Sign in to use this feature.

Years

Between: -

Subjects

remove_circle_outline
remove_circle_outline
remove_circle_outline
remove_circle_outline
remove_circle_outline

Journals

Article Types

Countries / Regions

Search Results (14)

Search Parameters:
Keywords = local wavenumber estimation

Order results
Result details
Results per page
Select all
Export citation of selected articles as:
22 pages, 10283 KB  
Article
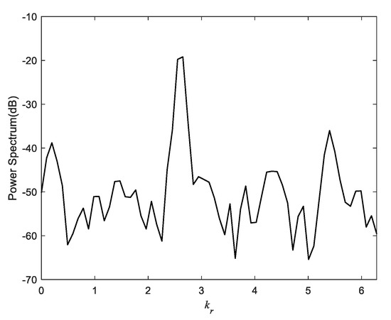
Outlier Correction in Remote Sensing Retrieval of Ocean Wave Wavelength and Application to Bathymetry
by Zhengwen Xu, Shouxian Zhu, Wenjing Zhang, Yanyan Kang and Xiangbai Wu
Remote Sens. 2025, 17(19), 3284; https://doi.org/10.3390/rs17193284 - 24 Sep 2025
Viewed by 462
Abstract
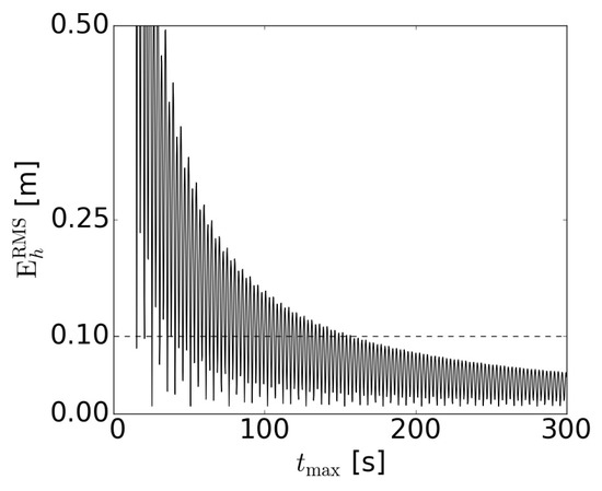
The extraction of ocean wave wavelengths from optical imagery via Fast Fourier Transform (FFT) exhibits significant potential for Wave-Derived Bathymetry (WDB). However, in practical applications, this method frequently produces anomalously large wavelength estimates. To date, there has been insufficient exploration into the mechanisms [...] Read more.
The extraction of ocean wave wavelengths from optical imagery via Fast Fourier Transform (FFT) exhibits significant potential for Wave-Derived Bathymetry (WDB). However, in practical applications, this method frequently produces anomalously large wavelength estimates. To date, there has been insufficient exploration into the mechanisms underlying image spectral leakage to low wavenumbers and its suppression strategies. This study investigates three plausible mechanisms contributing to spectral leakage in optical images and proposes a subimage-based preprocessing framework: prior to executing two-dimensional FFT, the remote sensing subimages employed for wavelength inversion undergo three sequential steps: (1) truncation of distorted pixel values using a Gaussian mixture model; (2) application of a polynomial detrending surface; (3) incorporation of a two-dimensional Hann window. Subsequently, the dominant wavenumber peak is localized in the power spectrum and converted to wavelength values. Water depth is then inverted using the linear dispersion equation, combined with wave periods derived from ERA5. Taking 2 m-resolution WorldView-2 imagery of Sanya Bay, China as a case study, 1024 m subimages are utilized, with validation conducted against chart-sounding data. Results demonstrate that the proportion of subimages with anomalous wavelengths is reduced from 18.9% to 3.3% (in contrast to 14.0%, 7.8%, and 16.6% when the three preprocessing steps are applied individually). Within the 0–20 m depth range, the water depth retrieval accuracy achieves a Mean Absolute Error (MAE) of 1.79 m; for the 20–40 m range, the MAE is 6.38 m. A sensitivity analysis of subimage sizes (512/1024/2048 m) reveals that the 1024 m subimage offers an optimal balance between accuracy and coverage. However, residual anomalous wavelengths persist in near-shore subimages, and errors still increase with increasing water depth. This method is both concise and effective, rendering it suitable for application in shallow-water WDB scenarios. Full article
(This article belongs to the Section Ocean Remote Sensing)
Show Figures

Figure 1

13 pages, 1938 KB  
Article
Global Investigation of Wind–Wave Interaction Using Spaceborne SAR Measurements
by Huimin Li and Yijun He
J. Mar. Sci. Eng. 2024, 12(3), 433; https://doi.org/10.3390/jmse12030433 - 28 Feb 2024
Viewed by 1919
Abstract
Spaceborne synthetic aperture radar (SAR) has been widely acknowledged for its advantages in collecting ocean surface measurements under all weather conditions during day and night. Despite the strongly nonlinear imaging process, SAR measurements of ocean waves provide an invaluable resource for studies into [...] Read more.
Spaceborne synthetic aperture radar (SAR) has been widely acknowledged for its advantages in collecting ocean surface measurements under all weather conditions during day and night. Despite the strongly nonlinear imaging process, SAR measurements of ocean waves provide an invaluable resource for studies into wave dynamics at the global scale. In this study, we take advantage of a newly defined parameter, the mean cross-spectrum (MACS) at a discrete wavenumber along the sensor line-of-sight axis, to further investigate the ocean wave properties. With the range peak wavenumber extracted from the MACS profile, together with the collocated model winds, the inverse wave age (iwa) is estimated. As an indicator of local wind–wave coupling, the global map of the iwa depicts a distinct pattern, with larger iwa values observed in the storm tracks. In addition to the mean, stronger variability in the iwa is also found in the storm tracks, while the iwa remains relatively steady in the trade winds with lower variability. This makes the SAR-derived iwa a significant parameter in reflecting the varying degrees of wind–wave coupling in variable geographical locations across the ocean basins. It will help to promote the practical application of SAR measurements, as well as advancing our understanding of ocean wave dynamics. Full article
(This article belongs to the Special Issue New Advances in Marine Remote Sensing Applications)
Show Figures

Figure 1

17 pages, 3870 KB  
Article
Particle Filtering for Source Depth and Water Depth Joint Tracking in Shallow Water
by Yuyuan Zhou, Chao Sun and Lei Xie
J. Mar. Sci. Eng. 2023, 11(12), 2213; https://doi.org/10.3390/jmse11122213 - 22 Nov 2023
Viewed by 1427
Abstract
Environmental mismatch degrades the performance of source localization and tracking methods in shallow water. One solution is to estimate source parameters and the key environmental parameters simultaneously from the acoustic data. In this paper, an unconventional approach of joint tracking source depth and [...] Read more.
Environmental mismatch degrades the performance of source localization and tracking methods in shallow water. One solution is to estimate source parameters and the key environmental parameters simultaneously from the acoustic data. In this paper, an unconventional approach of joint tracking source depth and water depth parameters by a particle filter is proposed. This approach is free of prior environmental knowledge and numerical calculation of any forward model. First, a state-space model based on modal nature behavior is established driving the shallow-water propagation, instead of modeling in time or space, as was done previous works. Subsequently, particle filtering is employed for joint tracking, in which the evolution with mode-order of vertical wavenumbers and the relationship between state parameters and beam-wavenumber outputs transformed from the data are exploited. Final, the particle smoother reduces the uncertainty of state parameters at initial steps, and improves the overall tracking accuracy. Our approach is demonstrated using simulated data in an ideal waveguide and applied to shallow-water SWellEx-96 experimental data to substantiate its superior performance. Full article
(This article belongs to the Special Issue Underwater Acoustics and Digital Signal Processing)
Show Figures

Figure 1

19 pages, 7164 KB  
Article
An Inversion Method for Geoacoustic Parameters in Shallow Water Based on Bottom Reflection Signals
by Zhuo Wang, Yuxuan Ma, Guangming Kan, Baohua Liu, Xinghua Zhou and Xiaobo Zhang
Remote Sens. 2023, 15(13), 3237; https://doi.org/10.3390/rs15133237 - 23 Jun 2023
Cited by 10 | Viewed by 2421
Abstract
The inversion method based on the reflection loss-grazing angle curve is an effective tool to obtain local underwater acoustic parameters. Because geoacoustic parameters vary in sensitivity to grazing angle, it is difficult to get accurate results in geoacoustic parameter inversion based on small-grazing-angle [...] Read more.
The inversion method based on the reflection loss-grazing angle curve is an effective tool to obtain local underwater acoustic parameters. Because geoacoustic parameters vary in sensitivity to grazing angle, it is difficult to get accurate results in geoacoustic parameter inversion based on small-grazing-angle data in shallow water. In addition, the normal-mode model commonly used in geoacoustic parameter inversion fails to meet the needs of accurate local sound field simulation as the influence of the secant integral is ignored. To solve these problems, an acoustic data acquisition scheme was rationally designed based on a sparker source, a fixed vertical array, and ship drifting with the swell, which could balance the trade-off among signal transmission efficiency and signal stability, and the actual local acoustic data at low-to-mid frequencies were acquired at wide grazing angles in the South Yellow Sea area. Furthermore, the bottom reflection coefficients (bottom reflection losses) corresponding to different grazing angles were calculated based on the wavenumber integration method. The local seafloor sediment parameters were then estimated using the genetic algorithm and the bottom reflection loss curve with wide grazing angles, obtaining more accurate local acoustic information. The seafloor acoustic velocity inverted is cp=1659 m/s and the sound attenuation is αp=0.656 dB/λ in the South Yellow Sea. Relevant experimental results indicate that the method described in this study is feasible for local inversion of geoacoustic parameters for seafloor sediments. Compared with conventional large-scale inversion methods, in areas where there are significant changes in the seabed sediment level, this method can obtain more accurate local acoustic features within small-scale areas. Full article
(This article belongs to the Section Ocean Remote Sensing)
Show Figures

Graphical abstract

13 pages, 4759 KB  
Article
Molecular Dynamics Simulation of Poly(Ether Ether Ketone) (PEEK) Polymer to Analyze Intermolecular Ordering by Low Wavenumber Raman Spectroscopy and X-ray Diffraction
by Xiaoran Yang, Seiya Yokokura, Taro Nagahama, Makoto Yamaguchi and Toshihiro Shimada
Polymers 2022, 14(24), 5406; https://doi.org/10.3390/polym14245406 - 10 Dec 2022
Cited by 8 | Viewed by 3947
Abstract
Poly(ether ether ketone) (PEEK) is an important engineering plastic and evaluation of its local crystallinity in composites is critical for producing strong and reliable mechanical parts. Low wavenumber Raman spectroscopy and X-ray diffraction are promising techniques for the analysis of crystal ordering but [...] Read more.
Poly(ether ether ketone) (PEEK) is an important engineering plastic and evaluation of its local crystallinity in composites is critical for producing strong and reliable mechanical parts. Low wavenumber Raman spectroscopy and X-ray diffraction are promising techniques for the analysis of crystal ordering but a detailed understanding of the spectra has not been established. Here, we use molecular dynamics combined with a newly developed approximation to simulate local vibrational features to understand the effect of intermolecular ordering in the Raman spectra. We found that intermolecular ordering does affect the low wavenumber Raman spectra and the X-ray diffraction as observed in the experiment. Raman spectroscopy of intermolecular vibration modes is a promising technique to evaluate the local crystallinity of PEEK and other engineering plastics, and the present technique offers an estimation without requiring heavy computational resources. Full article
(This article belongs to the Special Issue Modelling and Simulation of Polymers/Biopolymers)
Show Figures

Figure 1

15 pages, 4541 KB  
Article
Laser-Generated Guided Waves for Damage Detection in Metal-Lined Composite-Overwrapped Pressure Vessels
by Jinling Zhao, Lehui Yang, Hongyuan Wang, Jianping Zhao, Nian Li, Le Chang, Hongli Ji and Jinhao Qiu
Polymers 2022, 14(18), 3823; https://doi.org/10.3390/polym14183823 - 13 Sep 2022
Cited by 13 | Viewed by 2524
Abstract
This paper characterizes laser-generated guided waves in a metal-lined composite-overwrapped pressure vessel (COPV) to assess typical damage, including interfacial debonding and low-velocity impact damage. First, an eigenfrequency approach that avoids additional coding is utilized to theoretically analyze the dispersion characteristics of a COPV. [...] Read more.
This paper characterizes laser-generated guided waves in a metal-lined composite-overwrapped pressure vessel (COPV) to assess typical damage, including interfacial debonding and low-velocity impact damage. First, an eigenfrequency approach that avoids additional coding is utilized to theoretically analyze the dispersion characteristics of a COPV. The theoretical results show that interfacial debonding significantly alters dispersion curves, and the wavenumber of the L(0, 1) mode is sensitive to impact damage. Experimental verifications were conducted based on the full wavefield acquired using a scanning laser-ultrasonic system with a repetition rate of 1 kHz. By comparing the experimental dispersion curves with the theoretical ones, it was found that the metal-composite interface was not bonded. In addition, a local wavenumber estimation method was established to detect the impact damage by obtaining the spatial distribution of the wavenumber of the L(0, 1) mode. Full article
(This article belongs to the Section Polymer Applications)
Show Figures

Figure 1

14 pages, 899 KB  
Article
Single Hydrophone Passive Source Range Estimation Using Phase-Matched Filter
by Ningning Liang, Jianbo Zhou and Yixin Yang
J. Mar. Sci. Eng. 2022, 10(7), 866; https://doi.org/10.3390/jmse10070866 - 24 Jun 2022
Cited by 5 | Viewed by 2071
Abstract
Algorithms working in mode space instead of directly matching the received complex sound pressure were developed to improve computational efficiency and robustness, but these algorithms may be inconvenient to apply in practice because manual operations are often inevitable when performing modal filtering. Based [...] Read more.
Algorithms working in mode space instead of directly matching the received complex sound pressure were developed to improve computational efficiency and robustness, but these algorithms may be inconvenient to apply in practice because manual operations are often inevitable when performing modal filtering. Based on a phase-matched filter, an imperfect matching scheme named the modal phase based matched impulse response (MP-MIR) is proposed to estimate the source range rapidly and conveniently with a single hydrophone. The field to be matched is still the received complex sound pressure. The replica field is a sum of several “phase” modes, which can be efficiently and conveniently synthesized merely with the horizontal wavenumbers of normal modes and the source–receiver range. The effectiveness of the proposed MP-MIR was demonstrated in localizing 84 emissions along a weakly range-dependent track at ranges of 2.54–20 km in the South China Sea. Although it was found, from cross-correlation coefficients, that the received signals showed strong variation even between adjacent emissions, MP-MIR outperformed the classical matched impulse response (MIR) with a lower standard deviation in most cases, demonstrating good robustness and potential for practical applications. Full article
(This article belongs to the Section Ocean Engineering)
Show Figures

Figure 1

13 pages, 1714 KB  
Technical Note
Application of the Differential Evolutionary Algorithm to the Estimation of Pipe Embedding Parameters
by Ping Lu, Shuang Chen, Xiaozhen Sheng and Yan Gao
Sensors 2022, 22(10), 3942; https://doi.org/10.3390/s22103942 - 23 May 2022
Cited by 3 | Viewed by 1962
Abstract
The time-delay estimation (TDE) method is the primary method for predicting leakage locations in buried water distribution pipelines. The accuracy of TDE depends on the acoustic speed and attenuation of the leakage signal propagating along the pipeline. The analytical prediction model is the [...] Read more.
The time-delay estimation (TDE) method is the primary method for predicting leakage locations in buried water distribution pipelines. The accuracy of TDE depends on the acoustic speed and attenuation of the leakage signal propagating along the pipeline. The analytical prediction model is the typical approach for obtaining the propagation speed and attenuation of leakage waves. However, the embedding parameters of the buried pipe in this model must be measured using soil tests, which are very difficult, costly, and time-consuming. These factors restrict the application of the TDE method in pinpointing pipeline leakage. A method for inverse identification of pipe embedding parameters using discrete wavenumbers obtained in field testing is presented in this paper, and the differential evolution algorithm is introduced as an optimization solution. A field experiment is conducted to validate the method, and the test wavenumbers are measured in a cast-iron pipeline. The estimated sensitive parameters in the analytical model using the method are soil elastic modulus, Poisson’s ratio, and pipe–soil contact coefficient, while the conventional soil test is used to measure the soil density due to the character of the optimization algorithm and the soil properties. The application effects show that the estimated parameters are close to those measured from a conventional soil test. The wave speed based on the estimated parameters was an excellent match for the on-site test in the engineering application. This work provides a less costly and more straightforward way to apply the TDE method for leak localization in buried pipelines. Full article
(This article belongs to the Topic Advances in Non-Destructive Testing Methods)
Show Figures

Figure 1

17 pages, 5556 KB  
Article
High-Precision Source Positions Obtained by the Combined Inversion of Different-Order Local Wavenumbers Derived from Aeromagnetic Data
by Guoqing Ma, Nan Wang and Lili Li
Remote Sens. 2022, 14(3), 591; https://doi.org/10.3390/rs14030591 - 26 Jan 2022
Cited by 1 | Viewed by 2576
Abstract
The aeromagnetic survey is a common remote sensing tool for detecting iron deposits. The local wavenumber of a magnetic anomaly is used to interpret the edges or positions of the sources, and can involve first- or second-order local wavenumbers. In this paper, we [...] Read more.
The aeromagnetic survey is a common remote sensing tool for detecting iron deposits. The local wavenumber of a magnetic anomaly is used to interpret the edges or positions of the sources, and can involve first- or second-order local wavenumbers. In this paper, we derived a linear equation between the second-order local wavenumber and the source location; therefore, we propose a constraint of first and second-order local wavenumbers. Tests on synthetic data show that the source parameters, computed using a combination of equations that involved different-order local wavenumbers, are closer to the true values and show a smaller spread in estimated values. For gridded data, we proved that the different-order combination allowed us to accurately estimate the source position. When applied to the aeromagnetic data from Hebei province, China, we refined the location of most magnetic features, which we interpreted as possible iron deposits. Full article
Show Figures

Graphical abstract

16 pages, 4626 KB  
Technical Note
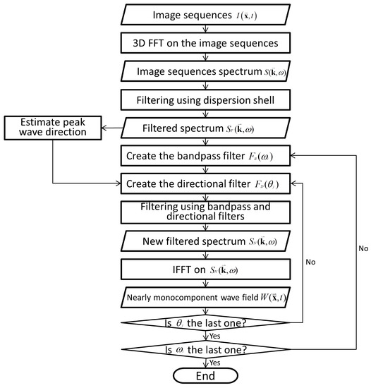
Bathymetry Determination Based on Abundant Wavenumbers Estimated from the Local Phase Gradient of X-Band Radar Images
by Laurence Zsu-Hsin Chuang, Li-Chung Wu, Yung-Da Sun and Jian-Wu Lai
Remote Sens. 2021, 13(21), 4240; https://doi.org/10.3390/rs13214240 - 22 Oct 2021
Cited by 4 | Viewed by 2388
Abstract
A phase gradient (PG)-based algorithm is proposed in this study to determine coastal bathymetry from X-band radar images. Although local wavenumbers with the same spatial resolution of the wave field can be obtained from the wave field using the PG method, only a [...] Read more.
A phase gradient (PG)-based algorithm is proposed in this study to determine coastal bathymetry from X-band radar images. Although local wavenumbers with the same spatial resolution of the wave field can be obtained from the wave field using the PG method, only a single wavenumber result can be extracted from each location theoretically. Due to the influence of unavoidable noise on the wave field image, single wavenumber estimation often shows high uncertainty. This study combines a bandpass filter and directional pass filter to produce different nearly monocomponent wave fields from X-band radar images and then estimates more wavenumbers from these wave fields using the PG method. However, the distributions of wavenumbers in higher-frequency bins still show high variance because the strength of wave signals is weak. We confirmed that the uncertain wavenumber–frequency pairs can be improved using the Kalman filter and are more consistent with the dispersion relation curve. To decrease the influence of inaccurate wavenumbers, we also use the strength of the wave signals as the weights for the least-squares fit. Although the depth errors from shallow-water areas are still unavoidable, we can remove the inaccurate depth estimation from shallow-water areas according to the coefficients of determination of the fitting. In summary, the algorithm proposed in this study can obtain a bathymetry map with high spatial resolution. In contrast to the depth result estimated using a single wavenumber of each frequency bin, we confirm that more wavenumbers from each of the frequency bins are helpful in fitting the dispersion relation curve and obtaining a more reliable depth result. Full article
Show Figures

Figure 1

25 pages, 3442 KB  
Article
Time-Domain Multidimensional Deconvolution: A Physically Reliable and Stable Preconditioned Implementation
by David Vargas, Ivan Vasconcelos, Matteo Ravasi and Nick Luiken
Remote Sens. 2021, 13(18), 3683; https://doi.org/10.3390/rs13183683 - 15 Sep 2021
Cited by 21 | Viewed by 4593
Abstract
Multidimensional deconvolution constitutes an essential operation in a variety of geophysical scenarios at different scales ranging from reservoir to crustal, as it appears in applications such as surface multiple elimination, target-oriented redatuming, and interferometric body-wave retrieval just to name a few. Depending on [...] Read more.
Multidimensional deconvolution constitutes an essential operation in a variety of geophysical scenarios at different scales ranging from reservoir to crustal, as it appears in applications such as surface multiple elimination, target-oriented redatuming, and interferometric body-wave retrieval just to name a few. Depending on the use case, active, microseismic, or teleseismic signals are used to reconstruct the broadband response that would have been recorded between two observation points as if one were a virtual source. Reconstructing such a response relies on the the solution of an ill-conditioned linear inverse problem sensitive to noise and artifacts due to incomplete acquisition, limited sources, and band-limited data. Typically, this inversion is performed in the Fourier domain where the inverse problem is solved per frequency via direct or iterative solvers. While this inversion is in theory meant to remove spurious events from cross-correlation gathers and to correct amplitudes, difficulties arise in the estimation of optimal regularization parameters, which are worsened by the fact they must be estimated at each frequency independently. Here we show the benefits of formulating the problem in the time domain and introduce a number of physical constraints that naturally drive the inversion towards a reduced set of stable, meaningful solutions. By exploiting reciprocity, time causality, and frequency-wavenumber locality a set of preconditioners are included at minimal additional cost as a way to alleviate the dependency on an optimal damping parameter to stabilize the inversion. With an interferometric redatuming example, we demonstrate how our time domain implementation successfully reconstructs the overburden-free reflection response beneath a complex salt body from noise-contaminated up- and down-going transmission responses at the target level. Full article
(This article belongs to the Special Issue Advances in Seismic Interferometry)
Show Figures

Graphical abstract

22 pages, 1430 KB  
Article
Reduced Linear Constrained Elastic and Viscoelastic Homogeneous Cosserat Media as Acoustic Metamaterials
by Elena F. Grekova, Alexey V. Porubov and Francesco dell’Isola
Symmetry 2020, 12(4), 521; https://doi.org/10.3390/sym12040521 - 2 Apr 2020
Cited by 22 | Viewed by 3334
Abstract
We consider the reduced constrained linear Cosserat continuum, a particular type of a Cosserat medium, for three different material behaviors or symmetries: the isotropic elastic case, a special type of elastic transversely isotropic case, and the isotropic viscoelastic case. Such continua, in which [...] Read more.
We consider the reduced constrained linear Cosserat continuum, a particular type of a Cosserat medium, for three different material behaviors or symmetries: the isotropic elastic case, a special type of elastic transversely isotropic case, and the isotropic viscoelastic case. Such continua, in which stresses do not work on rates of microrotation gradients, behave as acoustic metamaterials for the (pure) shear waves and also for one branch of the mixed wave in the considered anisotropic material case. In elastic media, those waves do not propagate for frequencies exceeding a certain threshold, whence these media exhibit a single negative acoustic metamaterial behavior in this range. In the isotropic viscoelastic case, dissipation destroys the bandgap and favors wave propagation. This curious effect is, probably, due to the fact that the bandgap is associated not with the dissipation, but with the wave localization which can be destroyed by the viscosity. The dispersion curve is now decreasing in some part of the former bandgap, above a certain frequency, whence the medium is a double negative acoustic metamaterial. We prove the existence of a boundary wavenumber in the viscoelastic case and estimate its value. Below the characteristic frequency corresponding to the boundary of the elastic bandgap, the wave attenuation (logarithmic decrement) is a growing function of the viscous dissipation parameter. Above this frequency, the attenuation decreases as the viscosity increases. Full article
(This article belongs to the Special Issue Recent Advances in the Study of Symmetry and Continuum Mechanics)
Show Figures

Figure 1

12 pages, 4967 KB  
Article
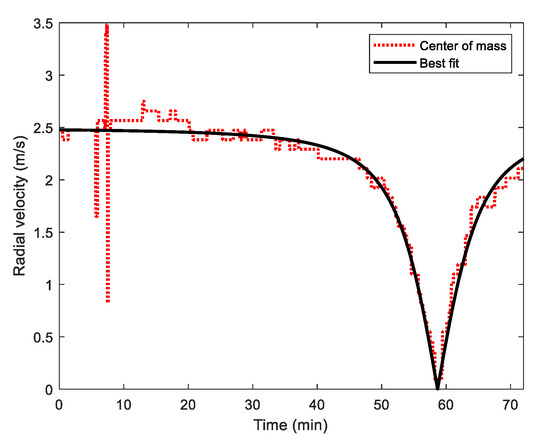
Range Localization of a Moving Source Based on Synthetic Aperture Beamforming Using a Single Hydrophone in Shallow Water
by Jin-Yan Du, Zong-Wei Liu and Lian-Gang Lü
Appl. Sci. 2020, 10(3), 1005; https://doi.org/10.3390/app10031005 - 3 Feb 2020
Cited by 2 | Viewed by 2738
Abstract
To localize a moving source in shallow water with a single hydrophone, a passive range localization method based on synthetic aperture beamforming is proposed. First, the horizontal wavenumber spectrum excited by the source is obtained by synthetic aperture beamforming. Then, according to the [...] Read more.
To localize a moving source in shallow water with a single hydrophone, a passive range localization method based on synthetic aperture beamforming is proposed. First, the horizontal wavenumber spectrum excited by the source is obtained by synthetic aperture beamforming. Then, according to the theoretical derivation (when the integration time is short, the maximum value of the horizontal wavenumber spectrum is related to the average horizontal wavenumber and the radial velocity of the source), the radial velocity can be obtained after obtaining the average horizontal wavenumber. Finally, in the case where there is a closest point of approach (CPA), the range can be recovered from estimation of the range and time of CPA, and from the constant source speed alone the linear track by fitting the source velocity with the model of radial velocity. The only a priori information required is the sound velocity in water. The processing results using simulated data and SWellEx-96 experimental data show that the proposed method can effectively estimate the range of a moving source in shallow sea. Full article
(This article belongs to the Section Acoustics and Vibrations)
Show Figures

Figure 1

24 pages, 41530 KB  
Article
UBathy: A New Approach for Bathymetric Inversion from Video Imagery
by Gonzalo Simarro, Daniel Calvete, Pau Luque, Alejandro Orfila and Francesca Ribas
Remote Sens. 2019, 11(23), 2722; https://doi.org/10.3390/rs11232722 - 20 Nov 2019
Cited by 39 | Viewed by 5349
Abstract
A new approach to infer the bathymetry from coastal video monitoring systems is presented. The methodology uses principal component analysis of the Hilbert transform of video images to obtain the components of the wave propagation field and their corresponding frequency and wavenumber. Incident [...] Read more.
A new approach to infer the bathymetry from coastal video monitoring systems is presented. The methodology uses principal component analysis of the Hilbert transform of video images to obtain the components of the wave propagation field and their corresponding frequency and wavenumber. Incident and reflected constituents and subharmonics components are also found. Local water depth is then successfully estimated through wave dispersion relationship. The method is first applied to monochromatic and polychromatic synthetic wave trains propagated using linear wave theory over an alongshore uniform bathymetry in order to analyze the influence of different parameters on the results. To assess the ability of the approach to infer the bathymetry under more realistic conditions and to explore the influence of other parameters, nonlinear wave propagation is also performed using a fully nonlinear Boussinesq-type model over a complex bathymetry. In the synthetic cases, the relative root mean square error obtained in bathymetry recovery (for water depths 0.75 m h 8.0 m ) ranges from ∼1% to ∼3% for infinitesimal-amplitude wave cases (monochromatic or polychromatic) to ∼15% in the most complex case (nonlinear polychromatic waves). Finally, the new methodology is satisfactorily validated through a real field site video. Full article
(This article belongs to the Section Remote Sensing in Geology, Geomorphology and Hydrology)
Show Figures

Graphical abstract

Back to TopTop