Sign in to use this feature.

Years

Between: -

Subjects

remove_circle_outline
remove_circle_outline
remove_circle_outline
remove_circle_outline
remove_circle_outline
remove_circle_outline
remove_circle_outline
remove_circle_outline
remove_circle_outline

Journals

remove_circle_outline
remove_circle_outline
remove_circle_outline
remove_circle_outline
remove_circle_outline
remove_circle_outline

Article Types

Countries / Regions

remove_circle_outline
remove_circle_outline
remove_circle_outline
remove_circle_outline

Search Results (253)

Search Parameters:
Keywords = magnetic field disturbances

Order results
Result details
Results per page
Select all
Export citation of selected articles as:
17 pages, 3659 KB  
Article
A Deep Learning Approach for Removing Multi-Source Transient Interference in Satellite Magnetic Field Measurement
by Ning Li, Jindong Wang, Shanzhi Ye, Yiteng Zhang and Xiaochen Gou
Sensors 2025, 25(24), 7533; https://doi.org/10.3390/s25247533 - 11 Dec 2025
Abstract
Magnetic field measurements are essential for space science missions but are often contaminated by transient stray fields from spacecraft subsystems such as electrical and control units. Traditional mitigation approaches—including strict magnetic cleanliness programs, deployable long booms, and dual-sensor gradient systems—suffer from inherent limitations, [...] Read more.
Magnetic field measurements are essential for space science missions but are often contaminated by transient stray fields from spacecraft subsystems such as electrical and control units. Traditional mitigation approaches—including strict magnetic cleanliness programs, deployable long booms, and dual-sensor gradient systems—suffer from inherent limitations, as cleanliness programs and long booms impose high cost and system complexity. To overcome these challenges, we propose Multi-Source Adaptive Gradiometry (MSAG), an enhanced gradiometry technique that integrates a neural network-based interference classification framework. The trained network identifies interference types and applies adaptive correction coefficients, enabling accurate multi-source disturbance correction without requiring manual segmentation of long-duration data. We validate MSAG using realistic synthetic data, generated by superimposing key transient interference types—modeled from SMILE ground tests—onto actual THEMIS satellite measurements, and test it through 220 Monte Carlo simulations. MSAG reduces the median RMSE from 0.457 nT to 0.014 nT and achieves a median correlation coefficient of 0.999994 with the ground truth. This improved accuracy could alleviate constraints on magnetic cleanliness and boom length in future missions, highlighting the advantage of MSAG over conventional methods and underscoring the potential of combining machine learning with gradiometry for high-fidelity magnetic field recovery. Full article
(This article belongs to the Section Remote Sensors)
Show Figures

Figure 1

16 pages, 2460 KB  
Article
The Effect of High-Voltage Power Lines on Magnetic Orientation of Domestic Dogs
by Nataliia S. Iakovenko, Kateřina Benediktová, Jana Adámková, Vlastimil Hart, Hana Brinkeová, Miloš Ježek, Tomáš Kušta, Vladimír Hanzal, Petra Nováková and Hynek Burda
Animals 2025, 15(24), 3534; https://doi.org/10.3390/ani15243534 - 8 Dec 2025
Viewed by 197
Abstract
Domestic dogs can sense the geomagnetic field (GMF), spontaneously aligning their bodies along its axis, altering the alignment’s pattern during geomagnetic disturbances. Whether anthropogenic magnetic fields (MF) from high-voltage power lines (PL) influence this behavior remains unclear. We investigated the effects of alternating [...] Read more.
Domestic dogs can sense the geomagnetic field (GMF), spontaneously aligning their bodies along its axis, altering the alignment’s pattern during geomagnetic disturbances. Whether anthropogenic magnetic fields (MF) from high-voltage power lines (PL) influence this behavior remains unclear. We investigated the effects of alternating MF generated by PL on spontaneous magnetic alignment in 36 dogs. Behavior was recorded under north–south (NS) and east–west (EW) oriented PL and compared with control conditions lacking anthropogenic MF. Each dog’s mean alignment angle relative to magnetic north was calculated from >50 measurements per condition, and Grand Means (GMs) were derived. Under control geomagnetically calm conditions, alignment was bimodal (GM = 23°/203°), while geomagnetic storms caused significant shifts and increased angular dispersion. Under NS-oriented PL, alignment remained bimodal (GM = 5°/185°), but under EW-oriented PL it became trimodal (Likelihood ratio test for multimodality: nodes = 3, p = 0.042; GM = 103°/283°). These differences were statistically significant (LME for linearized angles: p < 0.001 for control vs. NS PL and control vs. EW PL). Our results demonstrate that dogs maintain directional alignment under PL exposure, with orientation patterns corresponding to the direction of both MF and PL, which suggests a potentially complex impact involving non-magnetic cues. Full article
(This article belongs to the Section Companion Animals)
Show Figures

Figure 1

25 pages, 23143 KB  
Article
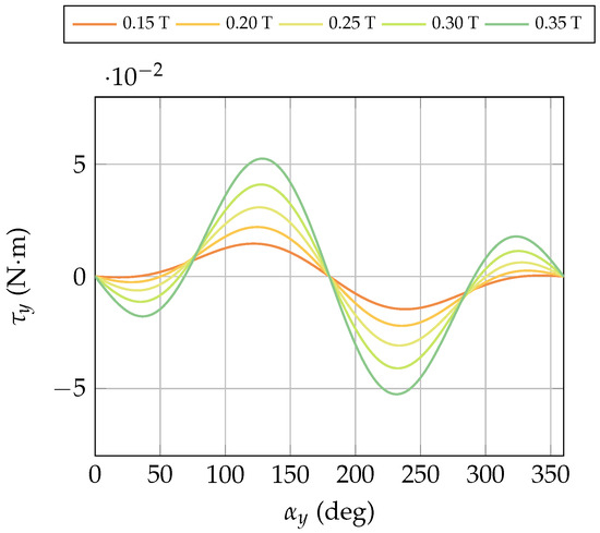
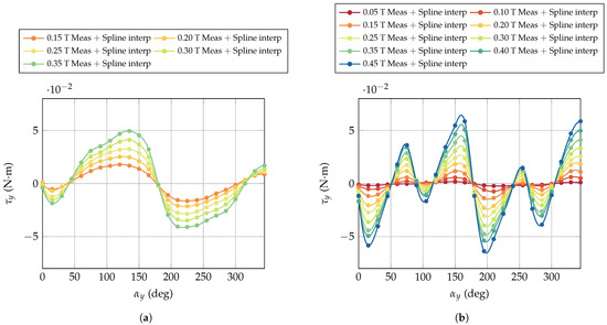
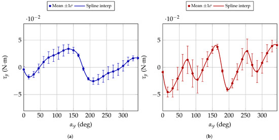
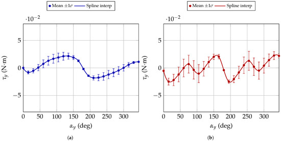
Experimental Characterization of Miniature DC Motors for Robotics in High Magnetic Field Environments
by Francesco Mazzei, Luca Bernardi, Paolo Francesco Scaramuzzino, Corrado Gargiulo and Fabio Curti
Robotics 2025, 14(12), 172; https://doi.org/10.3390/robotics14120172 - 21 Nov 2025
Viewed by 441
Abstract
The deployment of robotic systems in hazardous and magnetically intense environments requires careful assessment of their performance under external disturbances. In particular, electromagnetic motors used for actuation may interact with strong magnetic fields, potentially impairing their functionality. This study investigates the behaviour of [...] Read more.
The deployment of robotic systems in hazardous and magnetically intense environments requires careful assessment of their performance under external disturbances. In particular, electromagnetic motors used for actuation may interact with strong magnetic fields, potentially impairing their functionality. This study investigates the behaviour of miniature brushed coreless Direct Current (DC) motors for small Unmanned Aerial Vehicle (UAV) applications in magnetically harsh environments, such as underground accelerator facilities like the Large Hadron Collider (LHC) at CERN. Experimental tests were conducted measuring four main physical quantities: the torque components acting along the axes orthogonal to the shaft, the torque about the shaft axis, variations in angular speed, and electrical current consumption. The results showed that the motors were able to operate under external magnetic field intensities up to 0.4 T, although measurable torques acted on the internal permanent magnet and on the ferromagnetic housing material. Some discrepancies and speed fluctuations were observed during operation and were attributed to mobility of the internal permanent magnet. Overall, the findings demonstrate that the tested miniature motors exhibit resilience in high magnetic fields but suffer from manufacturing variability, suggesting that higher-quality motors with more consistent characteristics would be preferable for reliable robotic operation in harsh environments. Full article
(This article belongs to the Section Intelligent Robots and Mechatronics)
Show Figures

Figure 1

19 pages, 2873 KB  
Article
High-Performance Sensorless Control of Induction Motors via ANFIS and NPC Inverter Topology
by Zina Boussada, Bassem Omri and Mouna Ben Hamed
Symmetry 2025, 17(11), 1996; https://doi.org/10.3390/sym17111996 - 18 Nov 2025
Viewed by 385
Abstract
This paper presents a high-performance sensorless control strategy for induction motors using an Adaptive Neuro-Fuzzy Inference System (ANFIS) for rotor speed estimation, eliminating the need for mechanical sensors. The ANFIS approach leverages stator voltages and currents, reducing costs and complexity. The motor is [...] Read more.
This paper presents a high-performance sensorless control strategy for induction motors using an Adaptive Neuro-Fuzzy Inference System (ANFIS) for rotor speed estimation, eliminating the need for mechanical sensors. The ANFIS approach leverages stator voltages and currents, reducing costs and complexity. The motor is controlled via Indirect Stator Field Orientation Control (ISFOC) with a three-level Neutral–Point–Clamped (NPC) inverter employing Space Vector Modulation (SVM). Symmetry in the motor’s magnetic structure and SVM’s switching patterns enhances control precision, stability, and efficiency while minimizing harmonic distortion. Simulation results validate the proposed ANFIS-based estimator’s superior performance compared to a MRAS-based Luenberger observer under various operating conditions, demonstrating accurate speed tracking and robustness against load disturbances. Full article
(This article belongs to the Section Engineering and Materials)
Show Figures

Figure 1

21 pages, 4928 KB  
Article
System Identification and Robust Control Method for Magnetic Bearings in Ship Propulsion Shaft Systems
by Feng Xiong, Tianqi Yin, Neng Zhang, Wenhao Xu and Yan Li
J. Mar. Sci. Eng. 2025, 13(11), 2096; https://doi.org/10.3390/jmse13112096 - 4 Nov 2025
Viewed by 414
Abstract
In the field of rotating machinery, such as marine propulsion shafting, magnetic bearing-supported propulsion systems have garnered significant attention due to their non-mechanical contact advantages. To address the problem that the design of magnetic bearing controllers, based on theoretical models, neglects the dynamic [...] Read more.
In the field of rotating machinery, such as marine propulsion shafting, magnetic bearing-supported propulsion systems have garnered significant attention due to their non-mechanical contact advantages. To address the problem that the design of magnetic bearing controllers, based on theoretical models, neglects the dynamic characteristics of practical components like power amplifiers and displacement sensors, making it difficult to achieve ideal performance in practical applications, this paper proposes a control method for Hybrid Magnetic Bearings (HMBs) that combines a time-domain identification model with robust control. The method first models the power amplifier, HMB, and displacement sensor as an equivalent single system and obtains its high-precision transfer function model by performing system identification on its time-domain data using the least squares method. Based on this foundation, a PID controller is designed using the loop-shaping method to enhance the system’s robustness and control performance. Both simulations and experiments on an HMB test rig confirmed the controller’s effectiveness. The system showed excellent levitation, dynamic stability, and disturbance rejection, with experimental results closely matching simulations. The experimental results are consistent with the simulation results. This method provides a practical and feasible technical approach for enhancing the control performance of magnetic bearing-supported propulsion shafting. Full article
(This article belongs to the Section Ocean Engineering)
Show Figures

Figure 1

19 pages, 3339 KB  
Article
Sensorless Control of Permanent Magnet Synchronous Motor in Low-Speed Range Based on Improved ESO Phase-Locked Loop
by Minghao Lv, Bo Wang, Xia Zhang and Pengwei Li
Processes 2025, 13(10), 3366; https://doi.org/10.3390/pr13103366 - 21 Oct 2025
Viewed by 616
Abstract
Aiming at the speed chattering problem caused by high-frequency square wave injection in permanent magnet synchronous motors (PMSMs) during low-speed operation (200–500 r/min), this study intends to improve the rotor position estimation accuracy of sensorless control systems as well as the system’s ability [...] Read more.
Aiming at the speed chattering problem caused by high-frequency square wave injection in permanent magnet synchronous motors (PMSMs) during low-speed operation (200–500 r/min), this study intends to improve the rotor position estimation accuracy of sensorless control systems as well as the system’s ability to resist harmonic interference and sudden load changes. The goal is to enhance the control performance of traditional control schemes in this scenario and meet the requirement of stable low-speed operation of the motor. First, the study analyzes the harmonic error propagation mechanism of high-frequency square wave injection and finds that the traditional PI phase-locked loop (PI-PLL) is susceptible to high-order harmonic interference during demodulation, which in turn leads to position estimation errors and periodic speed fluctuations. Therefore, the extended state observer phase-locked loop (ESO-PLL) is adopted to replace the traditional PI-PLL. A third-order extended state observer (ESO) is used to uniformly regard the system’s unmodeled dynamics, external load disturbances, and harmonic interference as “total disturbances”, realizing real-time estimation and compensation of disturbances, and quickly suppressing the impacts of harmonic errors and sudden load changes. Meanwhile, a dynamic pole placement strategy for the speed loop is designed to adaptively adjust the controller’s damping ratio and bandwidth parameters according to the motor’s operating states (loaded/unloaded, steady-state/transient): large poles are used in the start-up phase to accelerate response, small poles are switched in the steady-state phase to reduce errors, and a smooth attenuation function is used in the transition phase to achieve stable parameter transition, balancing the system’s dynamic response and steady-state accuracy. In addition, high-frequency square wave voltage signals are injected into the dq axes of the rotating coordinate system, and effective rotor position information is extracted by combining signal demodulation with ESO-PLL to realize decoupling of high-frequency response currents. Verification through MATLAB/Simulink simulation experiments shows that the improved strategy exhibits significant advantages in the low-speed range of 200–300 r/min: in the scenario where the speed transitions from 200 r/min to 300 r/min with sudden load changes, the position estimation curve of ESO-PLL basically overlaps with the actual curve, while the PI-PLL shows obvious deviations; in the start-up and speed switching phases, dynamic pole placement enables the motor to respond quickly without overshoot and no obvious speed fluctuations, whereas the traditional fixed-pole PI control has problems of response lag or overshoot. In conclusion, the “ESO-PLL + dynamic pole placement” cooperative control strategy proposed in this study effectively solves the problems of harmonic interference and load disturbance caused by high-frequency square wave injection in the low-speed range and significantly improves the accuracy and robustness of PMSM sensorless control. This strategy requires no additional hardware cost and achieves performance improvement only through algorithm optimization. It can be directly applied to PMSM control systems that require stable low-speed operation, providing a reliable solution for the promotion of sensorless control technology in low-speed precision fields. Full article
Show Figures

Figure 1

10 pages, 1521 KB  
Article
Estimation of Ionosphere Electron Density Structure Related to the Solar Terminator
by Alexey Andreyev, Vyacheslav Somsikov, Vitaliy Kapytin, Yekaterina Chsherbulova and Stanislav Utebayev
Atmosphere 2025, 16(10), 1217; https://doi.org/10.3390/atmos16101217 - 20 Oct 2025
Viewed by 427
Abstract
The solar terminator, due to its unique characteristics, is a remarkable source of atmospheric disturbances. Due to its regularity and constancy, dependent solely on geometric factors, it can serve as a test source of disturbances, which can be used to test the response [...] Read more.
The solar terminator, due to its unique characteristics, is a remarkable source of atmospheric disturbances. Due to its regularity and constancy, dependent solely on geometric factors, it can serve as a test source of disturbances, which can be used to test the response of the medium through which it passes and determine its state. However, our knowledge of the atmospheric phenomena generated by the terminator is far from complete. One clear indication of the terminator’s influence is geomagnetic disturbances manifested in the vertical and eastward components of the magnetic field measured at magnetic observatories. To determine the sources of geomagnetic disturbances from the solar terminator, which can be identified by the strict phase correlation of these disturbances with the moments of terminator passage, ionospheric irregularities arising during terminator passage were studied. Ionospheric irregularities extending along the boundary of the morning solar terminator were detected in total electron content data, based on measurements by GNSS receivers. Assumptions are made about the possible parameters of the ionospheric current structure that creates variations in the magnetic field associated with the passage of the solar terminator. Full article
(This article belongs to the Special Issue Advanced GNSS for Ionospheric Sounding and Disturbances Monitoring)
Show Figures

Figure 1

20 pages, 37279 KB  
Article
Design, Implementation and Experimental Validation of an ADCS Helmholtz Cage
by Paweł Zagórski, Dawid Knapik, Krzysztof Kołek, Maciej Rosół, Andrzej Tutaj and Alberto Gallina
Appl. Sci. 2025, 15(20), 11208; https://doi.org/10.3390/app152011208 - 20 Oct 2025
Viewed by 585
Abstract
This work presents a validation process of a Helmholtz cage developed by the authors at AGH University of Krakow. This type of test stand can generate a near-uniform, precisely controlled magnetic field inside its workspace. This is a crucial tool for several applications, [...] Read more.
This work presents a validation process of a Helmholtz cage developed by the authors at AGH University of Krakow. This type of test stand can generate a near-uniform, precisely controlled magnetic field inside its workspace. This is a crucial tool for several applications, including calibration of magnetic sensors, testing magnetorquers, and hardware-in-the-loop tests of attitude determination and control systems of small satellites. Although many institutions develop Helmholtz cages, we found the literature on methods of validating the final accuracy and uniformity of the generated magnetic field somewhat lacking. In this research, we showcase an approach to perform 3D scans of the magnetic field inside the cage using a probe actuated by a robotic arm. With that method, we verified that the magnitude and angle nonuniformity of the magnetic field vectors in our cage are below 2 percent and 0.4°, respectively, for a wide range of control inputs. We also perform background magnetic field measurements to identify and quantify sources of magnetic disturbances coming from the outside of our system and propose methods of minimizing their impact. It turns out that careful design and building process of the cage and its power driver might not be sufficient to achieve the optimal performance. In our case, we found that some factors, if unmitigated, can cause an error of a few milligauss. Hopefully, this work will help other teams developing similar devices avoid at least some of the possible pitfalls. Full article
(This article belongs to the Section Aerospace Science and Engineering)
Show Figures

Figure 1

22 pages, 3598 KB  
Article
Research on Denoising Methods for Magnetocardiography Signals in a Non-Magnetic Shielding Environment
by Biao Xing, Xie Feng and Binzhen Zhang
Sensors 2025, 25(19), 6096; https://doi.org/10.3390/s25196096 - 3 Oct 2025
Viewed by 861
Abstract
Magnetocardiography (MCG) offers a noninvasive method for early screening and precise localization of cardiovascular diseases by measuring picotesla-level weak magnetic fields induced by cardiac electrical activity. However, in unshielded magnetic environments, geomagnetic disturbances, power-frequency electromagnetic interference, and physiological/motion artifacts can significantly overwhelm effective [...] Read more.
Magnetocardiography (MCG) offers a noninvasive method for early screening and precise localization of cardiovascular diseases by measuring picotesla-level weak magnetic fields induced by cardiac electrical activity. However, in unshielded magnetic environments, geomagnetic disturbances, power-frequency electromagnetic interference, and physiological/motion artifacts can significantly overwhelm effective magnetocardiographic components. To address this challenge, this paper systematically constructs an integrated denoising framework, termed “AOA-VMD-WT”. In this approach, the Arithmetic Optimization Algorithm (AOA) adaptively optimizes the key parameters (decomposition level K and penalty factor α) of Variational Mode Decomposition (VMD). The decomposed components are then regularized based on their modal center frequencies: components with frequencies ≥50 Hz are directly suppressed; those with frequencies <50 Hz undergo wavelet threshold (WT) denoising; and those with frequencies <0.5 Hz undergo baseline correction. The purified signal is subsequently reconstructed. For quantitative evaluation, we designed performance indicators including QRS amplitude retention rate, high/low frequency suppression amount, and spectral entropy. Further comparisons are made with baseline methods such as FIR and wavelet soft/hard thresholds. Experimental results on multiple sets of measured MCG data demonstrate that the proposed method achieves an average improvement of approximately 8–15 dB in high-frequency suppression, 2–8 dB in low-frequency suppression, and a decrease in spectral entropy ranging from 0.1 to 0.6 without compromising QRS amplitude. Additionally, the parameter optimization exhibits high stability. These findings suggest that the proposed framework provides engineerable algorithmic support for stable MCG measurement in ordinary clinic scenarios. Full article
(This article belongs to the Section Biomedical Sensors)
Show Figures

Figure 1

17 pages, 836 KB  
Article
The Time Delays in Reaction of the Ionosphere and the Earth’s Magnetic Field to the Solar Flares on 8 May and Geomagnetic Superstorm on 10 May 2024
by Nazyf Salikhov, Alexander Shepetov, Galina Pak, Serik Nurakynov, Vladimir Ryabov, Zhumabek Zhantayev and Valery Zhukov
Atmosphere 2025, 16(9), 1106; https://doi.org/10.3390/atmos16091106 - 20 Sep 2025
Viewed by 768
Abstract
In the paper we consider the pulsed disturbances caused in the ionosphere by an extreme G5-level geomagnetic superstorm on 10 May 2024, and by the X1.0 and M-class solar flares on 8 May 2024, which preceded the storm. Particular attention is [...] Read more.
In the paper we consider the pulsed disturbances caused in the ionosphere by an extreme G5-level geomagnetic superstorm on 10 May 2024, and by the X1.0 and M-class solar flares on 8 May 2024, which preceded the storm. Particular attention is paid to the short-term delays and the sequence of disturbance appearance in the ionosphere and geomagnetic field during these extreme events. The results of a continuous Doppler sounding of the ionosphere on an inclined radio path with a sampling frequency of 25 Hz were used, as well as the data of a ground-based mid-latitude fluxgate magnetometer LEMI-008, and an induction magnetometer IMS-008, which operated with a sampling frequency of 66.6 Hz. Ionization of the ionosphere by the intense X-ray and extreme ultraviolet radiation of solar flares was accompanied by the equally sudden and similarly timed disturbances in the Doppler frequency shift (DFS) of the ionospheric signal, which had an amplitude of 2.0–5.8 Hz. The largest pulsed burst in DFS was registered 68 s after an X1.0 flare on 8 May 2024 at the time when the change of the X-ray flux was at its maximum. Following onto the effect in the ionosphere, a disturbance in the geomagnetic field appeared with a time delay of 35 s. This disturbance is a secondary one that arose as a consequence of the ionosphere response to the solar flare. It was likely driven by the contribution of ionospheric currents and electric fields, which modified the Earth’s magnetic field. On 10 May 2024, a G5-level geomagnetic superstorm with a sudden commencement triggered an impulsive reaction in the ionosphere. A response in DFS at the calculated reflection altitude of the sounding radio wave of 267.5 km was detected 58 s after the commencement of the storm. The sudden impulsive changes in Doppler frequencies showed a bipolar character, reflecting complex dynamic transformations in the ionosphere at the geomagnetic storm. Consequently, the DFS amplitude initially rose to 5.5 Hz over 86 s, and then its sharp drop to 3.2 Hz followed. Using the instruments that operated in a mode with a high temporal resolution allowed us to identify for the first time the impulsive nature of the ionospheric reaction, the time delays, and the sequence of disturbance appearances in the ionosphere and geomagnetic field in response to the X1.0 solar flare on 8 May 2024 as well as to the sudden commencement of the extreme G5-level geomagnetic storm on 10 May 2024. Full article
(This article belongs to the Section Upper Atmosphere)
Show Figures

Figure 1

16 pages, 3394 KB  
Communication
Optimized Non-Linear Observer for a PMSM Speed Control System Integrating a Multi-Dimensional Taylor Network and Lyapunov Theory
by Chao Zhang, Ya-Qin Qiu and Zi-Ao Li
Modelling 2025, 6(3), 108; https://doi.org/10.3390/modelling6030108 - 19 Sep 2025
Viewed by 537
Abstract
Within the field of permanent magnet synchronous motor sensorless speed control systems, we present a novel scheme with a Multi-dimensional Taylor Network (MTN)-based nonlinear observer as the core, supplemented by two auxiliary MTN modules to realize closed-loop control: (1) MTN Model Identifier: Provides [...] Read more.
Within the field of permanent magnet synchronous motor sensorless speed control systems, we present a novel scheme with a Multi-dimensional Taylor Network (MTN)-based nonlinear observer as the core, supplemented by two auxiliary MTN modules to realize closed-loop control: (1) MTN Model Identifier: Provides real-time PMSM nonlinear dynamic feedback for the observer; (2) MTN Adaptive Inverse Controller: Compensates for load disturbances using the observer’s estimated states. The study focuses on optimizing the MTN observer to address key limitations of existing methods (high computational complexity, lack of stability guarantees, and low estimation accuracy). Compared with the neural network observer, this MTN-based scheme stands out due to its straightforward structure and significantly reduced approximately 40% computational complexity. Specifically, the intricate calculations and high resource consumption typically associated with neural network observers are circumvented. Subsequently, by leveraging Lyapunov theory, an adaptive learning rule for the MTN weights is meticulously devised, which seamlessly bridges the theoretical proof of the nonlinear observer’s stability. Simulation results demonstrate that the proposed MTN observer achieves rapid convergence of speed and position estimation errors (with steady-state errors within ±0.5% of the rated speed and ±0.02 rad for rotor position) after a transient period of less than 0.2 s. Even when stator resistance is increased by tenfold to simulate parameter variations, the observer maintains high estimation accuracy, with speed and position errors increasing by no more than 1.2% and 0.05 rad, respectively, showcasing strong robustness. These results collectively confirm the efficacy and practical value of the proposed scheme in PMSM sensorless speed control. Full article
Show Figures

Figure 1

24 pages, 6195 KB  
Article
Current Loop Decoupling and Disturbance Rejection for PMSM Based on a Resonant Control Periodic Disturbance Observer
by Jiawei Jin, Liang Guo and Wenqi Lu
Appl. Sci. 2025, 15(17), 9469; https://doi.org/10.3390/app15179469 - 28 Aug 2025
Viewed by 972
Abstract
In the vector control of permanent magnet synchronous motor (PMSM), non-periodic disturbances such as cross-coupling between axes and variations in electrical parameters, along with periodic harmonic disturbances caused by inverter nonlinearities and magnetic field harmonics, influence the dq-axis currents. To address these challenges, [...] Read more.
In the vector control of permanent magnet synchronous motor (PMSM), non-periodic disturbances such as cross-coupling between axes and variations in electrical parameters, along with periodic harmonic disturbances caused by inverter nonlinearities and magnetic field harmonics, influence the dq-axis currents. To address these challenges, this paper proposes a current loop disturbance rejection strategy based on a Resonant Control Periodic Disturbance Observer (RC-PDOB). First, this paper constructs a disturbance observer-based current loop decoupling model that mitigates dq-axis current coupling due to parameter variations and reduces the impact of non-periodic disturbances. Then this paper introduces proportional–resonant terms into the disturbance observer to suppress the 6th and 12th harmonics of the dq-axis, thereby reducing periodic current disturbances. This paper analyzes the disturbance rejection mechanism of RC-PDOB in detail and presents the design methodology and stability criteria of the proposed observer. Finally, experimental results demonstrate the effectiveness of the proposed approach. Full article
Show Figures

Figure 1

23 pages, 7960 KB  
Article
High-Precision Dynamic Tracking Control Method Based on Parallel GRU–Transformer Prediction and Nonlinear PD Feedforward Compensation Fusion
by Yimin Wang, Junjie Wang, Kaina Gao, Jianping Xing and Bin Liu
Mathematics 2025, 13(17), 2759; https://doi.org/10.3390/math13172759 - 27 Aug 2025
Cited by 1 | Viewed by 742
Abstract
In high-precision fields such as advanced manufacturing, semiconductor processing, aerospace assembly, and precision machining, motion control systems often face challenges such as large tracking errors and low control efficiency due to complex dynamic environments. To address this, this paper innovatively proposes a data-driven [...] Read more.
In high-precision fields such as advanced manufacturing, semiconductor processing, aerospace assembly, and precision machining, motion control systems often face challenges such as large tracking errors and low control efficiency due to complex dynamic environments. To address this, this paper innovatively proposes a data-driven feedforward compensation control strategy based on a Parallel Gated Recurrent Unit (GRU)–Transformer. This method does not require an accurate model of the controlled object but instead uses motion error data and controller output data collected from actual operating conditions to complete network training and real-time prediction, thereby reducing data requirements. The proposed feedforward control strategy consists of three main parts: first, a Parallel GRU–Transformer prediction model is constructed using real-world data collected from high-precision sensors, enabling precise prediction of system motion errors after a single training session; second, a nonlinear PD controller is introduced, using the prediction errors output by the Parallel GRU–Transformer network as input to generate the primary correction force, thereby significantly reducing reliance on the main controller; and finally, the output of the nonlinear PD controller is combined with the output of the main controller to jointly drive the precision motion platform. Verification on a permanent magnet synchronous linear motor motion platform demonstrates that the control strategy integrating Parallel GRU–Transformer feedforward compensation significantly reduces the tracking error and fluctuations under different trajectories while minimizing moving average (MA) and moving standard deviation (MSD), enhancing the system’s robustness against environmental disturbances and effectively alleviating the load on the main controller. The proposed method provides innovative insights and reliable guarantees for the widespread application of precision motion control in industrial and research fields. Full article
Show Figures

Figure 1

24 pages, 1651 KB  
Article
Attentive Neural Processes for Few-Shot Learning Anomaly-Based Vessel Localization Using Magnetic Sensor Data
by Luis Fernando Fernández-Salvador, Borja Vilallonga Tejela, Alejandro Almodóvar, Juan Parras and Santiago Zazo
J. Mar. Sci. Eng. 2025, 13(9), 1627; https://doi.org/10.3390/jmse13091627 - 26 Aug 2025
Viewed by 1195
Abstract
Underwater vessel localization using passive magnetic anomaly sensing is a challenging problem due to the variability in vessel magnetic signatures and operational conditions. Data-based approaches may fail to generalize even to slightly different conditions. Thus, we propose an Attentive Neural Process (ANP) approach, [...] Read more.
Underwater vessel localization using passive magnetic anomaly sensing is a challenging problem due to the variability in vessel magnetic signatures and operational conditions. Data-based approaches may fail to generalize even to slightly different conditions. Thus, we propose an Attentive Neural Process (ANP) approach, in order to take advantage of its few-shot capabilities to generalize, for robust localization of underwater vessels based on magnetic anomaly measurements. Our ANP models the mapping from multi-sensor magnetic readings to position as a stochastic function: it cross-attends to a variable-size set of context points and fuses these with a global latent code that captures trajectory-level factors. The decoder outputs a Gaussian over coordinates, providing both point estimates and well-calibrated predictive variance. We validate our approach using a comprehensive dataset of magnetic disturbance fields, covering 64 distinct vessel configurations (combinations of varying hull sizes, submersion depths (water-column height over a seabed array), and total numbers of available sensors). Six magnetometer sensors in a fixed circular arrangement record the magnetic field perturbations as a vessel traverses sinusoidal trajectories. We compare the ANP against baseline multilayer perceptron (MLP) models: (1) base MLPs trained separately on each vessel configuration, and (2) a domain-randomized search (DRS) MLP trained on the aggregate of all configurations to evaluate generalization across domains. The results demonstrate that the ANP achieves superior generalization to new vessel conditions, matching the accuracy of configuration-specific MLPs while providing well-calibrated uncertainty quantification. This uncertainty-aware prediction capability is crucial for real-world deployments, as it can inform adaptive sensing and decision-making. Across various in-distribution scenarios, the ANP halves the mean absolute error versus a domain-randomized MLP (0.43 m vs. 0.84 m). The model is even able to generalize to out-of-distribution data, which means that our approach has the potential to facilitate transferability from offline training to real-world conditions. Full article
(This article belongs to the Section Ocean Engineering)
Show Figures

Figure 1

16 pages, 4670 KB  
Article
A Hybrid Algorithm for PMLSM Force Ripple Suppression Based on Mechanism Model and Data Model
by Yunlong Yi, Sheng Ma, Bo Zhang and Wei Feng
Energies 2025, 18(15), 4101; https://doi.org/10.3390/en18154101 - 1 Aug 2025
Viewed by 547
Abstract
The force ripple of a permanent magnet synchronous linear motor (PMSLM) caused by multi-source disturbances in practical applications seriously restricts its high-precision motion control performance. The traditional single-mechanism model has difficulty fully characterizing the nonlinear disturbance factors, while the data-driven method has real-time [...] Read more.
The force ripple of a permanent magnet synchronous linear motor (PMSLM) caused by multi-source disturbances in practical applications seriously restricts its high-precision motion control performance. The traditional single-mechanism model has difficulty fully characterizing the nonlinear disturbance factors, while the data-driven method has real-time limitations. Therefore, this paper proposes a hybrid modeling framework that integrates the physical mechanism and measured data and realizes the dynamic compensation of the force ripple by constructing a collaborative suppression algorithm. At the mechanistic level, based on electromagnetic field theory and the virtual displacement principle, an analytical model of the core disturbance terms such as the cogging effect and the end effect is established. At the data level, the acceleration sensor is used to collect the dynamic response signal in real time, and the data-driven ripple residual model is constructed by combining frequency domain analysis and parameter fitting. In order to verify the effectiveness of the algorithm, a hardware and software experimental platform including a multi-core processor, high-precision current loop controller, real-time data acquisition module, and motion control unit is built to realize the online calculation and closed-loop injection of the hybrid compensation current. Experiments show that the hybrid framework effectively compensates the unmodeled disturbance through the data model while maintaining the physical interpretability of the mechanistic model, which provides a new idea for motor performance optimization under complex working conditions. Full article
Show Figures

Figure 1

Back to TopTop