Sign in to use this feature.

Years

Between: -

Subjects

remove_circle_outline
remove_circle_outline
remove_circle_outline
remove_circle_outline
remove_circle_outline

Journals

Article Types

Countries / Regions

Search Results (11)

Search Parameters:
Keywords = magnetic nanostrips

Order results
Result details
Results per page
Select all
Export citation of selected articles as:
15 pages, 6068 KB  
Article
Role of Interfacial Dzyaloshinskii–Moriya Interactions on Dipole-Exchange Spin Waves in Finite-Width Ferromagnetic Nanostripes
by Syed Hussain, Bushra Hussain and Michael Cottam
AppliedPhys 2025, 1(2), 6; https://doi.org/10.3390/appliedphys1020006 - 29 Oct 2025
Viewed by 464
Abstract
In this paper, we explore the magnetization dynamics in a long ferromagnetic nanostripe with finite width in the presence of antisymmetric Dzyaloshinskii–Moriya exchange interactions (DMIs). It is known that DMIs, which are currently of great interest because they give rise to chiral and [...] Read more.
In this paper, we explore the magnetization dynamics in a long ferromagnetic nanostripe with finite width in the presence of antisymmetric Dzyaloshinskii–Moriya exchange interactions (DMIs). It is known that DMIs, which are currently of great interest because they give rise to chiral and nonreciprocal properties and influence surface topologies, can be enhanced by interfacing the nanostripe with a heavy metal. Our theoretical approach employs a microscopic (or Hamiltonian-based) analysis that includes symmetric bilinear exchange, antisymmetric DMI, long-range dipole–dipole interactions, and Zeeman energy due to an external magnetic field applied out of the plane of the nanostripe. In this geometry, we calculate the frequencies and amplitudes of the discrete spin-wave modes that have a standing-wave character across the finite width of the stripe and a propagating character (with wavenumber k) along the stripe length. The individual spin-wave modes display nonreciprocal propagation in their dispersion relations due to DMI. We also find that there may be localized edge spin waves with amplitudes that undergo spatial decay near the stripe edges. Full article
Show Figures

Figure 1

9 pages, 7343 KB  
Communication
Skyrmion Pair Racetrack Utilizing Hall Motion
by Shan Qiu, Tianle Zhang, Xiaotong Han, Jiahao Liu, Liang Fang and Yun Cheng
Magnetochemistry 2025, 11(10), 90; https://doi.org/10.3390/magnetochemistry11100090 - 20 Oct 2025
Viewed by 710
Abstract
The skyrmion racetrack is a promising concept for future information technology. The primary issues with skyrmion racetrack memory are now error codes and Hall motion. Here, we propose a skyrmion pair racetrack memory. The Oersted fields generated by the non-contact current-carrying wire in [...] Read more.
The skyrmion racetrack is a promising concept for future information technology. The primary issues with skyrmion racetrack memory are now error codes and Hall motion. Here, we propose a skyrmion pair racetrack memory. The Oersted fields generated by the non-contact current-carrying wire in the middle of the magnetic nanostrip stabilize the skyrmion pairs in the nanostrip, which are separated by a naturally formed domain wall. Through numerical models and micromagnetic simulations, we demonstrate that such a skyrmion pair can produce linear Hall motion along the nanostrip under the linear control of the Oersted field gradient. These findings offer a high-reliability method for skyrmion racetrack memory and a more efficient approach to designing devices that use the skyrmion Hall effect. Full article
Show Figures

Figure 1

11 pages, 3493 KB  
Article
Enhanced Optical Bistability of a Metasurface Based on Asymmetrically Optimized Mirror-Induced Magnetic Anapole States
by Rui Xu, Sen Tian, Yujia Wen and Guoxiong Cai
Appl. Sci. 2024, 14(21), 9914; https://doi.org/10.3390/app14219914 - 29 Oct 2024
Viewed by 1683
Abstract
In the field of modern optical computing and communication, optical bistability plays a crucial role. With a weak third-order nonlinear coefficient, low switch thresholds of optical bistability from Si-based nanophotonic structures remain a challenge. In this work, a metasurface consisting of silicon nanostrip [...] Read more.
In the field of modern optical computing and communication, optical bistability plays a crucial role. With a weak third-order nonlinear coefficient, low switch thresholds of optical bistability from Si-based nanophotonic structures remain a challenge. In this work, a metasurface consisting of silicon nanostrip arrays placed on the optically thick silver film is proposed. The light–matter interaction is enhanced by mirror-inducing the magnetic anapole states (MASs) and asymmetrically optimizing its silicon nanostrip. Numerical results show that the average enhancement factor (EF) of an electric field can be greatly enhanced to be 1524.8. Moreover, the optical bistability of the proposed metasurface achieves the thresholds of ION-OFF and IOFF-ON of 8.5 MW/cm2 and 7.1 MW/cm2, respectively, which is the lowest threshold when compared to the previous works based on silicon nanostructures. The angular dependance of the bistability performance is also investigated. This work facilitates the proposed hybrid metasurface in the fields of miniaturized all-optical switches and modulators, which are key components in optical computing and communication. Full article
(This article belongs to the Section Optics and Lasers)
Show Figures

Figure 1

18 pages, 15281 KB  
Article
Causes and Consequences of Ordering and Dynamic Phases of Confined Vortex Rows in Superconducting Nanostripes
by Benjamin McNaughton, Nicola Pinto, Andrea Perali and Milorad V. Milošević
Nanomaterials 2022, 12(22), 4043; https://doi.org/10.3390/nano12224043 - 17 Nov 2022
Cited by 4 | Viewed by 2864
Abstract
Understanding the behaviour of vortices under nanoscale confinement in superconducting circuits is important for the development of superconducting electronics and quantum technologies. Using numerical simulations based on the Ginzburg–Landau theory for non-homogeneous superconductivity in the presence of magnetic fields, we detail how lateral [...] Read more.
Understanding the behaviour of vortices under nanoscale confinement in superconducting circuits is important for the development of superconducting electronics and quantum technologies. Using numerical simulations based on the Ginzburg–Landau theory for non-homogeneous superconductivity in the presence of magnetic fields, we detail how lateral confinement organises vortices in a long superconducting nanostripe, presenting a phase diagram of vortex configurations as a function of the stripe width and magnetic field. We discuss why the average vortex density is reduced and reveal that confinement influences vortex dynamics in the dissipative regime under sourced electrical current, mapping out transitions between asynchronous and synchronous vortex rows crossing the nanostripe as the current is varied. Synchronous crossings are of particular interest, since they cause single-mode modulations in the voltage drop along the stripe in a high (typically GHz to THz) frequency range. Full article
(This article belongs to the Special Issue Novel Research in Low-Dimensional Systems)
Show Figures

Figure 1

8 pages, 2407 KB  
Article
A Voltage-Modulated Nanostrip Spin-Wave Filter and Spin Logic Device Thereof
by Huihui Li, Bowen Dong, Qi Hu, Yunsen Zhang, Guilei Wang, Hao Meng and Chao Zhao
Nanomaterials 2022, 12(21), 3838; https://doi.org/10.3390/nano12213838 - 30 Oct 2022
Cited by 1 | Viewed by 2144
Abstract
A nanostrip magnonic-crystal waveguide with spatially periodic width modulation can serve as a gigahertz-range spin-wave filter. Compared with the regular constant-width nanostrip, the periodic width modulation creates forbidden bands (band gaps) at the Brillouin zone boundaries due to the spin-wave reflection by the [...] Read more.
A nanostrip magnonic-crystal waveguide with spatially periodic width modulation can serve as a gigahertz-range spin-wave filter. Compared with the regular constant-width nanostrip, the periodic width modulation creates forbidden bands (band gaps) at the Brillouin zone boundaries due to the spin-wave reflection by the periodic potential owing to the long-range dipolar interactions. Previous works have shown that there is a critical challenge in tuning the band structures of the magnonic-crystal waveguide once it is fabricated. In this work, using micromagnetic simulations, we show that voltage-controlled magnetic anisotropy can effectively tune the band structures of a ferromagnetic–dielectric heterostructural magnonic-crystal waveguide. A uniformly applied voltage of 0.1 V/nm can lead to a significant frequency shift of ~9 GHz. A spin-wave transistor prototype employing such a kind of spin-wave filter is proposed to realize various logical operations. Our results could be significant for future magnonic computing applications. Full article
(This article belongs to the Special Issue Memory Nanomaterials: Growth, Characterization and Device Fabrication)
Show Figures

Figure 1

8 pages, 3781 KB  
Article
Micromagnetic Study on Branch Hybridizations of Spin-Wave Modes in Ferromagnetic Nanostrips
by Binghui Yin, Mingming Yang, Xiaoyan Zeng and Ming Yan
Materials 2022, 15(17), 6144; https://doi.org/10.3390/ma15176144 - 5 Sep 2022
Cited by 3 | Viewed by 2166
Abstract
Magnonics is an emerging field in spintronics, aiming at the development of new-concept magnetic devices processing information via the manipulation of spin waves (SWs) in magnetic nanostructures. One of the most popular SW waveguides exploited currently is ferromagnetic nanostrips. Due to quantization caused [...] Read more.
Magnonics is an emerging field in spintronics, aiming at the development of new-concept magnetic devices processing information via the manipulation of spin waves (SWs) in magnetic nanostructures. One of the most popular SW waveguides exploited currently is ferromagnetic nanostrips. Due to quantization caused by the lateral confinements, the dispersion of SWs propagating in a strip is characterized by a multi-branched structure. Consequently, SWs excited in the system involve superpositions of degenerate modes from different branches of the dispersion curves. In this work, we theoretically study the SW branch hybridization effect for two types of excitation methods, either by using a local oscillating magnetic field or a fast-moving field pulse. The former is based on the resonance effect and the latter on the Cherenkov-like emission mechanism. Micromagnetic simulations yield a variety of SW profiles with rather complex structures, which can be well explained by mode superpositions. These results draw attention to the significance of the SW branch hybridization effect when dealing with SWs in nanostrips and provide new aspects for the manipulation of SWs. Full article
(This article belongs to the Special Issue Magnetic and Structural Properties of Ferromagnetic Thin Films)
Show Figures

Figure 1

17 pages, 9404 KB  
Article
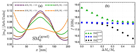
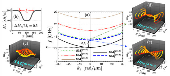
Spin-Wave Channeling in Magnetization-Graded Nanostrips
by Rodolfo A. Gallardo, Pablo Alvarado-Seguel, Felipe Brevis, Alejandro Roldán-Molina, Kilian Lenz, Jürgen Lindner and Pedro Landeros
Nanomaterials 2022, 12(16), 2785; https://doi.org/10.3390/nano12162785 - 14 Aug 2022
Cited by 8 | Viewed by 3149
Abstract
Magnetization-graded ferromagnetic nanostrips are proposed as potential prospects to channel spin waves. Here, a controlled reduction of the saturation magnetization enables the localization of the propagating magnetic excitations in the same way that light is controlled in an optical fiber with a varying [...] Read more.
Magnetization-graded ferromagnetic nanostrips are proposed as potential prospects to channel spin waves. Here, a controlled reduction of the saturation magnetization enables the localization of the propagating magnetic excitations in the same way that light is controlled in an optical fiber with a varying refraction index. The theoretical approach is based on the dynamic matrix method, where the magnetic nanostrip is divided into small sub-strips. The dipolar and exchange interactions between sub-strips have been considered to reproduce the spin-wave dynamics of the magnonic fiber. The transition from one strip to an infinite thin film is presented for the Damon-Eshbach geometry, where the nature of the spin-wave modes is discussed. An in-depth analysis of the spin-wave transport as a function of the saturation magnetization profile is provided. It is predicted that it is feasible to induce a remarkable channeling of the spin waves along the zones with a reduced saturation magnetization, even when such a reduction is tiny. The results are compared with micromagnetic simulations, where a good agreement is observed between both methods. The findings have relevance for envisioned future spin-wave-based magnonic devices operating at the nanometer scale. Full article
(This article belongs to the Section Theory and Simulation of Nanostructures)
Show Figures

Figure 1

15 pages, 1042 KB  
Article
Optimized Voltage-Induced Control of Magnetic Domain-Wall Propagation in Hybrid Piezoelectric/Magnetostrictive Devices
by Giancarlo Consolo and Giovanna Valenti
Actuators 2021, 10(6), 134; https://doi.org/10.3390/act10060134 - 17 Jun 2021
Cited by 6 | Viewed by 2577
Abstract
A theory of voltage-induced control of magnetic domain walls propagating along the major axis of a magnetostrictive nanostrip, tightly coupled with a ceramic piezoelectric, is developed in the framework of the Landau–Lifshitz–Gilbert equation. It is assumed that the strains undergone by the piezoelectric [...] Read more.
A theory of voltage-induced control of magnetic domain walls propagating along the major axis of a magnetostrictive nanostrip, tightly coupled with a ceramic piezoelectric, is developed in the framework of the Landau–Lifshitz–Gilbert equation. It is assumed that the strains undergone by the piezoelectric actuator, subject to an electric field generated by a dc bias voltage applied through a couple of lateral electrodes, are fully transferred to the magnetostrictive layer. Taking into account these piezo-induced strains and considering a magnetostrictive linear elastic material belonging to the cubic crystal class, the magnetoelastic field is analytically determined. Therefore, by using the classical traveling-wave formalism, the explicit expressions of the most important features characterizing the two dynamical regimes of domain-wall propagation have been deduced, and their dependence on the electric field strength has been highlighted. Moreover, some strategies to optimize such a voltage-induced control, based on the choice of the ceramic piezoelectric material and the orientation of dielectric poling and electric field with respect to the reference axes, have been proposed. Full article
(This article belongs to the Special Issue New Design and Applications for Magnetoelastic Actuators)
Show Figures

Figure 1

7 pages, 3654 KB  
Article
Domain Wall Injection in Spin Valve Systems with Reservoirs of Different Geometries
by Cheng-Yi Wu and Shiow-Kang Yen
Crystals 2020, 10(3), 187; https://doi.org/10.3390/cryst10030187 - 9 Mar 2020
Cited by 3 | Viewed by 2739
Abstract
This study investigates nanostrips in Co/Cu/Py spin valve structures by connecting one side to domain wall reservoirs of different shapes in order to manipulate the switching field. The switching field increases according to the injection geometry; a diamond-shape reservior generates the largest switching [...] Read more.
This study investigates nanostrips in Co/Cu/Py spin valve structures by connecting one side to domain wall reservoirs of different shapes in order to manipulate the switching field. The switching field increases according to the injection geometry; a diamond-shape reservior generates the largest switching field, followed by square-shape and then tip shape reservoirs. Simulation indicated the same results, showing that the vortex domain walls nucleated at the junction, but the pinning force increased as the magnetic transition area became larger (the injection angle became smaller). Therefore, by controlling the domain wall injection angles, the switching fields of the nanostrips can be manipulated. Full article
(This article belongs to the Section Inorganic Crystalline Materials)
Show Figures

Figure 1

10 pages, 2007 KB  
Review
Self-Organized Conductive Gratings of Au Nanostripe Dimers Enable Tunable Plasmonic Activity
by Maria Caterina Giordano, Matteo Barelli, Giuseppe Della Valle and Francesco Buatier de Mongeot
Appl. Sci. 2020, 10(4), 1301; https://doi.org/10.3390/app10041301 - 14 Feb 2020
Cited by 2 | Viewed by 2780
Abstract
Plasmonic metasurfaces based on quasi-one-dimensional (1D) nanostripe arrays are homogeneously prepared over large-area substrates (cm2), exploiting a novel self-organized nanofabrication method. Glass templates are nanopatterned by ion beam-induced anisotropic nanoscale wrinkling, enabling the maskless confinement of quasi-1D arrays of out-of-plane tilted [...] Read more.
Plasmonic metasurfaces based on quasi-one-dimensional (1D) nanostripe arrays are homogeneously prepared over large-area substrates (cm2), exploiting a novel self-organized nanofabrication method. Glass templates are nanopatterned by ion beam-induced anisotropic nanoscale wrinkling, enabling the maskless confinement of quasi-1D arrays of out-of-plane tilted gold nanostripes, behaving as transparent wire-grid polarizer nanoelectrodes. These templates enable the dichroic excitation of localized surface plasmon resonances, easily tunable over a broadband spectrum from the visible to the near- and mid-infrared, by tailoring the nanostripes’ shape and/or changing the illumination conditions. The controlled self-organized method allows the engineering of the nanoantennas’ morphology in the form of Au-SiO2-Au nanostripe dimers, which show hybridized plasmonic resonances with enhanced tunability. Under this condition, superior near-field amplification is achievable for the excitation of the hybridized magnetic dipole mode, as pointed out by numerical simulations. The high efficiency of these plasmonic nanoantennas, combined with the controlled tuning of the resonant response, opens a variety of applications for these cost-effective templates, ranging from biosensing and optical spectroscopies to high-resolution molecular imaging and nonlinear optics. Full article
Show Figures

Figure 1

14 pages, 501 KB  
Article
Engineering Planar Transverse Domain Walls in Biaxial Magnetic Nanostrips by Tailoring Transverse Magnetic Fields with Uniform Orientation
by Mingna Yu, Mei Li and Jie Lu
Nanomaterials 2019, 9(1), 128; https://doi.org/10.3390/nano9010128 - 20 Jan 2019
Cited by 13 | Viewed by 3923
Abstract
Designing and realizing various magnetization textures in magnetic nanostructures are essential for developing novel magnetic nanodevices in the modern information industry. Among all these textures, planar transverse domain walls (pTDWs) are the simplest and the most basic, which make them popular in device [...] Read more.
Designing and realizing various magnetization textures in magnetic nanostructures are essential for developing novel magnetic nanodevices in the modern information industry. Among all these textures, planar transverse domain walls (pTDWs) are the simplest and the most basic, which make them popular in device physics. In this work, we report the engineering of pTDWs with arbitrary tilting attitude in biaxial magnetic nanostrips by transverse magnetic field profiles with uniform orientation but tuneable strength distribution. Both statics and axial-field-driven dynamics of these pTDWs are analytically investigated. It turns out that, for statics, these pTDWs are robust against disturbances which are not too abrupt, while for dynamics, it can be tailored to acquire higher velocity than Walker’s ansatz predicts. These results should provide inspiration for designing magnetic nanodevices with novel one-dimensional magnetization textures, such as 360 ° walls, or even two-dimensional ones, such as vortices and skyrmions. Full article
(This article belongs to the Special Issue Ferromagnetic and Magnetic Properties of Nanostructures)
Show Figures

Figure 1

Back to TopTop