Sign in to use this feature.

Years

Between: -

Subjects

remove_circle_outline
remove_circle_outline
remove_circle_outline
remove_circle_outline
remove_circle_outline
remove_circle_outline
remove_circle_outline
remove_circle_outline
remove_circle_outline

Journals

remove_circle_outline
remove_circle_outline
remove_circle_outline
remove_circle_outline
remove_circle_outline
remove_circle_outline
remove_circle_outline
remove_circle_outline
remove_circle_outline
remove_circle_outline
remove_circle_outline
remove_circle_outline
remove_circle_outline
remove_circle_outline
remove_circle_outline
remove_circle_outline
remove_circle_outline
remove_circle_outline
remove_circle_outline
remove_circle_outline
remove_circle_outline

Article Types

Countries / Regions

remove_circle_outline
remove_circle_outline
remove_circle_outline
remove_circle_outline
remove_circle_outline
remove_circle_outline
remove_circle_outline
remove_circle_outline

Search Results (2,129)

Search Parameters:
Keywords = load regression

Order results
Result details
Results per page
Select all
Export citation of selected articles as:
25 pages, 4862 KB  
Article
Including Eye Movement in the Assessment of Physical Fatigue Under Different Loading Types and Road Slopes
by Yixuan Wei, Xueli Wen, Shu Wang, Lanyun Zhang, Jianwu Chen and Longzhe Jin
J. Eye Mov. Res. 2026, 19(1), 13; https://doi.org/10.3390/jemr19010013 (registering DOI) - 27 Jan 2026
Abstract
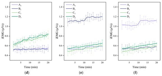
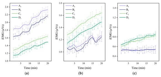
Background: Emergency rescuers frequently carry heavy equipment for extended periods, making musculoskeletal disorders a major occupational concern. Loading type and road slope play important roles in inducing physical fatigue; however, the assessment of physical fatigue under these conditions remains limited. Aim: [...] Read more.
Background: Emergency rescuers frequently carry heavy equipment for extended periods, making musculoskeletal disorders a major occupational concern. Loading type and road slope play important roles in inducing physical fatigue; however, the assessment of physical fatigue under these conditions remains limited. Aim: This study aims to investigate physical fatigue under different loading types and road slope conditions using both electromyography (EMG) and eye movement metrics. In particular, this work focuses on eye movement metrics as a non-contact data source in comparison with EMG, which remains largely unexplored for physical fatigue assessment. Method: Prolonged load-bearing walking was simulated to replicate the physical demands experienced by emergency rescuers. Eighteen male participants completed experimental trials incorporating four loading types and three road slope conditions. Results: (1) Loading type and road slope significantly affected EMG activity, eye movement metrics, and perceptual responses. (2) Saccade time (ST), saccade speed (SS), and saccade amplitude (SA) exhibited significant differences in their rates of change across three stages defined by perceptual fatigue. ST, SS, and SA showed strong correlations with subjective fatigue throughout the entire load-bearing walking process, whereas pupil diameter demonstrated only a moderate correlation with subjective ratings. (3) Eye movement metrics were incorporated into multivariate quadratic regression models to quantify physical fatigue under different loading types and road slope conditions. Conclusions: These findings enhance the understanding of physical fatigue mechanisms by demonstrating the potential of eye movement metrics as non-invasive indicators for multidimensional fatigue monitoring in work environments involving varying loading types and road slopes. Full article
Show Figures

Graphical abstract

25 pages, 2206 KB  
Article
Adaptive Bayesian System Identification for Long-Term Forecasting of Industrial Load and Renewables Generation
by Lina Sheng, Zhixian Wang, Xiaowen Wang and Linglong Zhu
Electronics 2026, 15(3), 530; https://doi.org/10.3390/electronics15030530 - 26 Jan 2026
Abstract
The expansion of renewables in modern power systems and the coordinated development of upstream and downstream industrial chains are promoting a shift on the utility side from traditional settlement by energy toward operation driven by data and models. Industrial electricity consumption data exhibit [...] Read more.
The expansion of renewables in modern power systems and the coordinated development of upstream and downstream industrial chains are promoting a shift on the utility side from traditional settlement by energy toward operation driven by data and models. Industrial electricity consumption data exhibit pronounced multi-scale temporal structures and sectoral heterogeneity, which makes unified long-term load and generation forecasting while maintaining accuracy, interpretability, and scalability a challenge. From a modern system identification perspective, this paper proposes a System Identification in Adaptive Bayesian Framework (SIABF) for medium- and long-term industrial load forecasting based on daily freeze electricity time series. By combining daily aggregation of high-frequency data, frequency domain analysis, sparse identification, and long-term extrapolation, we first construct daily freeze series from 15 min measurements, and then we apply discrete Fourier transforms and a spectral complexity index to extract dominant periodic components and build an interpretable sinusoidal basis library. A sparse regression formulation with 1 regularization is employed to select a compact set of key basis functions, yielding concise representations of sector and enterprise load profiles and naturally supporting multivariate and joint multi-sector modeling. Building on this structure, we implement a state-space-implicit physics-informed Bayesian forecasting model and evaluate it on real data from three representative sectors, namely, steel, photovoltaics, and chemical, using one year of 15 min measurements. Under a one-month-ahead evaluation using one year of 15 min measurements, the proposed framework attains a Mean Absolute Percentage Error (MAPE) of 4.5% for a representative PV-related customer case and achieves low single-digit MAPE for high-inertia sectors, often outperforming classical statistical models, sparse learning baselines, and deep learning architectures. These results should be interpreted as indicative given the limited time span and sample size, and broader multi-year, population-level validation is warranted. Full article
(This article belongs to the Section Systems & Control Engineering)
16 pages, 836 KB  
Article
Subsequent Physical Activity–Related Musculoskeletal Injuries in University Students: The Role of Body Composition, Training Weekly Load, and Physical Activity Intensity
by Edyta Kopacka and Jarosław Domaradzki
J. Clin. Med. 2026, 15(3), 961; https://doi.org/10.3390/jcm15030961 (registering DOI) - 25 Jan 2026
Abstract
Background/Objectives: Subsequent musculoskeletal injuries are frequent among physically active young adults, yet the roles of body composition, training weekly load (TWL), and physical activity intensity in subsequent injury occurrence remain unclear. This study examined the associations of body composition indices and training-related [...] Read more.
Background/Objectives: Subsequent musculoskeletal injuries are frequent among physically active young adults, yet the roles of body composition, training weekly load (TWL), and physical activity intensity in subsequent injury occurrence remain unclear. This study examined the associations of body composition indices and training-related variables with subsequent injuries in university students and explored whether combining key markers from body composition and training exposure improves discrimination compared with single markers. Methods: The analysis included 418 students from two cohorts merged after confirming negligible between-cohort differences. Participants completed questionnaires on injury history and physical activity and underwent standardized anthropometric and body composition assessments. Intrinsic factors included fat mass index (FMI) and skeletal muscle mass index (SMI), while extrinsic factors comprised training weekly load (TWL), total physical activity (TPA), and vigorous activity percentage (VPA%). Subsequent injury (yes/no) served as the primary outcome. Injuries were assessed retrospectively over the preceding 12 months; subsequent injury was defined as ≥1 injury occurring after a previous (index) injury within this recall period. Analyses used univariate and multivariable logistic regression and exploratory Receiver Operating Characteristic (ROC) analyses for individual markers and combined models. Results: SMI was associated with subsequent injury (OR = 1.09, 95% CI: 1.03–1.15). TWL showed a weak, non-significant association (OR = 1.03, p = 0.307). Models combining SMI and TWL, including their interaction, did not meaningfully improve discrimination compared with SMI alone. ROC analyses indicated limited discriminatory ability across models (AUCs < 0.65), suggesting poor accuracy for identifying individuals with subsequent injury based on these markers. Conclusions: The examined body composition, training weekly load (TWL), and physical activity measures alone or combined showed limited discriminatory utility for subsequent injury status in this cross-sectional sample. These findings support the multifactorial nature of injury susceptibility and indicate that simple anthropometric or TWL-based measures are not suitable as standalone screening tools for subsequent injury in active university populations. Full article
(This article belongs to the Section Orthopedics)
Show Figures

Figure 1

30 pages, 430 KB  
Article
An Hour-Specific Hybrid DNN–SVR Framework for National-Scale Short-Term Load Forecasting
by Ervin Čeperić and Kristijan Lenac
Sensors 2026, 26(3), 797; https://doi.org/10.3390/s26030797 - 25 Jan 2026
Abstract
Short-term load forecasting (STLF) underpins the efficient and secure operation of power systems. This study develops and evaluates a hybrid architecture that couples deep neural networks (DNNs) with support vector regression (SVR) for national-scale day-ahead STLF using Croatian load data from 2006 to [...] Read more.
Short-term load forecasting (STLF) underpins the efficient and secure operation of power systems. This study develops and evaluates a hybrid architecture that couples deep neural networks (DNNs) with support vector regression (SVR) for national-scale day-ahead STLF using Croatian load data from 2006 to 2022. The approach employs an hour-specific framework of 24 hybrid models: each DNN learns a compact nonlinear representation for a given hour, while an SVR trained on the penultimate layer activations performs the final regression. Gradient-boosting-based feature selection yields compact, informative inputs shared across all model variants. To overcome limitations of historical local measurements, the framework integrates global numerical weather prediction data from the TIGGE archive with load and local meteorological observations in an operationally realistic setup. In the held-out test year 2022, the proposed hybrid consistently reduced forecasting error relative to standalone DNN-, LSTM- and Transformer-based baselines, while preserving a reproducible pipeline. Beyond using SVR as an alternative output layer, the contributions are as follows: addressing a 17-year STLF task, proposing an hour-specific hybrid DNN–SVR framework, providing a systematic comparison with deep learning baselines under a unified protocol, and integrating global weather forecasts into a practical day-ahead STLF solution for a real power system. Full article
(This article belongs to the Section Cross Data)
Show Figures

Figure 1

28 pages, 2364 KB  
Article
Stochastic Modelling of Dry-Clutch Coefficient of Friction for a Wide Range of Operating Conditions
by Krunoslav Haramina, Branimir Škugor, Matija Hoić, Nenad Kranjčević, Joško Deur and Andreas Tissot
Appl. Sci. 2026, 16(3), 1177; https://doi.org/10.3390/app16031177 - 23 Jan 2026
Viewed by 50
Abstract
This paper presents a stochastic regression model for predicting the coefficient of friction (COF) in automotive dry clutches with organic linings. The influence of temperature, normal load, and slip speed on COF behaviour is investigated based on a large set of clutch wear-characterization [...] Read more.
This paper presents a stochastic regression model for predicting the coefficient of friction (COF) in automotive dry clutches with organic linings. The influence of temperature, normal load, and slip speed on COF behaviour is investigated based on a large set of clutch wear-characterization data, collected using a custom-designed disc-on-disc tribometer that replicates realistic clutch-engagement cycles. The proposed model calculates both the expected value and standard deviation of the COF. The COF expectation model takes temperature, normal load, and slip speed as inputs, and it has a cubic polynomial form selected through a feature-selection method. The COF standard deviation model is fed by the same three inputs or alternatively the COF expectation input, and it is parameterized using the maximum likelihood method. The overall model is validated on an independent characterization dataset and an additional dataset gained through separate experiments designed to mimic real driving conditions. Full article
(This article belongs to the Section Mechanical Engineering)
17 pages, 449 KB  
Article
Optimizing Signaling Strategies in Online Teaching: A Data-Driven Approach
by Maria Osipenko
Multimedia 2026, 2(1), 2; https://doi.org/10.3390/multimedia2010002 - 22 Jan 2026
Viewed by 47
Abstract
Effective signaling in instructional materials—through cues such as highlights, arrows, and annotations—can guide learner attention, reduce cognitive load, and enhance comprehension in multimedia-rich online courses. While the benefits of signaling are well documented, little is known about how combinations of signaling strategies influence [...] Read more.
Effective signaling in instructional materials—through cues such as highlights, arrows, and annotations—can guide learner attention, reduce cognitive load, and enhance comprehension in multimedia-rich online courses. While the benefits of signaling are well documented, little is known about how combinations of signaling strategies influence both the average performance and the consistency of student outcomes. In this study, we propose a data-driven approach to evaluate and optimize signaling strategies in online teaching. Using lecture materials from three semesters of introductory and intermediate statistics courses, we extracted multiple features of textual and visual signaling, including highlighted words, annotated formulas, arrows, and notes. Principal Component Analysis identified four distinct signaling strategies employed by the instructor. We then applied a heteroscedastic beta regression model to link these strategies to topic-level exam performance, allowing simultaneous assessment of mean learning outcomes and their variability. Results show that strategies combining formula highlighting with arrows and detailed notes improve both the average proportion of successful learners and the stability of outcomes, while relying solely on formula highlighting increases variability. Our findings provide actionable guidance for instructors to design effective signaling strategies, and demonstrate a flexible framework for data-driven evaluation of teaching practices in online learning environments. Full article
Show Figures

Figure 1

19 pages, 9300 KB  
Article
Performance Analysis and Predictive Modeling of Microinverters Under Varying Environmental Conditions
by Sahin Gullu, Mehmet Onur Kok and Khalil Alluhaybi
Electronics 2026, 15(2), 472; https://doi.org/10.3390/electronics15020472 - 22 Jan 2026
Viewed by 16
Abstract
This study conducts both experimental and statistical analyses of microinverter performance within a compact AC-PV module that integrates a PV panel and a microinverter without battery integration. Using measurement data in combination with correlation analysis, derived thermal indicators, and quadratic regression modeling, the [...] Read more.
This study conducts both experimental and statistical analyses of microinverter performance within a compact AC-PV module that integrates a PV panel and a microinverter without battery integration. Using measurement data in combination with correlation analysis, derived thermal indicators, and quadratic regression modeling, the research provides a comprehensive quantitative assessment of microinverter behavior under practical operating conditions. A central finding is that the PV module’s temperature rise above ambient, ΔTmodule, serves as the most reliable single predictor of output power with a coefficient of determination of R2 = 0.85. The coefficient determination of ΔTmodule surpasses even solar irradiance and the microinverter temperature rise, ΔTmicro, with R2 = 0.80 and R2 = 0.75, respectively. This underscores the excess thermal loading of the module, rather than the absolute temperature alone. In contrast, ambient temperature (R2 = 0.04) proves to be a negligible variable for output power prediction. Also, comparing experimental temperatures with semi-empirical models showed that the PV temperature formula captures key thermal behavior, and the difference between theoretical and measured values is around 12%. From a design standpoint, these results highlight that enhancing thermal management at the module–inverter interface can directly improve output stability and ensure battery integration in the long-term reliability of an AC-PV module in future studies. Full article
Show Figures

Figure 1

22 pages, 4146 KB  
Article
Machine Learning-Guided Inverse Analysis for Optimal Catalytic Pyrolysis Parameters in Hydrogen Production from Biomass
by Vishal V. Persaud, Abderrachid Hamrani, Medeba Uzzi and Norman D. H. Munroe
Catalysts 2026, 16(1), 105; https://doi.org/10.3390/catal16010105 - 21 Jan 2026
Viewed by 87
Abstract
Catalytic pyrolysis (CP) of biomass is a promising method for producing sustainable hydrogen because lignocellulosic biomass is widely available, renewable, and approximately carbon-neutral. CP of biomass is influenced by complex, interdependent process parameters, making optimization challenging and time-consuming using traditional methods. This study [...] Read more.
Catalytic pyrolysis (CP) of biomass is a promising method for producing sustainable hydrogen because lignocellulosic biomass is widely available, renewable, and approximately carbon-neutral. CP of biomass is influenced by complex, interdependent process parameters, making optimization challenging and time-consuming using traditional methods. This study investigated a two-stage machine learning (ML) framework fortified with Bayesian optimization to enhance hydrogen production from CP. The ML models were used to classify and predict hydrogen yield using a dataset of 306 points with 14 input features. The classification stage identified conditions favorable for good hydrogen yield, while the regression model (second stage) quantitatively predicted hydrogen yield. The random forest classifier and regressor demonstrated superior capabilities, achieving R2 scores of 1.0 and 0.8, respectively. The model demonstrated strong agreement with experimental data and effectively captured the key factors driving hydrogen production. Shapley Additive exPlanation (SHAP) identified temperature and catalyst properties (nickel loading) as the most influential parameters. The inverse analysis framework validated the model’s ability to determine optimal conditions for predicting targeted hydrogen yields by comparing it to experimental data reported in the literature. This AI-driven approach provides a scalable and data-efficient tool for optimizing processes in sustainable hydrogen production. Full article
Show Figures

Graphical abstract

15 pages, 604 KB  
Article
The Double-High Phenotype: Synergistic Impact of Metabolic and Arterial Load on Ambulatory Blood Pressure Instability
by Ahmet Yilmaz and Azmi Eyiol
J. Clin. Med. 2026, 15(2), 872; https://doi.org/10.3390/jcm15020872 - 21 Jan 2026
Viewed by 69
Abstract
Background/Objectives: Insulin resistance and ambulatory blood pressure monitoring (ABPM) abnormalities represent distinct but interrelated pathways contributing to cardiovascular risk. The triglyceride–glucose (TyG) index reflects metabolic burden, whereas arterial load—captured through arterial stiffness, blood pressure variability, and morning surge—reflects hemodynamic instability. Whether the coexistence [...] Read more.
Background/Objectives: Insulin resistance and ambulatory blood pressure monitoring (ABPM) abnormalities represent distinct but interrelated pathways contributing to cardiovascular risk. The triglyceride–glucose (TyG) index reflects metabolic burden, whereas arterial load—captured through arterial stiffness, blood pressure variability, and morning surge—reflects hemodynamic instability. Whether the coexistence of these domains identifies a particularly high-risk ambulatory phenotype remains unclear. To evaluate the independent and combined effects of metabolic burden (TyG) and arterial load on circadian blood pressure pattern and short-term systolic blood pressure variability. Methods: This retrospective cross-sectional study included 294 adults who underwent 24 h ABPM. Arterial load was defined using three ABPM-derived indices (high AASI, high SBP-ARV, high morning surge). High metabolic burden was defined as TyG in the upper quartile. The “double-high” phenotype was classified as high TyG plus high arterial load. Primary and secondary outcomes were non-dipping pattern and high SBP variability. Multivariable logistic regression and Firth penalized models were used to assess independent associations. Predictive performance was evaluated using ROC analysis. Results: The double-high phenotype (n = 15) demonstrated significantly higher nighttime SBP, reduced nocturnal dipping, and markedly elevated BP variability. It was the strongest independent predictor of non-dipping (adjusted OR = 42.0; Firth OR = 11.73; both p < 0.001) and high SBP variability (adjusted OR = 41.7; Firth OR = 26.29; both p < 0.001). Arterial load substantially improved model discrimination (AUC = 0.819 for non-dipping; 0.979 for SBP variability), whereas adding TyG to arterial load produced minimal incremental benefit. Conclusions: The coexistence of elevated TyG and increased arterial load defines a distinct hemodynamic endotype characterized by severe circadian blood pressure disruption and exaggerated short-term variability. While arterial load emerged as the principal determinant of adverse ambulatory blood pressure phenotypes, TyG alone demonstrated limited discriminative capacity. These findings suggest that TyG primarily acts as a metabolic modifier, amplifying adverse ambulatory blood pressure phenotypes predominantly in the presence of underlying arterial instability rather than serving as an independent discriminator. Integrating metabolic and hemodynamic domains may therefore improve risk stratification and help identify a small but clinically meaningful subgroup of patients with extreme ambulatory blood pressure dysregulation. Full article
(This article belongs to the Section Cardiology)
Show Figures

Figure 1

27 pages, 6287 KB  
Article
Fatigue Life of Long-Distance Natural Gas Pipelines with Internal Corrosion Defects Under Random Pressure Fluctuations
by Zilong Nan, Liqiong Chen, Xingyu Zhou and Chuan Cheng
Buildings 2026, 16(2), 442; https://doi.org/10.3390/buildings16020442 - 21 Jan 2026
Viewed by 72
Abstract
Long-distance natural gas pipelines with internal corrosion defects are susceptible to fatigue failure under operational pressure fluctuations, posing significant risks to infrastructure integrity and safety. To address this, the present study employs a finite element methodology, utilizing Ansys Workbench to model pipelines of [...] Read more.
Long-distance natural gas pipelines with internal corrosion defects are susceptible to fatigue failure under operational pressure fluctuations, posing significant risks to infrastructure integrity and safety. To address this, the present study employs a finite element methodology, utilizing Ansys Workbench to model pipelines of various specifications with parametrically defined corrosion defects, and nCode DesignLife to predict fatigue life based on Miner’s linear cumulative damage theory. The S-N curve for X70 steel was directly adopted, while a power-function model was fitted for X80 steel based on standards. A cleaned real-world pressure-time history was used as the load spectrum. Parametric analysis reveals that defect depth is the most influential factor, with a depth coefficient increase from 0.05 to 0.25, reducing fatigue life by up to 67.5%, while the influence of defect width is minimal. An empirical formula for fatigue life prediction was subsequently developed via multiple linear regression, demonstrating good agreement with simulation results and providing a practical tool for the residual life assessment and maintenance planning of in-service pipelines. Full article
Show Figures

Figure 1

17 pages, 4604 KB  
Article
Machine Learning Predictions of the Flexural Response of Low-Strength Reinforced Concrete Beams with Various Longitudinal Reinforcement Configurations
by Batuhan Cem Öğe, Muhammet Karabulut, Hakan Öztürk and Bulent Tugrul
Buildings 2026, 16(2), 433; https://doi.org/10.3390/buildings16020433 - 20 Jan 2026
Viewed by 200
Abstract
There are almost no studies that investigate the flexural behavior of existing reinforced concrete (RC) beams with insufficient concrete strength using machine learning methods. This study investigates the flexural response of low-strength concrete (LSC) RC beams reinforced exclusively with steel rebars, focusing on [...] Read more.
There are almost no studies that investigate the flexural behavior of existing reinforced concrete (RC) beams with insufficient concrete strength using machine learning methods. This study investigates the flexural response of low-strength concrete (LSC) RC beams reinforced exclusively with steel rebars, focusing on the effectiveness of three different longitudinal reinforcement configurations. Nine beams, each measuring 150 × 200 × 1100 mm and cast with C10-grade low-strength concrete, were divided into three groups according to their reinforcement layout: Group 1 (L2L) with two Ø12 mm rebars, Group 2 (L3L) with three Ø12 mm rebars, and Group 3 (F10L3L) with three Ø10 mm rebars. All specimens were tested under three-point bending to evaluate their load–deflection characteristics and failure mechanisms. The experimental findings were compared with ML approaches. To enhance predictive understanding, several ML regression models were developed and trained using the experimental datasets. Among them, the Light Gradient Boosting, K Neighbors Regressor and Adaboost Regressor exhibited the best predictive performance, estimating beam deflections with R2 values of 0.89, 0.90, 0.94, 0.74, 0.84, 0.64, 0.70, 0.82, and 0.72, respectively. The results highlight that the proposed ML models effectively capture the nonlinear flexural behavior of RC beams and that longitudinal reinforcement configuration plays a significant role in the flexural performance of low-strength concrete beams, providing valuable insights for both design and structural assessment. Full article
(This article belongs to the Section Construction Management, and Computers & Digitization)
Show Figures

Figure 1

12 pages, 1759 KB  
Communication
Cervical Spine Degeneration in Rugby Players: Position-Specific Differences in Radiographic and Clinical Outcomes Among 64 Brazilian Athletes
by Matheus Neves Castanheira, Yoshinobu Nagasse, Michel Kanas, Nelson Astur, Délio Eulálio Martins Filho, Felipe Neves Simões Monteiro and Marcelo Wajchenberg
J. Funct. Morphol. Kinesiol. 2026, 11(1), 43; https://doi.org/10.3390/jfmk11010043 - 20 Jan 2026
Viewed by 92
Abstract
Background: Rugby exposes athletes to high mechanical loads, especially during scrums and tackles, potentially predisposing players to early cervical spine degeneration. This study evaluated the prevalence of degenerative changes in the cervical spine and sagittal alignment alterations in Brazilian rugby athletes, with secondary [...] Read more.
Background: Rugby exposes athletes to high mechanical loads, especially during scrums and tackles, potentially predisposing players to early cervical spine degeneration. This study evaluated the prevalence of degenerative changes in the cervical spine and sagittal alignment alterations in Brazilian rugby athletes, with secondary analyses comparing forwards and backs and examining associations between alignment parameters and pain and disability. Methods: Sixty-four professional rugby athletes underwent cervical spine radiography, and the images were analyzed for degenerative findings and sagittal parameters (cervical lordosis, T1 slope, cervical sagittal vertical axis, and T1–CL mismatch). Pain and disability were assessed using the Visual Analogue Scale (VAS) and Neck Disability Index (NDI). Comparative analyses included Student’s t-test and Fisher’s exact test, while additional exploratory analyses were performed using correlation and multiple linear regression models. Results: Cervical degeneration was present in 20.3% of players. Forwards reported significantly greater pain than backs (VAS: 1.64 ± 1.58 vs. 0.76 ± 0.93; p = 0.007). Deviations in cervical lordosis (>2 SD from normative values) were associated with higher VAS scores (p = 0.024). No significant associations were found between T1 slope or cervical sagittal vertical axis and pain or disability. Conclusions: Forwards demonstrated greater symptom burden and a higher prevalence of cervical degenerative changes, suggesting that positional demands may contribute to early cervical spine alterations. These findings highlight the need for targeted preventive strategies and support future longitudinal investigations to clarify the progression and clinical relevance of cervical misalignment in collision-sport athletes. Full article
(This article belongs to the Section Athletic Training and Human Performance)
Show Figures

Figure 1

9 pages, 2536 KB  
Proceeding Paper
AutoML with Explainable AI Analysis: Optimization and Interpretation of Machine Learning Models for the Prediction of Hysteresis Behavior in Shape Memory Alloys
by Dmytro Tymoshchuk and Oleh Yasniy
Eng. Proc. 2026, 124(1), 4; https://doi.org/10.3390/engproc2026124004 - 20 Jan 2026
Viewed by 85
Abstract
This study presents an approach for predicting the hysteresis behavior of shape memory alloys (SMAs) based on automated machine learning (AutoML) integrated with explainable artificial intelligence (XAI). Experimental data from cyclic tests of NiTi wire under loading frequencies of 0.3, 0.5, 1, and [...] Read more.
This study presents an approach for predicting the hysteresis behavior of shape memory alloys (SMAs) based on automated machine learning (AutoML) integrated with explainable artificial intelligence (XAI). Experimental data from cyclic tests of NiTi wire under loading frequencies of 0.3, 0.5, 1, and 5 Hz were used for model development. The AutoML framework PyCaret enabled automated model selection, hyperparameter optimization, and performance comparison of regression algorithms. The highest prediction accuracy was achieved by the LightGBM model (for 0.3 Hz and 1 Hz) and the CatBoost model (for 0.5 Hz and 5 Hz), both demonstrating a coefficient of determination R2 > 0.997 and low MSE, MAE, and MAPE values. Integration of XAI through the SHAP method provided both global and local interpretability of the model’s behavior. The analysis revealed the dominant influence of the Stress parameter, the physically meaningful role of the loading or unloading stage (UpDown), and a gradual increase in the contribution of the Cycle parameter in later cycles, reflecting fatigue accumulation effects. The obtained results confirm the high accuracy, interpretability, and physical consistency of the developed models. Full article
(This article belongs to the Proceedings of The 6th International Electronic Conference on Applied Sciences)
Show Figures

Figure 1

16 pages, 585 KB  
Article
Completeness of Initial Laboratory Evaluation Impacts Chronic Hepatitis B Outcomes
by Haris Imsirovic, Jui-Hsia (Cleo) Hung, Asnake Y. Dumicho, Douglas Manuel, Derek R. MacFadden and Curtis L. Cooper
Livers 2026, 6(1), 5; https://doi.org/10.3390/livers6010005 - 20 Jan 2026
Viewed by 146
Abstract
Introduction: The health care burden of chronic hepatitis B virus (CHB) infection can be reduced by appropriate workup, treatment, and monitoring. Methods: As a primary objective, we determined whether adequate initial hepatitis B virus (HBV) laboratory workup in CHB patients is associated with [...] Read more.
Introduction: The health care burden of chronic hepatitis B virus (CHB) infection can be reduced by appropriate workup, treatment, and monitoring. Methods: As a primary objective, we determined whether adequate initial hepatitis B virus (HBV) laboratory workup in CHB patients is associated with improved CHB complications risk. Secondary outcomes assessed included: mortality, hospitalization, emergency department, and liver specialist visits. We conducted a retrospective cohort study from 1 January 2012 to 31 December 2018. Participants were followed from 12 months post index event until outcome occurrence, death, loss of eligibility, or 31 March 2023. Health administrative data from Ontario, Canada was utilized. The study cohort included individuals with at least one positive result of either hepatitis B surface antigen, hepatitis B e antigen, or HBV DNA viral load documented during the study window. The exposure of interest was defined as adequate laboratory workup, defined as having subsequent quantitative HBV DNA, and alanine aminotransferase testing completed within 12 months of the index event. CHB-related complications were assessed using previously validated diagnostic codes. Modified Poisson regression modelling was used to estimate relative risks. Results: The study cohort consisted of 30,794 CHB patients, with a mean age 45.7 years. The majority were male (53.5%) and within the lowest two income quintiles (50.2%). In total, 68.0% underwent adequate workup. Individuals with adequate workup were more likely to be older, male, urban based, and of the highest racialized and newcomer populations quintile. The risk for CHB complications was 1.50 (95% CI 1.36–1.65) times greater among those with adequate workup. By multivariable analysis, adequate workup was associated with a lower risk of mortality (RR 0.78; 95% CI 0.69–0.87), all-cause hospitalizations (RR 0.77; 95% CI 0.74–0.80), all-cause (RR 0.77; 95% CI 0.75–0.78), and liver-related (RR 0.67; 95% CI 0.60–0.75) ED visits. Conclusions: Adequate CHB clinical workup is associated with improved patient outcomes. Our findings advocate for the comprehensive evaluation of CHB patients using key laboratory tests to optimize clinical management and improve long-term health outcomes. We identified gaps in the workup of young adults, females, and those residing in rural settings, which should be addressed to ensure equity of HBV care. Full article
Show Figures

Figure 1

20 pages, 3406 KB  
Article
Pilot-Scale Evaluation of Municipal Sewage Sludge Stabilization Using Vermifiltration
by Masoud Taheriyoun, Ahmad Ahamdi, Mohammad Nazari-Sharabian and Moses Karakouzian
Infrastructures 2026, 11(1), 31; https://doi.org/10.3390/infrastructures11010031 - 19 Jan 2026
Viewed by 67
Abstract
Sludge management is one of the most costly and technically challenging components of municipal wastewater treatment, highlighting the need for sustainable and low-cost stabilization technologies. This study evaluated a pilot-scale vermifiltration system for municipal sewage sludge stabilization under varying hydraulic and organic loading [...] Read more.
Sludge management is one of the most costly and technically challenging components of municipal wastewater treatment, highlighting the need for sustainable and low-cost stabilization technologies. This study evaluated a pilot-scale vermifiltration system for municipal sewage sludge stabilization under varying hydraulic and organic loading conditions. Three vermifilter pilots incorporating Eisenia andrei earthworms were operated using lightweight expanded clay aggregate (LECA), high-density polyethylene (HDPE) plastic media, and mineral pumice. The systems were tested at hydraulic loading rates (HLRs) of 150, 300, and 450 L/m2·d. Performance was assessed using chemical oxygen demand (COD), total solids (TS), volatile solids (VS), VS/TS ratio, sludge volume index (SVI), and sludge dewaterability indicators, including specific resistance to filtration (SRF) and time to filtration (TTF). Optimal performance occurred at an HLR of 150 L/m2·d, achieving maximum reductions of 49% in COD, 30% in TS, and 40% in VS, along with an SVI reduction of up to 78%. Increasing HLR significantly reduced treatment efficiency due to shorter retention times and biofilm washout. A regression analysis showed the strongest association between COD removal and organic loading rate (R2 = 0.63) under the coupled HLR–OLR conditions tested, while weaker correlations were observed for SVI and VS/TS. Dewaterability improved markedly after vermifiltration, particularly in the LECA-based system. Although filter media type did not significantly affect COD or SVI removal, pumice and plastic media provided greater hydraulic stability at higher loadings. These results demonstrate that vermifiltration is an effective and environmentally sustainable option for municipal sludge stabilization when operated under controlled hydraulic conditions. Full article
Show Figures

Figure 1

Back to TopTop