The Assimilation of CFOSAT Wave Heights Using Statistical Background Errors
Highlights
- CFOSAT altimetry wave height measurements are assimilated into an operational wave forecast model
- Background errors and correlation lengths are quantified with spatial variation in the assimilation process
- Such assimilation does generally improve the forecast for wave heights based on validation with both buoys and alternative altimetry observations
- Distributed correlation length is a preferred method over the traditional constant correlation length
Abstract
1. Introduction
2. Materials and Methods
2.1. GDWPS
2.2. CFOSAT L2P
2.3. Optimal Interpolation
2.4. Background Error
2.5. Spectral Update
3. Results
3.1. Hs Increments
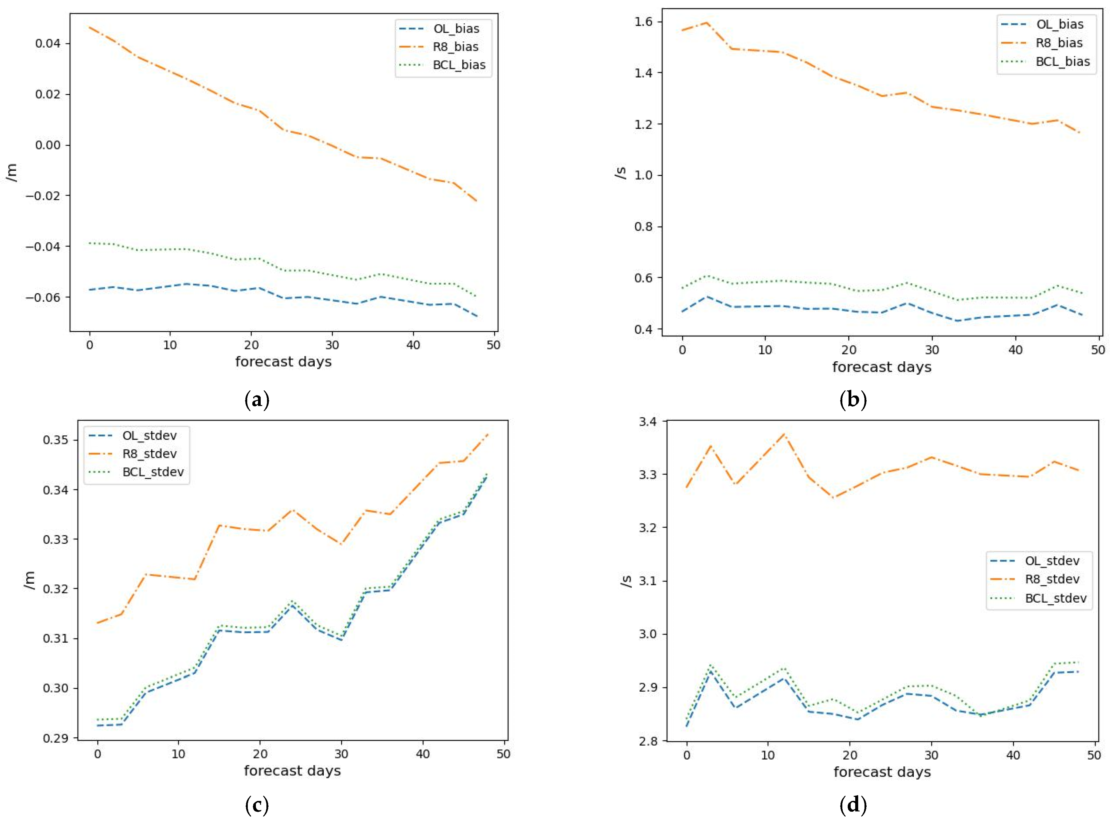
3.2. Forecast Scores
3.3. CMEMS Validation
4. Discussion
5. Conclusions
Author Contributions
Funding
Data Availability Statement
Acknowledgments
Conflicts of Interest
References
- Bernier, N.B.; Alves, J.H.; Tolman, H.; Chawla, A.; Peel, S.; Pouliot, B.; Bélanger, J.M.; Pellerin, P.; Lépine, M.; Roch, M. Operational wave prediction system at environment Canada: Going global to improve regional forecast skill. Weather Forecast. 2016, 31, 353–370. [Google Scholar] [CrossRef]
- Lionello, P.; Günther, H.; Janssen, P.A. Assimilation of altimeter data in a global third-generation wave model. J. Geophys. Res. Ocean. 1992, 97, 14453–14474. [Google Scholar] [CrossRef]
- Hauser, D.; Tourain, C.; Hermozo, L.; Alraddawi, D.; Aouf, L.; Chapron, B.; Dalphinet, A.; Delaye, L.; Dalila, M.; Dormy, E.; et al. New observations from the SWIM radar on-board CFOSAT: Instrument validation and ocean wave measurement assessment. IEEE Trans. Geosci. Remote Sens. 2020, 59, 5–26. [Google Scholar] [CrossRef]
- Aouf, L.; Hauser, D.; Tison, C.; Mouche, A. Perspectives for directional spectra assimilation: Results from a study based on joint assimilation of CFOSAT synthetic wave spectra and observed SAR spectra from Sentinel-1A. In Proceedings of the 2016 IEEE International Geoscience and Remote Sensing Symposium (IGARSS), Beijing, China, 10–15 July 2016; IEEE: Piscataway, NJ, USA, 2016; pp. 5820–5822. [Google Scholar]
- Smit, P.B.; Houghton, I.A.; Jordanova, K.; Portwood, T.; Shapiro, E.; Clark, D.; Sosa, M.; Janssen, T.T. Assimilation of significant wave height from distributed ocean wave sensors. Ocean Model. 2021, 159, 101738. [Google Scholar] [CrossRef]
- Houghton, I.A.; Penny, S.G.; Hegermiller, C.; Cesaretti, M.; Teicheira, C.; Smit, P.B. Ensemble-based data assimilation of significant wave height from Sofar Spotters and satellite altimeters with a global operational wave model. Ocean Model. 2023, 183, 102200. [Google Scholar] [CrossRef]
- Voorrips, A.C.; De Valk, C. A comparison of two operational wave assimilation methods. arXiv 1997, arXiv:physics/9703026. [Google Scholar] [CrossRef]
- Lefèvre, J.M.; Aouf, L. Latest developments in wave data assimilation. In Proceedings of the ECMWF Workshop on Ocean Waves, Reading, UK, 25–27 June 2012; pp. 25–27. [Google Scholar]
- Aouf, L.; Lefèvre, J.M. On the impact of the assimilation of SARAL/AltiKa wave data in the operational wave model MFWAM. Mar. Geod. 2015, 38, 381–395. [Google Scholar] [CrossRef]
- Bannister, R.N. A review of forecast error covariance statistics in atmospheric variational data assimilation. I: Characteristics and measurements of forecast error covariances. Q. J. R. Meteorol. Soc. J. Atmos. Sci. Appl. Meteorol. Phys. Oceanogr. 2008, 134, 1951–1970. [Google Scholar] [CrossRef]
- Bédard, J.; Caron, J.F.; Buehner, M.; Baek, S.J.; Fillion, L. Hybrid background error covariances for a limited-area deterministic weather prediction system. Weather Forecast. 2020, 35, 1051–1066. [Google Scholar] [CrossRef]
- Jizhao, W. Building of Wave Assimilation Model Based on Synchronous Observations of Wind and Wave. Ph.D. Thesis, University of Chinese Academy of Science, Qingdao, China, 2014. (In Chinese). [Google Scholar]
- Greenslade, D.J.; Young, I.R. The impact of inhomogeneous background errors on a global wave data assimilation system. J. Atmos. Ocean Sci. 2005, 10, 61–93. [Google Scholar] [CrossRef]
- Aouf, L.; Lefèvre, J.M.; Hauser, D. Assimilation of directional wave spectra in the wave model WAM: An impact study from synthetic observations in preparation for the SWIMSAT satellite mission. J. Atmos. Ocean. Technol. 2006, 23, 448–463. [Google Scholar] [CrossRef]
- Tolman, H.L. User Manual and System Documentation of WAVEWATCH III TM Version 3.14; Technical note, MMAB contribution; U.S. Department of Commerce: Washington, DC, USA, 2009; No. 276. [Google Scholar]
- Ardhuin, F.; Rogers, E.; Babanin, A.V.; Filipot, J.F.; Magne, R.; Roland, A.; Van Der Westhuysen, A.; Queffeulou, P.; Lefevre, J.M.; Aouf, L.; et al. Semiempirical dissipation source functions for ocean waves. Part I: Definition, calibration, and validation. J. Phys. Oceanogr. 2010, 40, 1917–1941. [Google Scholar] [CrossRef]
- Hasselmann, S.; Hasselmann, K.; Allender, J.H.; Barnett, T.P. Computations and parameterizations of the nonlinear energy transfer in a gravity-wave specturm. Part II: Parameterizations of the nonlinear energy transfer for application in wave models. J. Phys. Oceanogr. 1985, 15, 1378–1391. [Google Scholar] [CrossRef]
- Hasselmann, K.; Barnett, T.P.; Bouws, E.; Carlson, H.; Cartwright, D.E.; Enke, K.; Ewing, J.A.; Gienapp, A.; Hasselmann, D.E.; Kruseman, P.; et al. Measurements of wind-wave growth and swell decay during the Joint North Sea Wave Project (JONSWAP). Ergaenzungsheft Zur Dtsch. Hydrogr. Z. Reihe A 1973, A8, 1–95. [Google Scholar]
- Battjes, J.A.; Janssen, J.P. Energy loss and set-up due to breaking of random waves. In Proceedings of the 16th International Conference on Coastal Engineering, Hamburg, Germany, 27 August–3 September 1978; pp. 569–587. [Google Scholar]
- Tolman, H.L. User Manual and System Documentation of WAVEWATCH-III Version 2.22; Technical Note; US Department of Commerce, NOAA, NWS, NCEP: Washington, DC, USA, 2002. [Google Scholar]
- Girard, C.; Plante, A.; Desgagné, M.; McTaggart-Cowan, R.; Côté, J.; Charron, M.; Gravel, S.; Lee, V.; Patoine, A.; Qaddouri, A.; et al. Staggered vertical discretization of the Canadian Environmental Multiscale (GEM) model using a coordinate of the log-hydrostatic-pressure type. Mon. Weather Rev. 2014, 142, 1183–1196. [Google Scholar] [CrossRef]
- Smith, G.C.; Roy, F.; Reszka, M.; Surcel Colan, D.; He, Z.; Deacu, D.; Belanger, J.M.; Skachko, S.; Liu, Y.; Dupont, F.; et al. Sea ice forecast verification in the Canadian global ice ocean prediction system. Q. J. R. Meteorol. Soc. 2016, 142, 659–671. [Google Scholar] [CrossRef]
- Bernier, N.B.; Thompson, K.R. Deterministic and ensemble storm surge prediction for Atlantic Canada with lead times of hours to ten days. Ocean Model. 2015, 86, 14–27. [Google Scholar] [CrossRef]
- Queffeulou, P.; Croizé-Fillon, D. Global Altimeter SWH Data Set, Version 11.4, February 2017. Technical Report Ifremer. Available online: https://sextant.ifremer.fr/geonetwork/srv/api/records/14a5bd69-8883-4890-a8ac-e3b79a41ad2c/formatters/xsl-view#:~:text=Queffeulou%20P.%20(2016)%3A%20Validation%20of,Set%2C%20version%2011.4%2C%20February%202017 (accessed on 5 January 2026).
- Portilla-Yandún, J.; Cavaleri, L. On the specification of background errors for wave data assimilation systems. J. Geophys. Res. Ocean. 2016, 121, 209–223. [Google Scholar] [CrossRef]
- Parrish, D.F.; Derber, J.C. The National Meteorological Center’s spectral statistical-interpolation analysis system. Mon. Weather Rev. 1992, 120, 1747–1793. [Google Scholar] [CrossRef]
- Gauthier, P.; Charette, C.; Fillion, L.; Koclas, P.; Laroche, S. Implementation of a 3D variational data assimilation system at the Canadian Meteorological Centre. Part I: The global analysis. Atmos. Ocean 1999, 37, 103–156. [Google Scholar] [CrossRef]
- Buehner, M.; Houtekamer, P.L.; Charette, C.; Mitchell, H.L.; He, B. Intercomparison of variational data assimilation and the ensemble Kalman filter for global deterministic NWP. Part I: Description and single-observation experiments. Mon. Weather Rev. 2010, 138, 1550–1566. [Google Scholar] [CrossRef]
- Greenslade, D.J.; Young, I.R. Background errors in a global wave model determined from altimeter data. J. Geophys. Res. Ocean. 2004, 109, C09007. [Google Scholar] [CrossRef]
- Pierson, W.J., Jr.; Moskowitz, L. A proposed spectral form for fully developed wind seas based on the similarity theory of SA Kitaigorodskii. J. Geophys. Res. 1964, 69, 5181–5190. [Google Scholar] [CrossRef]
- Jiang, X.; Wang, D.; Yang, Y.; Sun, M.; He, Q. Approach for Preservation and Reconstruction of Two-Dimensional Wave Spectra and Its Application to Boundary Conditions in Nested Wave Modeling. Remote Sens. 2023, 15, 1360. [Google Scholar] [CrossRef]
- Saulter, A.N.; Bunney, C.; King, R.R.; Waters, J. An application of NEMOVAR for regional wave model data assimilation. Front. Mar. Sci. 2020, 7, 579834. [Google Scholar] [CrossRef]
- Toba, Y. Local balance in the air-sea boundary processes: I. On the growth process of wind waves. J. Oceanogr. 1972, 28, 109–120. [Google Scholar] [CrossRef]
- Greenslade, D.J. The assimilation of ERS-2 significant wave height data in the Australian region. J. Mar. Syst. 2001, 28, 141–160. [Google Scholar] [CrossRef]








| Statistic | Model | 00 h | 03 h | 06 h |
|---|---|---|---|---|
| Hs_bias(m) | R8 | 0.046 | 0.041 | 0.034 |
| BCL | −0.039 | −0.039 | −0.042 | |
| Hs_STDEV(m) | R8 | 0.313 | 0.315 | 0.323 |
| BCL | 0.294 | 0.294 | 0.300 | |
| Tp_bias(s) | R8 | 1.564 | 1.594 | 1.491 |
| BCL | 0.558 | 0.608 | 0.576 | |
| Tp_STDEV(s) | R8 | 3.274 | 3.352 | 3.279 |
| BCL | 2.840 | 2.942 | 2.881 |
| R8 | BCL | ||
|---|---|---|---|
| North | Bias (m) | −0.10 | −0.17 |
| SI (-) | 0.15 | 0.15 | |
| Tropics | Bias (m) | −0.07 | −0.14 |
| SI (-) | 0.13 | 0.12 | |
| South | Bias (m) | 0.16 | 0.05 |
| SI (-) | 0.14 | 0.13 | |
Disclaimer/Publisher’s Note: The statements, opinions and data contained in all publications are solely those of the individual author(s) and contributor(s) and not of MDPI and/or the editor(s). MDPI and/or the editor(s) disclaim responsibility for any injury to people or property resulting from any ideas, methods, instructions or products referred to in the content. |
© 2026 by the authors. Licensee MDPI, Basel, Switzerland. This article is an open access article distributed under the terms and conditions of the Creative Commons Attribution (CC BY) license.
Share and Cite
Sun, L.; Bernier, N.; Pouliot, B.; Timko, P.; Aouf, L. The Assimilation of CFOSAT Wave Heights Using Statistical Background Errors. Remote Sens. 2026, 18, 217. https://doi.org/10.3390/rs18020217
Sun L, Bernier N, Pouliot B, Timko P, Aouf L. The Assimilation of CFOSAT Wave Heights Using Statistical Background Errors. Remote Sensing. 2026; 18(2):217. https://doi.org/10.3390/rs18020217
Chicago/Turabian StyleSun, Leqiang, Natacha Bernier, Benoit Pouliot, Patrick Timko, and Lotfi Aouf. 2026. "The Assimilation of CFOSAT Wave Heights Using Statistical Background Errors" Remote Sensing 18, no. 2: 217. https://doi.org/10.3390/rs18020217
APA StyleSun, L., Bernier, N., Pouliot, B., Timko, P., & Aouf, L. (2026). The Assimilation of CFOSAT Wave Heights Using Statistical Background Errors. Remote Sensing, 18(2), 217. https://doi.org/10.3390/rs18020217

