A Hydrodynamic Model of the Subsea Christmas Trees in the Drill Pipes Retrieval Process at 2000-Meter Water Depth
Abstract
1. Introduction
2. Drill Pipe Retrieval Process
2.1. Brief Description of the Drill Pipe Retrieval Process
2.2. Theoretical Analysis of Drill Rod Retrieval Process
- The drill pipe is composed of isotropic materials with uniform and continuous distribution, and only linear elastic deformation is considered. The stiffness of the drill pipe does not change.
- The lift force of the ocean current is not considered. The motion of waves, ocean currents, and the drill string is regarded as being in the same plane.
- The deformation of the drill pipe is considered as small deformation, satisfying the theory of small deformation beams.
3. Establishment of the Subsea Christmas Tree Retrieval Model
3.1. Environmental Parameters
3.2. Establishment of OrcaFlex Model
3.2.1. Modeling of Semi-Submersible Platform
3.2.2. Modeling of Subsea Christmas Tree
3.2.3. Modeling of Drill Pipe System
4. Parameter Analysis of Subsea Christmas Tree Retrieval Process
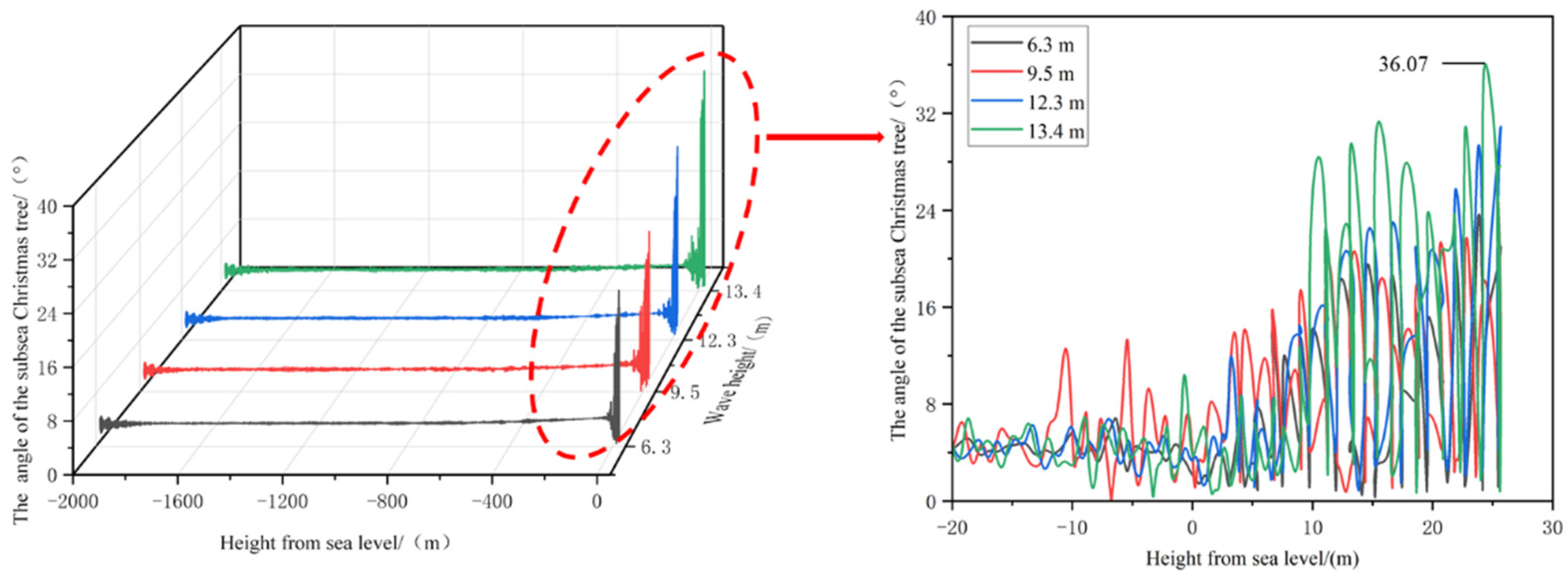
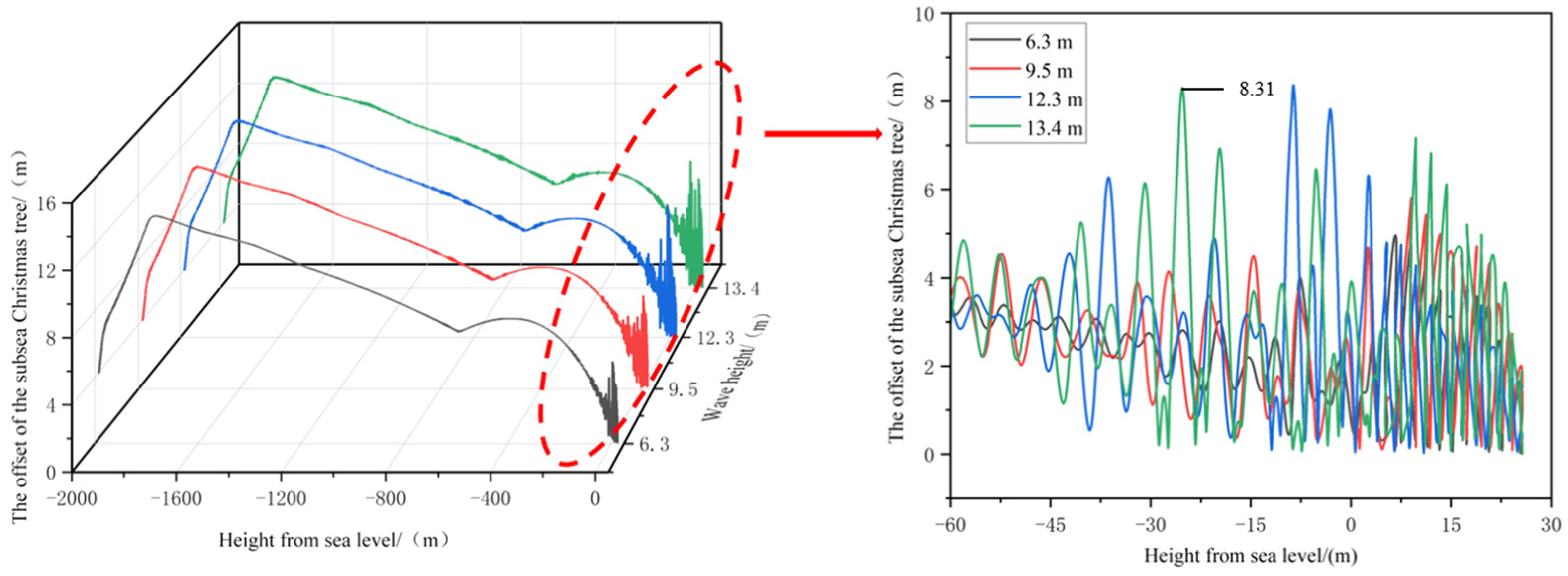
4.1. Wave Height
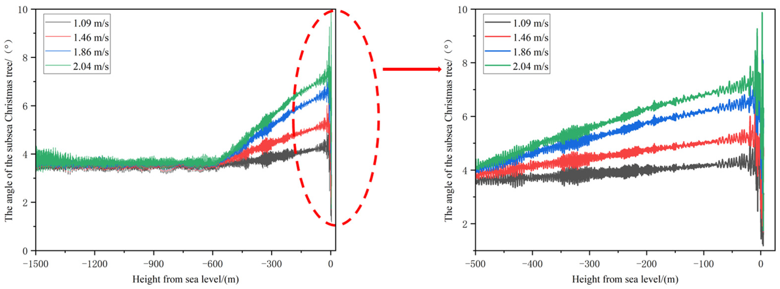
4.2. Current Velocity
4.3. Retrieval Speed
4.4. Wave Direction Angle
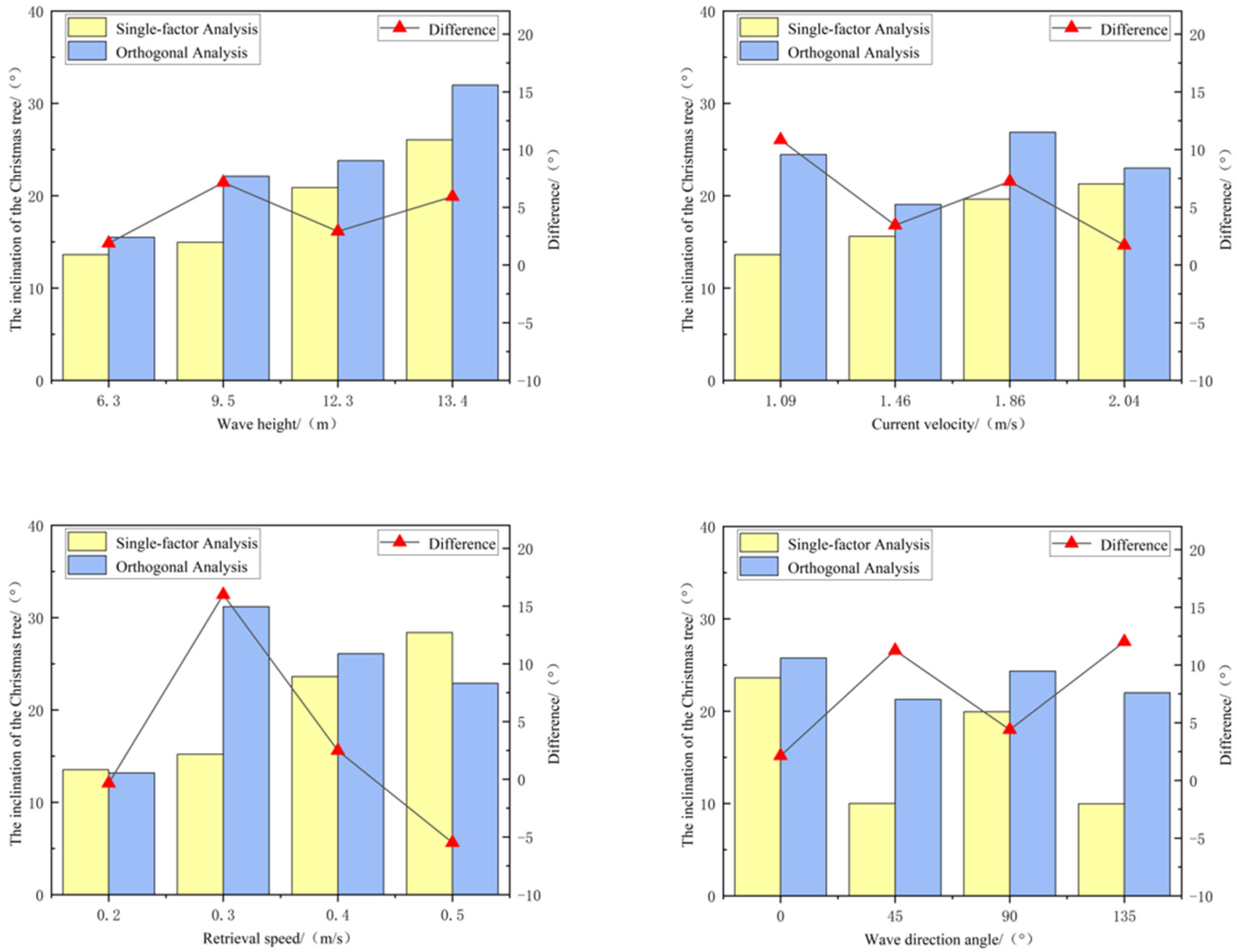
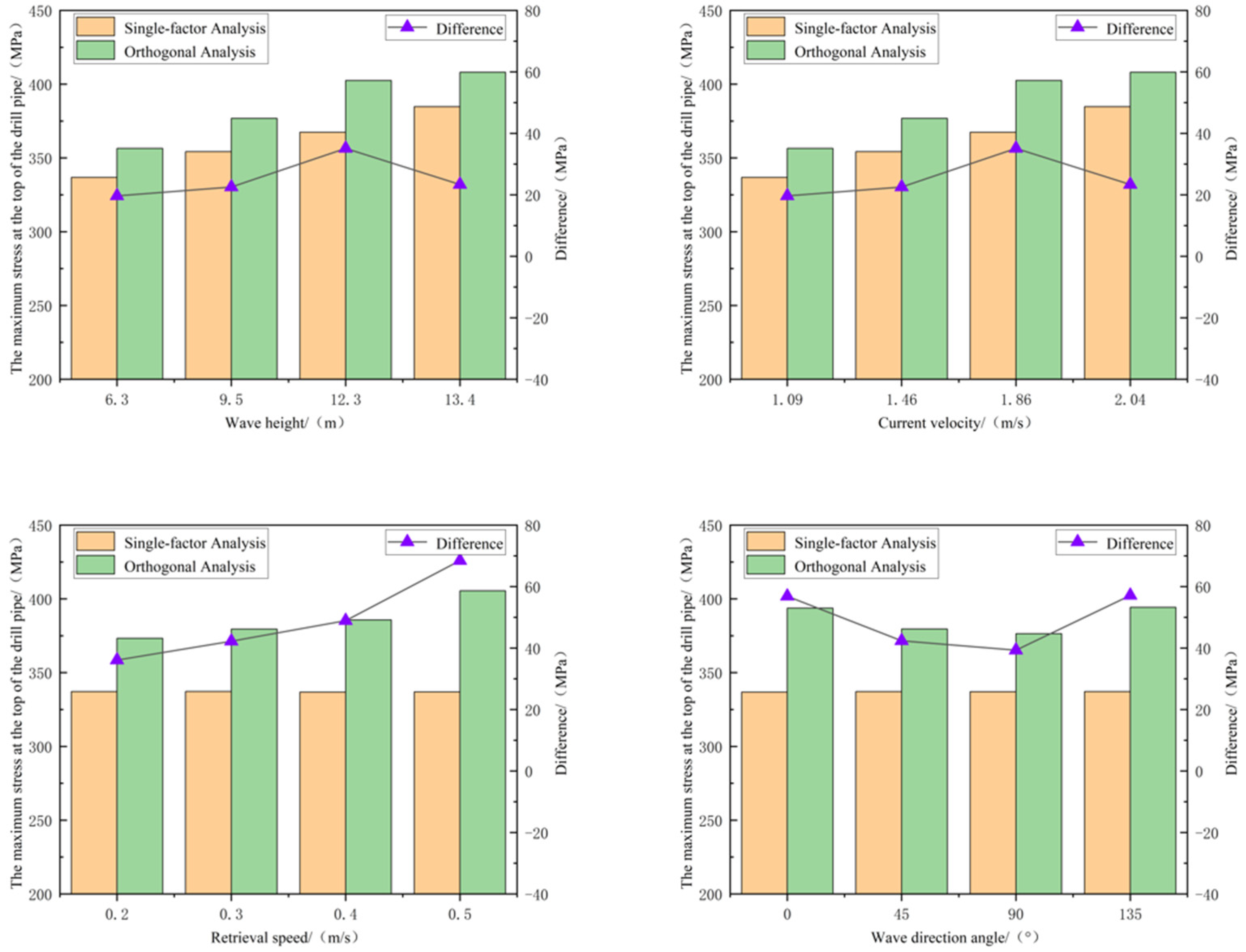
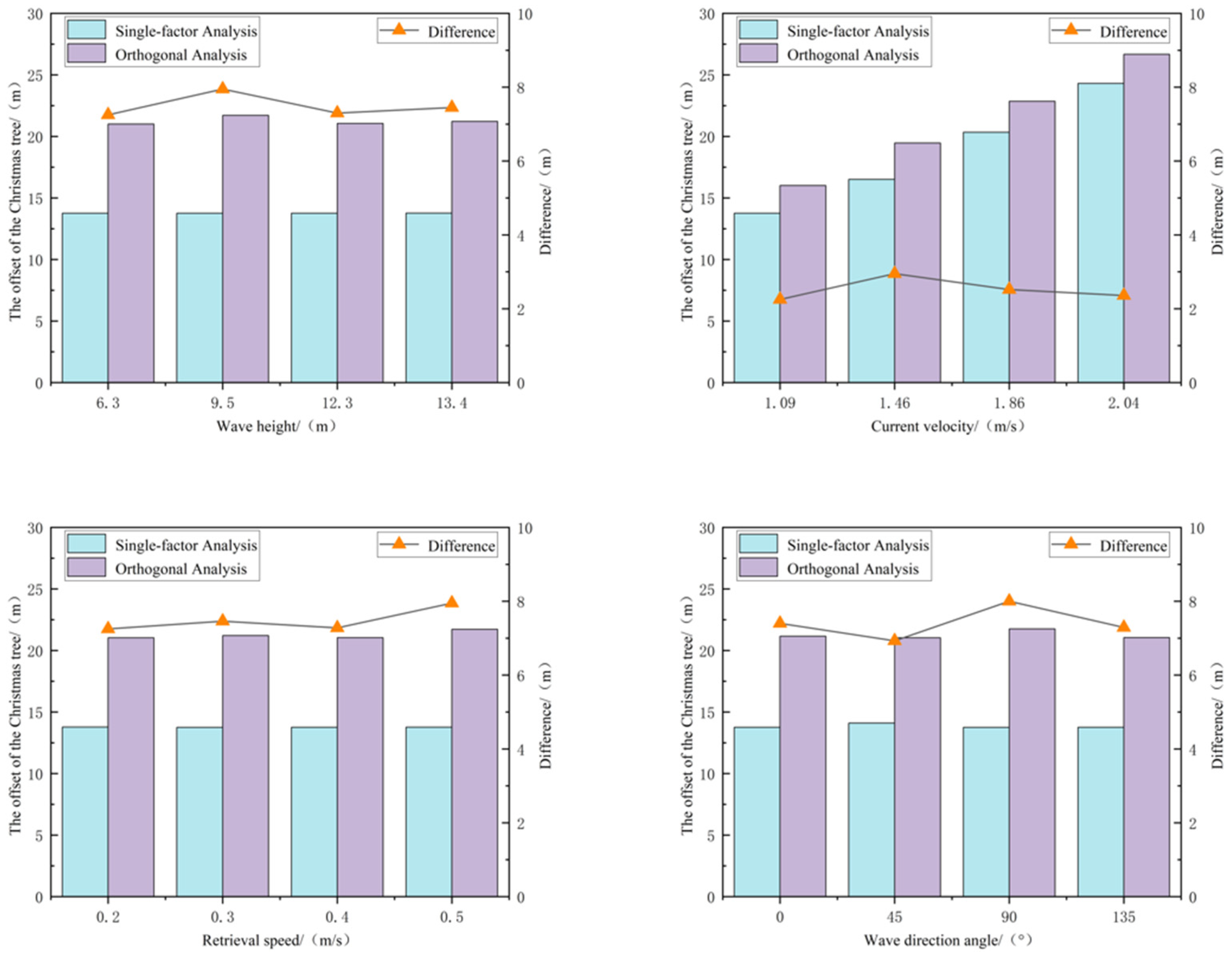
4.5. Orthogonal Test Analysis
4.6. Comparative and Verification Analysis
5. Conclusions
Author Contributions
Funding
Data Availability Statement
Conflicts of Interest
References
- Xie, Y.H.; Liu, S.J.; Yang, J.; Wang, Y.B.; Yin, Q.S.; Yang, Y.X. Development Status and Trend of Deepwater Oil and Gas Drilling Technologies and Equipment. Sci. Technol. Foresight 2023, 2, 22–31. Available online: https://kns.cnki.net/kcms2/article/abstract?v=7KCVMXbQLqLcJFk5wZN7pW5LuentrAIWnsfBjC31LCvHWDhZUgeQItssE_s55dg0NhWzr9P9lb1pSF1QrxdXSHhoyHNYs-abjUbHzVPhRJ5trV4ewLV8rhdAV6f37rnDscSbS32usJhWmxTdSP8a_WTFhHtYaQywRhe9EF642H6pV6gfodYu8A==&uniplatform=NZKPT&language=CHS (accessed on 26 July 2023).
- Mi, L.J.; An, W.Z.; Chen, H.J.; Han, Y.F.; Sun, Q.; Hou, G.X. Development mode of the shallow water subsea production system in Bohai sea area and the development status of localized equipments. China Offshore Oil Gas 2023, 35, 137–146. Available online: https://kns.cnki.net/kcms2/article/abstract?v=7KCVMXbQLqLZTQYC88UqI1ZZTR0TWOX-bnJWHNjwxL_IJvRO3rjLgZf7kC7TVtTeestTAiWoBy5bwJ2WwevuUSqtp-4gz1cY5KcCh1zZFLlHk4ua-FRnRMiFVROxuFsOoH9qEofEU-6p9Hk_Yl1ujG11YKlplcT4A_gw3cJX92pQ0jhpTu7_dA==&uniplatform=NZKPT&language=CHS (accessed on 19 June 2023).
- Ren, G.L.; Wang, Y.; Meng, W.B.; Zhang, C.; Li, S.Z. Risk analysis of Deepwater horizontal Christmas tree in operating mode. China Pet. Mach. 2024, 52, 63–70. [Google Scholar] [CrossRef]
- Tan, A.Q. Process difficulties and countermeasures of subsea Christmas tree body. China Ship Surv. 2025, 87–91. Available online: https://kns.cnki.net/kcms2/article/abstract?v=7KCVMXbQLqIo1AOKLE4b9QDwldKPZfRIipQS2VUFUbZ6wctp1onziWgwqVNiBQt4YBX8WjUASbDQ8DkEhH8xOxUG8K9dc7NLWJQA1MO7dCHdw_4IaUevCjD1y0fs4Qi3ThhouwVVr1_Rs_l8r2bM-496XHVYTf3ew6L-6SQBZ2haKCyzu_COGA==&uniplatform=NZKPT&language=CHS (accessed on 25 February 2025).
- Li, Z.J.; Liu, D.H. Research on Installation Method of Subsea Tree in Shallow Water Oil Field. Petro Chem. Equip. 2024, 27, 125–127. Available online: https://kns.cnki.net/kcms2/article/abstract?v=7KCVMXbQLqJt6M7TUoIY3YBs0ouSBQT2POIK9f6ajBcyuUVccmFK-bFcThBJ6RKw1CmRx8qDU63ZEKIxyZtYHNjIrf5XmfTgSLKx73ot10BNpvBQS1UWW8rXSxRdmdEbVp2lZ3oC3ILc41_UlSQuRRedzMe7SKzI2zsAOk7ub82SGEGFyFp_3w==&uniplatform=NZKPT&language=CHS (accessed on 22 November 2024).
- Wang, Y.Y.; Yang, C.; Liang, W.P.; Li, L.W.; Wang, P.; Li, L. Static Analysis of subsea manifold installation by the sheave method. China Pet. Mach. 2019, 47, 50–56. [Google Scholar] [CrossRef]
- Wang, Y.Y.; Tuo, H.; Li, L.W.; Zhao, Y.; Qin, H.; An, C. Dynamic simulation of installation of the subsea cluster manifold by drilling pipe in deep water based on OrcaFlex. J. Pet. Sci. Eng. 2018, 163, 67–78. [Google Scholar] [CrossRef]
- Wang, Y.Y.; Li, X.Y.; Ma, Q.; Wang, J.J.; Song, X.H.; Jin, R.L. The wave slamming dynamic characteristics of the installation of subsea manifold during splash zone considering air cushion effect. Ocean Eng. 2025, 319, 120201. [Google Scholar] [CrossRef]
- Bai, Y.; Ruan, W.D.; Yuan, S.; He, X.; Fu, J.B. 3D mechanical analysis of subsea manifold installation by drill pipe in deep water. Ships Offshore Struct. 2014, 9, 333–343. [Google Scholar] [CrossRef]
- Tang, J.D.; Shang, Z.H.; Ruan, W.D.; Zhou, F.X.; Bai, Y. Mechanical analysis of the installation of the oil production tree moon pool without guide. Low Temp. Archit. Technol. 2015, 37, 72–75. Available online: https://link.cnki.net/doi/10.13905/j.cnki.dwjz.2015.09.028 (accessed on 19 October 2015).
- Tuo, H.H.; Li, H.; Zhang, Y.J.; Qin, H.; Gu, J.J.; Wang, Y.Y.; Duan, M.L. Simulation of running and installation of deep water X-tree based on OrcaFlex. China Pet. Mach. 2017, 45, 58–62. [Google Scholar] [CrossRef]
- Ouyang, S.S.; Wang, Y.; Liu, Y.N.; Zhang, K.; Luo, X.L. Drill string mechanical analysis of running underwater Christmas tree based on fluid-structure interaction. Oil Field Equip 2016, 45, 39–43. Available online: https://kns.cnki.net/kcms2/article/abstract?v=7KCVMXbQLqK5ThMqu7socnMphF9rYbf-WAJFSBjBuUDqBlmkyZ5VBpWeySRIJUSeeWkq-ucMAXUAhoYEwltBDoaQevAAu5XGtFWcZqHlnmj5QrC-YwPauy0P2DlNnK3UdKZSvQy72B7xR5zSyRkZ-NC1TfLcEq7hv5wQuBRpW--EWjouRGGNUQ==&uniplatform=NZKPT&language=CHS (accessed on 8 December 2016).
- Xu, X.X.; Liu, Y.N.; Luo, X.L.; Wang, W.C.; Chen, Y.X.; Zhong, Z.C.; Wang, Y. Mechanical analysis of drill pipe installation based on vessel RAO and wave coupling. China Pet. Mach. 2018, 46, 34–39. [Google Scholar] [CrossRef]
- Qin, H.Z.; Liu, J.; Xiao, W.S.; Wang, B.X. Quasistatic nonlinear analysis of a drill pipe in subsea Xmas tree installation. Math. Probl. Eng. 2019, 2019, 1–9. [Google Scholar] [CrossRef]
- Wang, C.; Fang, H.H.; Na, F.; Jin, H.; Wang, A.Y.; Liu, J. Research on vertical release and installation of drill string-production tree based on heave compensation. Chin. J. Eng. Des. 2020, 27, 478–486. Available online: https://link.cnki.net/urlid/33.1288.TH.20200825.0959.002 (accessed on 26 August 2020).
- Xiao, W.S.; Qin, H.Z.; Liu, J.; Liu, Q.; Cui, J.G.; Wang, F. Natural frequencies and mode shapes of drill pipe in subsea Xmas tree installation. Math. Probl. Eng. 2020, 2020, 5634194. [Google Scholar] [CrossRef]
- Wang, F.; Deng, X. Deformation and mechanical behavior of the drill pipe during subsea production tree installation. J. Eng. Res. 2022, 10, 269–280. [Google Scholar] [CrossRef]
- Huang, Y.; Wang, E.J.; Zhang, C.; Meng, W.B.; Tong, W.J.; Zhao, W.Q.; Zhao, S.W.; Duan, M.F. Sensitivity analysis of factors affecting the downstream of subsea Christmas tree drill pipe based on OrcaFlex. Oil Field Equip. 2022, 51, 22–31. Available online: https://kns.cnki.net/kcms2/article/abstract?v=7KCVMXbQLqKnjmMPKF0mAmFeck4O8c-rLQ1UDprVo0gYnIyn0p4HFDz1Mw8q7ELtKmEOKvIOVNqaujbULQaSQtmm1lfAiWd9tdaHwAd6aU5WHJZ9et8r1pvPDzZ4t0sr5wB0SNylQ5WO1yGQ_CYhkdqN-TMpxSrOx2GHdz-FHZbtvS7vd2Dr5g==&uniplatform=NZKPT&language=CHS (accessed on 4 April 2022).
- Gu, C.W.; Zhang, C.; Wang, Y.Y.; Li, N.; Li, L. A structural reliability analysis method of subsea Christmas tree running tool based on Monte Carlo. China Offshore Oil Gas 2022, 34, 184–193. Available online: https://kns.cnki.net/kcms2/article/abstract?v=7KCVMXbQLqIShtHlYZf4lHwkW-TyS2fEhA1EFrAl8f3fSYqfQBVTUOZxhKsb0-cEb5yBthxLj_8Q1TZ2Qzs5s9O6ABqTAKw8DTkCyXitCVqhII6CyAZQM7Wj-1kW0nESFe4a4P3aPujNW_2oEXOMF3_-JG2MUhMOVrCynHoctttc2pum2sAKkg==&uniplatform=NZKPT&language=CHS (accessed on 12 September 2023).
- He, G.L.; Wang, L.Q.; Wang, J.R.; Shen, K.X.; Xiang, H.F.; Wang, J.T.; Chen, H.W.; Xu, B.C.; Qing, R.L.; Yin, G.L. Load calculation and strength analysis of the Deepwater landing drill Pipe-Lowering operation. Energies 2024, 17, 1258. [Google Scholar] [CrossRef]
- Qiaolei, S.; Yuwei, L.; Le, X.; Ding, F.; Long, D.; Jiangang, W. Analysis of lateral dynamic response characteristics of drilling riser during installation of deep-water Christmas tree. J. Eng. Res. 2023, 13, 1250–1262. [Google Scholar] [CrossRef]
- Zhang, M.; Liao, L.J. A critical review and technical analysis of subsea Christmas tree installation: Domestic and international perspectives. Chem. Eng. Manag. 2020, 11, 174–175. Available online: https://kns.cnki.net/kcms2/article/abstract?v=7KCVMXbQLqLOdNSBUjJbckoZtES8GDIlUAND8GiCj6w2eyL0LsaLZwD2L5EFUieb0ucZdq1NU3dnaIQz523xjSUc5NGTcKzkXY9jXVDeQdS3saYwPyX4SCLJ5imGmCLoSIpLjfa8CPT58eIHFRC_YKyf0gVxhsPHvK0DC2nLnU1rC0mDAf13Nw==&uniplatform=NZKPT&language=CHS (accessed on 23 April 2020).
- Wang, Z.D.; Liu, M.Y.; Ling, H.J.; Dai, T.; Zhu, Q.B. Air gap prediction of a semi-submersible platform. Ocean Eng. 2015, 33, 10–15. [Google Scholar] [CrossRef]
- Wu, M.; Dong, Z.Y.; Li, M.Q. Calculation of Fatigue Damage to Subsea Pipe Risers. Petro Chem. Equip. 2024, 27, 10–17. Available online: https://kns.cnki.net/kcms2/article/abstract?v=7KCVMXbQLqJuczCqGyzVFcRUMIUaJfdXg4S3d4c7dfxDcyFwm-aI4WLYbWjrxRJsDnrygeNuF74jbVZRz5E-m0rdQS6bbbEPnjpHXdulcUeQU_xulT5_Z8ym_PsQwHaQ10r6AfgbT--Gs5VG7GjpLRV1wNO6ynmDkWOvje665WCLtkf8EZpRug==&uniplatform=NZKPT&language=CHS (accessed on 20 August 2024).
- Zan, X.X.; Lin, Z.H.; Gou, Y. Numerical study on the force distribution on cylindrical structure by internal solitary wave and its prediction with Morison equation. Ocean Eng. 2022, 248, 110701. [Google Scholar] [CrossRef]
- Jiang, J.S. Research on Mechanical Properties of Deepwater Drilling Riser System. Master’s Thesis, Northeast Petroleum University, Daqing, China, 2023. Available online: https://link.cnki.net/doi/10.26995/d.cnki.gdqsc.2023.000528 (accessed on 30 May 2023).
- Ren, G.L.; Liu, X.Y.; Meng, W.B.; Peng, W.; Sun, Q.L. Mechanical performance analysis of test string in ultra deep water shallow gas reservoirs with riserless system. Well Test 2025, 34, 15–20. [Google Scholar] [CrossRef]
- Sun, Q.L.; Liu, Y.W.; Xia, L.; Feng, D.; Wang, P.; Zhang, H. Lateral Dynamic Characteristics of Riser Under Wave-Current Load During Running and Installation. China Pet. Mach. 2023, 51, 50–56+65. [Google Scholar] [CrossRef]
- Lin, X.J.; Xiao, W.S.; Wang, H.Y. Drill string mechanical analysis of running deepwater oil tree. J. China Univ. Pet. 2011, 35, 125–129. Available online: https://kns.cnki.net/kcms2/article/abstract?v=7KCVMXbQLqKDvnZ-IUkLTqMs8FHTuS36hrll-52ioGhuZVS2yAzYUvezy_S-Aw-7NlP519OTQjj-mHTmGHp-SkiwkpqvNKHe5rj3NrYRBr_bJkhPqfQMxJWcpYcYYph_MosKNV2wEMVBWhOAdi0AyNVXdtVi6C4i0uu7SEz4yjZcxPTcVfVX6Q==&uniplatform=NZKPT&language=CHS (accessed on 14 December 2011).
- Wu, Z.H.; Cui, C.Y.; Zhang, X.C.; Yi, N.G.; Zhang, P.; Liu, Z.J. Sensitivity analysis of ice-induced vibration response parameters of the vertical leg offshore platform. J. Dalian Marit. Univ. 2021, 47, 93–99. [Google Scholar] [CrossRef]
- Xiao, T. Stability analysis of drill pipe inversion and recovery of underwater emergency well capping stack. Chem. Eng. Manag. 2023, 53–55. [Google Scholar] [CrossRef]

















| Return Period/(Years) | 1 | 10 | 50 | 100 |
|---|---|---|---|---|
| Significant Wave Height/(m) | 6.3 | 9.5 | 12.3 | 13.4 |
| Maximum Wave Height/(m) | 10.8 | 16.3 | 21.2 | 23.0 |
| Zero-crossing Period/(s) | 8.0 | 9.3 | 10.4 | 11.0 |
| Spectral Peak Period/(s) | 12.1 | 13.6 | 14.4 | 14.7 |
| Return Period/(Years) | 1 | 10 | 50 | 100 |
|---|---|---|---|---|
| Sea surface current velocity/(m/s) | 1.09 | 1.46 | 1.86 | 2.04 |
| One-fifth of the water depth/(m/s) | 0.74 | 1.02 | 1.26 | 1.37 |
| Two-fifth of the water depth/(m/s) | 0.56 | 0.62 | 0.66 | 0.68 |
| Three-fifth of the water depth/(m/s) | 0.54 | 0.61 | 0.64 | 0.66 |
| One-fifth of the water depth/(m/s) | 0.53 | 0.59 | 0.63 | 0.65 |
| Seabed current velocity/(m/s) | 0.30 | 0.35 | 0.35 | 0.35 |
| Length/(m) | Width/(m) | Height/(m) | Average Draft/(m) | Operating Displacement/(t) |
|---|---|---|---|---|
| 114 | 89 | 137 | 19 | 51,624 |
| Type | Diameter/(m) | Density/(kg/m3) | Drag Force Coefficient | Added Mass Coefficient |
|---|---|---|---|---|
| Steel wire cable | 0.072 | 6877 | 1.2 | 1.0 |
| Pipe Grade | Outer Diameter /(cm) | Inner Diameter /(cm) | Density /(kg/m3) | Tensile Strength /(MPa) | Torsional Strength /(kPa) |
|---|---|---|---|---|---|
| S-135 | 14.92 | 12.63 | 7885 | 746.8 | 170.833 |
| Retrieval Speed/(m/s) | Maximum Stress at the Top of the Drill Pipe/(MPa) | Total Offset of the Christmas Tree/(m) | Inclination Angle of the Christmas Tree/(°) |
|---|---|---|---|
| 0.1 | 337.34 | 13.77 | 10.13 |
| 0.2 | 337.17 | 13.78 | 13.53 |
| 0.3 | 337.24 | 13.75 | 15.20 |
| 0.4 | 336.84 | 13.76 | 23.62 |
| 0.5 | 336.98 | 13.77 | 28.38 |
| Wave Direction Angles/(°) | Maximum Stress at the Top of the Drill Pipe/(MPa) | Total Offset of the Christmas Tree/(m) | Inclination Angle of the Christmas Tree/(°) |
|---|---|---|---|
| 0 | 336.84 | 13.76 | 23.62 |
| 45 | 337.19 | 14.10 | 10.01 |
| 90 | 337.08 | 13.75 | 19.93 |
| 135 | 337.14 | 13.76 | 9.97 |
| 180 | 337.34 | 13.77 | 23.48 |
| Analysis Group | Current Velocity/(m/s) | Wave Height/(m) | Direction Angle/(°) | Retrieval Speed/(m/s) |
|---|---|---|---|---|
| 1 | 1.09 | 6.3 | 0 | 0.2 |
| 2 | 1.09 | 9.5 | 45 | 0.3 |
| 3 | 1.09 | 12.3 | 90 | 0.4 |
| 4 | 1.09 | 13.4 | 135 | 0.5 |
| 5 | 1.46 | 6.3 | 45 | 0.4 |
| 6 | 1.46 | 9.5 | 90 | 0.5 |
| 7 | 1.46 | 12.3 | 135 | 0.2 |
| 8 | 1.46 | 13.4 | 0 | 0.3 |
| 9 | 1.86 | 6.3 | 90 | 0.2 |
| 10 | 1.86 | 9.5 | 135 | 0.3 |
| 11 | 1.86 | 12.3 | 0 | 0.4 |
| 12 | 1.86 | 13.4 | 45 | 0.5 |
| 13 | 2.04 | 6.3 | 90 | 0.4 |
| 14 | 2.04 | 9.5 | 135 | 0.5 |
| 15 | 2.04 | 12.3 | 0 | 0.2 |
| 16 | 2.04 | 13.4 | 90 | 0.3 |
| Analysis Group | Maximum Stress at the Top of Drill Pipe/(MPa) | Christmas Tree Displacement/(m) | Inclination Angle of the Christmas Tree/(°) |
|---|---|---|---|
| 1 | 332.95 | 15.93 | 12.18 |
| 2 | 342.53 | 16.03 | 26.15 |
| 3 | 380.68 | 16.02 | 31.61 |
| 4 | 408.27 | 16.07 | 27.91 |
| 5 | 330.02 | 18.62 | 15.83 |
| 6 | 376.41 | 21.34 | 14.32 |
| 7 | 384.52 | 18.69 | 12.46 |
| 8 | 405.52 | 19.20 | 33.57 |
| 9 | 345.19 | 22.85 | 13.95 |
| 10 | 366.53 | 22.84 | 27.57 |
| 11 | 414.51 | 22.88 | 36.95 |
| 12 | 415.26 | 22.85 | 28.99 |
| 13 | 417.79 | 26.61 | 20.02 |
| 14 | 421.86 | 26.63 | 20.35 |
| 15 | 430.37 | 26.64 | 14.15 |
| 16 | 403.33 | 26.78 | 37.45 |
Disclaimer/Publisher’s Note: The statements, opinions and data contained in all publications are solely those of the individual author(s) and contributor(s) and not of MDPI and/or the editor(s). MDPI and/or the editor(s) disclaim responsibility for any injury to people or property resulting from any ideas, methods, instructions or products referred to in the content. |
© 2026 by the authors. Licensee MDPI, Basel, Switzerland. This article is an open access article distributed under the terms and conditions of the Creative Commons Attribution (CC BY) license.
Share and Cite
Wu, X.; Chen, J.; Luo, M.; Zeng, C.; Wang, H.; Wang, Y.; Wei, Q. A Hydrodynamic Model of the Subsea Christmas Trees in the Drill Pipes Retrieval Process at 2000-Meter Water Depth. Processes 2026, 14, 256. https://doi.org/10.3390/pr14020256
Wu X, Chen J, Luo M, Zeng C, Wang H, Wang Y, Wei Q. A Hydrodynamic Model of the Subsea Christmas Trees in the Drill Pipes Retrieval Process at 2000-Meter Water Depth. Processes. 2026; 14(2):256. https://doi.org/10.3390/pr14020256
Chicago/Turabian StyleWu, Xudong, Jianyi Chen, Ming Luo, Chunming Zeng, Heng Wang, Yingying Wang, and Qi Wei. 2026. "A Hydrodynamic Model of the Subsea Christmas Trees in the Drill Pipes Retrieval Process at 2000-Meter Water Depth" Processes 14, no. 2: 256. https://doi.org/10.3390/pr14020256
APA StyleWu, X., Chen, J., Luo, M., Zeng, C., Wang, H., Wang, Y., & Wei, Q. (2026). A Hydrodynamic Model of the Subsea Christmas Trees in the Drill Pipes Retrieval Process at 2000-Meter Water Depth. Processes, 14(2), 256. https://doi.org/10.3390/pr14020256
