Sign in to use this feature.

Years

Between: -

Subjects

remove_circle_outline
remove_circle_outline
remove_circle_outline
remove_circle_outline
remove_circle_outline
remove_circle_outline
remove_circle_outline
remove_circle_outline
remove_circle_outline

Journals

remove_circle_outline
remove_circle_outline
remove_circle_outline
remove_circle_outline
remove_circle_outline
remove_circle_outline

Article Types

Countries / Regions

remove_circle_outline
remove_circle_outline
remove_circle_outline
remove_circle_outline

Search Results (203)

Search Parameters:
Keywords = major principal stress

Order results
Result details
Results per page
Select all
Export citation of selected articles as:
15 pages, 2987 KB  
Article
Altered Plasma Endocannabinoids and Oxylipins in Adolescents with Major Depressive Disorders: A Case–Control Study
by Akash Chakravarty, Abinaya Sreetharan, Ester Osuna, Isabelle Herter-Aeberli, Isabelle Häberling, Jeannine Baumgartner, Gregor E. Berger and Martin Hersberger
Nutrients 2026, 18(2), 280; https://doi.org/10.3390/nu18020280 (registering DOI) - 15 Jan 2026
Abstract
Background: Pediatric Major Depressive Disorder (pMDD) is one of the leading causes of disability in adolescents. There is currently no single explanation that fully accounts for the cause of the disorder, but various factors, including dysregulation of the immune and stress responses, have [...] Read more.
Background: Pediatric Major Depressive Disorder (pMDD) is one of the leading causes of disability in adolescents. There is currently no single explanation that fully accounts for the cause of the disorder, but various factors, including dysregulation of the immune and stress responses, have been linked to its onset. Oxylipins and endocannabinoids, derived from metabolization of n-3 and n-6 polyunsaturated fatty acids (PUFAs), regulate inflammation and have been suggested to attenuate inflammation associated with depression. This study aims to understand whether adolescents with pMDD have altered baseline levels of oxylipins and endocannabinoids compared to healthy adolescents. Methods: In this case–control study, we measured 60 oxylipins and endocannabinoids in plasma from 82 adolescents with pMDD and their matching healthy controls. Results: A Principal Component Analysis revealed substantial variability within each group and only a moderate degree of separation between them. In a paired analysis, the lipid mediators of controls exhibited higher concentrations of n-6 PUFA-derived prostaglandins and thromboxanes (PGE2, PGD2, PGF2a and TXB2), n-3 PUFA-derived TxB3, and the endocannabinoids AEA, EPEA, and DHEA. In contrast, cases had higher concentrations of the n-6 PUFA-derived 6-keto-PGF1a and the n-3 PUFA-derived PGD3. In addition, we observed a higher percentage of oxylipins and endocannabinoids derived from DHA (5.65 ± 5.46% vs. 4.72 ± 4.94%) and AA (16.31 ± 11.10% vs. 12.76 ± 13.46%) in plasma from controls, in line with the higher DHA and AA levels observed in erythrocytes from controls compared to cases. Conclusions: Overall, our results show lower plasma levels of endocannabinoids and lower DHA- and AA-derived oxylipins in adolescents with pMDD, supporting their role in the pathophysiology of pMDD. To infer a causative role of the n-3 and n-6 PUFA-derived oxylipins and endocannabinoids in pMDD, an intervention study with n-3 PUFA supplementation and monitoring of oxylipins and endocannabinoids would be necessary. Full article
Show Figures

Figure 1

28 pages, 8968 KB  
Article
Exploration and Preliminary Investigation of Wiled Tinospora crispa: A Medicinal Plant with Promising Anti-Inflammatory and Antioxidant Properties
by Salma Saddeek
Curr. Issues Mol. Biol. 2026, 48(1), 70; https://doi.org/10.3390/cimb48010070 - 9 Jan 2026
Viewed by 136
Abstract
Background and Rationale: Tinospora crispa (L.) Hook.f. & Thomson (T. crispa) is a climbing medicinal plant with long-standing ethnopharmacological use, particularly in inflammatory and hepatic disorders and cancer-related conditions. There is a knowledge gap regarding how wild versus cultivated ecotypes differ in [...] Read more.
Background and Rationale: Tinospora crispa (L.) Hook.f. & Thomson (T. crispa) is a climbing medicinal plant with long-standing ethnopharmacological use, particularly in inflammatory and hepatic disorders and cancer-related conditions. There is a knowledge gap regarding how wild versus cultivated ecotypes differ in chemotype, bioactivity, and safety, and how this might support or refine traditional use. Study Objectives: This study aimed to compare wild and cultivated ecotypes of T. crispa from the Nile Delta (Egypt) in terms of quantitative and qualitative phytochemical profiles; selected in vitro biological activities (especially antioxidant and cytotoxic actions); genetic markers potentially associated with metabolic variation; and short-term oral safety in an animal model. Core Methodology: Standardized extraction of plant material from wild and cultivated ecotypes. Determination of total phenolics, total flavonoids, and major phytochemical classes (alkaloids, tannins, terpenoids). Metabolomic characterization using UHPLC-ESI-QTOF-MS, supported by NMR, to confirm key compounds such as berberine, palmatine, chlorogenic acid, rutin, and borapetoside C. In vitro bioassays including: Antioxidant activity (e.g., radical-scavenging assay with EC50 determination). Cytotoxicity against human cancer cell lines, with emphasis on HepG2 hepatoma cells and calculation of IC50 values. Targeted genetic analysis to detect single-nucleotide polymorphisms (SNPs) in the gen1 locus that differentiate ecotypes. A 14-day oral toxicity study in rats, assessing liver and kidney function markers and performing histopathology of liver and kidney tissues. Principal Results: The wild ecotype showed a 43–65% increase in total flavonoid and polyphenol content compared with the cultivated ecotype, as well as substantially higher levels of key alkaloids, particularly berberine (around 12.5 ± 0.8 mg/g), along with elevated chlorogenic acid and borapetoside C. UHPLC-MS and NMR analyses confirmed the identity of the main bioactive constituents and defined a distinct chemical fingerprint for the wild chemotype. Bioassays demonstrated stronger antioxidant activity of the wild extract than the cultivated one and selective cytotoxicity of the wild extract against HepG2 cells (IC50 ≈ 85 µg/mL), being clearly more potent than extracts from cultivated plants. Genetic profiling detected a C → T SNP within the gen1 region that differentiates the wild ecotype and may be linked to altered biosynthetic regulation. The 14-day oral toxicity study (up to 600 mg/kg) revealed no evidence of hepatic or renal toxicity, with biochemical markers remaining within physiological limits and normal liver and kidney histology. Conclusions and Future Perspectives: The wild Nile-Delta ecotype of T. crispa appears to be a stress-adapted chemotype characterized by enriched levels of multiple bioactive metabolites, superior in vitro bioactivity, and an encouraging preliminary safety margin. These findings support further evaluation of wild T. crispa as a candidate source for standardized botanical preparations targeting oxidative stress-related and hepatic pathologies, while emphasizing the need for: More comprehensive in vivo efficacy studies. Cultivation strategies that deliberately maintain or mimic beneficial stress conditions to preserve phytochemical richness. Broader geographical and genetic sampling to assess how generalizable the present chemotypic and bioactivity patterns are across the species. Full article
(This article belongs to the Special Issue Advances in Phytochemicals: Biological Activities and Applications)
Show Figures

Figure 1

19 pages, 2766 KB  
Article
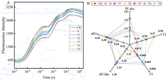
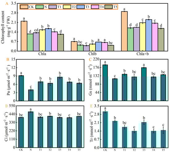
Regulatory Effects of Exogenous Trehalose on the Growth and Photosynthetic Characteristics of Celery (Apium graveolens L.) Under Salt Stress
by Yanqiang Gao, Liangmei Zhang, Wenjing Rui, Miao Zhang, Zixiao Liang, Kaiguo Pu, Youlin Chang, Yongwei Ma, Jingwen Huo, Jiongjie Zhang, Jing Li and Jianming Xie
Plants 2026, 15(2), 212; https://doi.org/10.3390/plants15020212 - 9 Jan 2026
Viewed by 121
Abstract
Salinity has been recognized as one of the major environmental stresses that restrict the growth and quality of celery (Apium graveolens L.). Therefore, this study investigates the impact of different NaCl concentrations on celery growth and photosynthetic characteristics, as well as the [...] Read more.
Salinity has been recognized as one of the major environmental stresses that restrict the growth and quality of celery (Apium graveolens L.). Therefore, this study investigates the impact of different NaCl concentrations on celery growth and photosynthetic characteristics, as well as the potential regulatory role of exogenous trehalose application in mitigating the stress-induced effects. The results indicated that an increase in NaCl concentration from 50 to 200 mM markedly inhibited the growth of celery plants compared to that under control conditions. The application of different concentrations of trehalose mitigated the inhibitory effects of salt stress (100 mM NaCl) on celery growth and photosynthesis. Among the different trehalose treatments, T3 (10 mM trehalose) exhibited the most significant effects, increasing the aboveground biomass, belowground biomass, plant height, chlorophyll a, chlorophyll b, total chlorophyll, and net photosynthetic rate compared to that of salt stress alone, respectively. Furthermore, trehalose treatments enhanced the various fluorescence parameters, including the maximum efficiency of PSII photochemistry (Fv/Fm), coefficient of photochemical quenching (qP), fluorescence intensity, and photosynthetic performance index (PIabs) under salt stress. Meanwhile, trehalose reduced intercellular carbon dioxide concentration, excess excitation energy (1-qP)/NPQ, heat dissipation per unit area (DIo/CSm), and energy dissipated per reaction center (DIo/RC). Additionally, the results of principal component analysis (PCA) and membership function comprehensive evaluation indicate that an appropriate concentration of trehalose positively alleviates the salnitiy-induced effects in celery. Overall, the T3 demonstrated the most promising effects on mitigating the effects of salt stress by decreasing the excess excitation energy of PSII in celery leaves through the heat dissipation pathway. This reduction lowers the excitation pressure on the reaction centers, enhances the activity of PSII reaction centers per unit cross-section, and improves photosynthesis activity, thereby improving the growth of celery plants under salt stress. Full article
(This article belongs to the Section Plant Response to Abiotic Stress and Climate Change)
Show Figures

Figure 1

16 pages, 7617 KB  
Article
Basement-Controlled Urban Fracturing: Evidence from Las Pilas, Zacatecas, Mexico
by Felipe de Jesús Escalona-Alcázar, Estefanía García-Paniagua, Luis Felipe Pineda-Martínez, Baudelio Rodríguez-González, Sayde María Teresa Reveles-Flores, Santiago Valle-Rodríguez and Cruz Daniel Mandujano-García
GeoHazards 2026, 7(1), 6; https://doi.org/10.3390/geohazards7010006 - 1 Jan 2026
Viewed by 250
Abstract
The formation of fractures in urban areas is typically related to construction processes, natural ground settlement, and material quality. In valleys, the distribution of ground fissures is associated with aquifer overexploitation and basement faulting. However, where the soil layer is only a few [...] Read more.
The formation of fractures in urban areas is typically related to construction processes, natural ground settlement, and material quality. In valleys, the distribution of ground fissures is associated with aquifer overexploitation and basement faulting. However, where the soil layer is only a few meters thick or absent, the influence of basement structures remains poorly understood. We hypothesize that urban fractures develop parallel to major basement faults. To test this, we applied a simple structural geology technique to systematically measure extension axes, from street fractures, throughout the town of Las Pilas. These axis orientations were then compared with those calculated for normal faults of Las Pilas Complex. Street fractures are generally about 1 cm thick, with lengths ranging from 0.51 to 1 m and occasionally reaching up to 3 m. They occur within streets 2 to 4 m wide, typically appearing as a single fracture within a 1–2 m wide fracture zone. Based on these characteristics, the fractures do not represent a significant hazard. Measurement results indicate that urban fractures primarily extend in an NE-SW direction. This is consistent with the orientation of the minimum principal stress axis (3) of the regional San Luis-Tepehuanes fault system, thereby supporting our hypothesis. Full article
Show Figures

Figure 1

17 pages, 3851 KB  
Article
Integrating Genome-Wide Association Study (GWAS) and Marker-Assisted Selection for Enhanced Predictive Performance of Soybean Cold Tolerance
by Yongguo Xue, Xiaofei Tang, Xiaoyue Zhu, Ruixin Zhang, Yubo Yao, Dan Cao, Wenjin He, Qi Liu, Xiaoyan Luan, Yongjun Shu and Xinlei Liu
Int. J. Mol. Sci. 2026, 27(1), 165; https://doi.org/10.3390/ijms27010165 - 23 Dec 2025
Viewed by 263
Abstract
Soybean (Glycine max (L.) Merr.), as a crucial source of oil and protein globally, is widely cultivated in many countries. Low-temperature stress has become one of the major environmental factors affecting soybean production, especially in colder regions, making the improvement of cold [...] Read more.
Soybean (Glycine max (L.) Merr.), as a crucial source of oil and protein globally, is widely cultivated in many countries. Low-temperature stress has become one of the major environmental factors affecting soybean production, especially in colder regions, making the improvement of cold tolerance traits in soybean a key breeding objective. This study integrates Genome-Wide Association Studies (GWAS) and Marker-Assisted Selection (MAS) to enhance the predictive performance of soybean cold tolerance traits. First, three GWAS methods—Fast3VmrMLM, fastGWA, and FarmCPU—were used to analyze soybean cold tolerance traits, and significant SNP markers were identified. Principal Component Analysis (PCA) was employed to reveal genetic differences among various soybean germplasm. Then, based on the identified SNP markers, multiple Genomic Selection (GS) models, such as GBLUP, BayesA, BayesB, BayesC, BL, and BRR, were used for prediction to evaluate the contribution of genetic effects to phenotypic variation. The results showed that the markers selected through GWAS significantly improved the prediction accuracy of genomic selection, especially with the Fast3VmrMLM and FarmCPU methods in larger datasets. Finally, Gene Ontology (GO) analysis was performed to further identify candidate genes associated with cold tolerance traits and their biological functions, providing theoretical support for molecular breeding of cold-tolerant soybean varieties. Full article
(This article belongs to the Special Issue Recent Advances in Soybean Molecular Breeding)
Show Figures

Figure 1

16 pages, 2298 KB  
Article
Screening and Evaluation of Fifteen Sugarcane Varieties for Drought Resistance
by Haibi Li, Shengsheng Luo, Kai Zhu, Jinju Wei, Yiyun Gui, Xihui Liu, Yanhang Tang, Liqiu Tang and Huanzhong Song
Agronomy 2026, 16(1), 34; https://doi.org/10.3390/agronomy16010034 - 22 Dec 2025
Viewed by 347
Abstract
Sugarcane production in China is severely constrained by frequent seasonal droughts, especially in the major planting region of Guangxi. Identifying drought-resistant varieties is crucial for ensuring yield stability. This study aimed to comprehensively evaluate the drought resistance of 15 sugarcane varieties and screen [...] Read more.
Sugarcane production in China is severely constrained by frequent seasonal droughts, especially in the major planting region of Guangxi. Identifying drought-resistant varieties is crucial for ensuring yield stability. This study aimed to comprehensively evaluate the drought resistance of 15 sugarcane varieties and screen key identification indicators. A pot experiment was conducted with both well-watered (control) and drought-stress treatments. Fifteen agronomic and physiological traits were measured, and drought resistance was assessed using the comprehensive drought resistance evaluation value (D value), the comprehensive drought resistance coefficient (CDC), and the weighted drought resistance coefficient (WDC). Results showed significant variations in trait responses to drought: green leaf number (NGL) decreased the most (66.06%), while proline (Pro) increased the most (88.09%). PCA reduced 15 traits to 5 principal components, with a cumulative variance contribution rate of 82.26%. Comprehensive evaluation using D values, comprehensive drought resistance coefficients (CDCs), and weighted drought resistance coefficients (WDCs) showed consistent overall drought resistance rankings, with slight differences in individual varieties. Cluster analysis based on D values classified the 15 varieties into three groups: 10 drought-resistant (66.67%, e.g., YZ08-1609, LT5), 3 moderately drought-resistant (e.g., GT08-56), and 2 drought-sensitive (GT10-612, ZT13-012). Grey relational analysis identified single stalk weight (SSW), number of leaves (NL), and number of green leaves (NGL) as key indicators closely associated with drought resistance. This study provides a scientific basis for establishing a drought-resistant sugarcane variety evaluation system and lays the foundation for breeding drought-resistant varieties. Full article
Show Figures

Figure 1

17 pages, 2232 KB  
Article
Phenotypic Variability and Genetic Diversity Analysis of Chickpea (Cicer arietinum L.) Germplasm Resources
by Shuping Zhang, Jundong Su, Wanming Li, Lili Xue, Xuefei Cai, Tingzhao Li, Jing Xiao and Jinbo Zhang
Plants 2026, 15(1), 24; https://doi.org/10.3390/plants15010024 - 21 Dec 2025
Viewed by 363
Abstract
This study evaluated 362 chickpea accessions by analyzing the phenotypic variation of 17 major traits. The main agronomic traits and quality traits were comprehensively evaluated using principal component analysis (PCA) and cluster analysis. The results revealed a Shannon diversity index (H’) [...] Read more.
This study evaluated 362 chickpea accessions by analyzing the phenotypic variation of 17 major traits. The main agronomic traits and quality traits were comprehensively evaluated using principal component analysis (PCA) and cluster analysis. The results revealed a Shannon diversity index (H’) for the five qualitative traits ranging from 0.76 to 1.20, while for the twelve quantitative traits, it ranged from 1.45 to 2.07. The coefficient of variation (CV) ranged from 7.63% to 41.69%, demonstrating substantial variation and significant differences among the 362 germplasm resources. Correlation analysis revealed that traits such as growth period, plant height, seed weight per plant, and hundred-seed weight were closely correlated with yield. PCA extracted five principal components, collectively explaining 76.06% of the total variance, representing most of the agronomic traits and quality traits. Cluster analysis categorized the accessions into five distinct groups, which can be used as germplasm alternative materials with high yield, mechanization potential, large grain size, early maturity, stress resistance, and high protein content. Using a membership function, a comprehensive evaluation score (F-value) was calculated, leading to the identification of ten accessions with superior overall traits. These could be used as materials for breeding and germplasm creation of new chickpea varieties. This research provides a scientific basis for future parental selection in chickpea breeding programs and for the screening of specific chickpea germplasm resources. Full article
(This article belongs to the Section Plant Genetics, Genomics and Biotechnology)
Show Figures

Figure 1

15 pages, 564 KB  
Article
Growth and Adaptation of Newly Graduated Nurses Based on Duchscher’s Stages of Transition Theory and Transition Shock Model: A Longitudinal Quantitative Study
by Lynette Cusack, Loren Madsen, Judy Boychuk Duchscher and Wenpeng You
Nurs. Rep. 2025, 15(12), 437; https://doi.org/10.3390/nursrep15120437 - 9 Dec 2025
Viewed by 779
Abstract
Background: The transition from student to registered nurse is a vulnerable period characterised by emotional strain, role ambiguity, and transition shock. Although Graduate Nurse Transition Programs (GNTPs) aim to strengthen early practice readiness, few evaluations use longitudinal, theory-informed approaches or validated tools. Aim: [...] Read more.
Background: The transition from student to registered nurse is a vulnerable period characterised by emotional strain, role ambiguity, and transition shock. Although Graduate Nurse Transition Programs (GNTPs) aim to strengthen early practice readiness, few evaluations use longitudinal, theory-informed approaches or validated tools. Aim: To examine the professional role development of new graduate nurses (NGNs) across three transition stages within a major Australian health service. Design and Methods: A longitudinal quantitative study guided by Duchscher’s Stages of Transition Theory and the Transition Shock Model. A customised 75-item questionnaire—adapted from the Professional Role Transition Risk Assessment Instrument and the Professional and Graduate Capability Framework—was administered at three transition points (March 2020–March 2021). Four domains were assessed: Responsibilities, Role Orientation, Relationships, and Knowledge and Confidence. Descriptive statistics, Principal Component Analysis (PCA), chi-square tests, and multinomial logistic regression identified developmental patterns and predictors of transition stage. Results: PCA supported a four-factor structure consistent with the theoretical domains, explaining 62% of variance. Significant stage-based improvements were found in clinical decision-making (RS6, p = 0.005), managing pressure (RS11, p = 0.003), leadership perception (RO5, p = 0.001), and emotional regulation (RL20, p < 0.001). Regression analysis identified role confusion (RS7, χ2 = 18.112, p = 0.001), leadership potential (RL1, χ2 = 25.590, p < 0.001), workplace support (RL16, χ2 = 12.760, p = 0.013), and critical thinking confidence (KN13, χ2 = 10.858, p = 0.028) as strong predictors of transition stage. By Stage 3, most NGNs demonstrated increased autonomy, confidence, and professional integration. A coordinator-to-graduate ratio of 1:12 facilitated personalised mentorship. Conclusions: Findings provide robust evidence for theoretically grounded GNTPs. Tailored interventions—such as early mentorship, mid-stage stress support, and late-stage leadership development—can enhance role clarity, confidence, and workforce sustainability. Full article
Show Figures

Figure 1

23 pages, 8255 KB  
Article
Identification and Evolution of Exon Junction Complex Core Genes and Expression Profiles in Moso Bamboo
by Yuhua Wang, Jun Zhang, Mengna Zhao, Xiaoyu Liu, Mingzhe Wang, Wenwen Zhong, Jiajie Yang, Tian Hua, Shengcai Xiang, Liangzhen Zhao, Yaxin Zhang and Lianfeng Gu
Forests 2025, 16(12), 1822; https://doi.org/10.3390/f16121822 - 5 Dec 2025
Viewed by 331
Abstract
The exon junction complex (EJC) is a central mediator of post-transcriptional regulation in eukaryotes. A comprehensive, systematic analysis of EJC core genes has been lacking in Phyllostachys edulis (P. edulis). Here, we identified 147 EJC core genes across 17 plant species [...] Read more.
The exon junction complex (EJC) is a central mediator of post-transcriptional regulation in eukaryotes. A comprehensive, systematic analysis of EJC core genes has been lacking in Phyllostachys edulis (P. edulis). Here, we identified 147 EJC core genes across 17 plant species spanning the major green plant lineages. Phylogenetic analyses supported each family as a monophyletic clade consistent with established taxonomic relationships. Synteny analyses indicated that segmental duplication is the principal driver of EJC core gene expansion in P. edulis (Moso bamboo). Transcriptome profiling further showed that nearly all PedEJCs were engaged during rapid shoot growth, with PedY14b-D, PedY14c-D, and PedY14d-C displaying the most pronounced expression changes. During shoots’ post-harvest senescence process, PedEIF4A3s, PedY14s, and PedMAGOs were progressively downregulated, whereas PedBTZs were upregulated, indicating distinct module-level responses among EJC subunits. Only a small subset of PedEJCs responds to phytohormones and abiotic stresses. Furthermore, cis-regulatory element composition in promoter region likely shapes PedEJCs transcriptional regulation. Collectively, these findings lay the groundwork for in-depth functional dissection of PedEJCs in Moso bamboo. Full article
(This article belongs to the Section Genetics and Molecular Biology)
Show Figures

Figure 1

26 pages, 3125 KB  
Article
Functional Trait-Based Responses of the Moroccan Menara Cultivar to Deficit Irrigation
by Houda Souali, Khaoula Ibba, Hamza Ahrouch, Asma Zahiri, Kaoutar El Issaoui, Bouchra Rabi, Basma Choukrane, Vladimiro Andrea Boselli, Rachid Hadria, Salah Er-Raki, Sara Oulbi, Driss Hsissou, Mohammed Ater and Jalal Kassout
Sustainability 2025, 17(23), 10614; https://doi.org/10.3390/su172310614 - 26 Nov 2025
Viewed by 597
Abstract
The olive tree (Olea europaea L.) is a keystone species in Mediterranean agroecosystems, where it plays a central economic and cultural role. However, the Mediterranean Basin is increasingly exposed to climate change, with rising temperatures and prolonged droughts threatening the long-term sustainability [...] Read more.
The olive tree (Olea europaea L.) is a keystone species in Mediterranean agroecosystems, where it plays a central economic and cultural role. However, the Mediterranean Basin is increasingly exposed to climate change, with rising temperatures and prolonged droughts threatening the long-term sustainability of olive cultivation. Understanding the adaptive responses of olive trees to water scarcity is critical for ensuring resilience in olive-based agroecosystems. This study investigates the functional responses of the Moroccan Menara olive cultivar under different controlled deficit irrigation (DI) strategies, namely regulated (RDI) and sustained (SDI) deficit irrigation. By analyzing key leaf functional and biochemical traits, we assessed how varying levels of water stress influence resource allocation and stress mitigation mechanisms. Under full irrigation (100% of crop water evapotranspiration) throughout the growing season and during sensitive growth periods, trees exhibited increased stomatal density, leaf area, and higher leaf carbon, nitrogen, and phosphorus contents, traits associated with enhanced growth and photosynthetic capacity. Meanwhile, under RDI treatments, with a 20% water reduction during sensitive periods and 40% during non-sensitive periods, Menara trees showed increased leaf tissue density and accumulation of polyphenols. SDI treatments, however, triggered higher concentrations of osmoprotectants (glycine, sugars, and proline), reduced stomatal density, and smaller leaf area associated with increased stomatal size. Principal component analysis revealed a major trade-off between growth-related and stress-protective traits, primarily driven by water availability during phenological growth stages. Notably, the strength of this trade-off was positively associated with olive fruit yield, underscoring the importance of strategically timed irrigation in balancing physiological resilience and productivity. These findings emphasize the crucial role of irrigation strategy in modulating functional responses of olive trees to water deficit, offering insights into optimizing water use under future climate scenarios. Full article
Show Figures

Figure 1

15 pages, 1211 KB  
Article
Drought Resistance of Different Scion Varieties Grafted onto Apple SH40 Interstock
by Jiao Bai, Yu Wang, Yang Zhang, Xiaoming Liu, Wenjing Xue, Ying Zhang, Binbin Si, Xuelian Huang, Jun Zhou, Jing Wang, Xin Zhang, Zhikai Zhang, Kang Du, Yajing An and Wendi Xu
Agronomy 2025, 15(11), 2635; https://doi.org/10.3390/agronomy15112635 - 17 Nov 2025
Viewed by 449
Abstract
Apple production in the arid and semi-arid regions of Northwest China, such as Lingwu in Ningxia, faces severe challenges due to water scarcity, which is exacerbated by climate change. To address this issue, this study aimed to identify superior drought-tolerant apple varieties grafted [...] Read more.
Apple production in the arid and semi-arid regions of Northwest China, such as Lingwu in Ningxia, faces severe challenges due to water scarcity, which is exacerbated by climate change. To address this issue, this study aimed to identify superior drought-tolerant apple varieties grafted onto the dwarfing interstock SH40 for cultivation in the Lingwu region. Seven major commercial varieties (‘Yanfu 3’, ‘Yanfu 6’, ‘Yanfu 8’, ‘Huashuo’, ‘Golden Delicious’, ‘Starking Delicious’, and ‘Red General’) were evaluated. Under natural drought stress conditions in Lingwu, we measured physiological and biochemical indices, photosynthetic parameters, leaf anatomical structure, and post-harvest fruit quality and yield. Principal component analysis (PCA) and membership function analysis were then employed for a comprehensive evaluation of drought resistance. The results revealed significant varietal differences. ‘Red General’ exhibited superior antioxidant enzyme activities (peroxidase (POD), catalase (CAT), superoxide dismutase (SOD) and higher photosynthetic rates (net photosynthetic rate (Pn), stomatal conductance (Gs), transpiration rate (Tr). ‘Golden Delicious’ showed the highest malondialdehyde (MDA) content but also possessed advantageous leaf anatomical traits, such as a high palisade-to-spongy tissue ratio. PCA extracted five principal components with a cumulative variance contribution rate of 95.492%. Membership function analysis ranked overall drought resistance as follows: ‘Red General’ > ‘Golden Delicious’ > ‘Starking Delicious’> ‘Huashuo’ > ‘Yanfu 6’ > ‘Yanfu 8’ > ‘Yanfu 3’. In conclusion, the mid-season varieties ‘Red General’, ‘Golden Delicious’, and ‘Starking Delicious’ demonstrated excellent comprehensive drought tolerance and are recommended as promising candidates for cultivation in the arid Lingwu region. Full article
(This article belongs to the Section Horticultural and Floricultural Crops)
Show Figures

Figure 1

10 pages, 1074 KB  
Communication
Sterol Composition in the Lichens Lobaria pulmonaria and Lobaria retigera: Does Photobiont Matter?
by Julia N. Valitova, Venera R. Khabibrakhmanova, Vasiliy M. Babayev, Ajsylu F. Khajrullina, Oleg P. Gurjanov, Natalia I. Gazizova, Richard P. Beckett and Farida V. Minibayeva
Int. J. Mol. Sci. 2025, 26(22), 11041; https://doi.org/10.3390/ijms262211041 - 14 Nov 2025
Viewed by 355
Abstract
The lipid composition of the mycobint and photobiont symbiotic partners of lichenized ascomycetes varies greatly. The aim of this study was to compare the profile of the major sterols in two closely related lichens from the genus Lobaria with different photobionts. The three-component [...] Read more.
The lipid composition of the mycobint and photobiont symbiotic partners of lichenized ascomycetes varies greatly. The aim of this study was to compare the profile of the major sterols in two closely related lichens from the genus Lobaria with different photobionts. The three-component lichen Lobaria pulmonaria has two photobionts. While the main photobiont is the chlorophycean alga Symbiochloris reticulata, this lichen contains small amounts of the cyanobacterium Nostoc. By contrast, the cyanobacterium Nostoc is the main photobiont in Lobaria retigera. Relatively loosely bound sterols were extracted using a chloroform–methanol mixture, and subsequently, more tightly bound sterols by alkaline saponification. The initial chloroform–methanol extraction step indicated that ergosterol is the principal sterol in both species, with phytosterols constituting a minor fraction. However, the addition of an alkaline saponification step to the standard protocol of sterol extraction greatly increases the release of tightly bound phytosterols, such as campesterol, stigmasterol, and β-sitosterol from L. pulmonaria, but not from L. retigera. Therefore, the mycobionts and Nostoc mainly possess sterols extractable by the standard mixture of chloroform/methanol, while the chlorophycean algal photobiont contains tightly bound sterols. This observation could be important when studying the roles of sterols in the stress tolerance of lichens. Full article
Show Figures

Figure 1

22 pages, 8822 KB  
Article
A Comparative Analysis of High-Throughput and Conventional Phenotyping: Validation of Plantarray System and Dynamic Physiological Traits for Drought Tolerance in Watermelon
by Rui Cheng, Shiyu Zhao, Xiaolong Shi, Xin Liu, Yan Tang, Wenzhao Xu, Binghua Xu, Cong Jin, Yudong Sun and Xuezheng Wang
Horticulturae 2025, 11(11), 1374; https://doi.org/10.3390/horticulturae11111374 - 14 Nov 2025
Viewed by 749
Abstract
Drought stress is a major constraint on watermelon production worldwide. Conventional phenotyping methods for drought tolerance are often low-throughput and fail to capture dynamic physiological responses. This study validated the high-throughput phenotyping platform (Plantarray 3.0) against conventional methods by dynamically evaluating drought tolerance [...] Read more.
Drought stress is a major constraint on watermelon production worldwide. Conventional phenotyping methods for drought tolerance are often low-throughput and fail to capture dynamic physiological responses. This study validated the high-throughput phenotyping platform (Plantarray 3.0) against conventional methods by dynamically evaluating drought tolerance across 30 genetically diverse watermelon accessions. The Plantarray system quantified key dynamic traits, including transpiration rate (TR), transpiration maintenance ratio (TMR), and transpiration recovery ratios (TRRs), revealing distinct drought-response strategies. Principal component analysis (PCA) of these dynamic traits explained 96.4% of the total variance (PC1: 75.5%, PC2: 20.9%), clearly differentiating genotypes. A highly significant correlation (R = 0.941, p < 0.001) was found between the comprehensive drought tolerance rankings derived from Plantarray and conventional phenotyping. We identified five genotypes as highly tolerant and four as highly sensitive. The elite drought-tolerant germplasm, notably the wild species PI 537300 (Citrullus colocynthis) and the cultivated variety G42 (Citrullus lanatus), exhibited superior physiological performance and recovery capacity. The results demonstrate that the Plantarray system not only efficiently screens for drought tolerance but also provides deep insights into dynamic resistance mechanisms, offering a powerful tool and valuable genetic resources for breeding climate-resilient watermelon cultivars. Full article
(This article belongs to the Special Issue Germplasm Resources and Genetics Improvement of Watermelon and Melon)
Show Figures

Figure 1

17 pages, 2719 KB  
Article
Predicting the Tensile Performance of 3D-Printed PE Fibre-Reinforced ECC Based on Micromechanics Model
by Binrong Zhu, Xuhua Liu, Yang Wei and Jinlong Pan
Buildings 2025, 15(22), 4058; https://doi.org/10.3390/buildings15224058 - 11 Nov 2025
Viewed by 376
Abstract
To elucidate the influence of the extrusion-based 3D printing of concrete on the tensile performance of polyethylene fibre-based engineered cementitious composites (PE-ECC), quantitative analyses of reinforcing filament alignment and pore morphology were carried out using backscattered electron (BSE) imaging and X-ray computed tomography [...] Read more.
To elucidate the influence of the extrusion-based 3D printing of concrete on the tensile performance of polyethylene fibre-based engineered cementitious composites (PE-ECC), quantitative analyses of reinforcing filament alignment and pore morphology were carried out using backscattered electron (BSE) imaging and X-ray computed tomography (X-CT). A micromechanics analytical model based on microstructural characteristics was further employed to predict the tensile response of additively manufactured PE-ECC. Due to the extrusion process, fibres in 3D-printed PE-ECC were predominantly oriented along the printing path, resulting in a smaller average inclination angle compared with the randomly distributed fibres in cast specimens. Internal pores exhibited elongated flattened ellipsoidal shapes, with more pronounced anisotropy in axial lengths across the three principal directions. Taking the major semi-axis of the equivalent ellipsoidal voids as a representative pore parameter, the analytical model accurately reproduced the cracking strength, stress-strain evolution, and crack pattern of the printed PE-ECC. This extrusion process enhanced multiple cracking capacity and strain-hardening performance by improving fibre orientation, strengthening interfacial bonding, and altering matrix fracture toughness. The integration of micromechanical modelling with experimentally measured microstructural parameters effectively revealed the intrinsic mechanisms underlying the enhanced tensile behaviour of 3D-printed PE-ECC and provides theoretical support for the optimized design of fibre-reinforced cementitious composites in 3D printing. Full article
(This article belongs to the Section Building Materials, and Repair & Renovation)
Show Figures

Figure 1

21 pages, 1324 KB  
Review
Antifungal Mechanisms of Plant Essential Oils: A Comprehensive Literature Review for Biofungicide Development
by Michel Leiva-Mora, Diana Bustillos, Cristina Arteaga, Kattyta Hidalgo, Deysi Guevara-Freire, Orestes López-Hernández, Luis Rodrigo Saa, Paola S. Padilla and Alberto Bustillos
Agriculture 2025, 15(21), 2303; https://doi.org/10.3390/agriculture15212303 - 5 Nov 2025
Cited by 3 | Viewed by 2464
Abstract
Plant pathogenic fungi pose a persistent global threat to food security, causing severe yield losses in staple crops and increasing dependence on chemical fungicides. However, the ecological and toxicological drawbacks of synthetic fungicides have intensified the search for safer, plant-derived alternatives. This review [...] Read more.
Plant pathogenic fungi pose a persistent global threat to food security, causing severe yield losses in staple crops and increasing dependence on chemical fungicides. However, the ecological and toxicological drawbacks of synthetic fungicides have intensified the search for safer, plant-derived alternatives. This review synthesizes current advances on the antifungal mechanisms of plant essential oils (EOs) and their prospects for biofungicide development. The literature reveals that the antifungal activity of EOs arises from their diverse phytochemical composition, principally terpenes, phenolics, and aldehydes that target multiple fungal cellular sites. These compounds disrupt membrane integrity through ergosterol depletion, inhibit chitin and β-glucan synthesis, interfere with mitochondrial energy metabolism, and induce oxidative stress, leading to lipid peroxidation and cell death. Morphological and transcriptomic evidence confirms that EOs alter hyphal growth, spore germination, and key gene expression pathways associated with fungal virulence. Furthermore, emerging nanotechnological and encapsulation strategies enhance EO stability, bioavailability, and field persistence, addressing major barriers to their large-scale agricultural application. The integration of EO-based biofungicides within sustainable and precision agriculture frameworks offers a promising route to reduce chemical inputs, mitigate resistance development, and promote ecological balance. This review underscores the need for interdisciplinary research linking phytochemistry, nanotechnology, and agronomy to translate EO-based antifungal mechanisms into next-generation, environmentally compatible crop protection systems. Full article
(This article belongs to the Special Issue Exploring Sustainable Strategies That Control Fungal Plant Diseases)
Show Figures

Figure 1

Back to TopTop