Skip to Content
AerospaceAerospace
  • Article
  • Open Access

24 February 2026

Autonomous Control of Satellite Swarms Using Minimal Vision-Based Behavioral Control

School of Aerospace Engineering, Sapienza University of Rome, Via Salaria 851, 00138 Rome, Italy

Abstract

In recent years, the trend toward spacecraft miniaturization has led to the widespread adoption of micro- and nanosatellites, driven by their reduced development costs and simplified launch logistics. Operating these platforms in coordinated fleets, or swarms, represents a promising approach to overcoming the inherent limitations of individual spacecraft by distributing sensing and processing capabilities across multiple units. For systems of this scale, decentralized guidance and control architectures based on so-called behavioral strategies offer an attractive solution. These approaches are inspired by biological swarms, which exhibit remarkable robustness and adaptability through simple local interactions, minimal information exchange, and the absence of centralized supervision, but their application to space scenarios is limited, if not negligible. This work investigates the feasibility of autonomous swarm maintenance subject to orbital forces, under the stringent actuation, sensing, and computational constraints typical of nanosatellite platforms. Each spacecraft is assumed to carry a single monocular camera aligned with the along-track direction. The proposed behavioral control framework enables decentralized formation keeping without ground intervention or centralized coordination. Since control actions rely on the relative motion of neighboring satellites, a lightweight relative navigation capability is required. The results indicate that complex vision pipelines can be replaced by simple blob-based image processing, although a (rough) reconstruction of elative parameters remains essential to avoid unnecessary control effort arising from suboptimal guidance decisions.

1. Introduction

The collective motion of animal swarms, flocks, and schools has fascinated researchers since the earliest systematic observations of natural behavior. Only in the past two decades, however, has this interest extended beyond biology and ethology to disciplines such as robotics and computer science. It has been widely observed that natural swarms are capable of complex cooperative behaviors (including obstacle avoidance, collective defense, and efficient resource gathering) without relying on centralized coordination or leadership. Such systems exhibit remarkable robustness, as their homogeneous structure ensures that no individual agent represents a single point of failure. Inspired by these properties, swarm-based paradigms have been extensively investigated in robotics [1,2,3,4], and more recently, have attracted growing attention within the space community as well [5,6]. Future space missions may involve large groups of small autonomous agents, such as cooperative flying robots for planetary exploration, swarms of probes for asteroid belt reconnaissance, or distributed formations in low Earth orbit (LEO) for remote sensing applications [7,8]. Authors have previously explored the application of swarming concepts to spacecraft systems for tasks such as autonomous self-assembly and orbital migration [9,10]. Increasing interest in swarms is demonstrated by recent research. In [11], a method for integrated task allocation and orbital maneuver planning is devised to address scenarios where a satellite swarm responds to unreachable targets; in this case, the swarm is intended as a constellation rather than a formation, since the control actions are not computed taking relative state into account. In [12], assembly and reconfiguration of space structure were conducted using heterogeneous satellite swarms; the control in this case is centralized, with perfect knowledge of the neighbor satellites.
A foundational contribution to swarm modeling was introduced by Reynolds [13], who proposed three heuristic interaction rules to reproduce collective behavior: cohesion (attraction toward neighboring agents), alignment (velocity matching), and separation (collision avoidance). One of the central challenges in swarm control design lies in providing rigorous stability guarantees for such decentralized systems. In this context, Olfati-Saber [14] developed a theoretical framework for distributed flocking algorithms that incorporate all three of Reynolds’ principles and yield structured quasi-crystalline formations. The implementation of simple interaction laws is strongly influenced by the characteristics of the operating environment. Their application to spacecraft formations remains limited and, in most cases, does not explicitly account for the actuation and sensing constraints typical of microsatellites.
The present work focuses on large swarms of microsatellites required to maintain a cohesive formation while guaranteeing collision avoidance. The novelty of the proposed approach is twofold. First, behavioral control laws are formulated directly in terms of relative orbital elements, making them inherently consistent with the orbital dynamics governing the formation. Second, the framework explicitly addresses the problem of limited and uncertain knowledge of neighboring agents’ states. The goal is to demonstrate the feasibility of the proposed approach, even if at a qualitative level.
A notable recent example of swarm behavioral control is found in [15], where a bio-inspired strategy is proposed for the autonomous capture of large, unknown, and uncooperative orbital targets using minimalist spacecraft. However, this approach assumes that each satellite has access to neighboring states through inter-satellite communication links. In contrast, the method proposed in this work relies exclusively on onboard sensing, specifically a monocular camera, without requiring inter-satellite communication.
A work addressing decentralized drift mitigation under communication constraints can be found in [16], where only satellites within a limited communication region participate in relative motion estimation. However, the study does not explicitly consider collision avoidance nor the impact of relative navigation uncertainties.
In the present study, ground intervention is assumed to be unavailable, and onboard computational resources are considered severely constrained. The objective is therefore to achieve autonomous swarm maintenance using only minimal onboard sensing, provided by a single monocular camera. As explained in [17], different missions were conducted focusing on angles-only navigation, such as AVANTI [18] and ARGON [19], which focused primarily on relative state estimation and relied on external absolute orbit knowledge (e.g., GNSS measurements) to guarantee convergence. More recently, the Starling Formation-flying Optical eXperiment (StarFOX) [20] has aimed to overcome these limitations by implementing a fully autonomous angles-only absolute and relative trajectory measurement system.
In contrast to these approaches, behavioral strategies do not require explicit target identification, as all swarm agents are considered equivalent. Although each spacecraft observes only a small subset of the swarm at any given time, an appropriately designed behavioral guidance law enables autonomous and fuel-efficient swarm maintenance while preserving collision safety. Particular emphasis is placed on the role of relative navigation accuracy, which directly affects guidance quality and control effort.
The remainder of this paper is organized as follows. Section 2 introduces the orbital dynamics models employed in the study. Section 3 describes the mission scenario and the adaptation of the behavioral laws to the space environment. Section 4 presents simulation results assuming ideal relative-state knowledge, while Section 5 investigates the impact of navigation uncertainties associated with a rough vision-based estimation scheme. Finally, conclusions are drawn in Section 6.

2. Relative Orbital Dynamics: Hypothesis and Models

A detailed and long-term evaluation of the control performance of a swarm of satellites requires the development of a high-precision orbital propagator (HPOP), including at least the first zonal harmonics of the Earth’s potential and a model of the atmosphere with time-varying density. However, the nature of this study is purely qualitative, with the task of showing the feasibility and limitations of the behavioral control; therefore, a HPOP would just slow down the simulation time without changing the general conclusions. The relative motion of the satellites is computed by using a simplified model, illustrated, for example, in [21], which is a linear model able to include the effects of J2 and drag perturbation in quite an easy and straightforward way. According to this model, the relative motion is described by a vector of differential mean orbital elements:
δ α = δ a , δ λ , δ e x , δ e y , δ i x , δ i y = f α C , a T , i T f α T , a T , i T
with
f α   , a T , i T = a / a T u + Ω cos i T e cos ω p e sin ω p i Ω sin i T
where subscript T and C stand for Target (the reference satellite) and Chaser, respectively; a is the mean semimajor axis, e is the mean eccentricity, i is the mean inclination, ω p is the mean argument of perigee, Ω is the mean Right Ascension of the Ascending Node (RAAN), and u is the mean argument of latitude. It must be noted that in the case of swarms, there is not a real Target satellite: the group is composed of homogeneous satellites with no special roles, so Target just indicates the satellite that at a given time is taken as reference.
For the case of interest (nearly circular orbits), the dynamics follow a simple linear propagation law:
δ α ˙ = A t δ α + B u c
where u c are the control accelerations in a LVLH frame. The state matrix A(t) can contain both the gravity gradient effects (i.e., the equivalent of the classic Hill–Clohessy–Wiltshire dynamics) and J2 gradient effects, depending, of course, on the chief orbital elements. Atmospheric drag effects can also be easily added by increasing the state vector and including the variation in the semimajor axis. Description of the matrix can be found in [21]. For the sake of simplicity, due to the very qualitative and high-level nature of this study, only Keplerian forces are considered here. The input matrix B reads as:
B = 1 a n 0 2 0 2 0 0 sin ( u ) 2 cos ( u ) 0 cos ( u ) 2 sin ( u ) 0 0 0 cos ( u ) 0 0 sin ( u )
Even though relative coordinates in the Local Vertical Local Horizontal (LVLH) frame are maybe easier and more immediate to interpret—and in fact they will be used in the following to plot the relative trajectories, with x being the radial direction, z the out-of-plane trajectory, and y forming a right-handed frame—the physical meaning of the differential mean orbital elements has also been clearly explained (for example in [22]) and briefly pictured in Figure 1.
Figure 1. Physical meaning of the relative orbital parameters. In-plane motion (left) and out-of-plane motion (right) illustrated in the LVLH (x-y-z, as radial, along-track, and out-of-plane components, respectively) orbital frame.
The differential semimajor axis is, of course, connected to a drift in the formation; differential eccentricity and differential inclination are connected to the in-plane and out-of-plane dimensions of the relative motion ellipse.

3. Behavioral Laws in a Space Scenario

In this paper, we will try to adapt the general behavioral laws to the space scenario, with its peculiar limitations (in particular, in the satellite maneuvering capabilities), and in the environmental forces.

3.1. The Mission Scenario

The mission scenario considered in this study consists of a fleet, or swarm, of spacecraft acting as autonomous agents. Each spacecraft is equipped with a single monocular camera rigidly aligned with the along-track direction; for the sake of simplicity, the attitude of each spacecraft is considered perfectly controlled, so that the sensor axis is constant in the LVLH frame. The sensor features a 60° field of view (FOV) and a resolution such that targets located beyond 500 m cannot be reliably detected.
As introduced earlier, the behavioral control framework is based on three elementary interaction rules: repulsion from nearby neighbors to ensure collision avoidance, attraction toward distant neighbors to preserve cohesion, and alignment with agents at intermediate range to regulate the overall formation geometry. The control input applied by each j-th agent is obtained by superimposing the contributions computed with respect to all visible k-th agents. Only spacecraft lying within the sensor FOV and detection range are considered in the control process. The implications of partial knowledge of the swarm state have been investigated, for instance, in [23]. As shown in Figure 2, in the proposed space scenario, another spacecraft can be detected only if it is inside the FOV, at a distance less than the maximum possible for the sensor characteristics (therefore, considering Figure 2, only spacecraft A and B are detected and contribute to the computation of the control action; satellites labeled as C are outside the FOV, and satellite D is too far).
Figure 2. Sketch of a j-th agent acquiring the position of only two satellites.

3.2. Definition of the Threshold Distances

When designing the control actions, not only must swarm cohesion (i.e., prevention of relative drift) and safety (i.e., collision avoidance) be ensured, but also persistent mutual visibility. Accordingly, three key distance parameters are introduced:
d m i n t r a n s = 30   m : minimum distance in the radial or out-of-plane direction (for collision avoidance issues);
d m i n = 100   m : minimum distance in the along-track direction (for collision avoidance issues);
d m a x = 0.5   k m : maximum distance to detect another spacecraft (for visibility issues).
The values selected for the threshold distances have a large impact on the swarm behavior. The d m a x value has been selected taking into account the optical sensor characteristics, in particular the focal length and resolution of the camera, that make a swarm agent at that distance barely visible (area in the image plane of the order of a few pixels, see Section 5). The minimum along-track distance d m i n should ensure that satellites are not too close to each other in the velocity direction, but at the same time cannot be similar to or exceed the d m a x value; 1/5 of that value has been selected to allow a reasonable comfort range where the neighbor satellite can leave. Finally, d m i n t r a n s is connected both to the d m i n and to the sensors FOV: the selected value results from a trade between large d m i n values (they would increase safety, but the safe areas for neighbors risk being all outside the FOV) and small d m i n values (that would decrease the safety margins).
Within this framework, the ideal relative trajectory of a satellite k-th with respect to a satellite j-th is the one depicted in Figure 3. The desired motion is a bounded, periodic relative ellipse with no secular drift, confined between prescribed minimum and maximum separations. Moreover, the cross-track and out-of-plane components are shaped so as to avoid interception of the along-track axis, thereby providing an additional safety margin: in the event of a failure, the resulting relative drift would not lead to a collision. While such configurations may result in locally dense regions within large swarms, the role of the behavioral control laws is precisely to establish and maintain a globally stable and safe configuration through purely decentralized decision-making.
Figure 3. Sketch of a safe relative trajectory, i.e. an elliptical trajectory around the collision avoidance cylinder.
In order to achieve this behavior, the regions and the respective actions of attraction, alignment, and repulsion must be carefully defined.

3.3. Definition of the Decision Distances

The selection of the appropriate control action among repulsion, alignment, and attraction is governed by the intersatellite separation. A straightforward choice would be to define this distance as the Euclidean norm of the relative position vector. However, both the in-plane and out-of-plane components of the relative motion exhibit periodic behavior, which may lead to correct decisions being triggered at inappropriate times. For instance, a satellite may be dangerously close when it lies outside the field of view, or it may appear to be at a safe distance at a given instant while approaching a critical configuration within less than one orbital period.
For this reason, the decision metric is not based solely on instantaneous relative distance but instead relies on the mean differential orbital elements. These parameters capture the geometry and long-term evolution of the relative trajectory, thereby enabling predictive decision-making and allowing corrective actions to be initiated before unsafe or undesirable configurations develop.
At each decision sample time (not necessarily short: 10 s between two successive measurements is selected for the following simulations), the j-th satellite detects a certain number of k-th satellites, places a reference upon each of them, and finally, it computes the relative state δ α j k ( t ) . The navigation issue is, for the moment, skipped, and we suppose perfect knowledge of the δ α j k ( t ) vector.
In a stationary condition, the differential semimajor axis will be small; the shape of the relative trajectory is a walking ellipse with limited drift. Upon an orbital period, it is meaningful to consider that the minimum relative distances will be determined by (see Figure 1):
d j k m i n = a δ λ j j 2 δ e j j
The repulsion, or collision avoidance (CA), area will be entered if d j k m i n < d m i n . The attraction area will be entered if d j k m i n > 0.6 d m a x . The alignment zone is in between.

3.4. Control Laws

The selection of the control algorithm, of course, affects the performance of the behavioral guidance, but it is not the core objective of the present research. A Linear Quadratic Regulator [24] based on the linear dynamics Equation (2) is used. Since the state matrix and the input matrix are time-dependent, the Differential Riccati equations must be used instead of the usual Algebraic Riccati Equation; this means that the resulting gains are time-dependent as well. The control action reads as:
u c j = k N v i s K j k ( t ) w j , k δ α j k δ α ¯ j k
The gain K j k ( t ) and the reference state δ α ¯ j k change according to repulsion, attraction or alignment behavioral law. The error with respect to the reference state is summed up over all Nvis visible satellites and can be weighted according to the relative distance (see Section 3.5, Section 3.6 and Section 3.7). Not all components of the relative orbital elements are of interest for the different control laws; in this case, the component of the reference state that is neglected for control purposes is indicated with the symbol ~ .

3.5. Collision Avoidance Algorithm

When the j-th agent is too close with respect to a k-th agent, it is considered a very dangerous situation, and, therefore, the objective is to perform a fast maneuver to increase the relative distance and guide the satellites to a safe configuration.
It has been shown in [25] that parallel differential eccentricity and inclination vectors offer maximum safety with respect to collision avoidance; in fact, a failure of one satellite with consequent along-track drift would not lead to a collision, as shown in Figure 4.
Figure 4. Relative motion for parallel (left) and orthogonal (right) δ e / δ i vectors.
The desired relative state is specified by assigning a differential eccentricity vector that preserves the direction of its current value while increasing its magnitude to a level exceeding the minimum allowable threshold d m i n t r a n s by a prescribed factor k e c c (set to k e c c = 1.1 in the simulations). The desired differential inclination vector is chosen to be equal to the desired eccentricity vector, thereby enforcing their parallelism. Finally, the desired differential semimajor axis is set to a positive offset of 100 m, which induces a controlled negative along-track drift.
e ¯ j k C A = k e c c δ e j k δ e j k d m i n T r a n s a c δ i ¯ j k C A = δ e ¯ j k C A δ a ¯ j k C A = 0.1 a c δ α ¯ j k C A = δ a ¯ j k C A δ e ¯ j k C A δ i ¯ j k C A
The error weight Q of the LQR in this case is Q C A = d i a g 0.01 0 1 1 1 1 , and control weight matrix is set to R C A = 1 0 4 I 3 × 3 : a value which, as shown in the next paragraphs, is one or two orders of magnitude less than in the alignment and attraction cases, leading to a much larger control action.
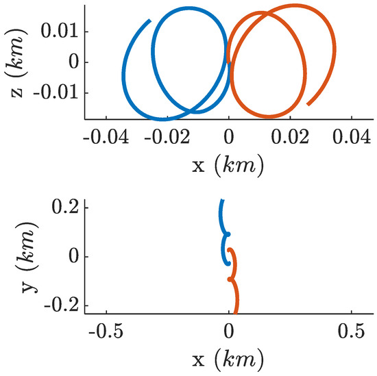
As an initial validation of the collision-avoidance (CA) maneuver, a simplified scenario involving only two satellites is considered. The initial conditions are selected such that the follower satellite detects a neighboring agent at an unsafe distance and consequently activates the CA control law, while the alignment and attraction behaviors are temporarily disabled. As shown in Figure 5, the along-track separation between the two spacecraft is successfully increased to a safe value. The apparent motion of both satellites is a consequence of expressing the relative trajectories in a reference frame centered at the swarm center of mass, which is adopted here and throughout the remainder of the paper.
Figure 5. Cross-track (above) and in-plane (below) behavior of two satellites performing a CA maneuver (blue: satellite 1, red: satellite 2): reference frame on COM of the swarm.
In the collision-avoidance regime, no weighting is applied to the tracking error between the relative state vector and the corresponding reference state of the N C A satellites located within the CA region ( w j , k = 1 ).
u c j C A = K C A ( t ) k N C A δ α j k δ α ¯ j k

3.6. Alignment Algorithm

Within the alignment region, the primary objectives are to suppress relative drift and to maintain a cross-track separation that is sufficiently large to ensure collision avoidance, yet small enough to guarantee persistent mutual visibility. Algorithm 1 reports the main steps of the algorithm. First, the dimension of the cross-track relative trajectory is evaluated and compared both to d m i n t r a n s (to check if the dimension is too small) and to d max , j k t r a n s , a maximum transverse dimension that is computed to preserve the k-th satellite inside the FOV (specifically, 90% of the maximum transverse distance to be inside the FOV). Finally, the parallelism between the differential eccentricity and the differential inclination is checked. If one of the three conditions is met (TooSmall, TooLarge, and NotParallel), the alignment control action u c j A l is computed.
At the scope, the relative desired state is defined similarly to the collision avoidance case, with the difference that desired differential semimajor axis is zero.
δ α ¯ j k A l = 0 δ e ¯ j k A l δ i ¯ j k A l
In the alignment regime, the tracking error is weighted so as to assign greater importance to the closest neighboring agents; the weight parameter w j , k scales linearly from 1 when d j k m i n = d m i n to 0 when d j k m i n = 0.6 d m a x (the borders of the alignment region). The gain K A l ( t ) is computed with a control weight matrix R A l = 1 0 6 I 3 × 3 and an error weight matrix Q A l = d i a g 1 | 0 | 1 | 1 | 1 | 1 . NAl is the number of satellites in the alignment area of the j-th satellite.
Algorithm 1: Alignment.
Input: Relative distance, relative orbital elements
Output: Alignment control acceleration
1:
Define a maximum transverse distance (FOV constraint)
              d max , j k t r a n s = 0.9 d j k tan θ f o v
2:
Check transverse distance
if a δ i j k > d max , j k t r a n s or a δ e j k > d max , j k t r a n s
      TooLarge = 1
     end if
     if a δ i j k < d m i n t r a n s or a δ e j k < d m i n t r a n s
      TooSmall = 1
     end if
3:
Check parallelism:
     if δ e j k δ i j k δ e j k δ i j k < 0.8
       NotParallel = 1
     end if
4:
Compute the desired relative j-k state:
     if NorParallel or TooLarge or TooSmall
e ¯ j k A l = k e c c δ e j k δ e j k d m i n T r a n s a c
               δ i ¯ j k A l = δ e ¯ j k A l
                δ a ¯ j k A l = 0
     end if
5:
Compute the control acceleration:
       u c j A l = K A l ( t ) k N A l w j , k δ α j k δ α ¯ j k A l
To validate the correctness of the alignment algorithm, a simplified two-satellite scenario is considered. The spacecraft are initially separated by a distance that places them within the alignment region, i.e., neither excessively close nor excessively far. However, the initial conditions include a relative drift and an improper transverse separation, characterized by an insufficient cross-track distance and non-parallel differential eccentricity and inclination vectors.
As it is possible to see from Figure 6, the two satellites move to a safe relative orbit in which the relative motion in the cross-track plane is a circumference and there is a safe along-track separation.
Figure 6. XZ and XY coordinated plane projection of the relative motion under alignment action.

3.7. Attraction Algorithm

When the satellite j-th detects a k-th satellite that is still visible but with a range that is so far that it risks exiting the visibility region, the only interest is preventing a further separation. Therefore, the reference state is just set as the differential semimajor axis being zero.
δ α ¯ j k A t t = 0
The control gain is computed with a control weight matrix R A t t = 1 0 5 I 3 × 3 and an error weight matrix Q A t t = d i a g 1 | 0 | 0 | 0 | 0 | 0 . NAtt is the number of satellites in the attraction area of the j-th satellite. The weighting parameter is w j , k == 1:
u c j A t t = K A t t ( t ) k N A t t w j , k δ α j k δ α ¯ j k A t t  

3.8. Control Action Computation

As mentioned, each j-th satellite computes the actions with respect to all k-th visible satellites, sums them up, and applies them.
u c j = u c j C A + u c j A l + u c j A t t
Unlike the previously considered two-satellite scenarios, each maneuver in a multi-agent swarm is inherently suboptimal with respect to any specific k -th neighbor, since each spacecraft simultaneously reacts to multiple agents, each of which is executing its own independent control actions. The resulting collective behavior is therefore uncoordinated, nonlinear, and difficult to predict analytically. Nevertheless, the simulations presented in the following section demonstrate that, under the ideal assumption of perfect relative-state reconstruction, the swarm rapidly converges to a stable and safe configuration in a fully autonomous manner.

4. Simulation Set-Up

The following simulations consider a swarm composed of 20 spacecraft. The initial conditions are deliberately selected such that, in the absence of control actions, the swarm would rapidly disperse and potentially experience collisions, as illustrated in Figure 7. It should be noted that the system behavior is highly sensitive to the initial configuration. For instance, if a spacecraft initially neither observes any neighbors nor is observed by others, it will inevitably drift away from the swarm. In behavioral systems, the loss of individual agents may be regarded as an inherent characteristic, since the overarching objective is the survival of the collective rather than that of any single unit. Nevertheless, for space applications, a more conservative approach is adopted here by assuming initial conditions that allow all spacecraft to actively participate in the control process.
Figure 7. Along-track separation of the uncontrolled swarm.
Under this assumption, the initial relative orbital elements of the swarm are randomly generated to emulate deployment from a common launch vehicle, with orbital dispersions consistent with the values reported in Table 1. Different scenarios have also been tested, with different numbers of satellites, showing good scalability of the approach. It has been noticed that there is a strong coupling between the dimension of the swarm and the initial conditions; in order to have reasonable behavior, the initial conditions should be adapted to the number of satellites; as an example, if same conditions as Table 1 were used for a 200 members swarm (instead of 20), they would be very “packed” and with much larger collision probability.
Table 1. Initial conditions in terms of relative orbital elements.

4.1. Basics of Graph Theory

To quantitatively assess the integrity of the swarm, a basic graph-theoretic framework is introduced. A graph is a mathematical structure used to represent pairwise relationships among entities and is composed of vertices (in this case, the satellites) and edges (or links), which indicate that a given k -th satellite is visible to a j -th satellite. In the present scenario, these relationships are inherently directional: if a j -th satellite detects a k -th satellite within its field of view, the converse is not true. As a result, the swarm is more appropriately modeled as a directed graph (digraph), in which each edge represents a one-way interaction.
A digraph may be classified as disconnected, strongly connected, or weakly connected. In a strongly connected digraph, every vertex can be reached from any other by following the direction of the edges, whereas in a weakly connected digraph, connectivity is achieved when edge directions are ignored. For the purposes of swarm integrity, weak connectivity is sufficient, as it ensures that every satellite either observes or is observed by at least one other member of the swarm.
As an illustrative example, Figure 8 depicts an initial configuration of a 20-spacecraft swarm, where dotted lines indicate visibility links between satellites. In order to determine the integrity of the swarm, the connected components of graph G are computed as bins (using the MATLAB R2023b conncomp function). For a weakly connected digraph, only one is present, with twenty elements. If more bins are present, it means that the swarm is split into two or more connected subgraphs. The corresponding graph representation at the initial time is shown in Figure 9, where it can be observed that the swarm is weakly connected, with no isolated nodes. While initial connectivity is necessary, it must be regarded as a dynamic property: a swarm that is initially connected may evolve into a disconnected configuration, either temporarily or permanently. In such cases, the behavioral control laws would fail to preserve swarm integrity.
Figure 8. Example of random initial configuration of the swarm.
Figure 9. Graph plot representing the swarm connectedness at the initial time.

4.2. Simulation Results

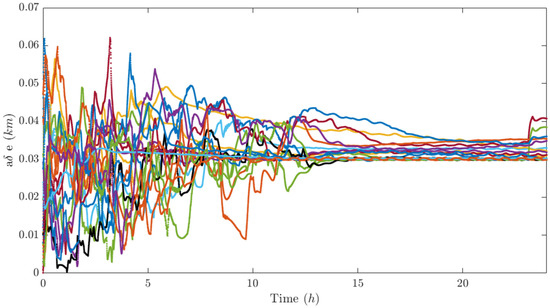
The simulation time is set to 24 h, and it has been repeated for many different random initial configurations, obtaining (qualitative) similar results: only one sample simulation is reported here for brevity and clarity of the plots. As it is possible to see from Figure 10, during all simulations, there is only one connected component, of course, of dimension equal to 20 (i.e., the swarm is always connected). The digraph at the final time is represented in Figure 11, where it is possible to see that no agent is isolated; the only satellite that does not detect other agents is No. 18, which is the spacecraft that precedes all others.
Figure 10. Connectedness of the swarm.
Figure 11. Graph plot representing the swarm connectedness at the final time.
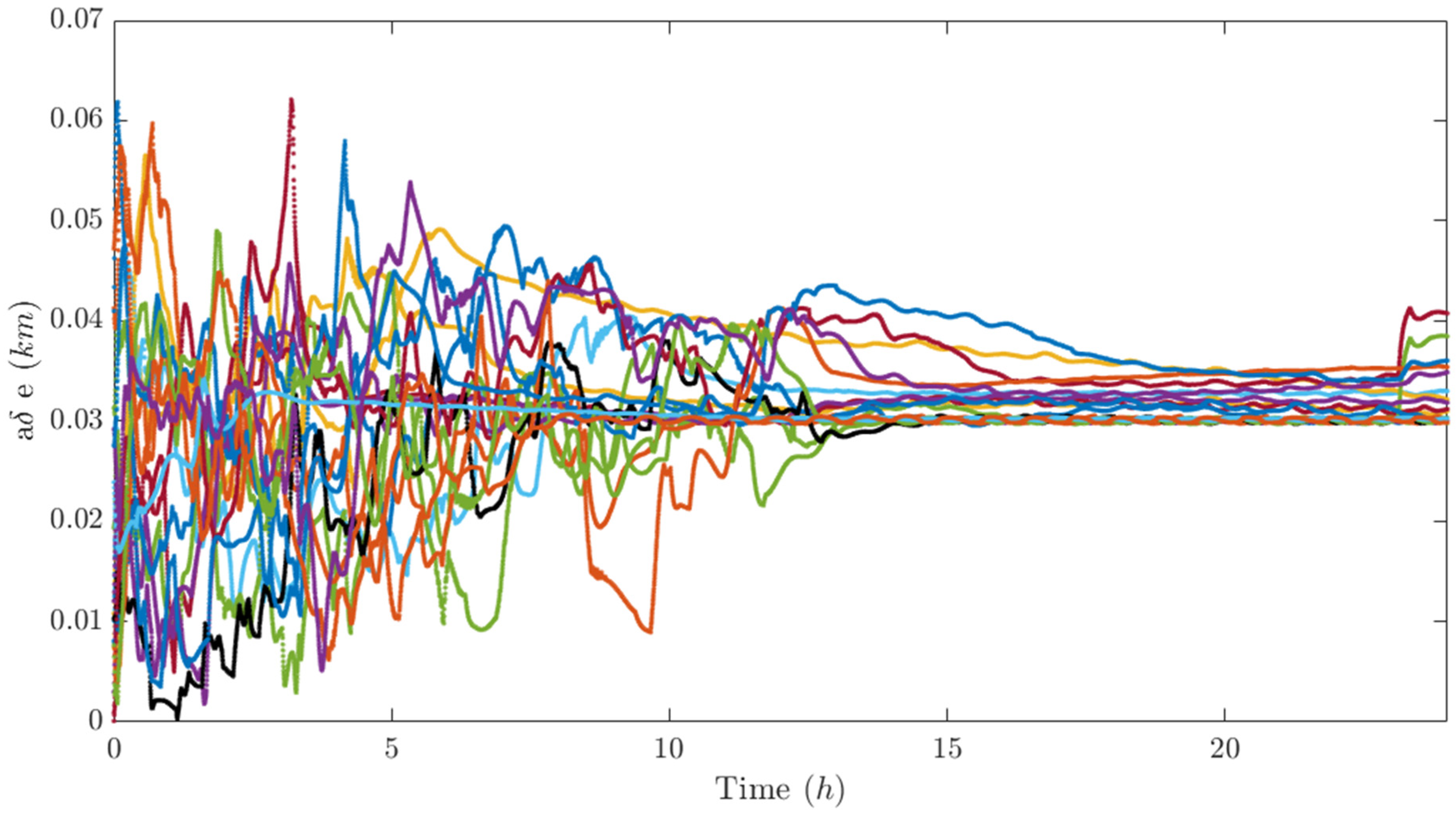
Figure 12, Figure 13 and Figure 14 report the components of the differential element vector δ α k of each satellite with respect to the center of mass of the swarm. It can be seen that the differential semimajor axis is set to zero in less than 20 h (Figure 12 upper subplot) and the longitudinal separation of the swarm is fairly regular (Figure 12 lower subplot). Also, the differential eccentricity and inclination reach a stationary value, which, however, is difficult to interpret if we do not analyze the performance indices of each j-th satellite with respect to each k-th satellite in visibility. In this sense, the longitudinal distance of each satellite with respect to the closest visible agents is plotted in Figure 15, and it is greater than the minimum fixed value d m i n at stationary, the out-of-plane and radial dimensions of the relative ellipse (Figure 16 and Figure 17, respectively) are greater than the minimum transverse distance d m i n t r a n s at stationary, and finally, the parallelism between relative inclination and relative eccentricity vector is greater (in module) than 0.8 at stationary (Figure 18).
Figure 12. First two differential mean elements of the ten satellites.
Figure 13. Third and fourth differential mean elements of the ten satellites (differential eccentricity).
Figure 14. Fifth and sixth differential mean elements of the ten satellites (differential inclination).
Figure 15. Along-track distance of all satellites with respect to all respective closest visible satellites.
Figure 16. Out-of-plane distance of all satellites with respect to all respective closest visible satellites.
Figure 17. Minimal radial distance of all satellites with respect to all respective closest visible satellites.
Figure 18. Parallelism of all satellites with respect to all respective visible satellites.
The control effort, in terms of required accelerations, is reported in Figure 19. For microsatellites (mass of the order of 10 kg), it means that milli-newton-level thrusters are required. Also, the analysis of the propellant consumption, summarized by the Δ V reported in Figure 20, can be considered affordable and, more importantly, it reaches a stationary value, showing that the swarm behavior is able to reach a stationary configuration where no more corrections are needed. In order to have a clearer view of the actual swarm dynamics, the trajectories in the LVLH frame are reported in Figure 21 (where the along-track behavior suggests a uniform distribution of the agents) and Figure 22 (where it is possible to appreciate the XZ and XY projections of the trajectories).
Figure 19. Control accelerations required by the 20 swarm members.
Figure 20. Control performance in terms of ΔV required by each swarm member.
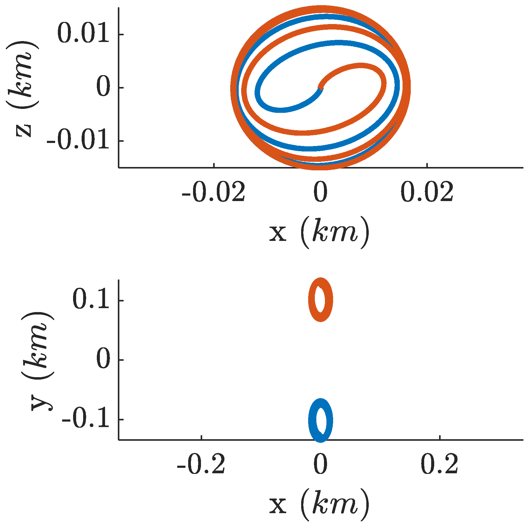
Figure 21. Along-track position of the spacecraft with respect to the swarm center of mass.
Figure 22. Cross-track (upper subplot) and in-orbit (lower subplot) projections of the relative trajectories with respect to the swarm center of mass.

5. A Rough Relative Navigation System

One of the main objectives of this study is to assess whether behavioral control strategies can be effectively implemented using a highly simplified relative navigation system based on a single monocular camera and the comparison of successive image frames, without resorting to complex image processing, filtering, or target identification techniques. This approach is motivated by the need to minimize onboard computational requirements, which are particularly constrained on microsatellite platforms.
To this end, a blob-based image processing method [26] is adopted to extract the apparent area (in pixels) of each visible satellite and the coordinates of its centroid in the image plane. These two quantities, evaluated over two consecutive image frames, provide sufficient information, in principle, to estimate the key relative parameters required by the behavioral control strategy. Of course, noise associated with real images must be considered, since they deeply affect the performance. The following analysis relies on the hypothesis that, as stated in Section 3.1, the attitude of the swarm members is perfectly controlled and aligned with the velocity vector. In visual navigation, there is, of course, a strong coupling between attitude pointing accuracy and navigation performance; however, in this work, the focus is on the performance of behavioral control. The effect of attitude control error is considered as part of the navigation error, while the specific contribution is not analyzed.
Assuming a pinhole model of the camera [27], the coordinates in the image plane are proportional to the actual coordinates in the LVLH frame, following the relation:
p i m m x = f x L V L H y L V L H p i m m y = f z L V L H y L V L H
where p i m m x , p i m m y are the blob coordinates in the image plane, f is the focal length, and x L V L H , y L V L H , z L V L H are the radial, along-track, and cross-track distances, which are unknown but could be measured by a range sensor or estimated with more sophisticated angles-only navigation. The camera is modeled with a 1080 × 1080 pixel image plane, with focal length f = 1000, and FOV semi-aperture equal to 28 degrees.
In this paper, in order to keep the algorithm as simple as possible, the range is roughly computed considering the ratio between the area in the image plane and the real area.
y ~ L V L H = f A t r u e A b l o b
The satellites are modeled as a central body (a square of 20 cm side) with two lateral solar panels (50 cm each). In Figure 23, the B/W images of the satellites acquired and processed by another agent during a certain time lapse are represented as black blobs on a white background, as an example. When the satellites are not plotted, it means that at that time, they are not in visibility (because they are too far or outside the FOV).
Figure 23. Example of a sequence of images recorded by a satellite of the swarm, observing two satellites on different trajectories.
Considering two successive images, it is possible to easily associate the blobs with the same satellite by means of a nearest neighbor criterion. Therefore, a velocity in the image plane can be computed by the finite difference of the recorded position in the image plane (see Figure 24 for an explicative sketch).
p ˙ i m m x t = p i m m x t + Δ t p i m m x t Δ t p ˙ i m m y t = p i m m y t + Δ t p i m m y t Δ t
Figure 24. Sketch of a scenario in which a certain agent is able to observe four satellites, some of them for all the time (Sat A, Sat B) and some others exiting the FOV (Sat C, Sat D).
From these computations, the along-track, out-of-plane, and cross-track velocities can be estimated:
y ~ ˙ L V L H = y ~ L V L H t + Δ t y ~ L V L H t Δ t x ~ ˙ L V L H = y ~ L V L H f p ˙ i m m x + p i m m x y ~ ˙ L V L H f z ~ ˙ L V L H = y ~ L V L H f p ˙ i m m y + p i m m y y ~ ˙ L V L H f
The relative coordinates in the LVLH frame and the differential mean orbital elements are related by the following equations [19]:
X = x ~ L V L H y ~ L V L H x ~ ˙ L V L H y ~ ˙ L V L H z ~ L V L H z ~ ˙ L V L H M =   4 0 0 2 / n 0 0 0 1 2 / n 0 0 0 3 cos u 0 sin u / n 2 cos u / n 0 0 3 sin u 0 cos u / n 2 sin u / n 0 0 0 0 0 0 sin u cos u / n 0 0 0 0 cos u sin u / n δ α ~ j k = M a X
Running the same simulation of Section 4.2 while taking this rough estimation of relative state X into account and analyzing the performance indices, it is possible to see that they are not greatly degraded: the integrity of the swarm is always achieved, the distance (Figure 25) among the satellite in visibility confirms that no collision happens, and the minimum along-track distance of 100 m is always respected. Concerning the transverse behavior, Figure 26 and Figure 27 are encouraging, being always greater than the minimum of 30 m, and the parallelism is respected in all cases, as shown in Figure 28. The control cost, represented by the required Δ V , is not qualitatively different: in fact, a total value of 12.84 m/s for the 20 members is required, while 11.42 m/s is requested in the ideal case of perfect knowledge. The real and important difference is that in the ideal case, the control of the swarm reaches a stationary condition in which no further actions are needed (flat Δ V behavior in Figure 20), while using images, there is a slight increase in the Δ V also required in the last phases of the simulation (Figure 29).
Figure 25. Along-track distance of all satellites with respect to all respective visible satellites (rough navigation case).
Figure 26. Minimum radial distance of all satellites with respect to all respective visible satellites (rough navigation case).
Figure 27. Out-of-plane distance of all satellites with respect to all respective visible satellites (rough navigation case).
Figure 28. Parallelism of all satellites with respect to all respective visible satellites (rough navigation case).
Figure 29. Control performance in terms of Δ V required by each swarm member (using images).
This satisfactory performance is due to the fact that here, the ideal hypothesis that the area and center of mass of the observed satellite are perfectly measured in the image plane is assumed; therefore, the only error is in the computation of the velocities as finite differences.
In order to give qualitative information about the performance that a navigation system should have to implement the behavioral strategy, the simulation is now re-run by using differential orbital elements with additional Gaussian noise equal to a certain percentage of its true value (from 0% (ideal) to 30%). Figure 30 shows how the global Δ V required grows considerably with the navigation error. For a value of 30% noise level, the swarm loses its integrity, and therefore, it must be considered an upper-bound (see Figure 31). To get a more direct impression of the required accuracy, it must be noticed that this 30% error applies also to classic relative position and velocity vectors in the LVLH frame, due to the linear relation with relative orbital elements.
Figure 30. Control performance in terms of total ΔV required for different errors affecting the navigation system.
Figure 31. Connectedness of the swarm for a noisy measurement (35% standard deviation).

6. Final Remarks

This work has investigated the applicability of behavioral control strategies, originally developed in the field of robotics, to the autonomous maintenance of satellite swarms. The objective is to achieve a cohesive, drift-free formation with inherent collision safety, without relying on centralized supervision or coordination.
The results demonstrate that, under favorable initial conditions (specifically, when the swarm is initially connected), stable and safe configurations can be attained using simple, fully decentralized control actions computed onboard each spacecraft from a minimal sensor suite consisting essentially of a monocular camera.
At the same time, relative navigation remains a critical challenge. The analysis shows that inaccuracies in relative state estimation can degrade control performance and increase control effort. An upper bound on the admissible navigation error has, therefore, been identified, providing a quantitative requirement for the navigation algorithms (e.g., angles-only approaches) used to estimate the relative motion. Importantly, this bound is shown to be relatively permissive, indicating that behavioral strategies do not require highly sophisticated or computationally demanding navigation solutions.
The present study provides a qualitative assessment of the feasibility of the proposed behavioral control strategy. Several simplifying assumptions have therefore been adopted. The swarm dynamics are propagated without a high-fidelity orbital model; spacecraft attitude is assumed to be perfectly aligned with the velocity direction; and image acquisition is not simulated through computer rendering, such that realistic imaging artifacts and disturbances are not represented. Consequently, the associated image-processing chain is not explicitly addressed.
Within these limitations, the proposed behavioral framework demonstrates encouraging properties in terms of cohesion maintenance and collision avoidance under constrained sensing conditions. The results support further investigation using higher-fidelity dynamical models, realistic imaging simulations, and integrated guidance–navigation–control architectures, with the objective of progressing toward practical on-orbit implementation.

Funding

This research received no external funding. We would like to acknowledge Thales Alenia Space Italia for supporting the initial concept of the research, under contract nr. 1520116016.

Data Availability Statement

The raw data supporting the conclusions of this article will be made available by the authors on request.

Conflicts of Interest

The author declares no conflict of interest.

References

  1. Desai, J.P.; Ostrowski, J.P.; Kumar, V. Controlling formations of multiple mobile robots. In Proceedings of the 1998 IEEE International Conference on Robotics & Automation, Leuven, Belgium, 20 May 1998. [Google Scholar]
  2. Gazi, V. Swarm aggregations using artificial potentials and sliding mode control. In Proceedings of the 42nd IEEE Conference on Decision and Control, Maui, HI, USA, 9–12 December 2003. [Google Scholar]
  3. Gazi, V.; Passino, K.M. Stability analysis of swarm. IEEE Trans. Autom. Control 2003, 48, 692–697. [Google Scholar] [CrossRef]
  4. Dorigo, M.; Trianni, V.; Sahin, E.; Groß, R.; Labella, T.H.; Baldassarre, G.; Nolfi, S.; Deneubourg, J.L.; Mondada, F.; Floreano, D.; et al. Evolving self-organized behaviours for a swarm-bot. Auton. Robot. 2004, 17, 223–245. [Google Scholar] [CrossRef]
  5. Ayre, M.; Izzo, D.; Pettazzi, L. Self-assembly in space using behaviour-based intelligent components. In Towards Autonomous Robotic Systems (TAROS); Imperial College: London, UK, 2005. [Google Scholar]
  6. Izzo, D.; Pettazzi, L. Autonomous and distributed motion planning for satellite swarm. J. Guid. Control Dyn. 2007, 30, 449–459. [Google Scholar] [CrossRef]
  7. Clark, P.E.; Curtis, S.A.; Rilee, M.L. ANTS: Applying a new paradigm for lunar and planetary exploration. In Proceedings of the Solar System Remote Sensing Symposium, Pittsburgh, PA, USA, 20–21 September 2002. [Google Scholar]
  8. Vane, D.; Stephens, G.L. The CloudSat mission and the A-Train: A revolutionary approach to observing Earth’s atmosphere. In Proceedings of the IEEE Aerospace Conference, Big Sky, MT, USA, 1–8 March 2008. [Google Scholar]
  9. Sabatini, M.; Reali, F.; Palmerini, G.B. Autonomous behavioral strategy and optimal centralized guidance for on-orbit self-assembly. In Proceedings of the IEEE Aerospace Conference, Big Sky, MT, USA, 7–14 March 2009. [Google Scholar]
  10. Sabatini, M.; Palmerini, G.B. Collective control of spacecraft swarms for space exploration. Celest. Mech. Dyn. Astron. 2009, 105, 229–244. [Google Scholar] [CrossRef]
  11. Sun, Y.; Wu, X.; Park, H.; Dong, C. Orbit maneuver planning of earth observation satellite swarm for unreachable targets. Acta Astronaut. 2026, 241, 620–636. [Google Scholar] [CrossRef]
  12. Liao, D.; Pan, X.; Wei, Z.; Chen, T. Assembly and reconfiguration of space structure using heterogeneous satellite swarms. Acta Astronaut. 2025, 229, 166–180. [Google Scholar] [CrossRef]
  13. Reynolds, C.W. Flocks, herds, & schools: A distributed behavioural model. Comput. Graph. 1987, 21, 25–34. [Google Scholar]
  14. Olfati-Saber, R. Flocking for multi-agent dynamic systems: Algorithms and theory. IEEE Trans. Autom. Control 2006, 51, 401–420. [Google Scholar] [CrossRef]
  15. El Ghali Asri, A.; Zhu, Z.H. Bioinspired consensus-based spacecraft swarm control for autonomous capture of uncooperative targets. Acta Astronaut. 2025, 234, 419–428. [Google Scholar] [CrossRef]
  16. Monakhova, U.; Ivanov, D.; Mashtakov, Y.; Shestakov, S.; Ovchinnikov, M. Communication area estimation for decentralized control of nanosatellites swarm. Acta Astronaut. 2023, 211, 49–59. [Google Scholar] [CrossRef]
  17. Kruger, J.; Hwang, S.S.; D’Amico, S. Starling Formation-Flying Optical Experiment: Initial operations and flight results. In Proceedings of the 38th Small Satellite Conference, Logan, UT, USA, 3–8 August 2024. [Google Scholar]
  18. D’Amico, S.; Ardaens, J.-S.; Gaias, G.; Benninghoff, H.; Schlepp, B.; Jørgensen, J.L. Noncooperative rendezvous using angles-only optical navigation: System design and flight results. J. Guid. Control Dyn. 2013, 36, 1576–1595. [Google Scholar] [CrossRef]
  19. Gaias, G.; Ardaens, J.-S. Flight demonstration of autonomous noncooperative rendezvous in low Earth orbit. J. Guid. Control Dyn. 2017, 41, 1337–1354. [Google Scholar] [CrossRef]
  20. Kruger, J.; Koenig, A.W.; D’Amico, S. Starling Formation-Flying Optical Experiment (StarFOX): System design and preflight verification. J. Spacecr. Rocket. 2023, 60, 6. [Google Scholar] [CrossRef]
  21. Gaias, G.; Ardaens, J.-S.; Montenbruck, O. Model of J2 perturbed satellite relative motion with time-varying differential drag. Celest. Mech. Dyn. Astron. 2015, 123, 411–433. [Google Scholar] [CrossRef]
  22. Steindorf, L.M.; D’Amico, S.; Scharnagl, J.; Kempf, F.; Schilling, K. Constrained low-thrust satellite formation-flying using relative orbit elements. Adv. Astronaut. Sci. 2017, 160. [Google Scholar]
  23. Sabatini, M.; Palmerini, G.B.; Gasbarri, P. Control laws for defective swarming systems. In Proceedings of the Dynamics and Control of Space Systems (DyCoSS), Rome, Italy, 12–14 March 2014. [Google Scholar]
  24. Lewis, F.L.; Vrabie, D.L.; Syrmos, V.L. Optimal Control, 3rd ed.; John Wiley & Sons: Hoboken, NJ, USA, 2012; Chapter 3. [Google Scholar]
  25. D’Amico, S.; Montenbruck, O. Proximity operations of formation-flying spacecraft using an eccentricity/inclination vector separation. J. Guid. Control Dyn. 2006, 29, 3. [Google Scholar] [CrossRef]
  26. Sabatini, M.; Volpe, R.; Palmerini, G.B. Centralized visual-based navigation and control of a swarm of satellites for on-orbit servicing. Acta Astronaut. 2020, 171, 323–334. [Google Scholar] [CrossRef]
  27. Sturm, P. Pinhole camera model. In Computer Vision; Springer: Berlin/Heidelberg, Germany, 2014; pp. 610–613. [Google Scholar]
Disclaimer/Publisher’s Note: The statements, opinions and data contained in all publications are solely those of the individual author(s) and contributor(s) and not of MDPI and/or the editor(s). MDPI and/or the editor(s) disclaim responsibility for any injury to people or property resulting from any ideas, methods, instructions or products referred to in the content.

Article Metrics

Citations

Article Access Statistics

Multiple requests from the same IP address are counted as one view.