Sign in to use this feature.

Years

Between: -

Subjects

remove_circle_outline
remove_circle_outline
remove_circle_outline
remove_circle_outline
remove_circle_outline

Journals

Article Types

Countries / Regions

Search Results (11)

Search Parameters:
Keywords = medium coverage genome sequencing

Order results
Result details
Results per page
Select all
Export citation of selected articles as:
12 pages, 1376 KB  
Article
Hybrid Capture-Based Sequencing Enables Highly Sensitive Zoonotic Virus Detection Within the One Health Framework
by Weiya Mao, Jin Wang, Ting Li, Jiani Wu, Jiangrong Wang, Shubo Wen, Jicheng Huang, Yongxia Shi, Kui Zheng, Yali Zhai, Xiaokang Li, Yan Long, Jiahai Lu and Cheng Guo
Pathogens 2025, 14(3), 264; https://doi.org/10.3390/pathogens14030264 - 7 Mar 2025
Cited by 2 | Viewed by 1796
Abstract
Hybrid capture-based target enrichment prior to sequencing has been shown to significantly improve the sensitivity of detection for genetic regions of interest. In the context of One Health relevant pathogen detection, we present a hybrid capture-based sequencing method that employs an optimized probe [...] Read more.
Hybrid capture-based target enrichment prior to sequencing has been shown to significantly improve the sensitivity of detection for genetic regions of interest. In the context of One Health relevant pathogen detection, we present a hybrid capture-based sequencing method that employs an optimized probe set consisting of 149,990 probes, targeting 663 viruses associated with humans and animals. The detection performance was initially assessed using viral reference materials in a background of human nucleic acids. Compared to standard metagenomic next-generation sequencing (mNGS), our method achieved substantial read enrichment, with increases ranging from 143- to 1126-fold, and enhanced detection sensitivity by lowering the limit of detection (LoD) from 103–104 copies to as few as 10 copies based on whole genomes. This method was further validated using infectious samples from both animals and humans, including bovine rectal swabs and throat swabs from SARS-CoV-2 patients across various concentration gradients. In both sample types, our hybrid capture-based sequencing method exhibited heightened sensitivity, increased viral genome coverage, and more comprehensive viral identification and characterization. Our method bridges a critical divide between diagnostic detection and genomic surveillance. These findings illustrate that our hybrid capture-based sequencing method can effectively enhance sensitivity to as few as 10 viral copies and genome coverage to >99% in medium-to-high viral loads. This dual capability is particularly impactful for emerging pathogens like SARS-CoV-2, where early detection and genomic characterization are equally vital, thereby addressing the limitations of metagenomics in the surveillance of emerging infectious diseases in complex samples. Full article
(This article belongs to the Special Issue Current Advances in Pathogen Diagnosis and Discovery Methods)
Show Figures

Figure 1

17 pages, 4373 KB  
Article
Effective Inhibitor Removal from Wastewater Samples Increases Sensitivity of RT-dPCR and Sequencing Analyses and Enhances the Stability of Wastewater-Based Surveillance
by Nico Linzner, Alexander Bartel, Vera Schumacher, José Horacio Grau, Emanuel Wyler, Henrike Preuß, Sonja Garske, Julia Bitzegeio, Elisabeth Barbara Kirst, Karsten Liere, Sebastian Hoppe, Tatiana A. Borodina, Janine Altmüller, Markus Landthaler, Martin Meixner, Daniel Sagebiel and Uta Böckelmann
Microorganisms 2024, 12(12), 2475; https://doi.org/10.3390/microorganisms12122475 - 2 Dec 2024
Cited by 2 | Viewed by 5029
Abstract
Wastewater-based surveillance (WBS) is a proven tool for monitoring population-level infection events. Wastewater contains high concentrations of inhibitors, which contaminate the total nucleic acids (TNA) extracted from these samples. We found that TNA extracts from raw influent of Berlin wastewater treatment plants contained [...] Read more.
Wastewater-based surveillance (WBS) is a proven tool for monitoring population-level infection events. Wastewater contains high concentrations of inhibitors, which contaminate the total nucleic acids (TNA) extracted from these samples. We found that TNA extracts from raw influent of Berlin wastewater treatment plants contained highly variable amounts of inhibitors that impaired molecular analyses like dPCR and next-generation sequencing (NGS). By using dilutions, we were able to detect inhibitory effects. To enhance WBS sensitivity and stability, we applied a combination of PCR inhibitor removal and TNA dilution (PIR+D). This approach led to a 26-fold increase in measured SARS-CoV-2 concentrations, practically reducing the detection limit. Additionally, we observed a substantial increase in the stability of the time series. We define suitable stability as a mean absolute error (MAE) below 0.1 log10 copies/L and a geometric mean relative absolute error (GMRAE) below 26%. Using PIR+D, the MAE could be reduced from 0.219 to 0.097 and the GMRAE from 65.5% to 26.0%, and even further in real-world WBS. Furthermore, PIR+D improved SARS-CoV-2 genome alignment and coverage in amplicon-based NGS for low to medium concentrations. In conclusion, we strongly recommend both the monitoring and removal of inhibitors from samples for WBS. Full article
(This article belongs to the Special Issue Surveillance of SARS-CoV-2 Employing Wastewater)
Show Figures

Figure 1

16 pages, 5751 KB  
Systematic Review
An Exploration of the Viral Coverage of Mosquito Viromes Using Meta-Viromic Sequencing: A Systematic Review and Meta-Analysis
by Shenglin Chen, Yuan Fang, Ryosuke Fujita, Emad I. M. Khater, Yuanyuan Li, Wenya Wang, Peijun Qian, Lulu Huang, Zhaoyu Guo, Yi Zhang and Shizhu Li
Microorganisms 2024, 12(9), 1899; https://doi.org/10.3390/microorganisms12091899 - 14 Sep 2024
Cited by 2 | Viewed by 1986
Abstract
The aim of this review was to delve into the extent of mosquito virome coverage (proportion of viral reads) via meta-viromic sequencing and uncover potential factors of heterogeneity that could impact this coverage. Data sources were PubMed, Web of Science, Embase, Scopus, Science-Direct, [...] Read more.
The aim of this review was to delve into the extent of mosquito virome coverage (proportion of viral reads) via meta-viromic sequencing and uncover potential factors of heterogeneity that could impact this coverage. Data sources were PubMed, Web of Science, Embase, Scopus, Science-Direct, Google Scholar, and the China National Knowledge Infrastructure. Pooled coverage was estimated using random-effects modeling, and subgroup analyses further reveal potential heterogeneous factors. Within the three mosquito genera studied, Culex exhibited the highest pooled viral coverage of mosquito viromes at 7.09% (95% CI: 3.44–11.91%), followed by Anopheles at 5.28% (95% CI: 0.45–14.93%), and Aedes at 2.11% (95% CI: 0.58–7.66%). Subgroup analyses showed that multiple processing methods significantly affected the viral coverage of mosquito viromes, especially pre-treatment of mosquito samples with saline buffer/medium and antibiotics prior to DNase/RNase treatment and removal of the host genome prior to RNA library construction. In conclusion, the results of this study demonstrate that the viral coverage of mosquito viromes varies between mosquito genera and that pre-treatment of mosquito samples with saline buffer/medium and antibiotics before DNase/RNase treatment and removing host genomes prior to RNA library construction are critical for the detection of RNA viruses in mosquito vectors using meta-viromic sequencing. Full article
(This article belongs to the Section Virology)
Show Figures

Figure 1

17 pages, 8735 KB  
Article
Looking in the Scaffold 22 Hotspot for Differentially Regulated Genes Genomic Sequence Variation in Romanian Blueberry Cultivars
by Cosmin Alexandru Mihai, Liliana Bădulescu, Adrian Asănică and Mihaela Iordachescu
Horticulturae 2024, 10(2), 157; https://doi.org/10.3390/horticulturae10020157 - 7 Feb 2024
Viewed by 1816
Abstract
Since its domestication about a century ago in North America, highbush blueberry (Vaccinium corymbosum L.) has gained appreciation by consumers worldwide, and the demand for new blueberry varieties is increasing. Whole-genome resequencing can help plant breeders to decrease the time needed to [...] Read more.
Since its domestication about a century ago in North America, highbush blueberry (Vaccinium corymbosum L.) has gained appreciation by consumers worldwide, and the demand for new blueberry varieties is increasing. Whole-genome resequencing can help plant breeders to decrease the time needed to create novel varieties by identifying novel genes linked to fruit-quality traits. The present study analyzed the genetic variability of eight V. corymbosum genotypes, seven Romanian varieties (‘Prod’, ‘Vital’, ‘Azur’, ‘Simultan’, ‘Delicia’, ‘Compact’, and ‘Safir’), and the American variety, ‘Bluecrop’. The analysis of the first ~10 Mb from scaffold 22, a hotspot of genomic variation, in the above-mentioned varieties revealed multiple differences in 11 upregulated and 50 downregulated genes involved in fruit growth and development. Of these differentially regulated genes, two upregulated and five downregulated genes were fully covered by at least 1× coverage depth by sequencing. The genes’ sequence analysis confirmed the high genetic variability of the region, with most of the genes presenting numerous SNPs and some InDels, and indicated that an attempted 10× medium-coverage depth of sequencing for V. corymbosum varieties yields useful preliminary data for use in breeding programs. Full article
(This article belongs to the Special Issue New Results in Fruit Tree Breeding and Efficient Use of Cultivars)
Show Figures

Figure 1

14 pages, 1565 KB  
Article
Comparative Genomic Analysis of Colletotrichum lini Strains with Different Virulence on Flax
by Ekaterina M. Dvorianinova, Elizaveta A. Sigova, Timur D. Mollaev, Tatiana A. Rozhmina, Ludmila P. Kudryavtseva, Roman O. Novakovskiy, Anastasia A. Turba, Daiana A. Zhernova, Elena V. Borkhert, Elena N. Pushkova, Nataliya V. Melnikova and Alexey A. Dmitriev
J. Fungi 2024, 10(1), 32; https://doi.org/10.3390/jof10010032 - 31 Dec 2023
Cited by 5 | Viewed by 2628
Abstract
Colletotrichum lini is a flax fungal pathogen. The genus comprises differently virulent strains, leading to significant yield losses. However, there were no attempts to investigate the molecular mechanisms of C. lini pathogenicity from high-quality genome assemblies until this study. In this work, we [...] Read more.
Colletotrichum lini is a flax fungal pathogen. The genus comprises differently virulent strains, leading to significant yield losses. However, there were no attempts to investigate the molecular mechanisms of C. lini pathogenicity from high-quality genome assemblies until this study. In this work, we sequenced the genomes of three C. lini strains of high (#390-1), medium (#757), and low (#771) virulence. We obtained more than 100× genome coverage with Oxford Nanopore Technologies reads (N50 = 12.1, 6.1, 5.0 kb) and more than 50× genome coverage with Illumina data (150 + 150 bp). Several assembly strategies were tested. The final assemblies were obtained using the Canu–Racon ×2–Medaka–Polca scheme. The assembled genomes had a size of 54.0–55.3 Mb, 26–32 contigs, N50 values > 5 Mb, and BUSCO completeness > 96%. A comparative genomic analysis showed high similarity among mitochondrial and nuclear genomes. However, a rearrangement event and the loss of a 0.7 Mb contig were revealed. After genome annotation with Funannotate, secreting proteins were selected using SignalP, and candidate effectors were predicted among them using EffectorP. The analysis of the InterPro annotations of predicted effectors revealed unique protein categories in each strain. The assembled genomes and the conducted comparative analysis extend the knowledge of the genetic diversity of C. lini and form the basis for establishing the molecular mechanisms of its pathogenicity. Full article
(This article belongs to the Special Issue Bioinformatics in Pathogenic Fungi)
Show Figures

Figure 1

17 pages, 7213 KB  
Article
Robust ParB Binding to Half-parS Sites in Pseudomonas aeruginosa—A Mechanism for Retaining ParB on the Nucleoid?
by Adam Kawalek, Aneta Agnieszka Bartosik and Grazyna Jagura-Burdzy
Int. J. Mol. Sci. 2023, 24(15), 12517; https://doi.org/10.3390/ijms241512517 - 7 Aug 2023
Cited by 1 | Viewed by 2096
Abstract
Chromosome segregation in Pseudomonas aeruginosa is assisted by the tripartite ParAB–parS system, composed of an ATPase (ParA), a DNA-binding protein (ParB) and its target parS sequence(s). ParB forms a nucleoprotein complex around four parSs (parS1–parS4) that overlaps oriC and [...] Read more.
Chromosome segregation in Pseudomonas aeruginosa is assisted by the tripartite ParAB–parS system, composed of an ATPase (ParA), a DNA-binding protein (ParB) and its target parS sequence(s). ParB forms a nucleoprotein complex around four parSs (parS1–parS4) that overlaps oriC and facilitates relocation of newly synthesized ori domains inside the cells by ParA. Remarkably, ParB of P. aeruginosa also binds to numerous heptanucleotides (half-parSs) scattered in the genome. Here, using chromatin immunoprecipitation-sequencing (ChIP-seq), we analyzed patterns of ParB genome occupancy in cells growing under conditions of coupling or uncoupling between replication and cell division processes. Interestingly, a dissipation of ParB–parS complexes and a shift of ParB to half-parSs were observed during the transition from the exponential to stationary phase of growth on rich medium, suggesting the role of half-parSs in retaining ParB on the nucleoid within non-dividing P. aeruginosa cells. The ChIP-seq analysis of strains expressing ParB variants unable to dislocate from parSs showed that the ParB spreading ability is not required for ParB binding to half-parSs. Finally, a P. aeruginosa strain with mutated 25 half-parSs of the highest affinity towards ParB was constructed and analyzed. It showed altered ParB coverage of the oriC region and moderate changes in gene expression. Overall, this study characterizes a novel aspect of conserved bacterial chromosome segregation machinery. Full article
(This article belongs to the Collection Feature Papers in Molecular Microbiology)
Show Figures

Figure 1

20 pages, 4911 KB  
Article
Apostasia Mitochondrial Genome Analysis and Monocot Mitochondria Phylogenomics
by Shi-Jie Ke, Ding-Kun Liu, Xiong-De Tu, Xin He, Meng-Meng Zhang, Meng-Jia Zhu, Di-Yang Zhang, Cui-Li Zhang, Si-Ren Lan and Zhong-Jian Liu
Int. J. Mol. Sci. 2023, 24(9), 7837; https://doi.org/10.3390/ijms24097837 - 25 Apr 2023
Cited by 24 | Viewed by 3005
Abstract
Apostasia shenzhenica belongs to the subfamily Apostasioideae and is a primitive group located at the base of the Orchidaceae phylogenetic tree. However, the A. shenzhenica mitochondrial genome (mitogenome) is still unexplored, and the phylogenetic relationships between monocots mitogenomes remain unexplored. In this study, [...] Read more.
Apostasia shenzhenica belongs to the subfamily Apostasioideae and is a primitive group located at the base of the Orchidaceae phylogenetic tree. However, the A. shenzhenica mitochondrial genome (mitogenome) is still unexplored, and the phylogenetic relationships between monocots mitogenomes remain unexplored. In this study, we discussed the genetic diversity of A. shenzhenica and the phylogenetic relationships within its monocotyledon mitogenome. We sequenced and assembled the complete mitogenome of A. shenzhenica, resulting in a circular mitochondrial draft of 672,872 bp, with an average read coverage of 122× and a GC content of 44.4%. A. shenzhenica mitogenome contained 36 protein-coding genes, 16 tRNAs, two rRNAs, and two copies of nad4L. Repeat sequence analysis revealed a large number of medium and small repeats, accounting for 1.28% of the mitogenome sequence. Selection pressure analysis indicated high mitogenome conservation in related species. RNA editing identified 416 sites in the protein-coding region. Furthermore, we found 44 chloroplast genomic DNA fragments that were transferred from the chloroplast to the mitogenome of A. shenzhenica, with five plastid-derived genes remaining intact in the mitogenome. Finally, the phylogenetic analysis of the mitogenomes from A. shenzhenica and 28 other monocots showed that the evolution and classification of most monocots were well determined. These findings enrich the genetic resources of orchids and provide valuable information on the taxonomic classification and molecular evolution of monocots. Full article
(This article belongs to the Special Issue Orchid Biochemistry)
Show Figures

Figure 1

15 pages, 1794 KB  
Article
Using Multiplex Amplicon PCR Technology to Efficiently and Timely Generate Rift Valley Fever Virus Sequence Data for Genomic Surveillance
by John Juma, Samson L. Konongoi, Isidore Nsengimana, Reuben Mwangi, James Akoko, Richard Nyamota, Collins Muli, Paul O. Dobi, Edward Kiritu, Shebbar Osiany, Amos A. Onwong’a, Rachael W. Gachogo, Rosemary Sang, Alan Christoffels, Kristina Roesel, Bernard Bett and Samuel O. Oyola
Viruses 2023, 15(2), 477; https://doi.org/10.3390/v15020477 - 9 Feb 2023
Cited by 5 | Viewed by 4330
Abstract
Rift Valley fever (RVF) is a febrile vector-borne disease endemic in Africa and continues to spread in new territories. It is a climate-sensitive disease mostly triggered by abnormal rainfall patterns. The disease is associated with high mortality and morbidity in both humans and [...] Read more.
Rift Valley fever (RVF) is a febrile vector-borne disease endemic in Africa and continues to spread in new territories. It is a climate-sensitive disease mostly triggered by abnormal rainfall patterns. The disease is associated with high mortality and morbidity in both humans and livestock. RVF is caused by the Rift Valley fever virus (RVFV) of the genus Phlebovirus in the family Phenuiviridae. It is a tripartite RNA virus with three genomic segments: small (S), medium (M) and large (L). Pathogen genomic sequencing is becoming a routine procedure and a powerful tool for understanding the evolutionary dynamics of infectious organisms, including viruses. Inspired by the utility of amplicon-based sequencing demonstrated in severe acute respiratory syndrome coronavirus-2 (SARS-CoV-2) and Ebola, Zika and West Nile viruses, we report an RVFV sample preparation based on amplicon multiplex polymerase chain reaction (amPCR) for template enrichment and reduction of background host contamination. The technology can be implemented rapidly to characterize and genotype RVFV during outbreaks in a near-real-time manner. To achieve this, we designed 74 multiplex primer sets covering the entire RVFV genome to specifically amplify the nucleic acid of RVFV in clinical samples from an animal tissue. Using this approach, we demonstrate achieving complete RVFV genome coverage even from samples containing a relatively low viral load. We report the first primer scheme approach of generating multiplex primer sets for a tripartite virus which can be replicated for other segmented viruses. Full article
Show Figures

Figure 1

19 pages, 4028 KB  
Article
Evaluation and Analysis of Absence of Homozygosity (AOH) Using Chromosome Analysis by Medium Coverage Whole Genome Sequencing (CMA-seq) in Prenatal Diagnosis
by Yan Lü, Yulin Jiang, Xiya Zhou, Na Hao, Guizhen Lü, Xiangxue Guo, Ruidong Guo, Wenjie Liu, Chenlu Xu, Jiazhen Chang, Mengmeng Li, Hanzhe Zhang, Jing Zhou, Wei (Victor) Zhang and Qingwei Qi
Diagnostics 2023, 13(3), 560; https://doi.org/10.3390/diagnostics13030560 - 2 Feb 2023
Cited by 8 | Viewed by 3753
Abstract
Objective: Absence of homozygosity (AOH) is a genetic characteristic known to cause human diseases mainly through autosomal recessive or imprinting mechanisms. The importance and necessity of accurate AOH detection has become more clinically significant in recent years. However, it remains a challenging task [...] Read more.
Objective: Absence of homozygosity (AOH) is a genetic characteristic known to cause human diseases mainly through autosomal recessive or imprinting mechanisms. The importance and necessity of accurate AOH detection has become more clinically significant in recent years. However, it remains a challenging task for sequencing-based methods thus far. Methods: In this study, we developed and optimized a new bioinformatic algorithm based on the assessment of minimum sequencing coverage, optimal bin size, the Z-score threshold of four types of allele count and the frequency for accurate genotyping using 28 AOH negative samples, and redefined the AOH detection cutoff value. We showed the performance of chromosome analysis by five-fold coverage whole genome sequencing (CMA-seq) for AOH identification in 27 typical prenatal/postnatal AOH positive samples, which were previously confirmed by chromosomal microarray analysis with single nucleotide polymorphism array (CMA/SNP array). Results: The blinded study indicated that for all three forms of AOH, including whole genomic AOH, single chromosomal AOH and segmental AOH, and all kinds of sample types, including chorionic villus sampling, amniotic fluid, cord blood, peripheral blood and abortive tissue, CMA-seq showed equivalent detection power to that of routine CMA/SNP arrays (750K). The subtle difference between the two methods is that CMA-seq is prone to detect small inconsecutive AOHs, while CMA/SNP array reports it as a whole. Conclusion: Based on our newly developed bioinformatic algorithm, it is feasible to detect clinically significant AOH using CMA-seq in prenatal diagnosis. Full article
(This article belongs to the Special Issue Prenatal Diagnosis: Current Trends and Future Directions)
Show Figures

Figure 1

17 pages, 2744 KB  
Article
The Tomato spotted wilt virus (TSWV) Genome is Differentially Targeted in TSWV-Infected Tomato (Solanum lycopersicum) with or without Sw-5 Gene
by Cristian Olaya, Stephen J. Fletcher, Ying Zhai, Jonathan Peters, Paolo Margaria, Stephan Winter, Neena Mitter and Hanu R. Pappu
Viruses 2020, 12(4), 363; https://doi.org/10.3390/v12040363 - 26 Mar 2020
Cited by 12 | Viewed by 6656
Abstract
Tospoviruses cause significant losses to a wide range of agronomic and horticultural crops worldwide. The type member, Tomato spotted wilt tospovirus (TSWV), causes systemic infection in susceptible tomato cultivars, whereas its infection is localized in cultivars carrying the Sw-5 resistance gene. The [...] Read more.
Tospoviruses cause significant losses to a wide range of agronomic and horticultural crops worldwide. The type member, Tomato spotted wilt tospovirus (TSWV), causes systemic infection in susceptible tomato cultivars, whereas its infection is localized in cultivars carrying the Sw-5 resistance gene. The response to TSWV infection in tomato cultivars with or without Sw-5 was determined at the virus small RNA level in the locally infected leaf. Predicted reads were aligned to TSWV reference sequences. The TSWV genome was found to be differentially processed among each of the three-viral genomic RNAs—Large (L), Medium (M) and Small (S)—in the Sw-5(+) compared to Sw-5(−) genotypes. In the Sw-5(+) cultivar, the L RNA had the highest number of viral small-interfering RNAs (vsiRNAs), whereas in the Sw-5(−) cultivar the number was higher in the S RNA. Among the three-viral genomic RNAs, the distribution of hotspots showed a higher number of reads per million reads of vsiRNAs of 21 and 22 nt class at the 5′ and 3′ ends of the L and the S RNAs, with less coverage in the M RNA. In the Sw-5(−) cultivar, the nature of the 5′ nucleotide-end in the siRNAs varied significantly; reads with 5′-adenine-end were most abundant in the mock control, whereas cytosine and uracil were more abundant in the infected plants. No such differences were seen in case of the resistant genotype. Findings provided insights into the response of tomato cultivars to TSWV infection. Full article
(This article belongs to the Section Viruses of Plants, Fungi and Protozoa)
Show Figures

Figure 1

22 pages, 2599 KB  
Article
Consensify: A Method for Generating Pseudohaploid Genome Sequences from Palaeogenomic Datasets with Reduced Error Rates
by Axel Barlow, Stefanie Hartmann, Javier Gonzalez, Michael Hofreiter and Johanna L. A. Paijmans
Genes 2020, 11(1), 50; https://doi.org/10.3390/genes11010050 - 2 Jan 2020
Cited by 15 | Viewed by 5792
Abstract
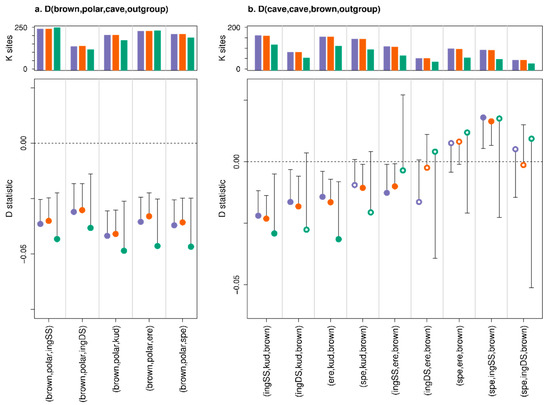
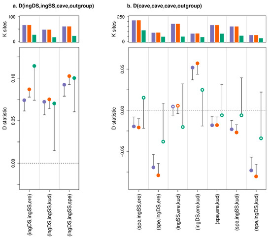
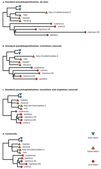
A standard practise in palaeogenome analysis is the conversion of mapped short read data into pseudohaploid sequences, frequently by selecting a single high-quality nucleotide at random from the stack of mapped reads. This controls for biases due to differential sequencing coverage, but it [...] Read more.
A standard practise in palaeogenome analysis is the conversion of mapped short read data into pseudohaploid sequences, frequently by selecting a single high-quality nucleotide at random from the stack of mapped reads. This controls for biases due to differential sequencing coverage, but it does not control for differential rates and types of sequencing error, which are frequently large and variable in datasets obtained from ancient samples. These errors have the potential to distort phylogenetic and population clustering analyses, and to mislead tests of admixture using D statistics. We introduce Consensify, a method for generating pseudohaploid sequences, which controls for biases resulting from differential sequencing coverage while greatly reducing error rates. The error correction is derived directly from the data itself, without the requirement for additional genomic resources or simplifying assumptions such as contemporaneous sampling. For phylogenetic and population clustering analysis, we find that Consensify is less affected by artefacts than methods based on single read sampling. For D statistics, Consensify is more resistant to false positives and appears to be less affected by biases resulting from different laboratory protocols than other frequently used methods. Although Consensify is developed with palaeogenomic data in mind, it is applicable for any low to medium coverage short read datasets. We predict that Consensify will be a useful tool for future studies of palaeogenomes. Full article
(This article belongs to the Section Technologies and Resources for Genetics)
Show Figures

Figure 1

Back to TopTop