Sign in to use this feature.

Years

Between: -

Subjects

remove_circle_outline
remove_circle_outline
remove_circle_outline
remove_circle_outline
remove_circle_outline
remove_circle_outline
remove_circle_outline
remove_circle_outline
remove_circle_outline

Journals

Article Types

Countries / Regions

remove_circle_outline
remove_circle_outline
remove_circle_outline

Search Results (186)

Search Parameters:
Keywords = milk classification

Order results
Result details
Results per page
Select all
Export citation of selected articles as:
24 pages, 1043 KB  
Article
Rationale, Design, and Participant Baseline Characteristics of a Parallel Randomized Trial of the Effect of Replacing SSBs with Cow’s Milk Versus Soymilk on Intrahepatocellular Lipid and Other Cardiometabolic Risk Factors in Adults with Obesity Who Consume Sugar-Sweetened Beverages: The Soy Treatment Evaluation for Metabolic health (STEM) Trial
by Madeline N. Erlich, Diana Ghidanac, Sonia Blanco Mejia, Sabrina Ayoub-Charette, Claudia Vittes Combe, Tauseef A. Khan, Devina Ramdath, Heather Crewson, Amanda Beck, Constança Silva, D. Dan Ramdath, Adam H. Metherel, Lawrence A. Leiter, Richard P. Bazinet, Cyril W. C. Kendall, David J. A. Jenkins, Laura Chiavaroli and John L. Sievenpiper
Nutrients 2026, 18(7), 1026; https://doi.org/10.3390/nu18071026 (registering DOI) - 24 Mar 2026
Abstract
Background/Objectives: Liver fat represents an early metabolic lesion in the development of diabetes and its cardiometabolic complications. Diets high in free sugars, particularly from sugar-sweetened beverages (SSBs), are associated with abdominal obesity and increased cardiometabolic risk, prompting global guidelines to limit SSBs [...] Read more.
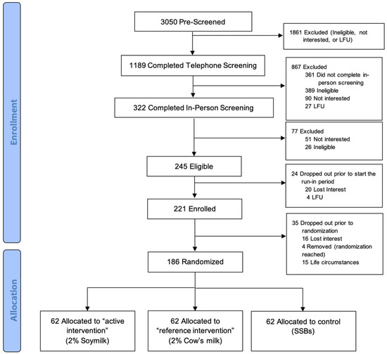
Background/Objectives: Liver fat represents an early metabolic lesion in the development of diabetes and its cardiometabolic complications. Diets high in free sugars, particularly from sugar-sweetened beverages (SSBs), are associated with abdominal obesity and increased cardiometabolic risk, prompting global guidelines to limit SSBs as a major public health strategy. Low-fat cow’s milk is promoted as the preferred caloric replacement strategy for SSBs due to its high nutritional value and cardiometabolic advantages. Fortified soymilk is a plant-based alternative with approved health claims for cholesterol and coronary heart disease risk reduction that offers an equivalent nutritional value to cow’s milk. However, given concerns about its classification as an ultra-processed food (UPF), it is unclear whether soymilk offers comparable metabolic health benefits to milk as part of clinical and public health strategies to reduce SSB intake. The Soy Treatment Evaluation for Metabolic (STEM) health trial seeks to evaluate the impact of replacing SSBs with either 2% soymilk or 2% cow’s milk on liver fat and other cardiometabolic risk factors in habitual adult consumers of SSBs with obesity. Methods: The STEM trial is a 24-week, pragmatic, 3-arm, parallel, randomized trial. We recruited adults with obesity (high BMI plus high waist circumference based on ethnic specific cut-offs) consuming ≥1 SSB/day. Participants were randomized to one of three groups based on their usual SSB intake at baseline (servings/day): continued SSB (355 mL can) intake; replacement with fortified, sweetened 2% soymilk (250 mL); or replacement with 2% cow’s milk (250 mL). The primary outcome is the change in intrahepatocellular lipid (IHCL) measured by 1H-MRS at 24 weeks. Hierarchical testing will be done to reduce the familywise error rate. The superiority of cow’s milk to SSBs will be assessed first to establish assay sensitivity. If superiority is established, then the non-inferiority of soymilk to cow’s milk will be assessed using a pre-specified non-inferiority margin of 1.5% IHCL units (assessed by difference of means using a 90% confidence interval [CI]). Analyses will be conducted according to the intention-to-treat (ITT) principle using inverse probability weighting (IPW) for superiority testing and per-protocol analyses for non-inferiority testing, using ANCOVA adjusted for age, sex, metabolic dysfunction-associated steatotic liver disease (MASLD) status, medication use, intervention dose, and baseline levels. We hypothesize that soymilk will be non-inferior to cow’s milk (Clinicaltrials.gov NCT05191160). Results: Recruitment began in November 2021. A total of 3050 individuals were screened. We randomized 186 participants (62 per group) between 19 April 2022 and 16 April 2024. Participants are 57% male; with a mean [SD] age of 39.9 [11.8] years; BMI of 34.6 [6.1] kg/m2, waist circumference of 112.6 [13.8] cm; IHCL of 10.0 [8.2] % with 64.1% meeting the criteria for MASLD; and SSBs intake of 2.3 [1.3] servings/day. Conclusions: Baseline characteristics were balanced across the study arms, with participants representing adults with a high-risk metabolic phenotype, and 64.1% meeting the criteria for MASLD. Findings will contribute to evidence on the cardiometabolic benefits of soymilk, informing clinical practice guidelines and public health policy. Full article
(This article belongs to the Special Issue Dietary Patterns, Lipid Metabolism and Fatty Liver Disease)
Show Figures

Figure 1

17 pages, 3154 KB  
Article
Embedded MOX-Based Volatilomic Sensing for Real-Time Classification of Plant-Based Milk Beverages
by Elisabetta Poeta, Veronica Sberveglieri and Estefanía Núñez-Carmona
Sensors 2026, 26(6), 1976; https://doi.org/10.3390/s26061976 - 21 Mar 2026
Viewed by 104
Abstract
The increasing diffusion of plant-based milk alternatives poses new challenges at the intersection of food safety and consumer experience, particularly regarding allergen cross-contamination and beverage performance during preparation. Traditional quality control strategies are typically confined to upstream production stages and are unable to [...] Read more.
The increasing diffusion of plant-based milk alternatives poses new challenges at the intersection of food safety and consumer experience, particularly regarding allergen cross-contamination and beverage performance during preparation. Traditional quality control strategies are typically confined to upstream production stages and are unable to address individualized risks and sensory variability at the point of consumption. In this study, we propose an embedded volatilomic sensing approach that combines metal oxide semiconductor (MOX) sensor arrays with lightweight artificial intelligence algorithms to enable real-time, on-device decision-making. The volatilome of four commercially available plant-based milk beverages (oat, almond, soy, and coconut) was characterized using GC–MS/SPME as a reference method, while a MOX-based electronic nose provided rapid, non-destructive sensing of volatile fingerprints. Linear Discriminant Analysis demonstrated clear discrimination among beverage types based on their volatile signatures, supporting the use of MOX sensor arrays as functional descriptors of compositional identity and process-related variability. Beyond beverage classification, the proposed framework is designed to support future implementation of (i) screening for anomalous volatilomic patterns potentially compatible with accidental cow’s milk carryover in shared preparation settings and (ii) adaptive tuning of preparation parameters (e.g., foaming-related settings) in smart beverage systems. The results highlight the role of embedded volatilomic intelligence as a unifying layer between personalized risk-aware screening and sensory-oriented process control, paving the way for intelligent food-processing appliances capable of autonomous, real-time adaptation at the point of consumption. Full article
Show Figures

Figure 1

17 pages, 1830 KB  
Article
Multi-Modal Data Fusion for Quality Discrimination and Flavor Analysis of Commercial Oat Milk
by Leheng Jiang, Yuhao Cheng, Qiao Sun, Xiaoming Guo, Xiuping Dong, Yizhen Huang and Xiaojing Leng
Foods 2026, 15(5), 936; https://doi.org/10.3390/foods15050936 - 7 Mar 2026
Viewed by 275
Abstract
In this study, 10 popular commercial oat milk samples were analyzed for sensory quality and flavor chemistry using the Ideal Profile Method (IPM), electronic nose (E-nose), and gas chromatography-mass spectrometry (GC-MS). Based on consumer cognitive mapping of ideal products, samples were classified into [...] Read more.
In this study, 10 popular commercial oat milk samples were analyzed for sensory quality and flavor chemistry using the Ideal Profile Method (IPM), electronic nose (E-nose), and gas chromatography-mass spectrometry (GC-MS). Based on consumer cognitive mapping of ideal products, samples were classified into “Ideal-like” and “Ideal-exceeding” categories. Ideal-like products exhibited light white appearance, pronounced oatiness, moderate sweetness and burntness, and low graininess, presenting a balanced flavor profile, whereas Ideal-exceeding samples surpassed consumer expectations in sweetness or graininess intensity, delivering stronger sensory stimulation. Furthermore, sensory differentiation among categories primarily stemmed from synergistic effects of lipid oxidation levels (e.g., 3,5-octadien-2-one) and physical stability (fiber and protein content affecting particle size distribution). This classification framework reveals that ideal sensory quality can be achieved through diverse physicochemical pathways in commercial oat milk, providing theoretical guidance for product formulation optimization and quality standardization. Full article
Show Figures

Graphical abstract

14 pages, 693 KB  
Article
Associations of Blood Lactate Dehydrogenase Activity with Blood Biochemical and Automated Milk Monitoring Parameters in Early-Lactation Dairy Cows
by Akvilė Girdauskaitė, Samanta Grigė, Inga Sabeckienė, Karina Džermeikaitė, Justina Krištolaitytė, Zoja Miknienė, Mindaugas Televičius, Lina Anskienė, Dovilė Malašauskienė and Ramūnas Antanaitis
Agriculture 2026, 16(5), 502; https://doi.org/10.3390/agriculture16050502 - 25 Feb 2026
Viewed by 418
Abstract
Lactate dehydrogenase (LDH) is widely used as a nonspecific marker of tissue damage and cellular turnover and has been associated with metabolic and inflammatory processes, but its relationship with automated monitoring data and blood biochemical indicators in early-lactation dairy cows is still not [...] Read more.
Lactate dehydrogenase (LDH) is widely used as a nonspecific marker of tissue damage and cellular turnover and has been associated with metabolic and inflammatory processes, but its relationship with automated monitoring data and blood biochemical indicators in early-lactation dairy cows is still not well described. The aim of this study was to evaluate associations between LDH activity, blood biochemical parameters, and automated monitoring indicators in early-lactation Holstein cows. A total of 91 clinically healthy cows were classified into two groups according to LDH activity: Group 1 (LDH < 1364 U/L; n = 53) and Group 2 (LDH ≥ 1364 U/L; n = 38). Blood samples were collected once per cow during early lactation, whereas automated monitoring parameters were continuously recorded and daily averages corresponding to the sampling day were used for analysis. Cows with higher LDH activity had significantly higher aspartate aminotransferase (AST) activity and moderate increases in albumin (ALB), creatinine (CREA), gamma-glutamyl transferase (GGT), calcium (Ca), phosphorus (PHOS), and iron (Fe). Correlation analysis showed a strong positive association between LDH and AST (r = 0.799, p < 0.001), while moderate positive correlations were observed with ALB, alanine aminotransferase (ALT), CREA, Ca, GGT, Fe, and PHOS. Receiver operating characteristic (ROC) analysis showed the best discrimination ability for AST, while CREA, ALB, Fe, PHOS, Ca, and GGT showed moderate classification performance. Automated monitoring parameters did not differ significantly between groups; however, cows with higher LDH activity tended to show lower rumination time together with higher milk electrical conductivity, higher milk yield, higher fat-to-protein ratio (FPR), and higher somatic cell count (SCC). Overall, the results indicate that LDH is more closely related to systemic biochemical variation than to immediate changes in production or behavioral indicators, and support the use of biochemical markers together with automated monitoring data when evaluating physiological adaptation during early lactation. Full article
(This article belongs to the Section Farm Animal Production)
Show Figures

Figure 1

15 pages, 1233 KB  
Article
Ultra-Processed Food Consumption Among Caregivers and Children in the “Happy Smile” Project: Associations with Family Dietary Patterns and Periodontal Health-Related Quality of Life
by Vitor Hugo Gonçalves Sampaio, Guilherme Assumpção Silva, Amanda Rodrigues Araújo, Ana Laura Gavaldão Santana Moreira, Letícia Helena Theodoro, Alessandra Marcondes Aranega, Cristina Antoniali Silva and Daniela Atili Brandini
Nutrients 2026, 18(4), 678; https://doi.org/10.3390/nu18040678 - 19 Feb 2026
Viewed by 481
Abstract
Background/Objectives: The consumption of ultra-processed foods (UPFs) has increased markedly in recent decades and has been associated with adverse health outcomes. In childhood, the family environment plays a central role in shaping dietary habits and oral health behaviors. This study investigated the association [...] Read more.
Background/Objectives: The consumption of ultra-processed foods (UPFs) has increased markedly in recent decades and has been associated with adverse health outcomes. In childhood, the family environment plays a central role in shaping dietary habits and oral health behaviors. This study investigated the association between UPF consumption by caregivers and children, its relationship with caregivers’ periodontal health-related quality of life, and described children’s dietary practices and oral hygiene habits. Methods: This cross-sectional study was conducted with caregivers of children participating in the Happy Smile Project in Birigui, São Paulo, Brazil. UPF consumption was assessed using a questionnaire based on the NOVA classification, and periodontal health-related quality of life was evaluated using the OHIP-14-PD. Results: A high frequency of UPF consumption was observed among both caregivers and children. Children whose caregivers had high UPF consumption were more likely to also present high consumption (OR = 9.96; 95% CI: 5.38–18.44; p < 0.001). Higher caregiver education was associated with lower odds of high UPF consumption among children. Children in the high-consumption group were older and showed higher consumption of sweetened milk beverages (p < 0.001). Risk behaviors for oral health, such as nighttime use of sweetened bottles and absence of toothbrushing afterward, were frequently reported. Regarding periodontal health-related quality of life, only the physical disability domain showed significantly higher scores among caregivers with high UPF consumption (p = 0.014). Conclusions: This study demonstrated that high consumption of ultra-processed foods by caregivers significantly increased the odds of children’s consumption and was associated with a greater negative impact on caregivers’ periodontal health-related quality of life, specifically in the physical disability domain. In addition, children exhibited a high frequency of oral health-damaging behaviors. These findings highlight the importance of family-centered strategies aimed at reducing the intake of ultra-processed foods and promoting healthier dietary and oral health behaviors. Full article
(This article belongs to the Special Issue Ultra-Processed Foods, Dietary Quality and Human Health)
Show Figures

Figure 1

23 pages, 2643 KB  
Article
Data-Driven Soft Sensing for Raw Milk Ethanol Stability Prediction
by Song Shen, Xiaodong Song, Haohan Ding, Xiaohui Cui, Zhenqi Xie, Huadi Huang and Guanjun Dong
Sensors 2026, 26(3), 903; https://doi.org/10.3390/s26030903 - 30 Jan 2026
Viewed by 321
Abstract
Ethanol stability is an important indicator for evaluating the quality and heat-processing suitability of raw milk. Traditional ethanol stability testing relies on destructive laboratory procedures, which are not suitable for large-scale industrial use. In contrast, parameters such as protein, fat, lactose and other [...] Read more.
Ethanol stability is an important indicator for evaluating the quality and heat-processing suitability of raw milk. Traditional ethanol stability testing relies on destructive laboratory procedures, which are not suitable for large-scale industrial use. In contrast, parameters such as protein, fat, lactose and other basic compositional indicators are already measured routinely in dairy plants through sensor-based or spectroscopic systems. This provides the basis for developing a non-destructive soft sensing approach for ethanol stability. In this study, a soft sensing model was developed to predict ethanol stability from commonly monitored raw-milk intake indicators. An autoencoder was used to examine feature correlations and select variables with stronger relevance to ethanol stability. TabNet was then applied to build the classification model, and a TabDDPM-based data generation method was introduced to address class imbalance in the dataset. The proposed model was trained and tested using three years of industrial raw-milk intake data from a dairy company. It achieved an accuracy of 92.57% and a recall of 90.26% for identifying ethanol-unstable samples. These results demonstrate the model’s strong potential for practical engineering applications in real-world dairy quality monitoring. Full article
(This article belongs to the Special Issue Tomographic and Multi-Dimensional Sensors)
Show Figures

Figure 1

17 pages, 2564 KB  
Article
Exploring the Use of Spectral Technologies in Ovine Milk Analysis: A Preliminary Study
by Aikaterini-Artemis Agiomavriti, Olympiada Saharidi, Aikaterini Vasilaki, Stavroula Koulouvakou, Efstratios Nikolaou, Theodora Papadimitriou, Thomas Bartzanas, Nikos Chorianopoulos and Athanasios I. Gelasakis
Spectrosc. J. 2026, 4(1), 2; https://doi.org/10.3390/spectroscj4010002 - 30 Jan 2026
Viewed by 320
Abstract
The purpose of this study was to examine the use of portable spectroscopy technologies for rapid milk composition and hygiene quality assessment in ovine milk. Two portable analyzers, namely SmartAnalysis (UV/Vis absorbance) and SpectraPod (NIR transmittance), were used to obtain spectral data of [...] Read more.
The purpose of this study was to examine the use of portable spectroscopy technologies for rapid milk composition and hygiene quality assessment in ovine milk. Two portable analyzers, namely SmartAnalysis (UV/Vis absorbance) and SpectraPod (NIR transmittance), were used to obtain spectral data of raw milk samples. Additionally, reference values of the milk’s compositional, physical, and hygienic traits were measured. Machine learning algorithms were used to explore the correlations between spectral data and milk traits. The initial results indicated a promising potential of utilizing spectral technologies to predict milk quality and hygienic parameters. Regression models presented a moderate predictive accuracy, with R2 values between 0.55 and 0.34, respectively, regarding fat (RF-NIR) and protein (LR-UV/Vis). Classification models indicated high accuracy for hygienic parameters, with the highest accuracy and AUC values up to 0.87 and 0.83, respectively, predicting increased levels of total bacterial count (TBC), while somatic cell count (SCC) level was less accurately predicted by the model, with AUC values lower than 0.70. The results demonstrate the applicability potential of UV/Vis and NIR portable devices in milk quality assessment, enabling its rapid evaluation, including milk composition and hygiene parameters at the point of service. Full article
Show Figures

Graphical abstract

27 pages, 4885 KB  
Article
AI–Driven Multimodal Sensing for Early Detection of Health Disorders in Dairy Cows
by Agne Paulauskaite-Taraseviciene, Arnas Nakrosis, Judita Zymantiene, Vytautas Jurenas, Joris Vezys, Antanas Sederevicius, Romas Gruzauskas, Vaidas Oberauskas, Renata Japertiene, Algimantas Bubulis, Laura Kizauskiene, Ignas Silinskas, Juozas Zemaitis and Vytautas Ostasevicius
Animals 2026, 16(3), 411; https://doi.org/10.3390/ani16030411 - 28 Jan 2026
Viewed by 900
Abstract
Digital technologies that continuously quantify animal behavior, physiology, and production offer significant potential for the early identification of health and welfare disorders of dairy cows. In this study, a multimodal artificial intelligence (AI) framework is proposed for real-time health monitoring of dairy cows [...] Read more.
Digital technologies that continuously quantify animal behavior, physiology, and production offer significant potential for the early identification of health and welfare disorders of dairy cows. In this study, a multimodal artificial intelligence (AI) framework is proposed for real-time health monitoring of dairy cows through the integration of physiological, behavioral, production, and thermal imaging data, targeting veterinarian-confirmed udder, leg, and hoof infections. Predictions are generated at the cow-day level by aggregating multimodal measurements collected during daily milking events. The dataset comprised 88 lactating cows, including veterinarian-confirmed udder, leg, and hoof infections grouped under a single ‘sick’ label. To prevent information leakage, model evaluation was performed using a cow-level data split, ensuring that data from the same animal did not appear in both training and testing sets. The system is designed to detect early deviations from normal health trajectories prior to the appearance of overt clinical symptoms. All measurements, with the exception of the intra-ruminal bolus sensor, were obtained non-invasively within a commercial dairy farm equipped with automated milking and monitoring infrastructure. A key novelty of this work is the simultaneous integration of data from three independent sources: an automated milking system, a thermal imaging camera, and an intra-ruminal bolus sensor. A hybrid deep learning architecture is introduced that combines the core components of established models, including U-Net, O-Net, and ResNet, to exploit their complementary strengths for the analysis of dairy cow health states. The proposed multimodal approach achieved an overall accuracy of 91.62% and an AUC of 0.94 and improved classification performance by up to 3% compared with single-modality models, demonstrating enhanced robustness and sensitivity to early-stage disease. Full article
(This article belongs to the Section Animal Welfare)
Show Figures

Figure 1

18 pages, 1009 KB  
Article
Enhancing the Production of Milk and Milk Derivatives: A Case Study of Romania
by Cristina Coculescu, Ana Maria Mihaela Iordache and Ioan Codruț Coculescu
Processes 2026, 14(1), 109; https://doi.org/10.3390/pr14010109 - 28 Dec 2025
Viewed by 596
Abstract
Milk and its by-products offer a concentrated source of proteins and nutrients that are essential for life and that can be challenging to obtain from other foods. There has been growing interest in the production, enhancement, and effective utilization of milk over time. [...] Read more.
Milk and its by-products offer a concentrated source of proteins and nutrients that are essential for life and that can be challenging to obtain from other foods. There has been growing interest in the production, enhancement, and effective utilization of milk over time. The objective of this research paper is to contribute to ongoing efforts to enhance the production and collection of milk and dairy derivatives in Romania. In a study analyzing the dairy industry in the European Union, various indicators were examined with the aim of classifying countries and determining Romania’s position. To gain a comprehensive understanding of the dairy industry in the European Union, several indicators were considered, including milk production; different dairy products, such as butter and cheese; and data on bovine populations in various age groups. To efficiently classify the countries and identify Romania’s position, advanced data mining techniques were employed, including cluster analysis and neural network training. To enhance and advance the dairy industry in Romania, this study proposes the exploration of the potential advantages of implementing Industry 4.0 solutions, particularly on a larger scale, with Enterprise Resources Planning (ERP) software. Full article
(This article belongs to the Special Issue Development of Innovative Processes in Food Engineering)
Show Figures

Figure 1

15 pages, 619 KB  
Article
Assessing Natural Weaning in Suckler Beef Cattle: A Single-Farm Retrospective Data Analysis of Calf-Raising Success and Colostrum Antibody Uptake in the Absence or Presence of a Yearling Calf
by Dorit Albertsen, Peter Plate and Suzanne D. E. Held
Animals 2026, 16(1), 34; https://doi.org/10.3390/ani16010034 - 23 Dec 2025
Viewed by 795
Abstract
Suckler beef cows and their calves are commonly separated when calves are between four and ten months old. This is earlier than would happen naturally and causes stress in dams and calves and reduces feed intake and immunocompetence, and thus introduces calf performance [...] Read more.
Suckler beef cows and their calves are commonly separated when calves are between four and ten months old. This is earlier than would happen naturally and causes stress in dams and calves and reduces feed intake and immunocompetence, and thus introduces calf performance and health problems. To address these concerns, weaning by separation was gradually phased out on a single extensive suckler beef farm comprising nine separate breeding herds based on chalk downland in southern England. Over seven consecutive years, the farm’s breeding herds were converted to natural weaning, one to two herds per year. This meant yearling calves stayed with their dams until weaned off naturally and beyond the subsequent calving season. To examine the effects of yearlings being left with their dams, retrospective data were collected on the subsequent calves’ survival to one year old (‘raising success’). The dams had their previous calf either still present as a yearling (YP) when the new calf arrived or had had their previous calf removed at eight months old, so it was absent (YA). Data were retrospectively analysed on 1822 calves born to 663 dams in total over the seven years. Raising success overall was 96% for YP calves and 95% for YA. Chi-squared analysis of only one calf per cow (N = 663; YP = 382, YA = 281) confirmed that raising success was not negatively associated with yearling presence. A separate analysis compared farm data on serum total protein levels of 81 YP and 12 YA 1–10-day-old calves as measures of colostrum antibody uptake. Mann–Whitney U testing showed an insignificant trend towards higher antibody uptake in YA calves (p < 0.1). However, over 86% of calves in both groups had ‘excellent’ total protein values according to a standard classification used for dairy calves (>6.2 g/dL). The findings show for the first time and under conditions studied here that beef calves can be left with their dams without a negative effect on the survival of the subsequent calf. Concerns of sibling rivalry disturbing the bonding process and leading to competition for colostrum and milk were not confirmed. In conclusion, allowing cows to wean their calves naturally could potentially be a viable management option for similar beef suckler herds, including those used in habitat/soil restoration projects. Full article
Show Figures

Figure 1

20 pages, 6385 KB  
Article
Molecular Remodeling of Milk Fat Globules Induced by Centrifugation: Insights from Deep Learning-Based Detection of Milk Adulteration
by Grzegorz Gwardys, Grzegorz Grodkowski, Piotr Kostusiak, Wojciech Mendelowski, Jan Slósarz, Michał Satława, Bartłomiej Śmietanka, Krzysztof Gwardys, Marcin Gołębiewski and Kamila Puppel
Int. J. Mol. Sci. 2025, 26(24), 11919; https://doi.org/10.3390/ijms262411919 - 10 Dec 2025
Viewed by 477
Abstract
Milk adulteration through centrifugation, which artificially reduces the somatic cell count (SCC), represents a significant challenge to food authenticity and public health. This fraudulent practice alters the native molecular architecture of milk, masking inflammatory conditions such as subclinical mastitis and distorting product quality. [...] Read more.
Milk adulteration through centrifugation, which artificially reduces the somatic cell count (SCC), represents a significant challenge to food authenticity and public health. This fraudulent practice alters the native molecular architecture of milk, masking inflammatory conditions such as subclinical mastitis and distorting product quality. Conventional analytical and microscopic techniques remain insufficiently sensitive to detect the subtle physicochemical changes associated with centrifugation, highlighting the need for molecular-level, data-driven diagnostics. The dataset included 128 paired raw milk samples and approximately 25,000 bright-field micrographs acquired across multiple microscopes, of which 95% were confirmed to be of high quality. In this study, advanced machine learning (ML) and deep learning (DL) approaches were applied to identify centrifugation-induced alterations in raw milk microstructure. Bright-field micrographs (pixel size 0.27 µm) of paired unprocessed and centrifuged samples were obtained under standardized optical conditions and analyzed using convolutional neural networks (ResNet-18/50, Inception-v3, Xception, NasNet-Mobile) and hybrid attention architectures (MaxViT, CoAtNet). Model performance was evaluated using the harmonic average of recalls across five micrographs per sample (HAR5). Human microscopy experts (n = 4) achieved only 18% classification accuracy—below the random baseline (25%)—confirming that centrifugation-induced modifications are not visually discernible. In contrast, DL architectures reached up to 97% accuracy (HAR5, Xception), successfully identifying subtle molecular cues. Class activation and sensitivity analyses indicated that models focused not on milk fat globule (MFG) boundaries but on high-frequency nanoscale variations related to the reorganization of casein micelles and solid non-fat fractions. The findings strongly suggest that centrifugation adulteration constitutes a molecular reorganization event rather than a morphological alteration. The integration of optical microscopy with AI-driven molecular analytics establishes deep learning as a precise and objective tool for detecting fraudulent milk processing and improving food integrity diagnostics. Full article
(This article belongs to the Special Issue Application of Artificial Intelligence in Molecular Sciences)
Show Figures

Figure 1

25 pages, 1740 KB  
Article
Analysis of Determinants of Dietary Iodine Intake of Adolescents from Northern Regions of Poland: Coastal Areas and Lake Districts
by Katarzyna Lachowicz and Małgorzata Stachoń
Nutrients 2025, 17(24), 3813; https://doi.org/10.3390/nu17243813 - 5 Dec 2025
Viewed by 1006
Abstract
Background/Objectives: Iodine plays a central role in thyroid hormone synthesis and neurodevelopment. Its deficiency and excessive intake have been identified as risk factors for thyroid diseases and their consequences. The objective of the study was to analyze dietary iodine intake (dIi) and the [...] Read more.
Background/Objectives: Iodine plays a central role in thyroid hormone synthesis and neurodevelopment. Its deficiency and excessive intake have been identified as risk factors for thyroid diseases and their consequences. The objective of the study was to analyze dietary iodine intake (dIi) and the factors that determine its intake among post-primary school students from northern Poland, specifically those from coastal areas and lake districts. Methods: The study was conducted on a sub-national sample of 3102 adolescents (1751 females and 1351 males) aged 14–20 years, recruited from schools located in the Northern (N) and North-Western (N-W) macroregions of Poland. Dietary iodine intake was assessed using the Iodine Dietary Intake Evaluation-Food Frequency Questionnaire. Based on the data obtained, the adequacy of the intake of this micronutrient was assessed. Statistical analysis was performed using the Shapiro-Wilk, U Mann-Whitney, and Kruskal-Wallis tests and Spearman’s correlation analysis. Results: The median dIi was 66.83 µg daily, including 53 µg from natural sources. This value was below the recommended dietary allowance of 150 µg and below the estimated average requirement of 95 µg of iodine in 85% and 68% of the study participants, respectively. Milk and dairy products provided the highest iodine intake (26.4%). Iodine-enriched salt (16.2%) also significantly impacted iodine intake. However, 60% of respondents did not use iodized salt. The median iodine levels from natural sources were found to be low (dairy products: 15.02 µg, fish and fish products: 2.38 µg, and eggs: 2.10 µg). Dietary iodine intake was significantly lower in adolescents from the N than N-W macroregion of Poland (median: 65.63 vs. µg daily, 74.2 p < 0.001). However, dIi did not depend on sex (p = 0.10), age (p = 0.80), school location (p = 0.80), body mass index classification (p = 0.76), or iodine supplementation (p = 0.90). Conclusions: The study results indicate that insufficient iodine intake among adolescents in northern Poland can be attributed to a limited intake of iodine from natural food sources. A pressing need exists to closely monitor iodine intake and status among Polish adolescents and to implement nutritional education, focusing on the role of iodine, potential risks associated with iodine deficiency, and dietary sources of iodine. Full article
(This article belongs to the Special Issue Selenium and Iodine in Human Health and Disease)
Show Figures

Figure 1

17 pages, 1295 KB  
Article
Physicochemical Profiling, Bioactive Properties, and Spectroscopic Fingerprinting of Cow’s Milk from the Pampas Valley (Tayacaja, Peru): A Chemometric Approach to Geographical Differentiation
by Eudes Villanueva, Harold P. J. Ore-Quiroz, Gino P. Prieto-Rosales, Raquel N. Veliz-Sagarvinaga, Yaser M. Chavez-Solano, Elza Aguirre, Gustavo Puma-Isuiza and Beetthssy Z. Hurtado-Soria
Molecules 2025, 30(22), 4484; https://doi.org/10.3390/molecules30224484 - 20 Nov 2025
Viewed by 946
Abstract
This study aimed to characterize the physicochemical and functional properties of bovine milk from four districts (Acraquia, Ahuaycha, Pampas, and Daniel Hernández) of the Pampas Valley, Tayacaja province, Huancavelica (Peru), and assess its geographical traceability using vibrational spectroscopy and chemometric tools. Milk samples [...] Read more.
This study aimed to characterize the physicochemical and functional properties of bovine milk from four districts (Acraquia, Ahuaycha, Pampas, and Daniel Hernández) of the Pampas Valley, Tayacaja province, Huancavelica (Peru), and assess its geographical traceability using vibrational spectroscopy and chemometric tools. Milk samples were analyzed for composition (fat, protein, lactose, salts), fatty acid profile, total phenolic compounds (TPC), antioxidant capacity (AC), and spectral features using mid-infrared (MIR) and Raman spectroscopy. The results revealed significant compositional differences among localities, particularly in fat, protein, and salt content, with Daniel Hernández milk showing higher nutritional density. The fatty acid profile, although statistically similar across districts, highlighted a favorable nutritional composition dominated by oleic, palmitic, and stearic acids. TPC and AC values were homogeneous among districts, reflecting similar feeding and management practices. Molecular vibration analysis via MIR and Raman spectroscopy allowed for the identification of key biochemical differences, particularly in lipid and carbohydrate regions. SIMCA classification models, based on MIR spectral data, successfully discriminated samples by origin with Inter-Class Distance (ICD) values exceeding 3, confirming statistically significant separation. Discriminating power plots revealed that proteins (amide I), lactose (C–O, C–C), and lipid-associated bands (C=O, CH2) were major contributors to class differentiation. These findings demonstrate the effectiveness of combining spectroscopic and chemometric approaches to trace the geographical origin of milk and provide scientific support for potential quality labeling systems. This methodology contributes to ensuring product authenticity, promoting regional value-added dairy production, and supporting sustainable rural development in high-Andean ecosystems. Full article
Show Figures

Figure 1

15 pages, 1814 KB  
Article
Defining Low Milk Supply: A Data-Driven Diagnostic Framework and Risk Factor Analysis for Breastfeeding Women
by Xuehua Jin, Ching Tat Lai, Sharon L. Perrella, Zoya Gridneva, Jacki L. McEachran, Ghulam Mubashar Hassan, Nicolas L. Taylor and Donna T. Geddes
Nutrients 2025, 17(22), 3524; https://doi.org/10.3390/nu17223524 - 11 Nov 2025
Viewed by 2174
Abstract
Background: Current low milk supply (LMS) definitions use subjective maternal perceptions or arbitrary thresholds for 24 h milk production (MP), potentially misclassifying cases. This study aimed to re-evaluate the definition of LMS using data-driven approaches and investigate associated maternal risk factors. Methods: Lactating [...] Read more.
Background: Current low milk supply (LMS) definitions use subjective maternal perceptions or arbitrary thresholds for 24 h milk production (MP), potentially misclassifying cases. This study aimed to re-evaluate the definition of LMS using data-driven approaches and investigate associated maternal risk factors. Methods: Lactating mothers 4–26 weeks postpartum (n = 460) provided demographic, obstetric, and infant data and measured 24 h MP and infant milk intake using the test-weighing method. Infant growth was calculated as their weight-for-age z-score. Latent profile analysis, receiver operating characteristic curve analysis, and multinomial logistic regression were used for classification, diagnostic evaluation, and risk factor assessment for LMS. Results: Four milk supply classes emerged: Class 1 with adequate MP, infant intake and infant growth (n = 254); Class 2 with high MP exceeding infant demand and adequate growth (n = 30); Class 3 with slow infant growth despite moderate MP (n = 120); and Class 4 with extremely low MP and high formula intake (n = 56). Classes 1 and 2 were grouped as the normal milk supply group (61.7%), while Classes 3 and 4 formed the LMS group (38.3%). New thresholds were identified for 24 h MP (708 mL/24 h, area under the curve (AUC) = 0.92) and infant breast milk intake (694 mL/24 h, AUC = 0.94) with high diagnostic accuracy. Moreover, practical alternative thresholds for infant average daily weight gain (26 g, AUC = 0.89), formula intake (122 mL/24 h, AUC = 0.89) and formula-to-growth ratio (4 mL/g, AUC = 0.94) were established for the identification of LMS. Minimal breast growth during pregnancy (Odds ratio (OR) = 4.6, 95% confidence interval (CI): 2.3–9.6), advanced maternal age (OR = 2.1, 95% CI: 1.0–4.5), and gestational diabetes mellitus (OR = 2.1, 95% CI: 1.1–4.0) were significant risk factors related to the LMS subgroups. Co-existence of maternal advanced age and overweight showed greatly amplified risk of LMS (OR = 3.7, 95% CI: 1.3–10.5), and a more pronounced risk was observed for the combination of minimal breast growth and advanced maternal age (OR = 9.2, 95% CI: 3.0–28.3). Conclusions: This data-driven classification of LMS and identified risk factors may enhance the precision of LMS diagnosis and guide targeted interventions for lactating mothers. Full article
(This article belongs to the Special Issue Nutrition in Fertility, Pregnancy and Offspring Health)
Show Figures

Figure 1

24 pages, 766 KB  
Article
Creation of Machine Learning Models Trained on Multimodal Physiological, Behavioural, Blood Biochemical, and Milk Composition Parameters for the Identification of Lameness in Dairy Cows
by Karina Džermeikaitė, Justina Krištolaitytė, Samanta Grigė, Akvilė Girdauskaitė, Greta Šertvytytė, Gabija Lembovičiūtė, Mindaugas Televičius, Vita Riškevičienė and Ramūnas Antanaitis
Biosensors 2025, 15(11), 722; https://doi.org/10.3390/bios15110722 - 31 Oct 2025
Cited by 1 | Viewed by 1803
Abstract
Lameness remains a significant welfare and productivity challenge in dairy farming, often underdiagnosed due to the limitations of conventional detection methods. Unlike most previous approaches to lameness detection that rely on a single-sensor or gait-based measurement, this study integrates four complementary data domains—behavioural, [...] Read more.
Lameness remains a significant welfare and productivity challenge in dairy farming, often underdiagnosed due to the limitations of conventional detection methods. Unlike most previous approaches to lameness detection that rely on a single-sensor or gait-based measurement, this study integrates four complementary data domains—behavioural, physiological, biochemical, and milk composition parameters—collected from 272 dairy cows during early lactation to enhance diagnostic accuracy and biological interpretability. The main objective of this study was to evaluate and compare the diagnostic classification performance of multiple machine learning (ML) algorithms trained on multimodal data collected at the time of clinical lameness diagnosis during early lactation, and to identify the most influential physiological and biochemical traits contributing to classification accuracy. Specifically, six algorithms—random forest (RF), neural network (NN), Ensemble, support vector machine (SVM), k-nearest neighbors (KNN), and logistic regression (LR)—were assessed. The input dataset integrated physiological parameters (e.g., water intake, body temperature), behavioural indicators (rumination time, activity), blood biochemical biomarkers (non-esterified fatty acids (NEFA), aspartate aminotransferase (AST), lactate dehydrogenase (LDH), gamma-glutamyl transferase (GGT)), and milk quality traits (fat, protein, lactose, temperature). Among all models, RF achieved the highest validation accuracy (97.04%), perfect validation specificity (100%), and the highest normalized Matthews correlation coefficient (nMCC = 0.94), as determined through Monte Carlo cross-validation on independent validation sets. Lame cows showed significantly elevated NEFA and body temperatures, reflecting enhanced lipid mobilization and inflammatory stress, alongside reduced water intake, milk protein, and lactose content, indicative of systemic energy imbalance and impaired mammary function. These physiological and biochemical deviations emphasize the multifactorial nature of lameness. Linear models like LR underperformed, likely due to their inability to capture the non-linear and interactive relationships among physiological, biochemical, and milk composition features, which were better represented by tree-based and neural models. Overall, the study demonstrates that combining sensor data with blood biomarkers and milk traits using advanced ML models provides a powerful, objective tool for the clinical classification of lameness, offering practical applications for precision livestock management by supporting early, data-driven decision-making to improve welfare and productivity on dairy farms. Full article
(This article belongs to the Special Issue Sensors for Human and Animal Health Monitoring)
Show Figures

Graphical abstract

Back to TopTop