Experimental Characterization of Miniature DC Motors for Robotics in High Magnetic Field Environments
Abstract
1. Introduction
2. Materials and Methods
2.1. Experimental Setup
- 1.
- Torque orthogonal to the motor axis;
- 2.
- Torque about the motor axis;
- 3.
- Angular velocity of the propeller;
- 4.
- Electrical current consumption.
2.2. Measurement Procedure
- Transversal: designed to characterize the mechanical torque of the motor, with the motor axis of rotation kept perpendicular to that of the goniometer (Figure 5a).
- Axial: designed to characterize the internal permanent magnet of the motor, with the motor axis of rotation kept parallel to that of the goniometer (Figure 5b).
2.3. Theoretical Framework
3. Results
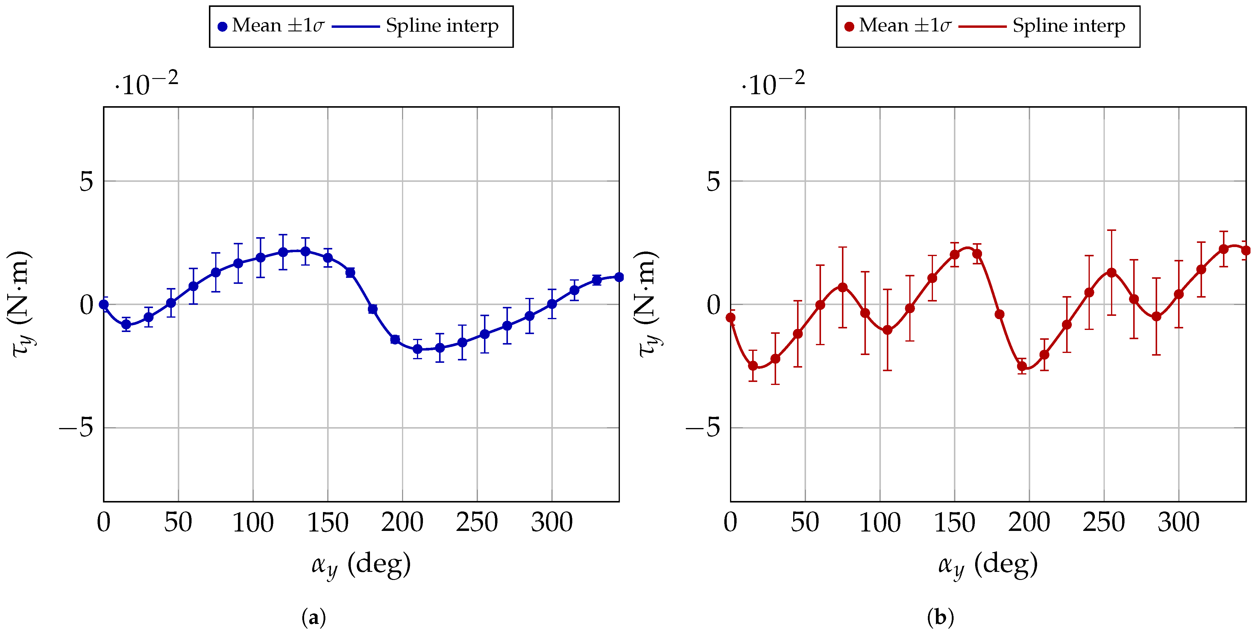
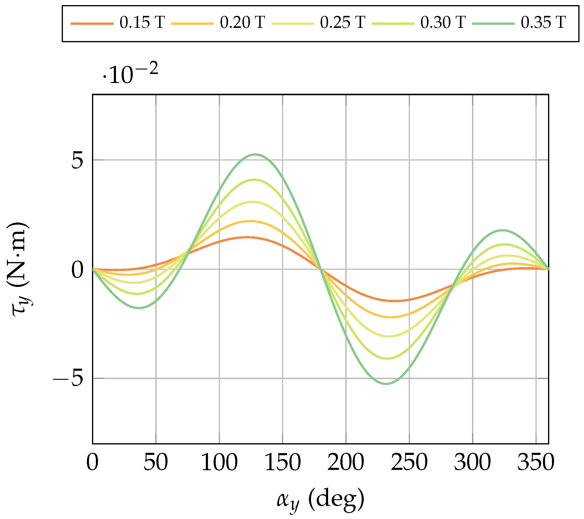
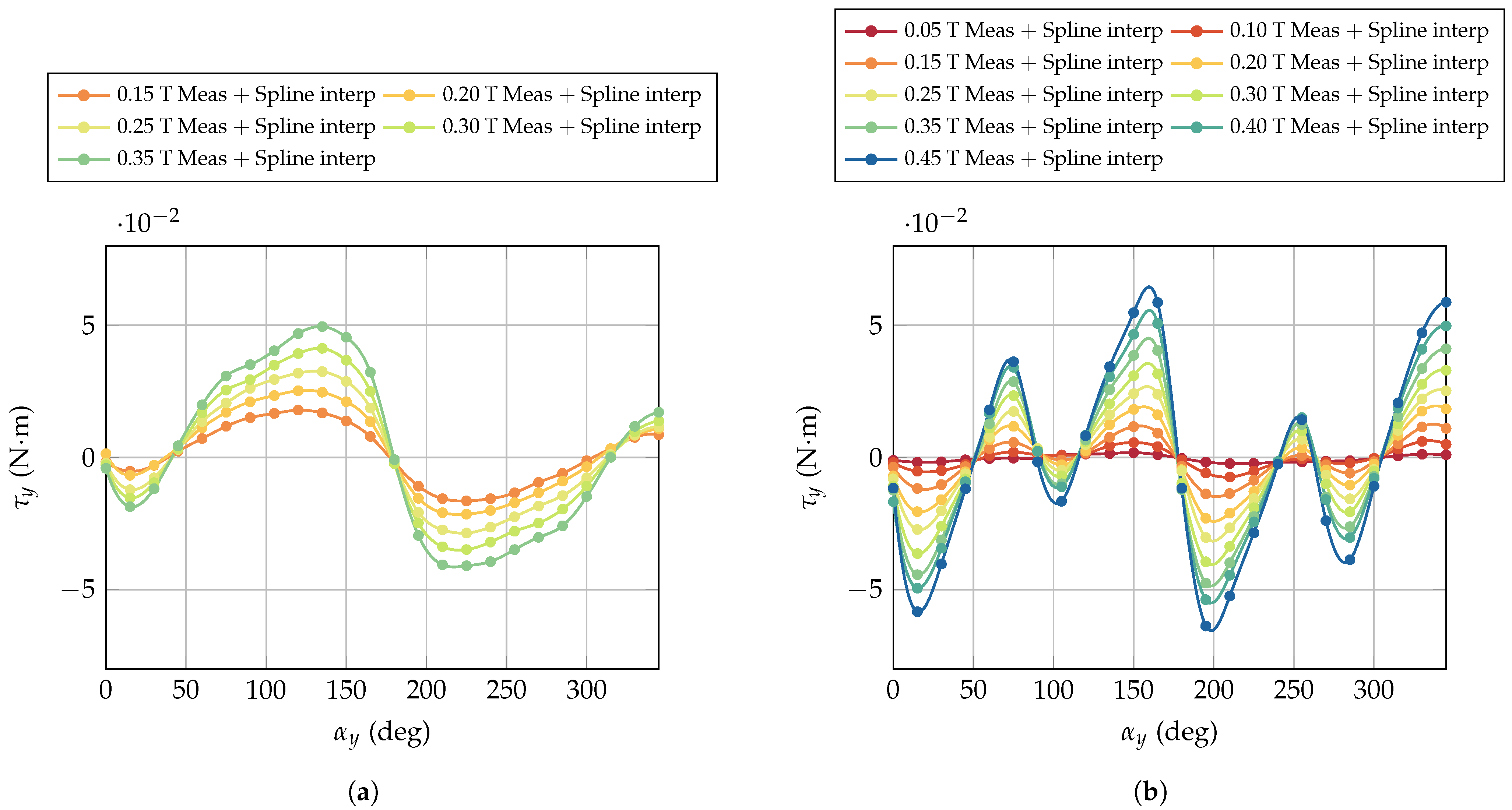
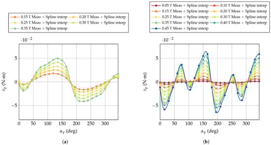
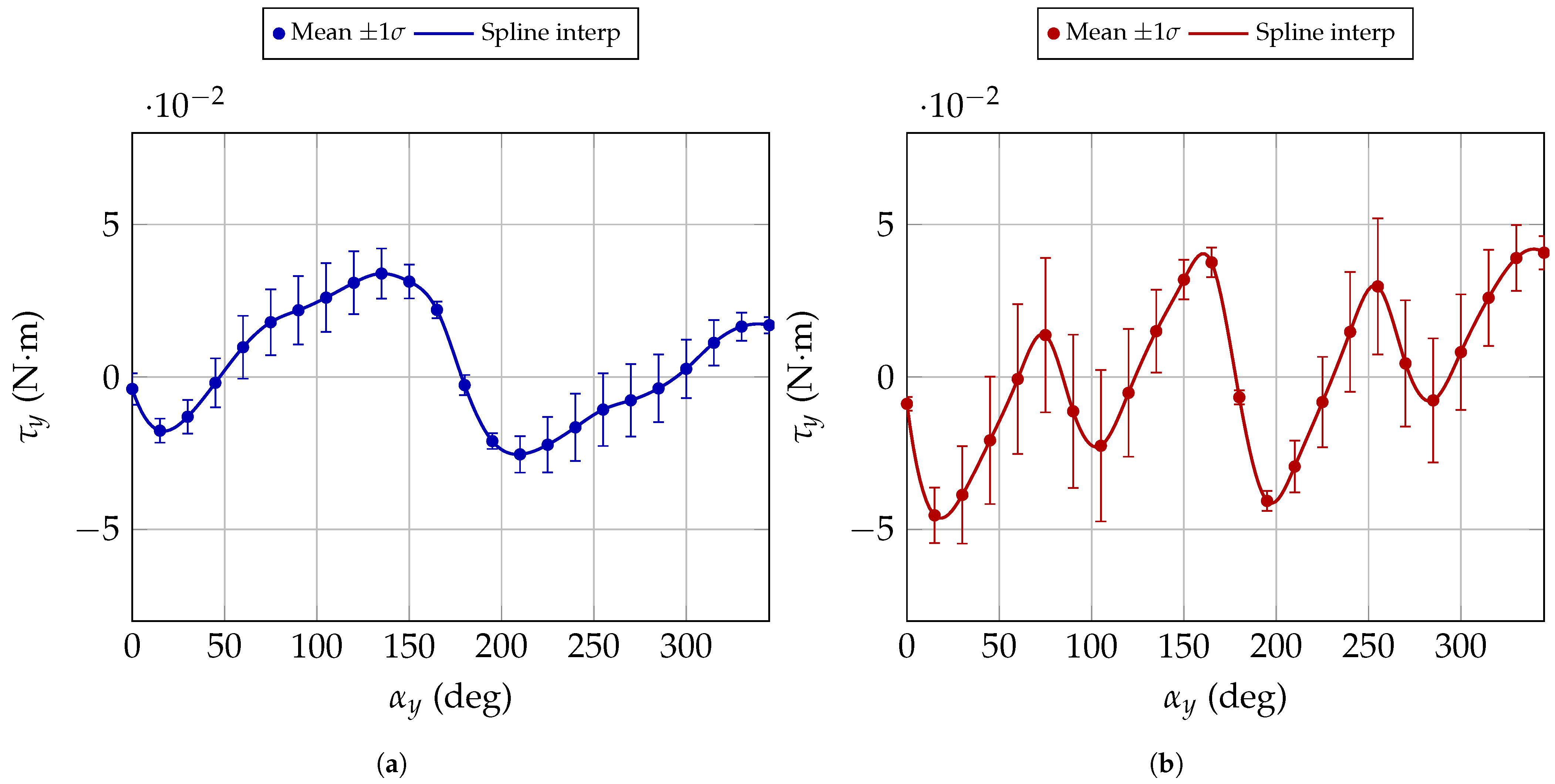
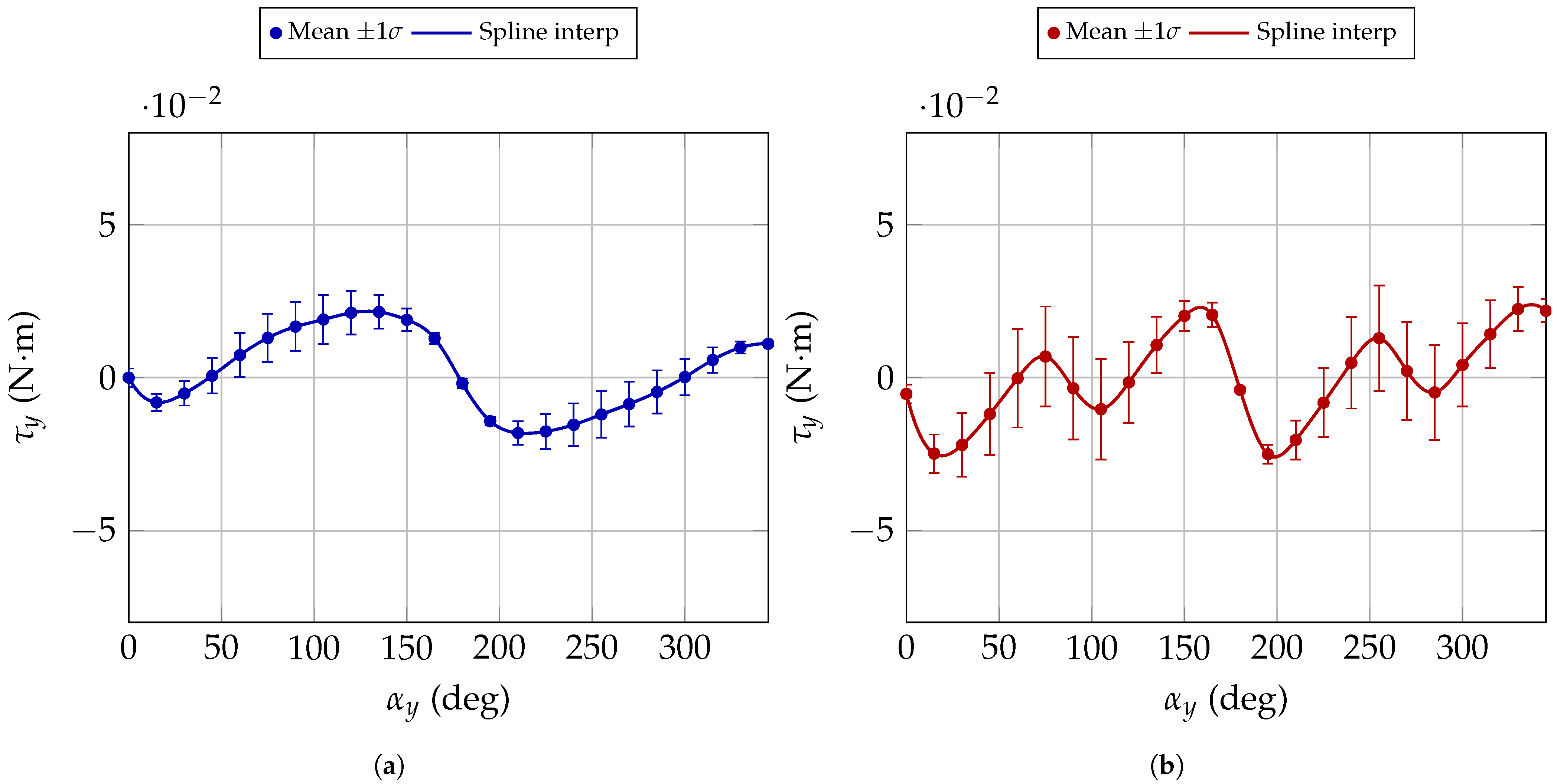
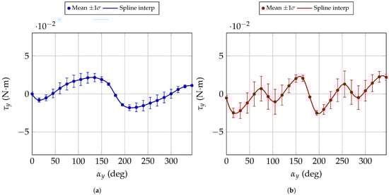
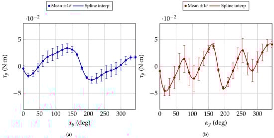
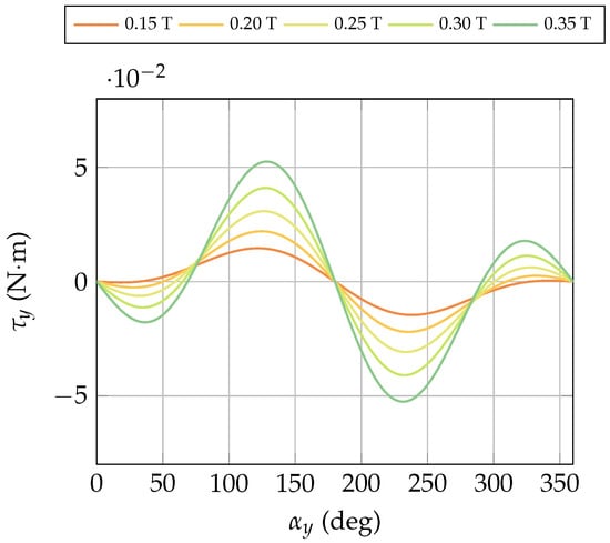
3.1. Transversal Torque Measurements
Comparison Between Motor ON/OFF
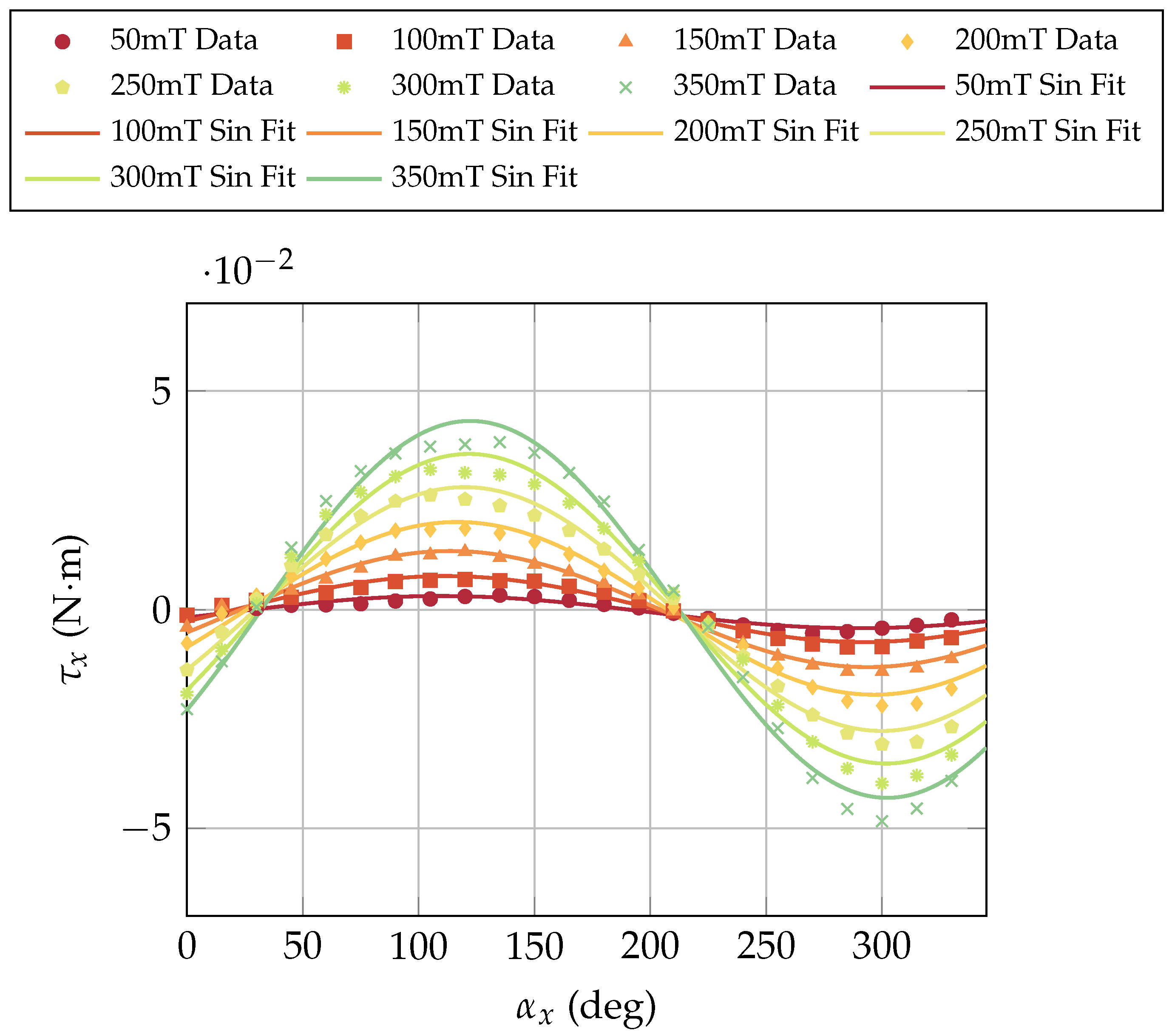
3.2. Axial Torque Measurements
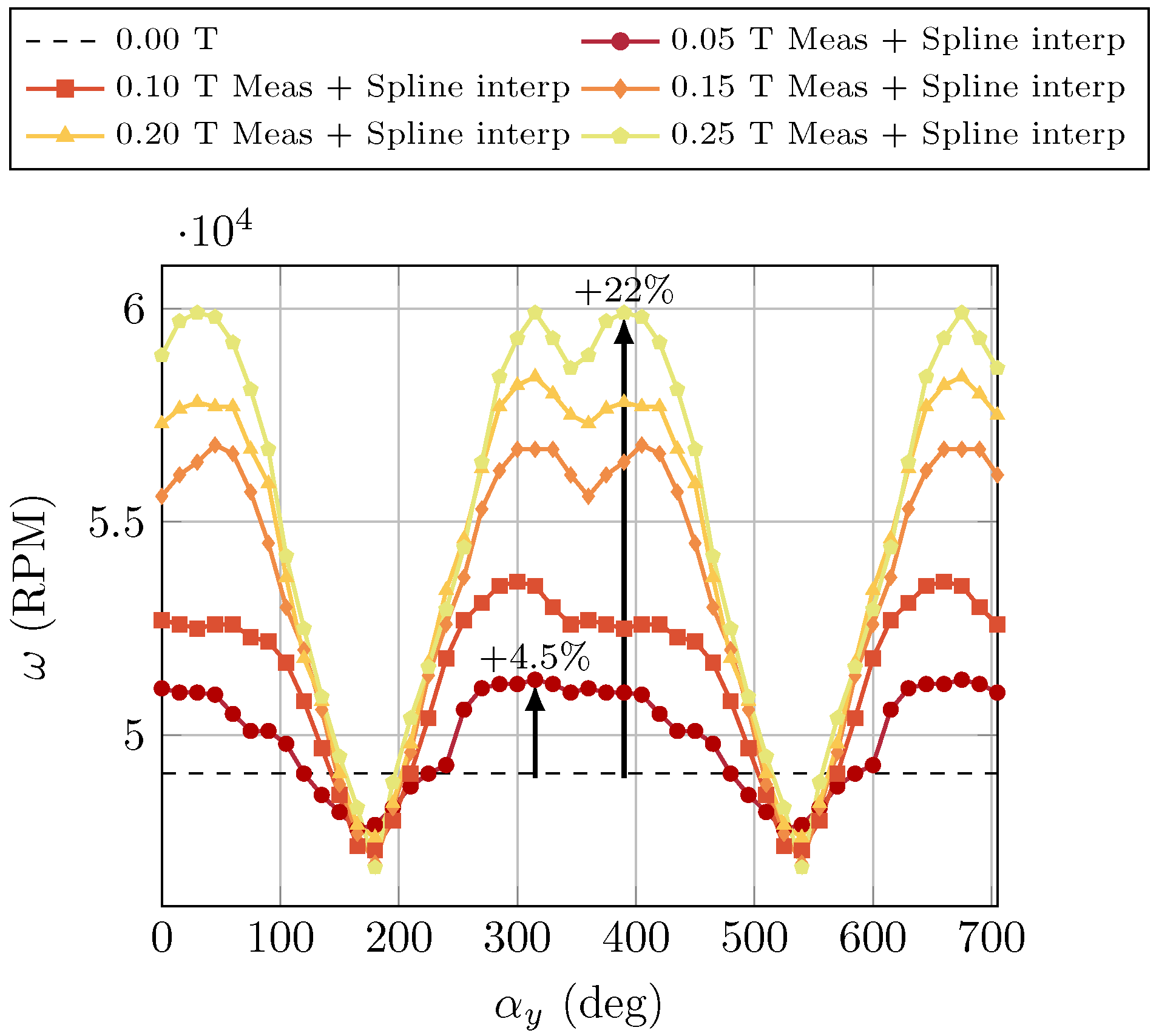
3.3. Angular Speed Measurements
3.4. Electrical Current Consumption
4. Discussion
- Motor cover magnetization. The ferromagnetic motor cover can channel external magnetic field lines along its axis, resulting in two possible magnetization directions. Although this contribution should be limited by the cover’s saturation properties, it is not negligible and is likely the cause of the unstable equilibrium observed at in all torque measurements. At this orientation, small perturbations can force the field lines into opposite directions, generating divergent torque contributions with opposite signs and leading to instability.
- Internal permanent magnet mobility. In some motors, the internal permanent magnet exhibited full or partial rotations during re-orientation within the external magnetic field, with different levels of friction. This behaviour is in contrast with the correct functioning of a brushed DC motor, where the internal permanent magnet (stator) should remain fixed relative to the brushes and housing. Motors with a movable internal permanent magnet tend to experience higher absolute torques compared to those with a blocked magnet, as the internal dipole tends to minimize the magnetic potential energy by aligning with the external field, thereby increasing the torque component along the y-axis.
- Hysteretic material properties. High external magnetic field intensities may exceed the coercivity of the internal permanent magnet, altering its magnetization state in terms of saturation remanence and dipole direction. Consequently, both the magnitude and direction of the internal dipole can change, influencing the torque vector. This effect often occurs in combination with internal magnet mobility, further contributing to the modification of torque curves.
- Magnetic field generated by the winding. When the motor is switched on, the current flowing through the winding produces an additional magnetic field that interacts with both the cover and the internal permanent magnet. This alters the overall electromagnetic configuration of the motor, effectively modifying its equivalent dipole. Furthermore, higher external field intensities generally increase current absorption, which amplifies the winding’s contribution.
- Increase in current consumption. Prior exposure to a magnetic field can lead to a 40–50% increase in current consumption. In the present study, the analysis was limited to the mechanical and electrical effects observed during and after field exposure, and no post-exposure magnetic characterization of the permanent magnets was performed. To address this limitation, future work will include extracting the stator permanent magnets and measuring their pre- and post-exposure magnetic hysteresis (B-H) curves. This will enable us to determine whether the observed effects arise from irreversible magnetic changes or from mechanical shifts of the magnets within the housing.
5. Conclusions
Author Contributions
Funding
Data Availability Statement
Acknowledgments
Conflicts of Interest
References
- Trevelyan, J.; Hamel, W.R.; Kang, S.C. Robotics in hazardous applications. In Springer Handbook of Robotics; Springer: Berlin/Heidelberg, Germany, 2016; pp. 1521–1548. [Google Scholar]
- Wong, C.; Yang, E.; Yan, X.T.; Gu, D. An overview of robotics and autonomous systems for harsh environments. In Proceedings of the 2017 23rd International Conference on Automation and Computing (ICAC), Huddersfield, UK, 7–8 September 2017; pp. 1–6. [Google Scholar]
- Shukla, A.; Karki, H. A review of robotics in onshore oil-gas industry. In Proceedings of the 2013 IEEE International Conference on Mechatronics and Automation, Takamatsu, Japan, 4–7 August 2013; IEEE: Piscataway, NJ, USA, 2013; pp. 1153–1160. [Google Scholar]
- Chitikena, H.; Sanfilippo, F.; Ma, S. Robotics in search and rescue (sar) operations: An ethical and design perspective framework for response phase. Appl. Sci. 2023, 13, 1800. [Google Scholar] [CrossRef]
- Marshall, J.A.; Bonchis, A.; Nebot, E.; Scheding, S. Robotics in mining. In Springer Handbook of Robotics; Springer: Berlin/Heidelberg, Germany, 2016; pp. 1549–1576. [Google Scholar]
- Gao, Y.; Chien, S. Review on space robotics: Toward top-level science through space exploration. Sci. Robot. 2017, 2, eaan5074. [Google Scholar] [CrossRef]
- Tsitsimpelis, I.; Taylor, C.J.; Lennox, B.; Joyce, M.J. A review of ground-based robotic systems for the characterization of nuclear environments. Prog. Nucl. Energy 2019, 111, 109–124. [Google Scholar] [CrossRef]
- Bogue, R. Underwater robots: A review of technologies and applications. Ind. Robot. Int. J. 2015, 42, 186–191. [Google Scholar] [CrossRef]
- Campbell, D. The physics of the international thermonuclear experimental reactor FEAT. Phys. Plasmas 2001, 8, 2041–2049. [Google Scholar] [CrossRef]
- Holtkamp, N.; ITER Project Team. An overview of the ITER project. Fusion Eng. Des. 2007, 82, 427–434. [Google Scholar] [CrossRef]
- Claessens, M. ITER: The Giant Fusion Reactor; Springer: Cham, Switzerland, 2020. [Google Scholar]
- Evans, L. The large hadron collider. New J. Phys. 2007, 9, 335. [Google Scholar] [CrossRef]
- Aad, G.; Anduaga, X.S.; Antonelli, S.; Bendel, M.; Breiler, B.; Castrovillari, F.; Civera, J.; Del Prete, T.; Dova, M.T.; Duffin, S.; et al. The ATLAS experiment at the CERN large hadron collider. J. Instrum. 2008, 3, S08003. [Google Scholar] [CrossRef]
- Aamodt, K.; Quintana, A.A.; Achenbach, R.; Acounis, S.; Adamová, D.; Adler, C.; Aggarwal, M.; Agnese, F.; Rinella, G.A.; Ahammed, Z.; et al. The ALICE experiment at the CERN LHC. J. Instrum. 2008, 3, S08002. [Google Scholar] [CrossRef]
- CMS Collaboration; Chatrchyan, S.; Hmayakyan, G.; Khachatryan, V.; Sirunyan, A.M.; Adam, W.; Bauer, T.; Bergauer, T.; Bergauer, H.; Dragicevic, M.; et al. The CMS experiment at the CERN LHC. J. Instrum. 2008, 3, 1–334. [Google Scholar]
- Collaboration, L. LHCb detector performance. Int. J. Mod. Phys. A 2015, 30, 1530022. [Google Scholar] [CrossRef]
- Aleksa, M.; Bergsma, F.; Giudici, P.A.; Kehrli, A.; Losasso, M.; Pons, X.; Sandaker, H.; Miyagawa, P.; Snow, S.; Hart, J.; et al. Measurement of the ATLAS solenoid magnetic field. J. Instrum. 2008, 3, P04003. [Google Scholar] [CrossRef]
- Thome, R.J.; Central, I.J.; Teams, H. Design & development of the ITER magnet system. Cryogenics 1994, 34, 39–46. [Google Scholar] [CrossRef]
- Aglieri Rinella, G.; Aleksa, M.; Amatriain, A.; Alfiero, D.; Alvarez Feito, D.; Andorno, M.; Angeletti, M.; Antoszczuk, P.D.; Arena, M.C.; Aretio Zarate, F.; et al. Strategic R&D Programme on Technologies for Future Experiments—Annual Report 2024; Technical Report; CERN: Geneva, Switzerland, 2025. [Google Scholar]
- Mazzei, F.; Teofili, L.; Curti, F.; Gargiulo, C. Mission analysis, dynamics and robust control of an indoor blimp in a CERN detector magnetic environment. Front. Robot. AI 2023, 10, 1238081. [Google Scholar] [CrossRef]
- La Scalea, R.; Rodrigues, M.; Osorio, D.P.M.; Lima, C.; Souza, R.D.; Alves, H.; Branco, K.C. Opportunities for autonomous UAV in harsh environments. In Proceedings of the 2019 16th International Symposium on Wireless Communication Systems (ISWCS), Oulu, Finland, 27–30 August 2019; IEEE: Piscataway, NJ, USA, 2019; pp. 227–232. [Google Scholar]
- Dharmadhikari, M.; Nguyen, H.; Mascarich, F.; Khedekar, N.; Alexis, K. Autonomous cave exploration using aerial robots. In Proceedings of the 2021 International Conference on Unmanned Aircraft Systems (ICUAS), Athens, Greece, 15–18 June 2021; IEEE: Piscataway, NJ, USA, 2021; pp. 942–949. [Google Scholar]
- López Fernández, J.; González, P.; Sanz, R.; Burgard, W. Developing a Low-Cost Autonomous Indoor Blimp. J. Phys. Agents 2009, 3, 43–52. [Google Scholar]
- Mazzei, F.; Burkart, A.; Scaramuzzino, P.F.; Sobotta, F.; Curti, A.; Gargiulo, C. Development of Small Airships for Indoor Exploration and Inspection of the CERN Underground Facilities. In Proceedings of the 12th International Airship Conference, Zeppelinheim, Germany, 25–26 October 2024. [Google Scholar]
- Habib, A.; Mohd Zainuri, M.A.A.; Che, H.S.; Ibrahim, A.A.; Rahim, N.A.; Alaas, Z.M.; Ahmed, M.M.R. A systematic review on current research and developments on coreless axial-flux permanent-magnet machines. IET Electr. Power Appl. 2022, 16, 1095–1116. [Google Scholar] [CrossRef]
- Giernacki, W.; Skwierczyński, M.; Witwicki, W.; Wroński, P.; Kozierski, P. Crazyflie 2.0 quadrotor as a platform for research and education in robotics and control engineering. In Proceedings of the 2017 22nd International Conference on Methods and Models in Automation and Robotics (MMAR), Miedzyzdroje, Poland, 28–31 August 2017; IEEE: Piscataway, NJ, USA, 2017; pp. 37–42. [Google Scholar]
- Yun, J.; St. Aubin, J.; Rathee, S.; Fallone, B. Brushed permanent magnet DC MLC motor operation in an external magnetic field. Med. Phys. 2010, 37, 2131–2134. [Google Scholar] [CrossRef] [PubMed]
- Heggo, M.; Kabbabe, K.; Peesapati, V.; Gardner, R.; Watson, S.; Crowther, W. Operation of aerial inspections vehicles in HVDC environments Part A: Evaluation and mitigation of high electrostatic field impact. J. Phys. Conf. Ser. 2019, 1356, 012009. [Google Scholar] [CrossRef]
- Heggo, M.; Mohammed, A.; Melecio, J.; Kabbabe, K.; Tuohy, P.; Watson, S.; Djurovic, S. Operation of aerial inspections vehicles in HVDC environments Part B: Evaluation and mitigation of magnetic field impact. J. Phys. Conf. Ser. 2019, 1356, 012010. [Google Scholar] [CrossRef]
- Heggo, M.; Mohammed, A.; Melecio, J.; Kabbabe, K.; Tuohy, P.; Watson, S.; Durovic, S. The operation of UAV propulsion motors in the presence of high external magnetic fields. Robotics 2021, 10, 79. [Google Scholar] [CrossRef]
- Hughes, A.; Drury, B. Electric Motors and Drives: Fundamentals, Types and Applications; Newnes: Oxford, UK, 2019. [Google Scholar]
- Griffiths, D.J. Introduction to Electrodynamics, 4th ed.; Cambridge University Press: Cambridge, UK, 2017. [Google Scholar] [CrossRef]
- Prozorov, R.; Kogan, V.G. Effective Demagnetizing Factors of Diamagnetic Samples of Various Shapes. Phys. Rev. Appl. 2018, 10, 14030. [Google Scholar] [CrossRef]
- Singer, S.; Appelbaum, J. Starting characteristics of direct current motors powered by solar cells. IEEE Trans. Energy Convers. 1993, 8, 47–53. [Google Scholar] [CrossRef][Green Version]
- Qi, W.; Yang, J.; Zhang, Z.; Wu, J.; Lan, P.; Xiang, S. Investigation on thermal management of cylindrical lithium-ion batteries based on interwound cooling belt structure. Energy Convers. Manag. 2025, 340, 119962. [Google Scholar] [CrossRef]






















| Item | Specifications |
|---|---|
| Diameter | 7.0 mm |
| Length | 16.0 mm |
| Shaft length | 3.5 mm |
| Shaft diameter | 0.8 mm |
| Weight | 2.7 g |
| Rated Voltage | 4.2 V |
| Rated current | 1000 mA |
| Motor velocity constant | 14,000 RPM/V |
| Component | Model/Specifications | Function |
|---|---|---|
| Support Frame | Custom aluminium (a-magnetic) Bosch profile structure | Maintains the goniometer axis orthogonal to the magnetic field lines and minimizes field perturbations. |
| Manual Goniometer | 2-inch Aperture Rotation Stage 7R172-2 (Standa, Vilnius, Lithuania), manual rotation, reading accuracy 1 arcmin, a-magnetic material | Controls motor orientation within the magnetic field. |
| Torque Sensor | Burster Model 8625 (Burster Präzisionsmesstechnik GmbH & Co. KG, Gernsbach, Germany), accuracy ±10−3 N·m | Measures torque exerted on the motor shaft. |
| Motor Holder | Custom adapter, 3D-printed (Formlabs Rigid 10K resin, Formlabs Inc., Somerville, MA, USA) | Couples torque sensor with goniometer, aligns shaft axes, supports the motor, and transfers moments. |
| DC Motor | 7 × 16 mm brushed coreless motors | Test motor under study. |
| Propeller | Diameter 45 mm, fits shaft 0.8 mm | Enables identification of the rotation direction and detection of possible angular speed reversals. |
| Hall Sensor | Gauss/Tesla Meter Model 4048 (F.W. Weel) | Measures magnetic field intensity inside the electromagnet. |
| Power Supply | Rohde & Schwarz HMP4040, 3/4 channels, up to 32 V/10 A per channel (160 W) | Provides controlled electrical power to the motor during testing. |
| Electromagnet | MNP17 test magnet, 0.5 T field, pole width 1 m × 0.5 m, gap 0.3 m | Generates uniform, vertically oriented magnetic field. |
| Tachometer | Testo 465, accuracy ±0.02 % of measured value, 1 rpm resolution in the range 1000 to 99,999 rpm | Non-contact RPM measurement using a reflective marker on the rotating object |
| Parameter | Value |
|---|---|
| Torque sensor sampling frequency | 100 Hz |
| Recording duration (torque and angular speed) | 20 s per measurement |
| Motor Supply voltage | Rated voltage of 4.2 V |
| H (T) | (deg) | Adj. | RMSE | (A·m2) | |||
|---|---|---|---|---|---|---|---|
| 0.05 | −0.00056 | 0.00367 | 19.58 | 0.927 | 0.920 | 0.00078 | 0.0735 |
| 0.10 | 0.00014 | 0.00755 | 21.60 | 0.970 | 0.967 | 0.00101 | 0.0755 |
| 0.15 | 0.00014 | 0.01327 | 23.73 | 0.989 | 0.988 | 0.00107 | 0.0885 |
| 0.20 | 0.00030 | 0.01974 | 26.66 | 0.987 | 0.986 | 0.00172 | 0.0987 |
| 0.25 | 0.00015 | 0.02786 | 29.89 | 0.987 | 0.986 | 0.00243 | 0.1114 |
| 0.30 | 0.00021 | 0.03538 | 31.72 | 0.987 | 0.986 | 0.00309 | 0.1179 |
| 0.35 | 0.00007 | 0.04307 | 32.22 | 0.989 | 0.988 | 0.00347 | 0.1231 |
Disclaimer/Publisher’s Note: The statements, opinions and data contained in all publications are solely those of the individual author(s) and contributor(s) and not of MDPI and/or the editor(s). MDPI and/or the editor(s) disclaim responsibility for any injury to people or property resulting from any ideas, methods, instructions or products referred to in the content. |
© 2025 by the authors. Licensee MDPI, Basel, Switzerland. This article is an open access article distributed under the terms and conditions of the Creative Commons Attribution (CC BY) license (https://creativecommons.org/licenses/by/4.0/).
Share and Cite
Mazzei, F.; Bernardi, L.; Scaramuzzino, P.F.; Gargiulo, C.; Curti, F. Experimental Characterization of Miniature DC Motors for Robotics in High Magnetic Field Environments. Robotics 2025, 14, 172. https://doi.org/10.3390/robotics14120172
Mazzei F, Bernardi L, Scaramuzzino PF, Gargiulo C, Curti F. Experimental Characterization of Miniature DC Motors for Robotics in High Magnetic Field Environments. Robotics. 2025; 14(12):172. https://doi.org/10.3390/robotics14120172
Chicago/Turabian StyleMazzei, Francesco, Luca Bernardi, Paolo Francesco Scaramuzzino, Corrado Gargiulo, and Fabio Curti. 2025. "Experimental Characterization of Miniature DC Motors for Robotics in High Magnetic Field Environments" Robotics 14, no. 12: 172. https://doi.org/10.3390/robotics14120172
APA StyleMazzei, F., Bernardi, L., Scaramuzzino, P. F., Gargiulo, C., & Curti, F. (2025). Experimental Characterization of Miniature DC Motors for Robotics in High Magnetic Field Environments. Robotics, 14(12), 172. https://doi.org/10.3390/robotics14120172

