoon, S.H.; Ha, S.M.; Kwon, S.; Lim, J.; Kim, Y.; Seo, H.; Chun, J. Introducing EzBioCloud: A Taxonomically United Database of 16S RRNA Gene Sequences and Whole-Genome Assemblies. Int. J. Syst. Evol. Microbiol. 2017, 67, 1613–1617. [Google Scholar] [CrossRef]
- Liu, D.; Lawrence, M.L.; Austin, F.W.; Ainsworth, A.J. A Multiplex PCR for Species- and Virulence-Specific Determination of Listeria monocytogenes. J. Microbiol. Methods 2007, 71, 133–140. [Google Scholar] [CrossRef] [PubMed]
- Furrer, B.; Candrian, U.; Hoefelein, C.; Luethy, J. Detection and Identification of Listeria monocytogenes in Cooked Sausage Products and in Milk by In Vitro Amplification of Haemolysin Gene Fragments. J. Appl. Bacteriol. 1991, 70, 372–379. [Google Scholar] [CrossRef]
- Zhang, W.; Knabel, S.J. Multiplex PCR Assay Simplifies Serotyping and Sequence Typing of Listeria monocytogenes Associated with Human Outbreaks. J. Food Prot. 2005, 68, 1907–1910. [Google Scholar] [CrossRef]
- Rockova, S.; Nevoral, J.; Rada, V.; Marsik, P.; Sklenar, J.; Hinkova, A.; Vlkova, E.; Marounek, M. Factors Affecting the Growth of Bifidobacteria in Human Milk. Int. Dairy. J. 2011, 21, 504–508. [Google Scholar] [CrossRef]
- Musilova, S.; Modrackova, N.; Doskocil, I.; Svejstil, R.; Rada, V. Influence of Human Milk Oligosaccharides on Adherence of Bifidobacteria and Clostridia to Cell Lines. Acta Microbiol. Immunol. Hung. 2017, 64, 415–422. [Google Scholar] [CrossRef][Green Version]
- Davani-Davari, D.; Negahdaripour, M.; Karimzadeh, I.; Seifan, M.; Mohkam, M.; Masoumi, S.J.; Berenjian, A.; Ghasemi, Y. Prebiotics: Definition, Types, Sources, Mechanisms, and Clinical Applications. Foods 2019, 8, 92. [Google Scholar] [CrossRef] [PubMed]
- Vetvicka, V.; Vannucci, L.; Sima, P.; Richter, J. Beta Glucan: Supplement or Drug? From Laboratory to Clinical Trials. Molecules 2019, 24, 1251. [Google Scholar] [CrossRef] [PubMed]
- Bai, Y.P.; Zhou, H.M.; Zhu, K.R.; Li, Q. Effect of Thermal Processing on the Molecular, Structural, and Antioxidant Characteristics of Highland Barley β-Glucan. Carbohydr. Polym. 2021, 271, 118416. [Google Scholar] [CrossRef] [PubMed]
- Zhao, Y.; Zhou, H.M.; Huang, Z.H.; Zhao, R.Y. Different Aggregation States of Barley β-Glucan Molecules Affects Their Solution Behavior: A Comparative Analysis. Food Hydrocoll. 2020, 101, 105543. [Google Scholar] [CrossRef]
- Letourneau, J.; Levesque, C.; Berthiaume, F.; Jacques, M.; Mourez, M. In Vitro Assay of Bacterial Adhesion onto Mammalian Epithelial Cells. J. Vis. Exp. 2011, 51, e2783. [Google Scholar] [CrossRef]
- Kushwaha, K.; Muriana, P.M. Comparison of Invasiveness Among Surface-Adherent Variants of Listeria monocytogenes in Caco-2 Cell Culture Assays. Int. J. Food Microbiol. 2010, 138, 166–171. [Google Scholar] [CrossRef]
- Yamada, F.; Ueda, F.; Ochiai, Y.; Mochizuki, M.; Shoji, H.; Ogawa-Goto, K.; Sata, T.; Ogasawara, K.; Fujima, A.; Hondo, R. Invasion Assay of Listeria monocytogenes Using Vero and Caco-2 Cells. J. Microbiol. Methods 2006, 66, 96–103. [Google Scholar] [CrossRef]
- Preter, V.D.; Verbeke, K. Functional Aspects of Prebiotics and the Impact on Human Health. In Probiotics and Prebiotics: Current Research and Future Trends; Caister Academic Press: Wymondham, NR, USA, 2015; pp. 13–26. [Google Scholar] [CrossRef]
- Kaur, A.P.; Bhardwaj, S.; Dhanjal, D.S.; Nepovimova, E.; Cruz-martins, N.; Kuča, K.; Chopra, C.; Singh, R.; Kumar, H.; Șen, F.; et al. Plant Prebiotics and Their Role in the Amelioration of Diseases. Biomolecules 2021, 11, 440. [Google Scholar] [CrossRef]
- Cao, T.N.; Joyet, P.; Ake, F.M.D.; Milohanic, E.; Deutscher, J. Studies of the Listeria monocytogenes Cellobiose Transport Components and Their Impact on Virulence Gene Repression. J. Mol. Microbiol. Biotechnol. 2019, 29, 10–26. [Google Scholar] [CrossRef]
- Park, S.F.; Kroll, R.G. Expression of Listeriolysin and Phosphatidylinositol-Specific Phospholipase C Is Repressed by the Plant-Derived Molecule Cellobiose in Listeria monocytogenes. Mol. Microbiol. 1993, 8, 653–661. [Google Scholar] [CrossRef]
- Laparra, J.M.; Sanz, Y. Comparison of in Vitro Models to Study Bacterial Adhesion to the Intestinal Epithelium. Lett. Appl. Microbiol. 2009, 49, 695–701. [Google Scholar] [CrossRef]
- Jaradat, Z.W.; Bhunia, A.K. Adhesion, Invasion, and Translocation Characteristics of Listeria monocytogenes Serotypes in Caco-2 Cell and Mouse Models. Appl. Environ. Microbiol. 2003, 69, 3640–3645, Correction in Appl. Environ. Microbiol. 2003, 69, 5736. [Google Scholar] [CrossRef]
- Jaradat, Z.W.; Bhunia, A.K. Glucose and Nutrient Concentrations Affect the Expression of a 104-Kilodalton Listeria Adhesion Protein in Listeria monocytogenes. Appl. Environ. Microbiol. 2002, 68, 4876–4883. [Google Scholar] [CrossRef]
- Li, W.; Yajima, T.; Saito, K.; Nishimura, H.; Fushimi, T.; Ohshima, Y.; Tsukamoto, Y.; Yoshikai, Y. Immunostimulating Properties of Intragastrically Administered Acetobacter-Derived Soluble Branched (1,4)-β-D-Glucans Decrease Murine Susceptibility to Listeria monocytogenes. Infect. Immun. 2004, 72, 7005–7011. [Google Scholar] [CrossRef]
- Torello, C.O.; De Souza Queiroz, J.; Oliveira, S.C.; Queiroz, M.L.S. Immunohematopoietic Modulation by Oral β-1,3-Glucan in Mice Infected with Listeria monocytogenes. Int. Immunopharmacol. 2010, 10, 1573–1579. [Google Scholar] [CrossRef]
- Tan, M.S.F.; Rahman, S.; Dykes, G.A. Pectin and Xyloglucan Influence the Attachment of Salmonella enterica and Listeria monocytogenes to Bacterial Cellulose-Derived Plant Cell Wall Models. Appl. Environ. Microbiol. 2016, 82, 680–688. [Google Scholar] [CrossRef] [PubMed]
- Tan, M.S.F.; Wang, Y.; Dykes, G.A. Attachment of Bacterial Pathogens to a Bacterial Cellulose-Derived Plant Cell Wall Model: A Proof of Concept. Foodborne Pathog. Dis. 2013, 10, 992–994. [Google Scholar] [CrossRef] [PubMed]
- Alwan, A.; Deignan, T.; O’Sullivan, M.; Kelly, J.; O’Farrelly, C. Quantitative Assay of Salmonella Adherence to Intestinal Epithelial Cells: A New Method for Assessing Novel Intervention Products. J. Microbiol. Methods 1998, 33, 163–170. [Google Scholar] [CrossRef]
- Rada, V.; Nevoral, J.; Trojanová, I.; Tománková, E.; Šmehilová, M.; Killer, J. Growth of Infant Faecal Bifidobacteria and Clostridia on Prebiotic Oligosaccharides in In Vitro Conditions. Anaerobe 2008, 14, 205–208. [Google Scholar] [CrossRef]
- Soccol, C.R.; Porto De Souza Vandenberghe, L.; Spier, M.R.; Bianchi, A.; Medeiros, P.; Yamaguishi, C.T.; De, J.; Lindner, D.; Pandey, A.; Thomaz-Soccol, V. The Potential of Probiotics: A Review. Food Technol. Biotechnol. 2010, 48, 413–434. [Google Scholar]
- Uyeno, Y.; Shigemori, S.; Shimosato, T. Effect of Probiotics/Prebiotics on Cattle Health and Productivity. Microbes Environ. 2015, 30, 126. [Google Scholar] [CrossRef]
- Musilova, S.; Rada, V.; Vlkova, E.; Bunesova, V. Beneficial Effects of Human Milk Oligosaccharides on Gut Microbiota. Benef. Microbes 2014, 5, 273–283. [Google Scholar] [CrossRef]
- Den Besten, G.; Van Eunen, K.; Groen, A.K.; Venema, K.; Reijngoud, D.J.; Bakker, B.M. The Role of Short-Chain Fatty Acids in the Interplay Between Diet, Gut Microbiota, and Host Energy Metabolism. J. Lipid Res. 2013, 54, 2325. [Google Scholar] [CrossRef]
- Ramos, O.S.; Malcata, F.X. Food-Grade Enzymes. In Comprehensive Biotechnology, 2nd ed.; Academic Press: New York, NY, USA, 2011; Volume 3, pp. 555–569. [Google Scholar] [CrossRef]
- Romick, T.L.; Fleming, H.P.; Mcfeeters, R.F. Aerobic and Anaerobic Metabolism of Listeria monocytogenes in Defined Glucose Medium. Appl. Environ. Microbiol. 1996, 62, 304–307. [Google Scholar] [CrossRef]
- Kunová, G.; Rada, V.; Lisová, I.; Ročková, Š.; Vlková, E. In Vitro Fermentability of Prebiotic Oligosaccharides by Lactobacilli. Czech J. Food Sci. 2011, 29, 49–54. [Google Scholar] [CrossRef]





| Sample | Accession No. | Serotype | Origin |
|---|---|---|---|
| LM1 | OR725603 | 4b | salami (Vysočina) |
| LM22 | OR725606 | 4b | sausages (Spišské) |
| LM41 | OR725608 | 4b | raw beef meat (steak tartare) |
| LM11 | OR725605 | 1/2b | smear of a work surface within the food industry |
| LM36 | OR725607 | 1/2b | tee sausage |
| LM46 | OR725609 | 1/2b | smear of a work surface within the food industry |
| LM6 | OR725604 | 1/2a | cheese-stuffed pickled peppers in oil |
| LM51 | OR725610 | 1/2a | vegetarian burger |
| LM56 | OR725611 | 1/2a | raw beef meat (steak tartare) |
| LM61 | OR725612 | 1/2c | raw minced and mixed beef and pork meat |
| LM79 | OR725613 | 1/2c | vegetarian minced meat |
| LM86 | OR725614 | 1/2c | raw pork meat (steak tartare, Cibuláček) |
Disclaimer/Publisher’s Note: The statements, opinions and data contained in all publications are solely those of the individual author(s) and contributor(s) and not of MDPI and/or the editor(s). MDPI and/or the editor(s) disclaim responsibility for any injury to people or property resulting from any ideas, methods, instructions or products referred to in the content. |
© 2025 by the authors. Licensee MDPI, Basel, Switzerland. This article is an open access article distributed under the terms and conditions of the Creative Commons Attribution (CC BY) license (https://creativecommons.org/licenses/by/4.0/).
Share and Cite
Kodešová, T.; Doskočil, I.; Vlková, E.; Šubrtová Salmonová, H. Effect of Different Prebiotic Saccharides on Listeria monocytogenes Adherence to Human Adenocarcinoma Caco-2 Cell Line. Curr. Issues Mol. Biol. 2025, 47, 891. https://doi.org/10.3390/cimb47110891
Kodešová T, Doskočil I, Vlková E, Šubrtová Salmonová H. Effect of Different Prebiotic Saccharides on Listeria monocytogenes Adherence to Human Adenocarcinoma Caco-2 Cell Line. Current Issues in Molecular Biology. 2025; 47(11):891. https://doi.org/10.3390/cimb47110891
Chicago/Turabian StyleKodešová, Tereza, Ivo Doskočil, Eva Vlková, and Hana Šubrtová Salmonová. 2025. "Effect of Different Prebiotic Saccharides on Listeria monocytogenes Adherence to Human Adenocarcinoma Caco-2 Cell Line" Current Issues in Molecular Biology 47, no. 11: 891. https://doi.org/10.3390/cimb47110891
APA StyleKodešová, T., Doskočil, I., Vlková, E., & Šubrtová Salmonová, H. (2025). Effect of Different Prebiotic Saccharides on Listeria monocytogenes Adherence to Human Adenocarcinoma Caco-2 Cell Line. Current Issues in Molecular Biology, 47(11), 891. https://doi.org/10.3390/cimb47110891

