Sign in to use this feature.

Years

Between: -

Subjects

remove_circle_outline
remove_circle_outline
remove_circle_outline
remove_circle_outline
remove_circle_outline
remove_circle_outline
remove_circle_outline
remove_circle_outline
remove_circle_outline

Journals

remove_circle_outline
remove_circle_outline
remove_circle_outline
remove_circle_outline
remove_circle_outline
remove_circle_outline
remove_circle_outline
remove_circle_outline
remove_circle_outline
remove_circle_outline
remove_circle_outline
remove_circle_outline
remove_circle_outline

Article Types

Countries / Regions

remove_circle_outline
remove_circle_outline
remove_circle_outline
remove_circle_outline

Search Results (634)

Search Parameters:
Keywords = micro-scale interaction

Order results
Result details
Results per page
Select all
Export citation of selected articles as:
26 pages, 11920 KB  
Article
Autonomous Control of Satellite Swarms Using Minimal Vision-Based Behavioral Control
by Marco Sabatini
Aerospace 2026, 13(3), 207; https://doi.org/10.3390/aerospace13030207 - 24 Feb 2026
Viewed by 139
Abstract
In recent years, the trend toward spacecraft miniaturization has led to the widespread adoption of micro- and nanosatellites, driven by their reduced development costs and simplified launch logistics. Operating these platforms in coordinated fleets, or swarms, represents a promising approach to overcoming the [...] Read more.
In recent years, the trend toward spacecraft miniaturization has led to the widespread adoption of micro- and nanosatellites, driven by their reduced development costs and simplified launch logistics. Operating these platforms in coordinated fleets, or swarms, represents a promising approach to overcoming the inherent limitations of individual spacecraft by distributing sensing and processing capabilities across multiple units. For systems of this scale, decentralized guidance and control architectures based on so-called behavioral strategies offer an attractive solution. These approaches are inspired by biological swarms, which exhibit remarkable robustness and adaptability through simple local interactions, minimal information exchange, and the absence of centralized supervision, but their application to space scenarios is limited, if not negligible. This work investigates the feasibility of autonomous swarm maintenance subject to orbital forces, under the stringent actuation, sensing, and computational constraints typical of nanosatellite platforms. Each spacecraft is assumed to carry a single monocular camera aligned with the along-track direction. The proposed behavioral control framework enables decentralized formation keeping without ground intervention or centralized coordination. Since control actions rely on the relative motion of neighboring satellites, a lightweight relative navigation capability is required. The results indicate that complex vision pipelines can be replaced by simple blob-based image processing, although a (rough) reconstruction of elative parameters remains essential to avoid unnecessary control effort arising from suboptimal guidance decisions. Full article
(This article belongs to the Special Issue Progress in Satellite Formation Flying Technologies)
Show Figures

Figure 1

20 pages, 2577 KB  
Article
MSR Fuel and Thermohydraulic: Modeling of Energy Well Experimental Loop in TRACE Code
by Giacomo Longhi, Guglielmo Lomonaco, Tomáš Melichar and Guido Mazzini
Energies 2026, 19(4), 1098; https://doi.org/10.3390/en19041098 - 21 Feb 2026
Viewed by 181
Abstract
The transition toward carbon-neutral energy systems has revived interest in nuclear technologies, particularly small and micro modular reactors (SMRs and MMRs) as flexible, safe and efficient alternatives to conventional large-scale power plans. In the Czech Republic, Centrum výzkumu Řez (CVŘ) is developing Energy [...] Read more.
The transition toward carbon-neutral energy systems has revived interest in nuclear technologies, particularly small and micro modular reactors (SMRs and MMRs) as flexible, safe and efficient alternatives to conventional large-scale power plans. In the Czech Republic, Centrum výzkumu Řez (CVŘ) is developing Energy Well (EW), a molten salt-cooled micro modular reactor concept employing FLiBe (Fluoride Lithium Beryllium) as primary and secondary coolant and a supercritical CO2 (sCO2) tertiary loop. A dedicated experimental facility was built to reproduce EW operating conditions and provide critical data on thermohydraulic behavior, fuel properties and heat-transfer mechanisms. This paper presents the development and assessment of a TRACE (TRAC/RELAP Advanced Computational Engine) model of the experimental facility, including specific methodologies for the main heater and the heat exchanger. Model accuracy was assessed through comparison with experimental commissioning data. The simulations demonstrated overall model consistency, especially regarding the heat exchanger and the main heater general performances, while some discrepancies were observed inside the main heater graphitic core. Other discrepancies were observed along the loop, mainly resulting from modeling simplifications and lack of information regarding certain experimental loop phenomena. In particular, the pressure calculation showed large inconsistencies mainly connected to the complexity of pressure measurements in molten salt circuits and the lack of specific head loss correlations. This study also helped identify broader issues in both the code (persistent error in generating CO2 property tables and instabilities resulting from FLiBe interactions with non-condensable gases) and the experimental loop (defect in the heat exchanger filling and uncertainties on sensors location), also contributing to resolving sensor-related inconsistencies in the facility. Results confirm TRACE as a reliable tool for modeling molten salt systems, regarding the temperature distribution and the heat transfer. However, depending on the specific experimental case, this paper introduces specific limitations, such as some inconsistencies in the pressure drops distribution, in order to support the future development of TRACE code. Beyond technical advances, this work provides unique experimental data and fosters international collaboration in advancing SMR and molten salt reactor technologies. Full article
(This article belongs to the Special Issue Nuclear Fuel and Fuel Cycle Technology)
Show Figures

Figure 1

26 pages, 5491 KB  
Article
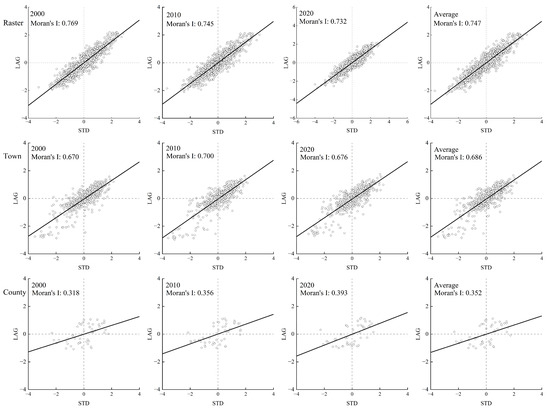
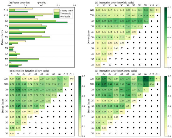
Spatial Distribution Characteristics and Influencing Factors of Intangible Cultural Heritage in the Tarim River Basin of China
by Yuxiang Zhang, Yaofeng Yang and Wenhua Wu
Sustainability 2026, 18(4), 2100; https://doi.org/10.3390/su18042100 - 20 Feb 2026
Viewed by 131
Abstract
River basins are not merely geographical spaces but also cultural-historical ecosystems, where the spatial patterns of Intangible Cultural Heritage (ICH) profoundly reflect the long-term interaction between human and environment, as well as contemporary transformations. While international research on ICH has evolved from conceptual [...] Read more.
River basins are not merely geographical spaces but also cultural-historical ecosystems, where the spatial patterns of Intangible Cultural Heritage (ICH) profoundly reflect the long-term interaction between human and environment, as well as contemporary transformations. While international research on ICH has evolved from conceptual clarification to interdisciplinary theory-building, and spatial quantitative methods have been widely applied to cultural heritage analysis, the spatial patterns, multi-scale structures, and “natural-human” driving mechanisms of ICH in continental arid river basins—particularly in the Tarim River Basin (TRB, China’s largest inland river and a key corridor of the Silk Road)—remain underexplored. To address this gap, this study takes 313 ICH items in the TRB as the research object. It uses ArcGIS 10.8.1 to visualize their spatial distribution and employs an integrated methodology—including global Moran’s I, kernel density estimation (KDE), DBSCAN spatial clustering, and geographical detector (Geodetector)—to systematically reveal their spatial characteristics and influencing factors. The findings indicate that: (1) The distribution of ICH exhibits a multi-scale feature of “global randomness with local clustering”: spatial autocorrelation is not significant at the county level, while at the micro-geographical scale, a dendritic structure characterized by “one axis, three cores, denser in the north and sparser in the south” emerges, which is highly coupled with the river network. DBSCAN clustering further identifies a “mainstem axis–tributary node” cluster system and a relatively high proportion of peripheral “noise” heritage points. (2) Agglomeration patterns vary significantly across different ICH categories, with traditional craftsmanship showing high clustering, while traditional sports, entertainment, and acrobatics display highly fragmented distributions. (3) The study reveals and validates a ternary “Water–Tourism–Urbanization” driving framework that predominantly shapes the spatial heterogeneity of ICH: water resources constitute a fundamental ecological threshold, whereas tourism development and urbanization have emerged as more explanatory social driving forces, with widespread nonlinear enhancement interactions between natural and human factors. This research moves beyond the traditional view of river basins as static cultural “containers,” providing empirical evidence for their dynamic nature as “cultural-ecological co-evolutionary systems.” The proposed ternary framework not only offers a new perspective for understanding the spatial resilience of ICH in arid regions and the potential risks of “spectacularization” and “spatial polarization” amid rapid changes, but also provides a scientific basis for spatial governance, culture-tourism integration, and the formulation of conservation strategies for ICH at the basin scale. Full article
Show Figures

Figure 1

28 pages, 4217 KB  
Review
Microfluidics-Assisted Three-Dimensional Confinement of Cholesteric Liquid Crystals for Sensing Applications
by Jiamei Chen, Xinyi Feng, Jiaying Huang, Xinyi Li, Shijian Huang, Zongbing Wu, Lvqin Qiu, Liping Cao, Qi Liang and Xiaoyan Li
Micromachines 2026, 17(2), 244; https://doi.org/10.3390/mi17020244 - 13 Feb 2026
Viewed by 192
Abstract
As a class of self-organized soft matter systems merging fluidic mobility with long-range molecular order, cholesteric liquid crystals (CLCs) possess immense potential for the development of high-sensitivity, visually tractable flexible sensors. Leveraging their unique helical superstructures and stimuli-responsive photonic bandgaps, CLCs can transduce [...] Read more.
As a class of self-organized soft matter systems merging fluidic mobility with long-range molecular order, cholesteric liquid crystals (CLCs) possess immense potential for the development of high-sensitivity, visually tractable flexible sensors. Leveraging their unique helical superstructures and stimuli-responsive photonic bandgaps, CLCs can transduce subtle physical or chemical perturbations into discernible optical signatures, such as Bragg reflection shifts or mesomorphic textural transitions. Nonetheless, the intrinsic fluidity of CLCs often compromises their structural integrity, while conventional one-dimensional (1D) or two-dimensional (2D) confinement geometries exhibit pronounced angular dependence, significantly constraining their detection precision in complex environments. Recently, microfluidic technology has emerged as a pivotal paradigm for achieving sophisticated three-dimensional (3D) spatial confinement of CLCs through the precise manipulation of microscale fluid volumes. This review systematically delineates recent advancements in microfluidics-enabled CLC sensors. Initially, the fundamental self-assembly principles and optical properties of CLCs are introduced, emphasizing the unique advantages of 3D spherical confinement in mitigating angular sensitivity and intensifying interfacial interactions. Subsequently, the primary sensing mechanisms are bifurcated into bulk-driven sensing via pitch modulation and interface-driven sensing via topological configuration transitions. We then detail the microfluidic-based fabrication strategies and engineering protocols for diverse 3D architectures, including monodisperse/multiphase droplets, microcapsules, shells, and Janus structures. Building upon these structural frameworks, current sensing applications in physical (temperature, strain/stress), chemical (volatile organic compounds, ions, pH), and biological (biomarkers, pathogens) detection are evaluated. Lastly, in light of persistent challenges, such as intricate signal interpretation and limited robustness in complex matrices, we propose future research trajectories, encompassing the co-optimization of geometric parameters (size and curvature), artificial intelligence-enhanced automated diagnostics, and multi-field-coupled intelligent integration. This work seeks to provide a comprehensive roadmap for the design of next-generation, high-performance, and portable liquid-state photonic sensing platforms. Full article
Show Figures

Figure 1

39 pages, 5668 KB  
Review
On Bio-Inspired Strategies for Flow Control, Fluid–Structure Interaction, and Thermal Transport
by Farid Ahmed and Leonardo P. Chamorro
Biomimetics 2026, 11(2), 143; https://doi.org/10.3390/biomimetics11020143 - 13 Feb 2026
Viewed by 491
Abstract
Bio-inspired engineering draws on principles refined by natural evolution to tackle persistent challenges in fluid mechanics, structural dynamics, and thermal transport. This article presents a critical, mechanism-driven narrative review that integrates recent advances across three complementary domains that are often treated independently, namely: [...] Read more.
Bio-inspired engineering draws on principles refined by natural evolution to tackle persistent challenges in fluid mechanics, structural dynamics, and thermal transport. This article presents a critical, mechanism-driven narrative review that integrates recent advances across three complementary domains that are often treated independently, namely: flow-control strategies such as leading-edge tubercles, alula-like devices, riblets, superhydrophobic skins, and hybrid low-Reynolds-number fliers; fluid-structure interactions inspired by aquatic and aerial organisms that leverage compliant foils, flexible filaments, ciliary arrays, and piezoelectric fluttering plates for propulsion, wake regulation, mixing, and energy harvesting; and phase-change heat-transfer surfaces modeled after stomata, porous biological networks, and textured cuticles that enhance nucleation control, liquid replenishment, and droplet or bubble removal. Rather than providing an exhaustive catalog of biological analogues, this review emphasizes the underlying physical mechanisms that link these domains and enable multifunctional performance. These developments reveal shared physical principles, including multiscale geometry, capillary- and vortex-mediated transport, and compliance-enabled flow tuning, which motivate the integrated treatment of aerodynamic, hydrodynamic, and thermal systems in applications spanning aerospace, energy conversion, and microscale thermal management. The review assesses persistent challenges associated with scaling biological architectures, ensuring long-term durability, and modeling tightly coupled fluid-thermal-structural interactions. By synthesizing insights across flow control, fluid-structure interaction, and phase-change heat transfer, this review provides a unifying conceptual framework that distinguishes it from prior domain-specific reviews. Emerging opportunities in hybrid multi-mechanism designs, data-driven optimization, multiscale modeling, and advanced fabrication are identified as promising pathways to accelerate the translation of biological strategies into robust, multifunctional thermal–fluid systems. Full article
(This article belongs to the Special Issue Biomimetic Engineering for Fluid Manipulation and Flow Control)
Show Figures

Graphical abstract

39 pages, 16163 KB  
Article
Assimilation or Segregation? Evolutionary Trajectories and Driving Forces of Chinese Immigrant Residential Concentration in Seoul, South Korea
by Hanbin Wei, Yiting Zheng, Xiaolei Sang, Mengru Zhou and Sunju Kang
Urban Sci. 2026, 10(2), 116; https://doi.org/10.3390/urbansci10020116 - 12 Feb 2026
Viewed by 332
Abstract
The spatial distribution of immigrants and associated patterns of residential segregation and integration can manifest not only at the metropolitan scale but also at finer micro-spatial resolutions, reflecting the interaction between path dependence and structural reconfiguration. This article examines the micro-spatial residential patterns [...] Read more.
The spatial distribution of immigrants and associated patterns of residential segregation and integration can manifest not only at the metropolitan scale but also at finer micro-spatial resolutions, reflecting the interaction between path dependence and structural reconfiguration. This article examines the micro-spatial residential patterns of Chinese immigrants in Seoul under institutional and market constraints. Using a Spatial Durbin Model and Multiscale Geographically Weighted Regression, it shows that from 2011 to 2025, immigrant settlements shifted from a monocentric pattern to a polycentric, functionally differentiated, and networked structure. While overall spatial embeddedness is high and segregation remains low, traditional cores such as Guro–Daerim persist. Selective clustering is shaped by path-dependent migrant networks, urban redevelopment policies, and intra-group differentiation, while infrastructure homogenization renders transportation accessibility a background condition. The findings support segmented assimilation theory in high-density East Asian cities and underscore the importance of incorporating immigrant needs into urban policy to promote inclusive integration. Full article
Show Figures

Figure 1

39 pages, 9334 KB  
Review
Research Progress on Advanced Characterization Methods for Hydration Interfaces in Wood Micro- and Nanochannels
by Hui Liu, Zhe Wang and Ximing Wang
Buildings 2026, 16(4), 739; https://doi.org/10.3390/buildings16040739 - 11 Feb 2026
Viewed by 188
Abstract
Wood–water interactions are a central focus in wood science, profoundly influencing wood’s physical, chemical, and mechanical properties. These interactions play a decisive role in wood processing, application, and durability. With scientific advancements, research has progressed from the macroscopic scale to fine microscopic levels, [...] Read more.
Wood–water interactions are a central focus in wood science, profoundly influencing wood’s physical, chemical, and mechanical properties. These interactions play a decisive role in wood processing, application, and durability. With scientific advancements, research has progressed from the macroscopic scale to fine microscopic levels, focusing on hydration within wood’s micro/nano channels. However, traditional methods are limited by wood’s complex hierarchical structure, making it difficult to accurately analyze water molecule behavior and the influence of interfacial microstructures in confined spaces. This paper reviews recent applications of advanced characterization methods in studying hydration interactions within wood’s micro/nano channels. It details the basic principles of methods such as nuclear magnetic resonance, Fourier transform infrared spectroscopy, and differential scanning calorimetry, along with their specific applications in characterizing wood–water interactions, moisture states, and cell-scale moisture distribution. This review offers new perspectives for understanding hydration in wood micro/nano channels. It reveals that interfacial confinement fundamentally alters the hydrogen bonding network and dynamic characteristics of water molecules, which is crucial for designing next-generation wood-based materials. Full article
Show Figures

Graphical abstract

46 pages, 4553 KB  
Review
A Review of Computational Modeling of Polymer Composites and Nanocomposites
by Zhangke Yang and Zhaoxu Meng
Polymers 2026, 18(4), 443; https://doi.org/10.3390/polym18040443 - 10 Feb 2026
Viewed by 557
Abstract
Polymer composites and nanocomposites have become indispensable in aerospace, automotive, energy, electronics, soft robotics, and biomedical applications due to their high specific stiffness, strength, and manufacturability with highly tailorable multifunctional performance. Their rational design is complicated by strong, multiscale couplings among microstructural heterogeneity, [...] Read more.
Polymer composites and nanocomposites have become indispensable in aerospace, automotive, energy, electronics, soft robotics, and biomedical applications due to their high specific stiffness, strength, and manufacturability with highly tailorable multifunctional performance. Their rational design is complicated by strong, multiscale couplings among microstructural heterogeneity, interfacial physics, anisotropic response, and time- and temperature-dependent behavior, spanning molecular to structural length scales. This review provides a comprehensive survey of the principal computational methodologies used to predict and interpret the mechanical behavior of polymer composites and nanocomposites, highlighting the capabilities, specialties, and complementary roles of different modeling tools. This review first summarizes the essential physical characteristics governing polymer composites and nanocomposites. We then examine computational modeling approaches for polymer composites across four length scales: the constituent scale, microscale, mesoscale, and macroscale. For each scale, the primary modeling objectives, characteristic capabilities, and domains of applicability are discussed in the context of the existing literature. Cross-scale relationships and bridging strategies among these scales are also discussed, emphasizing how lower-scale simulations inform higher-scale models. The review then focuses on computational modeling of polymer nanocomposites, with particular attention to atomistic and coarse-grained molecular dynamics methods. Representative atomistic simulations, which capture interfacial structure, reinforcement–matrix interactions, and nanoscale mechanisms, are discussed. This is followed by discussions on coarse-grained approaches that extend the accessible length and time scales. Finally, we discuss how atomistic and coarse-grained models complement each other within integrated multiscale frameworks, enabling predictive links between nanoscale physics and macroscopic mechanical behaviors. Full article
(This article belongs to the Special Issue Computational Modeling of Polymer Composites and Nanocomposites)
Show Figures

Graphical abstract

34 pages, 7022 KB  
Article
Quantitative Perceptual Analysis of Feature-Space Scenarios in Network Media Evaluation Using Transformer-Based Deep Learning: A Case Study of Fuwen Township Primary School in China
by Yixin Liu, Zhimin Li, Lin Luo, Simin Wang, Ruqin Wang, Ruonan Wu, Dingchang Xia, Sirui Cheng, Zejing Zou, Xuanlin Li, Yujia Liu and Yingtao Qi
Buildings 2026, 16(4), 714; https://doi.org/10.3390/buildings16040714 - 9 Feb 2026
Viewed by 312
Abstract
Against the dual backdrop of the rural revitalization strategy and the pursuit of high-quality, balanced urban–rural education, optimizing rural campus spaces has emerged as an important lever for addressing educational resource disparities and improving pedagogical quality. However, conventional evaluation of campus space optimization [...] Read more.
Against the dual backdrop of the rural revitalization strategy and the pursuit of high-quality, balanced urban–rural education, optimizing rural campus spaces has emerged as an important lever for addressing educational resource disparities and improving pedagogical quality. However, conventional evaluation of campus space optimization faces two systemic dilemmas. First, top-down decision-making often neglects the authentic needs of diverse stakeholders and place-based knowledge, resulting in spatial interventions that lose regional distinctiveness. Second, routine public participation is constrained by geographical barriers, time costs, and sample-size limitations, which can amplify professional cognitive bias and impede comprehensive feedback formation. The compounded effect of these challenges contributes to a disconnect between spatial optimization outcomes and perceived needs, thereby constraining the distinctive development of rural educational spaces. To address these constraints, this study proposes a novel method that integrates regional spatial feature recognition with digital media-based public perception assessment. At the data collection and ethical governance level, the study strictly adheres to platform compliance and academic ethics. A total of 12,800 preliminary comments were scraped from major social media platforms (e.g., Douyin, Dianping, and Xiaohongshu) and processed through a three-stage screening workflow—keyword screening–rule-based filtering–manual verification—to yield 8616 valid records covering diverse public groups across China. All user-identifying information was fully anonymized to ensure lawful use and privacy protection. At the analytical modeling level, we develop a Transformer-based deep learning system that leverages multi-head attention mechanisms to capture implicit spatial-sentiment features and metaphorical expressions embedded in review texts. Evaluation on an independent test set indicates a classification accuracy of 89.2%, aligning with balanced and stable scoring performance. Robustness is further strengthened by introducing an equal-weight alternative strategy and conducting stability checks to indicate the consistency of model outputs across weighting assumptions. At the scenario interpretation level, we combine grounded-theory coding with semantic network analysis to establish a three-tier spatial analysis framework—macro (landscape pattern/hydro-topological patterns), meso (architectural interface), and micro (teaching scenes/pedagogical scenarios)—and incorporate an interpretive stakeholder typology (tourists, residents, parents, and professional groups) to systematically identify and quantify key features shaping public spatial perception. Findings show that, at the macro level, naturally integrated scenarios—such as “campus–farmland integration” and “mountain–water embeddedness”—exhibit high affective association, aligning with the “mountain-water-field-village” spatial sequence logic and suggesting broad public endorsement of ecological campus concepts, whereas vernacular settlement-pattern scenarios receive relatively low attention due to cognitive discontinuities. At the meso level, innovative corridor strategies (e.g., framed vistas and expanded corridor spaces) strengthen the building–nature interaction and suggest latent value in stimulating exploratory spatial experience. At the micro level, place-based practice-oriented teaching scenes (e.g., intangible cultural heritage handcraft and creative workshops) achieve higher scores, aligning with the compatibility of vernacular education’s “differential esthetics,” while urban convergence-oriented interdisciplinary curriculum scenes suggest an interpretive gap relative to public expectations. These results indicate an embedded relationship between public perception and regional spatial features, which is further shaped by a multi-actor governance process—characterized by “Government + Influencers + Field Study”—that mediates how rural educational spaces are produced, communicated, and interpreted in digital environments. The study’s innovative value lies in integrating sociological theories (e.g., embeddedness) with deep learning techniques to fill the regional and multi-actor perspective gap in rural campus POE and to promote a methodological shift from “experience-based induction” toward a “data-theory” dual-drive model. The findings provide inferential evidence for rural campus renewal and optimization; the methodological pipeline is transferable to small-scale rural primary schools with media exposure and salient regional ecological characteristics, and it offers a new pathway for incorporating digital media-driven public perception feedback into planning and design practice. The research methodology of this study consists of four sequential stages, which are implemented in a systematic and progressive manner: First, data collection was conducted: Python and the Octopus Collector were used to crawl online comment data related to Fuwen Township Central Primary School, strictly complying with the user agreements of the Douyin, Dianping, and Xiaohongshu platforms. Second, semantic preprocessing was performed: The evaluation content was segmented to generate word frequency statistics and semantic networks; qualitative analysis was conducted using Origin software, and quantitative translation was realized via Sankey diagrams. Third, spatial scene coding was carried out: Combined with a spatial characteristic identification system, a macro–meso–micro three-tier classification system for spatial scene characteristics was constructed to encode and quantitatively express the textual content. Finally, sentiment quantification and correlation analysis was implemented: A deep learning model based on the Transformer framework was employed to perform sentiment quantification scoring for each comment; Sankey diagrams were used to quantitatively correlate spatial scenes with sentiment tendencies, thereby exploring the public’s perceptual associations with the architectural spatial environment of rural campuses. Full article
(This article belongs to the Section Architectural Design, Urban Science, and Real Estate)
Show Figures

Figure 1

26 pages, 33179 KB  
Article
Spatial Heterogeneity and Scale Dependence of Ecological Security: Assessing the Impacts of Land Use and Human Activities in a Typical Mountainous Urban Agglomeration
by Yixin Chen, Shuyu Liao, Hang Li, Zeshi Li, Wenxuan Wang, Xiaoyu Hu, Jialan Liang, Lianyou Liu and Jifu Liu
Land 2026, 15(2), 284; https://doi.org/10.3390/land15020284 - 9 Feb 2026
Viewed by 298
Abstract
Ecological Security (ES) is an essential safeguard for regional sustainable development. Scientifically elucidating the multiscale evolution of ES patterns and their driving mechanisms is critical for ecological governance and conservation in Mountainous Urban Agglomerations (MUAs). Taking the central Yunnan Urban Agglomeration (CYUA) as [...] Read more.
Ecological Security (ES) is an essential safeguard for regional sustainable development. Scientifically elucidating the multiscale evolution of ES patterns and their driving mechanisms is critical for ecological governance and conservation in Mountainous Urban Agglomerations (MUAs). Taking the central Yunnan Urban Agglomeration (CYUA) as a representative MUA, this study constructs a three-dimensional ES assessment framework integrating ecological health, ecological sensitivity, and ecological risk. By integrating ES slope-spectrum analysis with spatial autocorrelation, Geodetector, Multiscale Geographically Weighted Regression (MGWR), and machine learning, we analyze the spatiotemporal evolution of regional ES patterns and their driving mechanisms from a multiscale perspective. Results show that from 2000 to 2020, ES in the CYUA exhibited an overall improving trend with clear scale dependency. At the micro-scale, urban expansion intensified ecological fragmentation, whereas at the macro-scale, regional integration under policy guidance was evident. ES shows significant differentiation along slope gradients, forming a typical pattern of “low-slope–high-risk and high-slope–high-security,” with the 10–25° interval identified as a “conflict front” between ecological conservation and urban development, facing elevated degradation risks. Human Activity Intensity (HAI) is the dominant driver of ES spatial differentiation, with a critical pressure threshold of 0.29, and exhibits significant nonlinear interactive effects with slope and NDVI, with q-values exceeding 0.6. Overall, this study reveals complex human–environment interactions in MUAs and provides scientific evidence for balancing topographic constraints with urbanization, optimizing territorial spatial patterns, and promoting coordinated development of ecological conservation and high-quality urbanization. Full article
(This article belongs to the Special Issue Feature Papers on Land Use, Impact Assessment and Sustainability)
Show Figures

Figure 1

31 pages, 11011 KB  
Article
Esquel Meteorite, a Forgotten Argentine Peridot: A Multi Analytical Study
by Faramarz S. Gard, Rogelio D. Acevedo, Pablo Gaztañaga, Paula N. Alderete, Lara M. Solis, Gabriel Pierangeli, Gonzalo Zbihlei, Nahuel Vega and Emilia B. Halac
Spectrosc. J. 2026, 4(1), 3; https://doi.org/10.3390/spectroscj4010003 - 6 Feb 2026
Viewed by 219
Abstract
The Esquel pallasite provides a valuable record of metal–silicate interaction in differentiated planetesimals, yet many aspects of its formation and thermal evolution remain uncertain. Here, we present a comprehensive multi-technique characterization of a single Esquel specimen, integrating SC-XRD, Raman spectroscopy, SEM–EDS, XPS, magnetic [...] Read more.
The Esquel pallasite provides a valuable record of metal–silicate interaction in differentiated planetesimals, yet many aspects of its formation and thermal evolution remain uncertain. Here, we present a comprehensive multi-technique characterization of a single Esquel specimen, integrating SC-XRD, Raman spectroscopy, SEM–EDS, XPS, magnetic force microscopy, and X-ray computed tomography. Olivine grains are shown to be structurally pristine, with the first full crystallographic refinement for Esquel confirming a single-domain silicate lattice. XPS demonstrates a stoichiometric silicate surface containing only lattice O2−, Si4+, Mg2+, and Fe2+, indicating that olivine remained chemically unaltered. The Fe–Ni metal preserves diffusion-controlled taenite–kamacite exsolution, compositionally distinct plessite, accessory schreibersite and troilite as resolved by SEM. Quantitative Ni zoning, evaluated through interface-to-center gradients and a width–center-Ni correlation method, yields a self-consistent cooling rate of ~10–20 °C/Myr. MFM reveals microscale magnetic structures that correlate directly with Fe–Ni chemical zoning, providing magnetic confirmation of slow cooling. CT analysis further identifies interconnected metal networks, inclusions, and micro-porosity reflecting melt migration and late-stage modification. These results establish Esquel as an exceptionally well-preserved pallasite and demonstrate the value of integrated, multi-scale analytical workflows for reconstructing early Solar System processes. Full article
Show Figures

Graphical abstract

23 pages, 4185 KB  
Article
Real-Time Axle-Load Sensing and AI-Enhanced Braking-Distance Prediction for Multi-Axle Heavy-Duty Trucks
by Duk Sun Yun and Byung Chul Lim
Appl. Sci. 2026, 16(3), 1547; https://doi.org/10.3390/app16031547 - 3 Feb 2026
Viewed by 256
Abstract
Accurate braking-distance prediction for heavy-duty multi-axle trucks remains challenging due to the large gross vehicle weight, tandem-axle interactions, and strong transient load transfer during emergency braking. Recent studies on tire–road friction estimation, commercial-vehicle braking control (EBS/AEBS), and weigh-in-motion (WIM) sensing have highlighted that [...] Read more.
Accurate braking-distance prediction for heavy-duty multi-axle trucks remains challenging due to the large gross vehicle weight, tandem-axle interactions, and strong transient load transfer during emergency braking. Recent studies on tire–road friction estimation, commercial-vehicle braking control (EBS/AEBS), and weigh-in-motion (WIM) sensing have highlighted that unmeasured vertical-load dynamics and time-varying friction are key sources of prediction uncertainty. To address these limitations, this study proposes an integrated sensing–simulation–AI framework that combines real-time axle-load estimation, full-scale robotic braking tests, fused road-friction sensing, and physics-consistent machine-learning modeling. A micro-electro-mechanical systems (MEMS)-based load-angle sensor was installed on the leaf-spring panel linking tandem axles, enabling the continuous estimation of dynamic vertical loads via a polynomial calibration model. Full-scale on-road braking tests were conducted at 40–60 km/h under systematically varied payloads (0–15.5 t) using an actuator-based braking robot to eliminate driver variability. A forward-looking optical friction module was synchronized with dynamic axle-load estimates and deceleration signals, and additional scenarios generated in a commercial ASM environment expanded the operational domain across a broader range of friction, grade, and loading conditions. A gradient-boosting regression model trained on the hybrid dataset reproduced measured stopping distances with a mean absolute error (MAE) of 1.58 m and a mean absolute percentage error (MAPE) of 2.46%, with most predictions falling within ±5 m across all test conditions. The results indicate that incorporating real-time dynamic axle-load sensing together with fused friction estimation improves braking-distance prediction compared with static-load assumptions and purely kinematic formulations. The proposed load-aware framework provides a scalable basis for advanced driver-assistance functions, autonomous emergency braking for heavy trucks, and infrastructure-integrated freight safety management. All full-scale braking tests were carried out at approximately 60% of the nominal service-brake pressure, representing non-panic but moderately severe braking conditions, and the proposed model is designed to accurately predict the resulting stopping distance under this prescribed braking regime rather than to minimize the absolute stopping distance itself. Full article
(This article belongs to the Topic Advances in Autonomous Vehicles, Automation, and Robotics)
Show Figures

Figure 1

13 pages, 1457 KB  
Article
Topographic Modulation of Vegetation Vigor and Moisture Condition in Mediterranean Ravine Ecosystems of Central Chile
by Jesica Garrido-Leiva, Leonardo Durán-Gárate and Waldo Pérez-Martínez
Forests 2026, 17(2), 201; https://doi.org/10.3390/f17020201 - 2 Feb 2026
Viewed by 186
Abstract
Topography regulates vegetation functioning by controlling water redistribution, microclimate, and solar exposure. In Mediterranean ecosystems, where water availability constitutes a fundamental limiting factor, vegetation functioning is also influenced by environmental drivers such as temperature, climatic seasonality, drought recurrence, and soil properties that interact [...] Read more.
Topography regulates vegetation functioning by controlling water redistribution, microclimate, and solar exposure. In Mediterranean ecosystems, where water availability constitutes a fundamental limiting factor, vegetation functioning is also influenced by environmental drivers such as temperature, climatic seasonality, drought recurrence, and soil properties that interact with terrain heterogeneity. Understanding how these elements operate at the micro-scale is essential for interpreting the spatial variability of photosynthetic vigor and canopy water condition. This study evaluates the relationships between the topographic metrics Topographic Position Index (TPI), Terrain Ruggedness Index (TRI), and Diurnal Anisotropic Heat Index (DAH) and two spectral proxies of vegetation condition, the Normalized Difference Vegetation Index (NDVI) and the Normalized Difference Moisture Index (NDMI), in Los Nogales Nature Sanctuary (central Chile). Multitemporal Sentinel-2 time series (2017–2025) were analyzed using Generalized Additive Models (GAMs) with Gaussian distribution and cubic splines to detect non-linear topographic responses. All topographic predictors were statistically significant (p < 0.001). NDVI and NDMI values were higher in concave and less rugged areas, decreasing toward convex and thermally exposed slopes. NDMI exhibited greater sensitivity to topographic position and thermal anisotropy, indicating the strong dependence of vegetation water condition on topographically driven water redistribution. These results highlight the role of terrain in modulating vegetation vigor and moisture in Mediterranean ecosystems. Full article
Show Figures

Figure 1

14 pages, 3019 KB  
Article
Imbibition and Oil Drainage Mechanisms of Nanoparticle Compound Polymer Fracturing Fluids
by Herui Fan, Tianyu Jiang, Ruoxia Li, Yu Si, Yunbo Dong, Mingwei Zhao, Zhongzheng Xu and Lin Li
Gels 2026, 12(2), 136; https://doi.org/10.3390/gels12020136 - 2 Feb 2026
Viewed by 239
Abstract
Unconventional low-permeability reservoirs present significant production challenges due to the poor imbibition and displacement efficiency of conventional polymer fracturing fluids. The injection of nanoparticle (NP) compounds into polymer fracturing fluid base systems, such as linear gels or slickwater, has garnered significant research interest [...] Read more.
Unconventional low-permeability reservoirs present significant production challenges due to the poor imbibition and displacement efficiency of conventional polymer fracturing fluids. The injection of nanoparticle (NP) compounds into polymer fracturing fluid base systems, such as linear gels or slickwater, has garnered significant research interest due to their superior performance. However, previous studies have primarily focused on evaluating the fluid’s properties, while its imbibition and oil displacement mechanisms within reservoirs remain unclear. Herein, the imbibition mechanism of nanoparticle composite polymer fracturing fluid was systematically investigated from macro and micro perspectives using low-field nuclear magnetic resonance (LF-NMR), atomic force microscopy (AFM), interfacial rheology, and other technical means. The results showed that the imbibition recovery using polymer fracturing fluid was 10.91% higher than that achieved with conventional slickwater. Small and medium pores were identified as the primary contributors to oil drainage. Nanoparticles can be adsorbed on the rock wall in the deep reservoir to realize wettability reversal from oil-wet to water-wet, reducing crude oil adhesion. Furthermore, a strong interaction between the adsorbed NPs and cleanup agents at the oil–water interface was observed, which reduces interfacial tension to 0.95 mN·m−1, mitigates the Jamin effect, and enhances interfacial film deformability. NPs increase the interfacial dilatational modulus from 6.0 to 14.4 mN·m−1, accelerating fluid exchange and oil stripping. This work provides a consolidated mechanistic framework linking NP-induced interfacial modifications to enhanced pore-scale drainage, offering a scientific basis for designing next-generation fracturing fluids. We conclude that NP-compound systems hold strong potential for low-permeability reservoir development, and future efforts must focus on optimizing NP parameters for specific reservoir conditions and overcoming scalability challenges for field deployment. Full article
(This article belongs to the Section Gel Applications)
Show Figures

Figure 1

18 pages, 5241 KB  
Viewpoint
The Generative AI Paradox: GenAI and the Erosion of Trust, the Corrosion of Information Verification, and the Demise of Truth
by Emilio Ferrara
Future Internet 2026, 18(2), 73; https://doi.org/10.3390/fi18020073 - 1 Feb 2026
Viewed by 585
Abstract
Generative AI (GenAI) now produces text, images, audio, and video that can be perceptually convincing at scale and at negligible marginal cost. While public debate often frames the associated harms as “deepfakes” or incremental extensions of misinformation and fraud, this view misses a [...] Read more.
Generative AI (GenAI) now produces text, images, audio, and video that can be perceptually convincing at scale and at negligible marginal cost. While public debate often frames the associated harms as “deepfakes” or incremental extensions of misinformation and fraud, this view misses a broader socio-technical shift: GenAI enables synthetic realities—coherent, interactive, and potentially personalized information environments in which content, identity, and social interaction are jointly manufactured and mutually reinforcing. We argue that the most consequential risk is not merely the production of isolated synthetic artifacts, but the progressive erosion of shared epistemic ground and institutional verification practices as synthetic content, synthetic identity, and synthetic interaction become easy to generate and hard to audit. This paper (i) formalizes synthetic reality as a layered stack (content, identity, interaction, institutions), (ii) expands a taxonomy of GenAI harms spanning personal, economic, informational, and socio-technical risks, (iii) articulates the qualitative shifts introduced by GenAI (cost collapse, throughput, customization, micro-segmentation, provenance gaps, and trust erosion), and (iv) synthesizes recent risk realizations (2023–2025) into a compact case bank illustrating how these mechanisms manifest in fraud, elections, harassment, documentation, and supply-chain compromise. We then propose a mitigation stack that treats provenance infrastructure, platform governance, institutional workflow redesign, and public resilience as complementary rather than substitutable, and outline a research agenda focused on measuring epistemic security. We conclude with the Generative AI Paradox: as synthetic media becomes ubiquitous, societies may rationally discount digital evidence altogether, raising the cost of truth for everyday life and for democratic and economic institutions. Full article
Show Figures

Figure 1

Back to TopTop