Self-Organized Conductive Gratings of Au Nanostripe Dimers Enable Tunable Plasmonic Activity
Abstract
1. Introduction
2. Results and Discussion
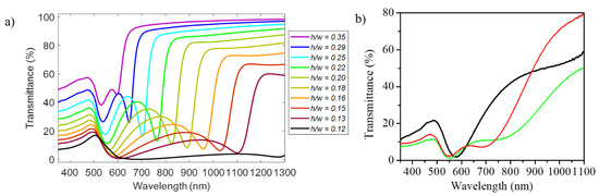
2.1. Plasmonic and Conductive Nanostripe Arrays
2.2. Plasmon Hybridization in Nanostripe Dimer Arrays
3. Conclusions
Supplementary Materials
Author Contributions
Funding
Acknowledgments
Conflicts of Interest
References
- Schuller, J.A.; Barnard, E.S.; Cai, W.; Jun, Y.C.; White, J.S.; Brongersma, M.L. Plasmonics for extreme light concentration and manipulation. Nat. Mater. 2010, 9, 193–204. [Google Scholar] [CrossRef] [PubMed]
- Kneipp, K.; Moskovits, M.; Kneipp, H. Surface Enhanced Raman Scattering: Physics and Applications; Springer: New York, NY, USA, 2006. [Google Scholar]
- Yu, N.; Capasso, F. Flat optics with designer metasurfaces. Nat. Mater. 2014, 13, 139–150. [Google Scholar] [CrossRef] [PubMed]
- Woessner, A.; Lundeberg, M.B.; Gao, Y.; Principi, A.; Alonso-González, P.; Carrega, M.; Watanabe, K.; Taniguchi, T.; Vignale, G.; Polini, M.; et al. Highly confined low-loss plasmons in graphene–boron nitride heterostructures. Nat. Mater. 2015, 14, 421–425. [Google Scholar] [CrossRef] [PubMed]
- Aydin, K.; Ferry, V.E.; Briggs, R.M.; Atwater, H.A. Broadband polarization-independent resonant light absorption using ultrathin plasmonic super absorbers. Nat. Commun. 2011, 2, 517. [Google Scholar] [CrossRef] [PubMed]
- Alessandri, I.; Ferroni, M.; Depero, L.E. Plasmonic heating-assisted transformation of SiO 2/Au core/shell nanospheres (Au nanoshells): Caveats and opportunities for SERS and direct laser writing. Plasmonics 2013, 8, 129–132. [Google Scholar] [CrossRef]
- Giordano, M.C.; Foti, A.; Messina, E.; Gucciardi, P.G.; Comoretto, D.; De Mongeot, F.B. SERS amplification from self-organized arrays of plasmonic nanocrescents. ACS Appl. Mater. Interf. 2016, 8, 6629–6638. [Google Scholar] [CrossRef]
- Belardini, A.; Benedetti, A.; Centini, M.; Leahu, G.; Mura, F.; Sennato, S.; Sibilia, C.; Robbiano, V.; Giordano, M.C.; Martella, C.; et al. Second harmonic generation circular dichroism from self-ordered hybrid plasmonic–photonic nanosurfaces. Adv. Opt. Mater. 2014, 2, 208–213. [Google Scholar] [CrossRef]
- Lee, J.; Crampton, K.T.; Tallarida, N.; Apkarian, V.A. Visualizing vibrational normal modes of a single molecule with atomically confined light. Nat. 2019, 568, 78–82. [Google Scholar] [CrossRef]
- Belardini, A.; Larciprete, M.C.; Centini, M.; Fazio, E.; Sibilia, C.; Chiappe, D.; Martella, C.; Toma, A.; Giordano, M.; de Mongeot, F.B. Circular dichroism in the optical second-harmonic emission of curved gold metal nanowires. Phys. Rev. Lett. 2011, 107, 257401. [Google Scholar] [CrossRef]
- Neubrech, F.; Pucci, A.; Cornelius, T.W.; Karim, S.; García-Etxarri, A.; Aizpurua, J. Resonant plasmonic and vibrational coupling in a tailored nanoantenna for infrared detection. Phys. Rev. Lett. 2008, 101, 157403. [Google Scholar] [CrossRef]
- Leahu, G.; Petronijevic, E.; Belardini, A.; Centini, M.; Sibilia, C.; Hakkarainen, T.; Koivusalo, E.; Rizzo Piton, M.; Suomalainen, S.; Guina, M. Evidence of Optical Circular Dichroism in GaAs-Based Nanowires Partially Covered with Gold. Adv. Opt. Mater. 2017, 5, 1601063. [Google Scholar] [CrossRef]
- Pors, A.; Nielsen, M.G.; Bozhevolnyi, S.I. Analog Computing Using Reflective Plasmonic Metasurfaces. Nano Lett. 2015, 15, 791–797. [Google Scholar] [CrossRef]
- Near, R.; Tabor, C.; Duan, J.; Pachter, R.; El-Sayed, M. Pronounced Effects of Anisotropy on Plasmonic Properties of Nanorings Fabricated by Electron Beam Lithography. Nano Lett. 2012, 12, 2158–2164. [Google Scholar] [CrossRef] [PubMed]
- Iorio, A.; Rocci, M.; Bours, L.; Carrega, M.; Zannier, V.; Sorba, L.; Roddaro, S.; Giazotto, F.; Strambini, E. Vectorial Control of the Spin–Orbit Interaction in Suspended InAs Nanowires. Nano Lett. 2018, 19, 652–657. [Google Scholar] [CrossRef]
- Giordano, M.C.; Viti, L.; Mitrofanov, O.; Vitiello, M.S. Phase-sensitive terahertz imaging using room-temperature near-field nanodetectors. Optica 2018, 5, 651–657. [Google Scholar] [CrossRef]
- Sharma, B.; Frontiera, R.R.; Henry, A.I.; Ringe, E.; Van Duyne, R.P. SERS: Materials, applications, and the future. Materialstoday 2012, 15, 16–25. [Google Scholar] [CrossRef]
- Zhang, Y.; Zhen, Y.-R.; Neumann, O.; Day, J.K.; Nordlander, P.; Halas, N.J. Coherent anti-Stokes Raman scattering with single-molecule sensitivity using a plasmonic Fano resonance. Nat. Commun. 2014, 5, 4424. [Google Scholar] [CrossRef]
- Gwo, S.; Wang, C.-Y.; Chen, H.-Y.; Lin, M.-H.; Sun, L.; Li, X.; Chen, W.-L.; Chang, Y.-M.; Ahn, H. Plasmonic Metasurfaces for Nonlinear Optics and Quantitative SERS. ACS Photon. 2016, 3, 1371–1384. [Google Scholar] [CrossRef]
- Repetto, D.; Giordano, M.C.; Foti, A.; Gucciardi, P.G.; Mennucci, C.; De Mongeot, F.B. SERS amplification by ultra-dense plasmonic arrays on self-organized PDMS templates. Appl. Surf. Sci. 2018, 446, 83–91. [Google Scholar] [CrossRef]
- Kessentini, S.; Barchiesi, D.; D’Andrea, C.; Toma, A.; Guillot, N.; Di Fabrizio, E.; Fazio, B.; Maragò, O.M.; Gucciardi, P.G.; De La Chapelle, M.L. Gold Dimer Nanoantenna with Slanted Gap for Tunable LSPR and Improved SERS. J. Phys. Chem. C 2014, 118, 3209–3219. [Google Scholar] [CrossRef]
- Wu, C.; Khanikaev, A.B.; Adato, R.; Arju, N.; Yanik, A.A.; Altug, H.; Shvets, G. Fano-resonant Asymmetric Metamaterials for Ultrasensitive Spectroscopy and Identification of Molecular Monolayers. Nat. Mater. 2012, 11, 69–75. [Google Scholar] [CrossRef] [PubMed]
- Neubrech, F.; Beck, S.; Glaser, T.; Hentschel, M.; Giessen, H.; Pucci, A. Spatial Extent of Plasmonic Enhancement of Vibrational Signals in the Infrared. ACS Nano 2014, 8, 6250–6258. [Google Scholar] [CrossRef] [PubMed]
- Rodrigo, D.; Limaj, O.; Janner, D.; Etezadi, D.; De Abajo, F.J.G.; Pruneri, V.; Altug, H. Mid-infrared Plasmonic Biosensing with Graphene. Science 2015, 349, 165–168. [Google Scholar] [CrossRef] [PubMed]
- Yavas, O.; Aćimović, S.S.; Garcia-Guirado, J.; Berthelot, J.; Dobosz, P.; Sanz, V.; Quidant, R. Self-Calibrating On-Chip Localized Surface Plasmon Resonance Sensing for Quantitative and Multiplexed Detection of Cancer Markers in Human Serum. ACS Sens. 2018, 3, 1376–1384. [Google Scholar] [CrossRef] [PubMed]
- Aćimović, S.S.; Ortega, M.A.; Sanz, V.; Berthelot, J.; Garcia-Cordero, J.L.; Renger, J.; Maerkl, S.J.; Kreuzer, M.P.; Quidant, R. LSPR Chip for Parallel, Rapid, and Sensitive Detection of Cancer Markers in Serum. Nano Lett. 2014, 14, 2636–2641. [Google Scholar] [CrossRef] [PubMed]
- Verre, R.; Fleischer, K.; Ualibek, O.; Shvets, I.V. Self-assembled broadband plasmonic nanoparticle arrays for sensing applications. Appl. Phys. Lett. 2012, 100, 31102. [Google Scholar] [CrossRef]
- Repetto, D.; Giordano, M.C.; Martella, C.; De Mongeot, F.B. Transparent aluminium nanowire electrodes with optical and electrical anisotropic response fabricated by defocused ion beam sputtering. Appl. Surf. Sci. 2015, 327, 444–452. [Google Scholar] [CrossRef]
- Della Valle, G.; Polli, D.; Biagioni, P.; Martella, C.; Giordano, M.C.; Finazzi, M.; Longhi, S.; Duò, L.; Cerullo, G.; De Mongeot, F.B. Self-organized plasmonic metasurfaces for all-optical modulation. Phys. Rev. B 2015, 91, 235440. [Google Scholar] [CrossRef]
- Giordano, M.C.; De Mongeot, F.B. Anisotropic Nanoscale Wrinkling in Solid-State Substrates. Adv. Mater. 2018, 30, 1801840. [Google Scholar] [CrossRef]
- Giordano, M.C.; Longhi, S.; Barelli, M.; Mazzanti, A.; De Mongeot, F.B.; Della Valle, G. Plasmon hybridization engineering in self-organized anisotropic metasurfaces. Nano Res. 2018, 11, 3943–3956. [Google Scholar] [CrossRef]
- Gnecco, E.; Nita, P.; Casado, S.; Pimentel, C.; Mougin, K.; Giordano, M.C.; Repetto, D.; De Mongeot, F.B. Channeling motion of gold nanospheres on a rippled glassed surface. Nanotechnology 2014, 25, 485302. [Google Scholar] [CrossRef] [PubMed]
- Octavio, M.; Gutierrez, G.; Aponte, J. Conductivity and noise critical exponents in thin films near the metal-insulator percolation transition. Phys. Rev. B 1987, 36, 2461. [Google Scholar] [CrossRef] [PubMed]
- Giordano, M.C.; Repetto, D.; Mennucci, C.; Carrara, A.; De Mongeot, F.B. Template-assisted growth of transparent plasmonic nanowire electrodes. Nanotechnology 2016, 27, 495201. [Google Scholar] [CrossRef] [PubMed]
- Aas, L.M.S.; Kildemo, M.; Martella, C.; Giordano, M.C.; Chiappe, D.; De Mongeot, F.B. Optical properties of biaxial nanopatterned gold plasmonic nanowired grid polarizer. Opt. Express 2013, 21, 30918–30931. [Google Scholar] [CrossRef] [PubMed]
- Barelli, M.; Repetto, D.; De Mongeot, F.B. Infrared Plasmonics via Self-Organized Anisotropic Wrinkling of Au/PDMS Nanoarrays. ACS Appl. Polym. Mater. 2019, 1, 1334–1340. [Google Scholar] [CrossRef]
- Della Valle, G.; Søndergaard, T.; Bozhevolnyi, S.I. Plasmon-polariton nano-strip resonators: From visible to infra-red. Opt. Express 2008, 16, 6867–6876. [Google Scholar] [CrossRef]
- Søndergaard, T.; Jung, J.; Bozhevolnyi, S.I.; Della Valle, G. Theoretical analysis of gold nano-strip gap plasmon resonators. New J. Phys. 2008, 10, 105008. [Google Scholar] [CrossRef]




© 2020 by the authors. Licensee MDPI, Basel, Switzerland. This article is an open access article distributed under the terms and conditions of the Creative Commons Attribution (CC BY) license (http://creativecommons.org/licenses/by/4.0/).
Share and Cite
Giordano, M.C.; Barelli, M.; Della Valle, G.; Buatier de Mongeot, F. Self-Organized Conductive Gratings of Au Nanostripe Dimers Enable Tunable Plasmonic Activity. Appl. Sci. 2020, 10, 1301. https://doi.org/10.3390/app10041301
Giordano MC, Barelli M, Della Valle G, Buatier de Mongeot F. Self-Organized Conductive Gratings of Au Nanostripe Dimers Enable Tunable Plasmonic Activity. Applied Sciences. 2020; 10(4):1301. https://doi.org/10.3390/app10041301
Chicago/Turabian StyleGiordano, Maria Caterina, Matteo Barelli, Giuseppe Della Valle, and Francesco Buatier de Mongeot. 2020. "Self-Organized Conductive Gratings of Au Nanostripe Dimers Enable Tunable Plasmonic Activity" Applied Sciences 10, no. 4: 1301. https://doi.org/10.3390/app10041301
APA StyleGiordano, M. C., Barelli, M., Della Valle, G., & Buatier de Mongeot, F. (2020). Self-Organized Conductive Gratings of Au Nanostripe Dimers Enable Tunable Plasmonic Activity. Applied Sciences, 10(4), 1301. https://doi.org/10.3390/app10041301

