Sign in to use this feature.

Years

Between: -

Subjects

remove_circle_outline
remove_circle_outline
remove_circle_outline
remove_circle_outline
remove_circle_outline
remove_circle_outline
remove_circle_outline
remove_circle_outline
remove_circle_outline

Journals

remove_circle_outline
remove_circle_outline
remove_circle_outline
remove_circle_outline

Article Types

Countries / Regions

remove_circle_outline
remove_circle_outline
remove_circle_outline

Search Results (216)

Search Parameters:
Keywords = macromolecule agents

Order results
Result details
Results per page
Select all
Export citation of selected articles as:
25 pages, 8717 KB  
Article
Lactic Acid Bacteria Postbiotics as Adjunctives to Glioblastoma Therapy to Fight Treatment Escape and Protect Non-Neoplastic Cells from Side Effects
by Pola Głowacka, Agnieszka Pudlarz, Joanna Wasiak, Magdalena Peszyńska-Piorun, Michał Biegała, Karol Wiśniewski, Dariusz J. Jaskólski, Adam Marek Pieczonka, Tomasz Płoszaj, Janusz Szemraj and Monika Witusik-Perkowska
Cells 2026, 15(3), 226; https://doi.org/10.3390/cells15030226 - 24 Jan 2026
Viewed by 671
Abstract
Despite tremendous scientific efforts aimed at glioblastoma’s (GB) ability to escape therapeutic attempts, the concern remains unsolved. Postbiotics, metabolites, and macromolecules of probiotic bacteria could become adjuvant therapeutics both dealing with cellular events constituting tumor therapy escape mechanisms and protecting normal cells from [...] Read more.
Despite tremendous scientific efforts aimed at glioblastoma’s (GB) ability to escape therapeutic attempts, the concern remains unsolved. Postbiotics, metabolites, and macromolecules of probiotic bacteria could become adjuvant therapeutics both dealing with cellular events constituting tumor therapy escape mechanisms and protecting normal cells from therapy-induced damage. The study aims to evaluate the dual potential of postbiotics obtained from lactic acid bacteria, L. plantarum and L. rhamnosus, on patient-derived and commercially available GB and normal cells alone and in combination with chemotherapeutic and irradiation oncotreatment regimens. Postbiotic mixtures (PMs) show cytoprotective potential against a new anti-cancer agent—ARA12—on astrocytes and cytoprotective action to irradiated normal fibroblast cells. Although GB cells’ apoptotic response varied between patient-derived cells, both PMs exert cytotoxic or cytostatic effects alone and, in most of the studied therapeutic combinations, on all tested GB cell lines. In particular, L. plantarum PM alleviates treatment escape, possibly shifting the tumor drug response from senescence to apoptosis. The results suggest that postbiotic-based adjunctive treatment could potentiate the therapeutic effect toward neoplastic cells, while alleviating chemotherapy’s adverse effects, helping clinicians to tackle the issue of therapy resistance and improve patients’ comfort. Full article
(This article belongs to the Special Issue Cell Death Mechanisms and Therapeutic Opportunities in Glioblastoma)
Show Figures

Figure 1

26 pages, 1675 KB  
Review
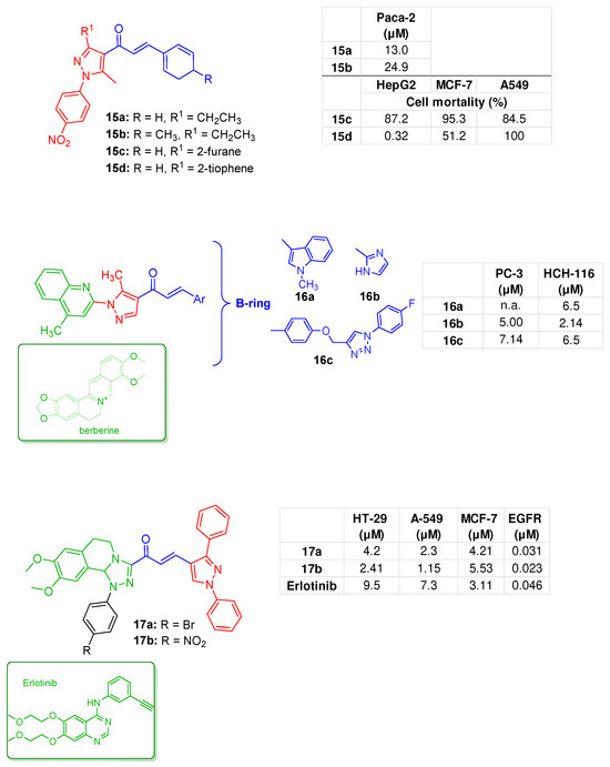
Triazole and Pyrazole Hybrids of Electrophilic Natural Products as Promising Anticancer Agents
by Alessia Da Fermo, Alessandra Bisi, Rebecca Orioli, Silvia Gobbi and Federica Belluti
Molecules 2026, 31(2), 355; https://doi.org/10.3390/molecules31020355 - 19 Jan 2026
Viewed by 482
Abstract
Naturally inspired electrophilic scaffolds, such as chalcone, curcumin, aurone, C-5-monocarbonyl-curcumin, and bis-(arylidene)piperidone, are considered privileged structures because of their ability to interact with a variety of biological macromolecules, including receptors and enzymes. They thus serve as versatile platforms for drug discovery efforts aimed [...] Read more.
Naturally inspired electrophilic scaffolds, such as chalcone, curcumin, aurone, C-5-monocarbonyl-curcumin, and bis-(arylidene)piperidone, are considered privileged structures because of their ability to interact with a variety of biological macromolecules, including receptors and enzymes. They thus serve as versatile platforms for drug discovery efforts aimed at developing structurally related analogues endowed with improved bioactivity. Five-membered nitrogen-based heterocycles, such as triazole and pyrazole, have been widely used in medicinal chemistry both as templates and spacers for the design of bioactive compounds; they indeed provide the advantage of enhancing favourable interactions with the target, while also improving solubility and bioavailability, along with reducing toxicity. This review reports the latest advances in the development of hybrids incorporating the above classes of synthons acting as potential anticancer chemotherapeutics and provides a critical summary of the design strategies that have guided the development of antitumor agents. Full article
(This article belongs to the Special Issue Heterocycles in Medicinal Chemistry III)
Show Figures

Graphical abstract

26 pages, 2231 KB  
Review
Microneedle Technologies for Drug Delivery: Innovations, Applications, and Commercial Challenges
by Kranthi Gattu, Deepika Godugu, Harsha Jain, Krishna Jadhav, Hyunah Cho and Satish Rojekar
Micromachines 2026, 17(1), 102; https://doi.org/10.3390/mi17010102 - 13 Jan 2026
Viewed by 1750
Abstract
Microneedle (MN) technologies have emerged as a groundbreaking platform for transdermal and intradermal drug delivery, offering a minimally invasive alternative to oral and parenteral routes. Unlike passive transdermal systems, MNs allow the permeation of hydrophilic macromolecules, such as peptides, proteins, and vaccines, by [...] Read more.
Microneedle (MN) technologies have emerged as a groundbreaking platform for transdermal and intradermal drug delivery, offering a minimally invasive alternative to oral and parenteral routes. Unlike passive transdermal systems, MNs allow the permeation of hydrophilic macromolecules, such as peptides, proteins, and vaccines, by penetrating the stratum corneum barrier without causing pain or tissue damage, unlike hypodermic needles. Recent advances in materials science, microfabrication, and biomedical engineering have enabled the development of various MN types, including solid, coated, dissolving, hollow, hydrogel-forming, and hybrid designs. Each type has unique mechanisms, fabrication techniques, and pharmacokinetic profiles, providing customized solutions for a range of therapeutic applications. The integration of 3D printing technologies and stimulus-responsive polymers into MN systems has enabled patches that combine drug delivery with real-time physiological sensing. Over the years, MN applications have grown beyond vaccines to include the delivery of insulin, anticancer agents, contraceptives, and various cosmeceutical ingredients, highlighting the versatility of this platform. Despite this progress, broader clinical and commercial adoption is still limited by issues such as scalable and reliable manufacturing, patient acceptance, and meeting regulatory expectations. Overcoming these barriers will require coordinated efforts across engineering, clinical research, and regulatory science. This review thoroughly summarizes MN technologies, beginning with their classification and drug-delivery mechanisms, and then explores innovations, therapeutic uses, and translational challenges. It concludes with a critical analysis of clinical case studies and a future outlook for global healthcare. By comparing technological progress with regulatory and commercial hurdles, this article highlights the opportunities and limitations of MN systems as a next-generation drug-delivery platform. Full article
(This article belongs to the Special Issue Breaking Barriers: Microneedles in Therapeutics and Diagnostics)
Show Figures

Figure 1

18 pages, 4905 KB  
Article
Enhancing Spore Inactivation: Low-Intensity Pulsed Electric Field Combined with Ohmic Heating and Germinant Pretreatment
by Fei-Yue Xu, Hua-Xi Huang, Qing-Hui Wen, Lang-Hong Wang, Yan-Yan Huang and Man-Sheng Wang
Foods 2026, 15(2), 230; https://doi.org/10.3390/foods15020230 - 8 Jan 2026
Viewed by 458
Abstract
Bacterial spores, as one of the most resistant microbial forms, are difficult to completely eliminate through conventional heat treatments such as pasteurization, allowing them to persist in food and pose a significant threat to microbial safety. This study employed a “germination–inactivation” strategy to [...] Read more.
Bacterial spores, as one of the most resistant microbial forms, are difficult to completely eliminate through conventional heat treatments such as pasteurization, allowing them to persist in food and pose a significant threat to microbial safety. This study employed a “germination–inactivation” strategy to inactivate Alicyclobacillus acidoterrestris (AAT) spores using a germinant under low-intensity pulsed electric fields (PEFs). Analysis of germination curves identified 40 mM L-valine as the most effective germinant. Results showed that after 4-h incubation with 40 mM L-valine followed by 210 s of 0.18 kV/cm PEF treatment, the synergistic effect of electric field and ohmic heating (OH) reduced AAT spore counts by 1.73 log units. In contrast, the control group treated with the same PEF parameters without a germinant showed only a 0.54 log unit reduction. These findings indicate that germination agents significantly reduce spore resistance. Subsequent experiments confirmed that L-valine-treated AAT spores underwent pronounced structural disruption under the combined effects of the electric field and OH, leading to leakage of intracellular components such as nucleic acids and proteins. This phenomenon was verified via scanning electron microscopy (SEM) and laser confocal microscopy. Additionally, both ROS levels and ATPase activity in spores were substantially reduced, further indicating that the combined electric field and OH synergistically disrupted the spore’s external structure and internal macromolecules, leading to spore death. Thus, low-intensity PEF assisted by spore germination agents offers an energy-efficient and effective inactivation method, opening new avenues for spore inactivation research. Full article
Show Figures

Figure 1

19 pages, 1741 KB  
Article
Near-UV Circular Dichroism and Second-Derivative Fluorescence Spectroscopy as Complementary Tools for Studying Ligand–Albumin Interactions
by Agnieszka Szkudlarek
Processes 2025, 13(12), 4000; https://doi.org/10.3390/pr13124000 - 11 Dec 2025
Cited by 1 | Viewed by 704
Abstract
Spectroscopic techniques offer significant potential for investigating ligand–protein interactions, particularly for assessing conformational modifications and binding affinity. In the present study, a complementary approach combining near-UV circular dichroism (CD) and second-derivative fluorescence spectroscopy was applied to evaluate how two representative nonsteroidal anti-inflammatory drugs—phenylbutazone [...] Read more.
Spectroscopic techniques offer significant potential for investigating ligand–protein interactions, particularly for assessing conformational modifications and binding affinity. In the present study, a complementary approach combining near-UV circular dichroism (CD) and second-derivative fluorescence spectroscopy was applied to evaluate how two representative nonsteroidal anti-inflammatory drugs—phenylbutazone (PHB, a marker of Sudlow’s site I) and ketoprofen (KP, a marker of Sudlow’s site II)—influence the tertiary structure of human serum albumin in its native form (HSA) and after glycation by glucose (gHSAGLC), fructose (gHSAFRC), and glucose–fructose syrup (gHSAsyrup). The results demonstrate that glycation substantially modifies the tertiary structure of HSA and decreases its drug-binding capacity at Sudlow’s sites I and II, with the most pronounced conformational changes observed for gHSAFRC, confirming fructose as the most reactive glycation agent. PHB induced distinct conformational rearrangements, including a characteristic increase in ellipticity near ~290 nm, indicating perturbations in the chiral microenvironment surrounding Trp214 within Sudlow’s site I. By contrast, KP induced weaker, site-specific structural changes, primarily within Phe-rich hydrophobic domains of site II. Glycation consistently increased the polarity and solvent exposure of aromatic residue microenvironments—particularly within Tyr-rich regions—while the local environment of Trp214 remained comparatively stable. These findings suggest that PHB and KP modulate the conformational flexibility of glycated HSA predominantly by reorganizing Tyr-rich regions rather than directly perturbing Trp214. Overall, the study shows that glycation heterogeneity significantly influences protein–drug interactions, with important implications for altered pharmacokinetics in diabetes and metabolic disorders. The combined application of near-UV CD and second-derivative fluorescence spectroscopy offers a sensitive and complementary strategy for distinguishing structural differences between non-glycated and glycated HSA and for characterizing drug–albumin interactions at the tertiary structural level of the macromolecule. Full article
Show Figures

Figure 1

19 pages, 9103 KB  
Article
Inhibitory Effects and Mechanisms of Flavonoids in Sea Buckthornon (Hippophae rhamnoides L.) on Helicobacter pylori
by Huicui Liu, Kunhao Xie, Yueyue Rui and Shulin Wang
Foods 2025, 14(23), 3995; https://doi.org/10.3390/foods14233995 - 21 Nov 2025
Viewed by 1116
Abstract
This study employed wild sea buckthorn (Hippophae rhamnoides L.) fruits harvested in Qinghai Province as experimental material. Following compositional analysis of their flavonoids, the antibacterial efficacy and mechanistic pathways of flavonoids in sea buckthorn against Helicobacter pylori (H. pylori) were systematically examined [...] Read more.
This study employed wild sea buckthorn (Hippophae rhamnoides L.) fruits harvested in Qinghai Province as experimental material. Following compositional analysis of their flavonoids, the antibacterial efficacy and mechanistic pathways of flavonoids in sea buckthorn against Helicobacter pylori (H. pylori) were systematically examined through in vitro and animal model experiments. The results showed that the main flavonoids in sea buckthorn were rutin, quercetin-3-O-glucoside, quercetin, catechin, isorhamnetin, kaempferol-3-O-glucoside, kaempferol and epicatechin. Among them, quercetin, isorhamnetin and kaempferol had strong inhibitory activity against H. pylori. In vitro, sea buckthorn flavonoids inhibited the growth of H. pylori through multiple mechanisms: inducing morphological transformation from rod-shaped to spherical bacteria, promoting cell shrinkage and rupture, disrupting the cell membrane to cause leakage of intracellular macromolecules, increasing membrane permeability, and suppressing urease activity. Sea buckthorn flavonoids exert therapeutic effects on H. pylori-infected mice through multiple mechanisms, including the alleviation of gastric mucosal inflammation via the Nuclear Factor KappaB (NF-κB) signaling pathway, the down-regulation of gastrin-17 (GAS17) to suppress gastric acid production, and the up-regulation of epidermal growth factor (EGF) expression to promote gastric mucosal repair and modulate the composition of gastric microbiota. This study systematically elucidated the anti-H. pylori activity and antibacterial mechanisms of flavonoids derived from sea buckthorn fruits, providing a theoretical basis for the screening of natural antibacterial agents from this plant source. Full article
(This article belongs to the Section Plant Foods)
Show Figures

Graphical abstract

49 pages, 4856 KB  
Review
Preanalytical Strategies for Native Mass Spectrometry Analysis of Protein Modifications, Complexes, and Higher-Order Structures
by Navid J. Ayon
AppliedChem 2025, 5(4), 35; https://doi.org/10.3390/appliedchem5040035 - 18 Nov 2025
Viewed by 2814
Abstract
Proteins are essential biological macromolecules that play key regulatory roles in all biological processes. Abnormalities in these processes are often reflected in proteins, manifesting as changes in their structure, sequence, folding state, stoichiometry, or spatial and temporal distribution. Proteins serve as biological targets [...] Read more.
Proteins are essential biological macromolecules that play key regulatory roles in all biological processes. Abnormalities in these processes are often reflected in proteins, manifesting as changes in their structure, sequence, folding state, stoichiometry, or spatial and temporal distribution. Proteins serve as biological targets for drugs and other therapeutics and can also function as therapeutic agents to restore normal biological functions by treating diseases. Hence, it is essential to study native protein species, their modifications, higher-order structures, and complexes, which can be extremely difficult due to the challenges in preserving their native conditions and the instrumental capability required for such analysis. High-resolution mass spectrometry (HRMS) instruments provide advanced technical capabilities to study intact protein species from their gas phase ions after the protein solution is sprayed into the mass spectrometers. However, there are debates about the gas-phase protein structures obtained through mass spectrometry and the resemblance to their biological native state. This review discusses various techniques for isolating, separating, and enriching intact protein species for their native mass spectrometry (nMS) analysis. Emerging technologies, such as automated sample preparation, ion mobility spectrometry, and ambient surface mass spectrometry, are briefly discussed. This review aims to serve as a general guideline for beginners, primarily focusing on the preanalytical strategies and critical instrument parameters for nMS analysis of intact proteins, proteoforms, protein complexes, and higher-order structures. Full article
Show Figures

Figure 1

23 pages, 14755 KB  
Article
Ethylene-Vinyl Acetate Copolymer as a Polyfunctional Modifier for Low-Viscosity Photosensitive Compositions
by Dmitriy A. Bazhanov, Uliana V. Nikulova, Ramil R. Khasbiullin, Nikita Yu. Budylin, Elizaveta V. Ermakova and Aleksey V. Shapagin
Polymers 2025, 17(20), 2787; https://doi.org/10.3390/polym17202787 - 17 Oct 2025
Viewed by 1083
Abstract
The article presents the results of a study of the possibility of using heat-treated ethylene-vinyl acetate copolymer (EVA) as a thermoplastic modifier in a photosensitive composition based on tert-butyl acrylate (tBA). The use of such a modifier in 3D printing compositions is important [...] Read more.
The article presents the results of a study of the possibility of using heat-treated ethylene-vinyl acetate copolymer (EVA) as a thermoplastic modifier in a photosensitive composition based on tert-butyl acrylate (tBA). The use of such a modifier in 3D printing compositions is important for improving their physical and mechanical properties at low temperatures. An attempt was also made to use EVA as a polymer chain brancher. The molecular structure of the components and their compositions, rheology, curing kinetics, and phase organization of photocured systems were studied using FTIR and NMR spectroscopy, spectrophotometry, rheometry, Photo-DSC, and scanning electron microscopy. It was found that heat treatment of EVA allows the formation of single C=C bonds in macromolecules, which are necessary for a potential crosslinking agent with tBA. It was shown that EVA effectively functions as a thickener and modifier: with an increase in the modifier concentration, the nature of the composition flow changes from Newtonian to pseudoplastic, the rate of the photochemical polymerization reaction decreases, and the degree of conversion of the system decreases. However, the formation of a heterogeneous phase structure and the absence of a continuous spatial network of chemical bonds prevent the use of EVA simultaneously as a functional additive and crosslinking agent. Full article
Show Figures

Graphical abstract

24 pages, 6211 KB  
Article
Xanthan Gum as an Eco-Friendly Corrosion Inhibitor for N80 Carbon Steel Under High Pressure and High Temperature in Saline CO2-Saturated Solution
by Gaetano Palumbo
Materials 2025, 18(19), 4450; https://doi.org/10.3390/ma18194450 - 23 Sep 2025
Cited by 2 | Viewed by 946
Abstract
In this study, polysaccharide xanthan gum (XG), used in the oil and gas industry as a thickening agent, was evaluated as an active anti-corrosion component against sweet corrosion at high temperatures and pressures in a saline environment for N80 carbon steel in the [...] Read more.
In this study, polysaccharide xanthan gum (XG), used in the oil and gas industry as a thickening agent, was evaluated as an active anti-corrosion component against sweet corrosion at high temperatures and pressures in a saline environment for N80 carbon steel in the oil and gas industry. The evaluation involved measuring weight loss and conducting electrochemical assessments at 5 bar CO2 partial pressure, different temperatures (e.g., 30 °C and 90 °C), and immersion times (up to 72 h). The electrochemical results indicated that XG effectively mitigated CO2 corrosion at both low and high temperatures, demonstrating inhibition efficiencies of 70.10% at 30 °C and 61.41% at 90 °C using 1.0 g L−1 of XG, after 24 h. The good inhibition efficiency observed even at high temperatures is likely due to the denaturation process that XG undergoes at high temperatures, where a rigid double-stranded helical structure transitions into two single-stranded, more flexible, worm-like macromolecular conformations. This increases the number and mobility of XG macromolecules available for adsorption on the metal surface. EIS measurements have shown that XG was capable of protecting the metal surface even after prolonged exposure. Potentiodynamic measurements indicated that the inhibitive action of XG is of a mixed type. The Temkin adsorption isotherm model provided a good fit for the observed data, and the calculated parameters suggested that the adsorption of XG primarily occurred through physical adsorption processes, with a contribution from chemical processes. The associated activation energy and the heat of adsorption further supported the physical nature of XG’s adsorption. FTIR analysis was employed to elucidate the interaction between the XG and the N80 carbon steel surface, while SEM-EDS analysis provided visual confirmation of the XG’s impact on the metal surface. Full article
(This article belongs to the Section Corrosion)
Show Figures

Graphical abstract

18 pages, 1266 KB  
Review
The Usefulness of Indocyanine Green in Modern Gynecological Oncology—Analysis, Literature Review, and Future Perspectives
by Michał Kostrzanowski, Grzegorz Ziółkowski, Agata Mandes, Grzegorz Panek, Michał Ciebiera and Filip Dąbrowski
Cancers 2025, 17(18), 3081; https://doi.org/10.3390/cancers17183081 - 21 Sep 2025
Cited by 2 | Viewed by 2183
Abstract
Indocyanine green (ICG) is a fluorescent agent which is characterized by a wide range of applications in the proper visualization of the operating field, differentiation of vital structures, and localization of lesions to be excised. An investigation and overview of novel approaches of [...] Read more.
Indocyanine green (ICG) is a fluorescent agent which is characterized by a wide range of applications in the proper visualization of the operating field, differentiation of vital structures, and localization of lesions to be excised. An investigation and overview of novel approaches of indocyanine green in modern gynecological oncology was conducted, including ovarian cancer surgery with its compartmental approach and compartmental surgery in endometrial cancer. Ureteral visualization and perfusion, lymphography, lymph node transfers, or the localization of anastomotic leakage in bowel surgery are examples of applications aimed at reducing the risk of surgical complications and improving the patients’ quality of life. The general use of indocyanine green in lymph node detection, subcategorized and analyzed, is constantly improved and reviewed. A therapeutic approach with macromolecules is being tested in preclinical models. Early results could suggest the future application of indocyanine green not only in broad-sense imaging but also as a cytotoxic agent conjugated with macromolecules. Further studies on the application of indocyanine green in laparoscopy, open surgery, and finally as a curative cytotoxic agent are needed. Full article
(This article belongs to the Special Issue Advances in Surgical Treatment of Gynecological Cancers)
Show Figures

Figure 1

22 pages, 1305 KB  
Review
Hydrogel Conjugation: Engineering of Hydrogels for Drug Delivery
by Linh Dinh, Sung-Joo Hwang and Bingfang Yan
Pharmaceutics 2025, 17(7), 897; https://doi.org/10.3390/pharmaceutics17070897 - 10 Jul 2025
Cited by 9 | Viewed by 4136
Abstract
Background: Hydrogels are 3D networks of hydrophilic polymers with various biomedical applications, including tissue regeneration, wound healing, and localized drug delivery. Hydrogel conjugation links therapeutic agents to a hydrogel network, creating a delivery system with adjustable and flexible hydrogel properties and drug [...] Read more.
Background: Hydrogels are 3D networks of hydrophilic polymers with various biomedical applications, including tissue regeneration, wound healing, and localized drug delivery. Hydrogel conjugation links therapeutic agents to a hydrogel network, creating a delivery system with adjustable and flexible hydrogel properties and drug activity, allowing for controlled release and enhanced drug stability. Conjugating therapeutic agents to hydrogels provides innovative delivery formats, including injectable and sprayable dosage forms, which facilitate localized and long-lasting delivery. This approach enables non-viral therapeutic methods, such as insertional mutagenesis, and minimally invasive drug administration. Scope and Objectives: While numerous reviews have analyzed advancements in hydrogel synthesis, characterization, properties, and hydrogels as a drug delivery vehicle, this review focuses on hydrogel conjugation, which enables the precise functionalization of hydrogels with small molecules and macromolecules. Subsequently, a description and discussion of several bio-conjugated hydrogel systems, as well as binding motifs (e.g., “click” chemistry, functional group coupling, enzymatic ligation, etc.) and their potential for clinical translation, are provided. In addition, the integration of therapeutic agents with nucleic acid-based hydrogels can be leveraged for sequence-specific binding, representing a leap forward in biomaterials. Key findings: Special attention was given to the latest conjugation approaches and binding motifs that are useful for designing hydrogel-based drug delivery systems. The review systematically categorizes hydrogel conjugates for drug delivery, focusing on conjugating hydrogels with major classes of therapeutic agents, including small-molecule drugs, nucleic acids, proteins, etc., each with distinct conjugation challenges. The design principles were discussed along with their properties and drug release profiles. Finally, future opportunities and current limitations of conjugated hydrogel systems are addressed. Full article
(This article belongs to the Section Drug Delivery and Controlled Release)
Show Figures

Figure 1

14 pages, 8677 KB  
Article
Star Polymers as a Reducing Agent of Silver Salt and a Carrier for Silver Nanoparticles
by Katarzyna Szcześniak, Grzegorz Przesławski, Jakub Kotecki, Weronika Andrzejewska, Katarzyna Fiedorowicz, Marta Woźniak-Budych, Maciej Jarzębski, Piotr Gajewski and Agnieszka Marcinkowska
Materials 2025, 18(13), 3009; https://doi.org/10.3390/ma18133009 - 25 Jun 2025
Viewed by 1018
Abstract
Star polymers—macromolecules featuring multiple arms radiating from a central core—offer unique potential for biomedical applications due to their tunable architecture, multifunctionality and ability to incorporate stimuli-responsive and biocompatible components. In this study, functional star polymers with oligo (ethylene glycol) methyl ether methacrylate (OEOMA) [...] Read more.
Star polymers—macromolecules featuring multiple arms radiating from a central core—offer unique potential for biomedical applications due to their tunable architecture, multifunctionality and ability to incorporate stimuli-responsive and biocompatible components. In this study, functional star polymers with oligo (ethylene glycol) methyl ether methacrylate (OEOMA) arms and 2-(dimethylamino)ethyl methacrylate (DMAEMA) core units were synthesized via atom transfer radical polymerization (ATRP) using the “arm-first” strategy. The star polymers were used as nanoreactors for the in situ reduction of silver nitrate to form silver nanoparticles (AgNPs) without additional reducing agents. UV–Vis spectroscopy confirmed the formation of spherical AgNPs with absorption maxima around 430 nm, and transmission electron microscopy revealed uniform particle morphology. These hybrid nanomaterials (STR-AgNPs) were incorporated into polymethyl methacrylate (PMMA)-based bone cement to impart antibacterial properties. Mechanical testing showed that the compressive strength remained within acceptable limits, while antibacterial assays against E. coli demonstrated a significant inhibition of bacterial growth. These findings suggest that STR-AgNPs serve as promising candidates for infection-resistant bone implants, providing localized antibacterial effects while maintaining mechanical integrity and biocompatibility. Full article
Show Figures

Graphical abstract

20 pages, 4773 KB  
Review
Structure-Based Function of Humic Acid in Abiotic Stress Alleviation in Plants: A Review
by Farhan Nabi, Ahmed Sarfaraz, Rakhwe Kama, Razia Kanwal and Huashou Li
Plants 2025, 14(13), 1916; https://doi.org/10.3390/plants14131916 - 22 Jun 2025
Cited by 13 | Viewed by 6694
Abstract
Humic acid (HA), a major component of soil organic matter, is a naturally occurring macromolecule formed through the decomposition of plant and microbial residues. Its molecular structure comprises functional groups such as carboxyl, phenolic, hydroxyl, and carbonyl functional groups, which enable HA to [...] Read more.
Humic acid (HA), a major component of soil organic matter, is a naturally occurring macromolecule formed through the decomposition of plant and microbial residues. Its molecular structure comprises functional groups such as carboxyl, phenolic, hydroxyl, and carbonyl functional groups, which enable HA to interact with soil particles, nutrients, and biological systems. These interactions significantly contribute to soil fertility and overall plant productivity. Functionally, HA enhances soil health by increasing cation exchange capacity, improving water retention, and promoting the formation and stabilization of soil aggregates. In addition to its role in soil conditioning, HA is essential in mitigating plant stress. It achieves this by modulating antioxidant enzyme activity, stabilizing cellular membranes, and alleviating the adverse effects of abiotic stressors such as salinity, drought, and heavy metal toxicity. This review highlights the structural characteristics of HA, its structure-based functions, and the mechanisms involved in plant stress alleviation. Additionally, we explore how HA can be modified through physical, chemical, and biological approaches to enhance its agronomic performance. These modifications are designed to improve HA agronomic efficiency by increasing nutrient bioavailability, reducing environmental losses through minimized leaching and volatilization, and supporting sustainable agricultural practices. Overall, this review underscores the multifaceted roles of HA in promoting plant resilience to environmental stress, highlighting its potential as a key agent in the development of sustainable and eco-friendly crop production systems. Full article
Show Figures

Figure 1

18 pages, 1427 KB  
Review
Impacts of Phenolic Compounds and Their Benefits on Human Health: Germination
by Jonathan Hernández-Miranda, Karen Argelia Reyes-Portillo, Abigail García-Castro, Esther Ramírez-Moreno and Alma Delia Román-Gutiérrez
Metabolites 2025, 15(7), 425; https://doi.org/10.3390/metabo15070425 - 22 Jun 2025
Cited by 7 | Viewed by 2981 | Correction
Abstract
Due to their outstanding nutritional profile, the consumption of seeds has been an essential source of nutrients. These foods have a unique composition, containing carbohydrates, proteins, lipids, fiber, vitamins, minerals, and bioactive compounds in the same food matrix. Furthermore, the nutritional profile can [...] Read more.
Due to their outstanding nutritional profile, the consumption of seeds has been an essential source of nutrients. These foods have a unique composition, containing carbohydrates, proteins, lipids, fiber, vitamins, minerals, and bioactive compounds in the same food matrix. Furthermore, the nutritional profile can naturally be maximized and optimized through the germination process through two key methods: degradation of macromolecules and biosynthesis of metabolites, which favors an increase in the concentration of bioactive compounds, such as phenolic compounds. The extraction of these compounds has been studied in various plant fractions, including roots, stems, leaves, fruits, and seeds, using different extraction techniques. Among these, ultrasound-assisted extraction has gained popularity due to its efficiency and yield, considering specific parameters to maximize the bioactive yield. These advances have allowed us to evaluate the potential of the extracted compounds as preventive agents in cardiovascular and degenerative diseases, showing promising results in preventive medicine. Recent studies have shown that cereals possess anti-lipid, anti-hypercholesterolemic, anti-diabetic, anti-inflammatory, and antibiotic properties, mainly due to their antioxidant capacity. This work describes the effects of germination on the nutritional profile, presents benefits to human health through seed consumption, and refers to a collection of strategies to improve the extraction process. Full article
(This article belongs to the Special Issue Plants and Plant-Based Foods for Metabolic Disease Prevention)
Show Figures

Graphical abstract

19 pages, 758 KB  
Review
Advances and Challenges in Structural Studies of Bioactive Peptide-Anthracycline Conjugates: A Mass Spectrometric Insight
by Eszter Fehérvári, Katalin Uray and Gitta Schlosser
Int. J. Mol. Sci. 2025, 26(10), 4896; https://doi.org/10.3390/ijms26104896 - 20 May 2025
Cited by 1 | Viewed by 1664
Abstract
Drug conjugates, in which chemotherapeutic or cytotoxic agents are coupled to targeting or delivering macromolecules like peptides or proteins via a linker, revolutionize cancer treatment. While protein-drug and antibody-drug conjugates have already secured a role in clinical oncology, peptide–drug conjugates (PDCs) are emerging [...] Read more.
Drug conjugates, in which chemotherapeutic or cytotoxic agents are coupled to targeting or delivering macromolecules like peptides or proteins via a linker, revolutionize cancer treatment. While protein-drug and antibody-drug conjugates have already secured a role in clinical oncology, peptide–drug conjugates (PDCs) are emerging as a promising alternative, offering enhanced efficacy and fewer side effects compared to the free drug molecules. Comprehensive chemical and biological investigation of PDCs is crucial during drug development and optimization, paving the way for the next generation of targeted therapies. Anthracycline-containing peptide conjugates have emerged as promising candidates in targeted cancer therapies due to their ability to deliver cytotoxic agents directly to tumor cells. However, their structural complexity poses significant analytical challenges, particularly in mass spectrometric characterization. Accurate identification and quantification of these conjugates are critical for assessing their stability, efficacy, and mechanism of action. This article explores the major difficulties encountered during mass spectrometry (MS) analysis of anthracycline-peptide conjugates, focusing on ionization issues, fragmentation behavior, and challenges of detection from biological matrix. Full article
Show Figures

Figure 1

Back to TopTop