GVMD-NLM: A Hybrid Denoising Method for GNSS Buoy Elevation Time Series Using Optimized VMD and Non-Local Means Filtering
Highlights
- An improved Grey Wolf Optimizer was proposed to automatically and optimally determine the key parameters for VMD, overcoming the reliance on empirical presetting and enhancing its performance for GNSS signals.
- A hybrid denoising strategy was developed that combines the optimized VMD with Non-Local Means filtering, using Sample Entropy to effectively separate and process noise and signal components for superior denoising.
- The method provides an objective and automated solution for parameter selection and noise-signal separation in GNSS buoy data processing, improving its reliability.
- This approach achieves high-quality denoising for GNSS buoy elevation time series in coastal waterways, offering a more accurate data foundation for applications in waterway hydrodynamics and water level monitoring and research.
Abstract
1. Introduction
2. Principles and Methods
2.1. Improved Grey Wolf Optimizer Algorithm
2.2. VMD Algorithm
2.3. NLM Filtering
2.4. GVMD-NLM Algorithm
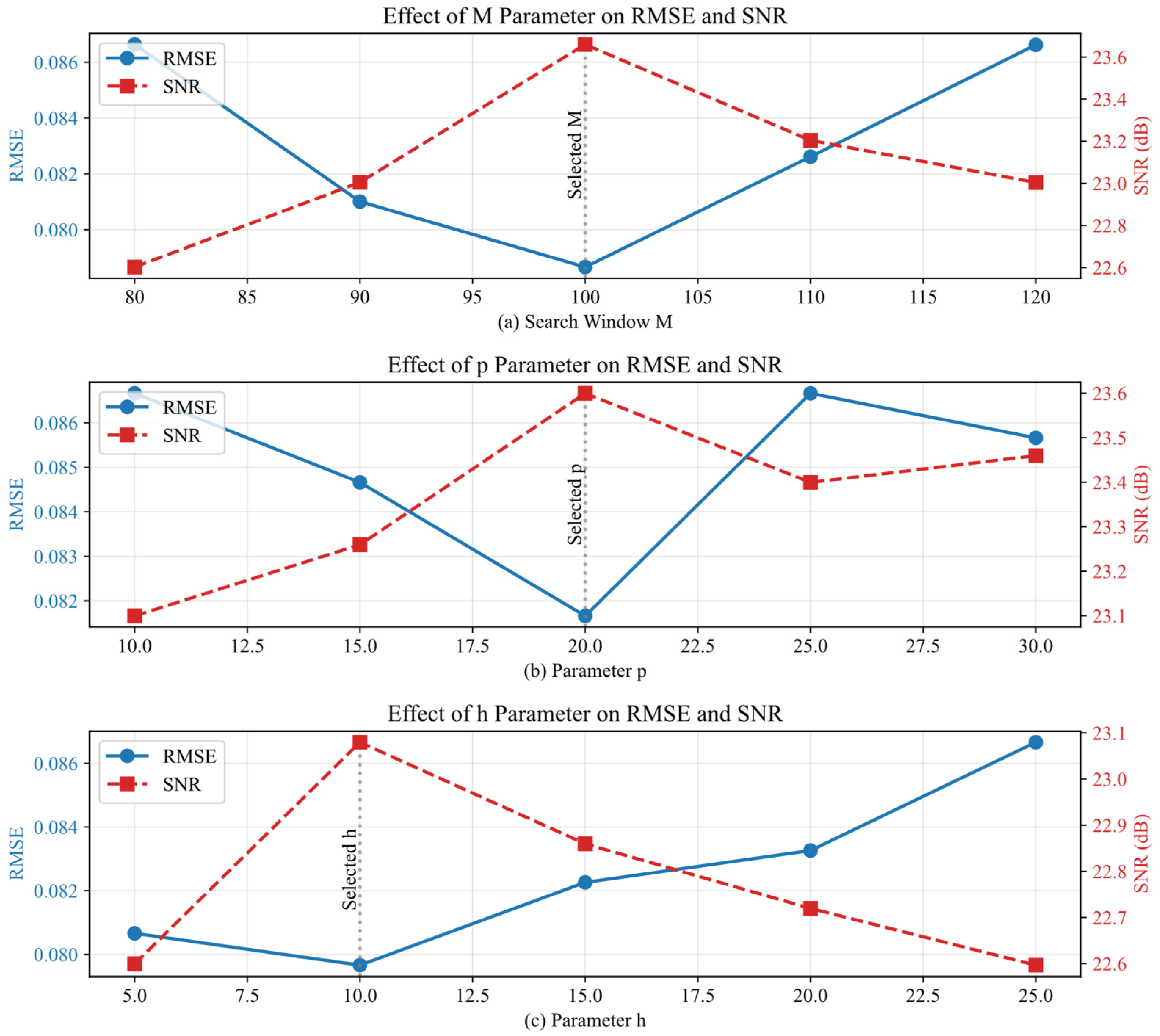
2.5. Sensitivity Analysis of NLM Parameters
3. Results and Discussion
3.1. Study Area and Experimental Data
3.2. Experimental Evaluation Metrics
3.3. Denoising Analysis of Dataset One
3.4. Denoising Analysis of Dataset Two
3.5. Frequency Domain Validation
4. Conclusions
Author Contributions
Funding
Data Availability Statement
Conflicts of Interest
References
- Chen, H.; Lu, T.; Huang, J.; He, X.; Yu, K.; Sun, X.; Ma, X.; Huang, Z. An improved VMD-LSTM model for time-varying GNSS time series prediction with temporally correlated noise. Remote Sens. 2023, 15, 3694. [Google Scholar] [CrossRef]
- Liang, G.; Li, S.; Bao, K.; Wang, G.; Teng, F.; Zhang, F.; Wang, Y.; Guan, S.; Wei, Z. Development of GNSS buoy for sea surface elevation observation of offshore wind farm. Remote Sens. 2023, 15, 5323. [Google Scholar] [CrossRef]
- Huan, Y.; Chang, G.; Huang, Y.; Feng, Y.; Zhu, Y.; Yang, S. Selection of noise models for GNSS coordinate time series based on model averaging algorithm. Meas. Sci. Technol. 2024, 35, 076305. [Google Scholar] [CrossRef]
- Barrile, V.; Simonetti, S.; Citroni, R.; Fotia, A.; Bilotta, G. Experimenting agriculture 4.0 with sensors: A data fusion approach between remote sensing, UAVs and self-driving tractors. Sensors 2022, 22, 7910. [Google Scholar] [CrossRef] [PubMed]
- Zhou, M.; Liu, X.; Guo, J.; Jin, X.; Chang, X. Ocean tide loading displacement parameters estimated from GNSS-derived coordinate time series considering the effect of mass loading in Hong Kong. IEEE J. Sel. Top. Appl. Earth Obs. Remote Sens. 2020, 13, 6064–6076. [Google Scholar] [CrossRef]
- Tao, Y.; Liu, C.; Liu, C.; Zhao, X.; Hu, H. Empirical wavelet transform method for GNSS coordinate series denoising. J. Geovis. Spat. Anal. 2021, 5, 9. [Google Scholar] [CrossRef]
- Ji, K.; Shen, Y.; Wang, F. Signal extraction from GNSS position time series using weighted wavelet analysis. Remote Sens. 2020, 12, 992. [Google Scholar] [CrossRef]
- Wang, X.; Hou, Z.; Xu, K.; Hu, X.; Gao, X.; Zhang, Z. Noise reduction of GNSS coordinate time series based on adaptive wavelet basis optimization and an improved threshold function. Meas. Sci. Technol. 2025, 36, 086103. [Google Scholar] [CrossRef]
- Wang, J.; Ding, K.; Sun, H.; Zhang, G.; Chen, X. Noise reduction and periodic signal extraction for GNSS height data in the study of vertical deformation. Geod. Geodyn. 2023, 14, 573–581. [Google Scholar] [CrossRef]
- Li, W.; Guo, J. Extraction of periodic signals in Global Navigation Satellite System (GNSS) vertical coordinate time series using the adaptive ensemble empirical modal decomposition method. Nonlinear Process. Geophys. 2024, 31, 99–113. [Google Scholar] [CrossRef]
- Ji, K.; Shen, Y.; Wang, F.; Chen, Q. An efficient improved singular spectrum analysis for processing GNSS position time series with missing data. Geophys. J. Int. 2025, 240, 189–200. [Google Scholar] [CrossRef]
- Golyandina, N. Particularities and commonalities of singular spectrum analysis as a method of time series analysis and signal processing. Wiley Interdiscip. Rev. Comput. Stat. 2020, 12, e1487. [Google Scholar] [CrossRef]
- Bing, Y.; Zhiqiang, Y.; Zhen, T.; Xiang, C. Denoising analysis of GNSS coordinate time series by combining EMD-HD and wavelet decomposition. Acta Geod. Cartogr. Sin. 2022, 51, 1881. [Google Scholar]
- Liu, X.; Ding, Z.; Li, Y.; Liu, Z. Application of EMD to GNSS time series periodic term processing. Geomat. Inf. Sci. Wuhan Univ. 2023, 48, 135–145. [Google Scholar]
- Gong, Y.; Jia, R.; Lu, X.; Peng, Y.; Zhao, W.; Zhang, X. To suppress the random noise in microseismic signal by using empirical mode decomposition and wavelet transform. J. China Coal Soc. 2018. [Google Scholar] [CrossRef]
- Agnieszka, W.; Dawid, K. Modeling seasonal oscillations in GNSS time series with Complementary Ensemble Empirical Mode Decomposition. GPS Solut. 2022, 26, 101. [Google Scholar] [CrossRef]
- Li, C.; Yang, P.; Zhang, T.; Guo, J. Periodic signal extraction of GNSS height time series based on adaptive singular spectrum analysis. Geod. Geodyn. 2024, 15, 50–60. [Google Scholar] [CrossRef]
- Dragomiretskiy, K.; Zosso, D. Variational mode decomposition. IEEE Trans. Signal Process. 2013, 62, 531–544. [Google Scholar] [CrossRef]
- Yang, D.; Guo, C.; Persico, R.; Liu, Y.; Liu, H.; Bai, C.; Lian, C.; Zhao, Q. Adaptive Variational Mode Decomposition and Principal Component Analysis-Based Denoising Scheme for Borehole Radar Data. Remote Sens. 2025, 17, 525. [Google Scholar] [CrossRef]
- Li, S.; Zhao, J.; Wu, Y.; Bian, S.; Zhai, G. Prior frequency information assisted vmd method for sbp sonar data noise removal. IEEE Geosci. Remote Sens. Lett. 2023, 20, 1–5. [Google Scholar] [CrossRef]
- Liu, Y.; He, W.; Pan, T.; Qin, S.; Ruan, Z.; Li, X. The Parameter-Optimized Recursive Sliding Variational Mode Decomposition Algorithm and Its Application in Sensor Signal Processing. Sensors 2025, 25, 1944. [Google Scholar] [CrossRef]
- Makhadmeh, S.N.; Al-Betar, M.A.; Doush, I.A.; Awadallah, M.A.; Kassaymeh, S.; Mirjalili, S.; Zitar, R.A. Recent advances in Grey Wolf Optimizer, its versions and applications. IEEE Access 2023, 12, 22991–23028. [Google Scholar] [CrossRef]
- Meidani, K.; Hemmasian, A.; Mirjalili, S.; Barati Farimani, A. Adaptive grey wolf optimizer. Neural Comput. Appl. 2022, 34, 7711–7731. [Google Scholar] [CrossRef]
- Ghalambaz, M.; Yengejeh, R.J.; Davami, A.H. Building energy optimization using grey wolf optimizer (GWO). Case Stud. Therm. Eng. 2021, 27, 101250. [Google Scholar] [CrossRef]
- Gan, W.; Xia, T.; Chu, Z. A prognosis technique based on improved GWO-NMPC to improve the trajectory tracking control system reliability of unmanned underwater vehicles. Electronics 2023, 12, 921. [Google Scholar] [CrossRef]
- Yang, D.; Feng, W.; Huang, D.; Li, J. Improved Global Navigation Satellite System–Multipath Reflectometry (GNSS-MR) Tide Variation Monitoring Using Variational Mode Decomposition Enhancement. Remote Sens. 2023, 15, 4331. [Google Scholar] [CrossRef]
- Duan, X. Settlement prediction of Nanjing Metro Line 10 with HOA-VMD-LSTM. Measurement 2025, 244, 116477. [Google Scholar] [CrossRef]
- Gao, W.; Sun, Y.; Wang, L.; Wang, S. VMD–WT-Based Method for Extracting On-the-Fly GNSS Tide Level and Its Realization. Remote Sens. 2022, 14, 4816. [Google Scholar] [CrossRef]
- Chen, T.; Gao, S.; Zheng, S.; Yu, S.; Xuan, Q.; Lou, C.; Yang, X. EMD and VMD empowered deep learning for radio modulation recognition. IEEE Trans. Cogn. Commun. Netw. 2022, 9, 43–57. [Google Scholar] [CrossRef]
- Liu, Z.; Shao, T.; Zhang, X. BCG signal analysis based on improved VMD algorithm. Measurement 2024, 231, 114631. [Google Scholar] [CrossRef]
- Zhou, Q.; Wen, M.; Yu, B.; Lou, C.; Ding, M.; Zhang, X. Self-supervised transformer based non-local means despeckling of optical coherence tomography images. Biomed. Signal Process. Control 2023, 80, 104348. [Google Scholar] [CrossRef]
- Bing, P.; Liu, W.; Zhai, Z.; Li, J.; Guo, Z.; Xiang, Y.; He, B.; Zhu, L. A novel approach for denoising electrocardiogram signals to detect cardiovascular diseases using an efficient hybrid scheme. Front. Cardiovasc. Med. 2024, 11, 1277123. [Google Scholar] [CrossRef]
- Liu, X.; Wu, Z.; Wang, X. Validity of non-local mean filter and novel denoising method. Virtual Real. Intell. Hardw. 2023, 5, 338–350. [Google Scholar] [CrossRef]
- Huang, L.; Zhang, J.; Wei, X.; Jing, L.; He, Q.; Xie, X.; Wang, G.; Luo, J. Improved ultrafast power Doppler imaging by using spatiotemporal non-local means filtering. IEEE Trans. Ultrason. Ferroelectr. Freq. Control 2022, 69, 1610–1624. [Google Scholar] [CrossRef] [PubMed]
- Rajakumar, S.; Sreedhar, P.S.S.; Kamatchi, S.; Tamilmani, G. Gray wolf optimization and image enhancement with NLM Algorithm for multimodal medical fusion imaging system. Biomed. Signal Process. Control 2023, 85, 104950. [Google Scholar] [CrossRef]
- Liu, L.; Liu, Z.; Qian, X. Rolling bearing fault diagnosis based on generalized multiscale mean permutation entropy and GWO-LSSVM. IET Sci. Meas. Technol. 2023, 17, 243–256. [Google Scholar] [CrossRef]
- Zhuang, D.; Liu, H.; Zheng, H.; Xu, L.; Gu, Z.; Cheng, G.; Qiu, J. The IBA-ISMO method for rolling bearing fault diagnosis based on VMD-sample entropy. Sensors 2023, 23, 991. [Google Scholar] [CrossRef]
- Liu, B.; Liu, C.; Zhou, Y.; Wang, D. A chatter detection method in milling based on gray wolf optimization VMD and multi-entropy features. Int. J. Adv. Manuf. Technol. 2023, 125, 831–854. [Google Scholar] [CrossRef]
- Fang, M.; Zhang, F.; Yang, Y.; Tao, R.; Xiao, R.; Zhu, D. The influence of optimization algorithm on the signal prediction accuracy of VMD-LSTM for the pumped storage hydropower unit. J. Energy Storage 2024, 78, 110187. [Google Scholar] [CrossRef]
- Liu, T.; Huang, J.; Qian, F. Signal Denoising Method Based on EWT-FE-NLM. In Proceedings of the 2023 9th International Conference on Mechanical and Electronics Engineering (ICMEE), Xi’an, China, 17–19 November 2023; pp. 38–42. [Google Scholar]
- Zhu, Y.-Y.; Li, S.-J.; Xin, J.-Z.; Ran, B.-C.; Wu, B.; Zhang, S.-H. Monitoring Data De-noising Method of Bridges Based on GWO-VMD Combined with Correlation Coefficient Threshold. Noise Vib. Control 2025, 45, 116. [Google Scholar]
- Xu, H.; Lu, T.; Montillet, J.-P.; He, X. An improved adaptive IVMD-WPT-Based noise reduction algorithm on GPS height time series. Sensors 2021, 21, 8295. [Google Scholar] [CrossRef] [PubMed]













| Method | Final | Mean | Std |
|---|---|---|---|
| Original GWO (Linear) | 0.5974 | 0.6050 | 0.6125 |
| Exponential GWO | 1.2063 | 1.0896 | 0.6947 |
| Proposed Sigmoid-GWO | 0.4552 | 0.4928 | 0.5713 |
| Component | SE Value | Component | SE Value |
|---|---|---|---|
| 0.00276051 | 0.40933166 | ||
| 0.13754923 | 0.44591853 | ||
| 0.30865377 | 0.52281935 | ||
| 0.33927505 | 0.53475674 | ||
| 0.37320051 | 0.54183353 | ||
| 0.37551942 | 0.56240406 |
| Denoising Method | RMSE/cm | R | SNR/dB |
|---|---|---|---|
| SSA | 8.7318 | 0.9739 | 23.5341 |
| CEEMDAN | 7.8637 | 0.9772 | 24.4435 |
| VMD | 8.5295 | 0.9768 | 23.7377 |
| GWO-VMD | 7.4636 | 0.9784 | 24.8972 |
| GVMD-NLM | 6.4583 | 0.9798 | 26.1539 |
| Component | SE Value | Component | SE Value |
|---|---|---|---|
| 0.0078193 | 0.44261666 | ||
| 0.17475437 | 0.4465918 | ||
| 0.22558907 | 0.4639434 | ||
| 0.32478298 | 0.51301881 | ||
| 0.34468286 | 0.51930041 | ||
| 0.36174541 | 0.54450293 | ||
| 0.36600569 | 0.54763879 |
| Denoising Method | RMSE/cm | R | SNR/dB |
|---|---|---|---|
| SSA | 7.7577 | 0.9128 | 28.2360 |
| CEEMDAN | 6.6582 | 0.9331 | 29.5636 |
| VMD | 6.7670 | 0.9329 | 29.4228 |
| GWO-VMD | 6.1495 | 0.9419 | 30.2540 |
| GVMD-NLM | 5.5184 | 0.9498 | 31.1945 |
Disclaimer/Publisher’s Note: The statements, opinions and data contained in all publications are solely those of the individual author(s) and contributor(s) and not of MDPI and/or the editor(s). MDPI and/or the editor(s) disclaim responsibility for any injury to people or property resulting from any ideas, methods, instructions or products referred to in the content. |
© 2026 by the authors. Licensee MDPI, Basel, Switzerland. This article is an open access article distributed under the terms and conditions of the Creative Commons Attribution (CC BY) license.
Share and Cite
Zhang, H.; Wang, S.; Dong, C.; Xu, G.; Cai, X. GVMD-NLM: A Hybrid Denoising Method for GNSS Buoy Elevation Time Series Using Optimized VMD and Non-Local Means Filtering. Sensors 2026, 26, 522. https://doi.org/10.3390/s26020522
Zhang H, Wang S, Dong C, Xu G, Cai X. GVMD-NLM: A Hybrid Denoising Method for GNSS Buoy Elevation Time Series Using Optimized VMD and Non-Local Means Filtering. Sensors. 2026; 26(2):522. https://doi.org/10.3390/s26020522
Chicago/Turabian StyleZhang, Huanghuang, Shengping Wang, Chao Dong, Guangyu Xu, and Xiaobo Cai. 2026. "GVMD-NLM: A Hybrid Denoising Method for GNSS Buoy Elevation Time Series Using Optimized VMD and Non-Local Means Filtering" Sensors 26, no. 2: 522. https://doi.org/10.3390/s26020522
APA StyleZhang, H., Wang, S., Dong, C., Xu, G., & Cai, X. (2026). GVMD-NLM: A Hybrid Denoising Method for GNSS Buoy Elevation Time Series Using Optimized VMD and Non-Local Means Filtering. Sensors, 26(2), 522. https://doi.org/10.3390/s26020522
