Machine Learning-Guided Inverse Analysis for Optimal Catalytic Pyrolysis Parameters in Hydrogen Production from Biomass
Abstract
1. Introduction
2. Results
2.1. Model Performance
2.1.1. Classification Models
2.1.2. Regression Models
2.2. Feature Importance and SHAP Analysis
2.3. Inverse Analysis
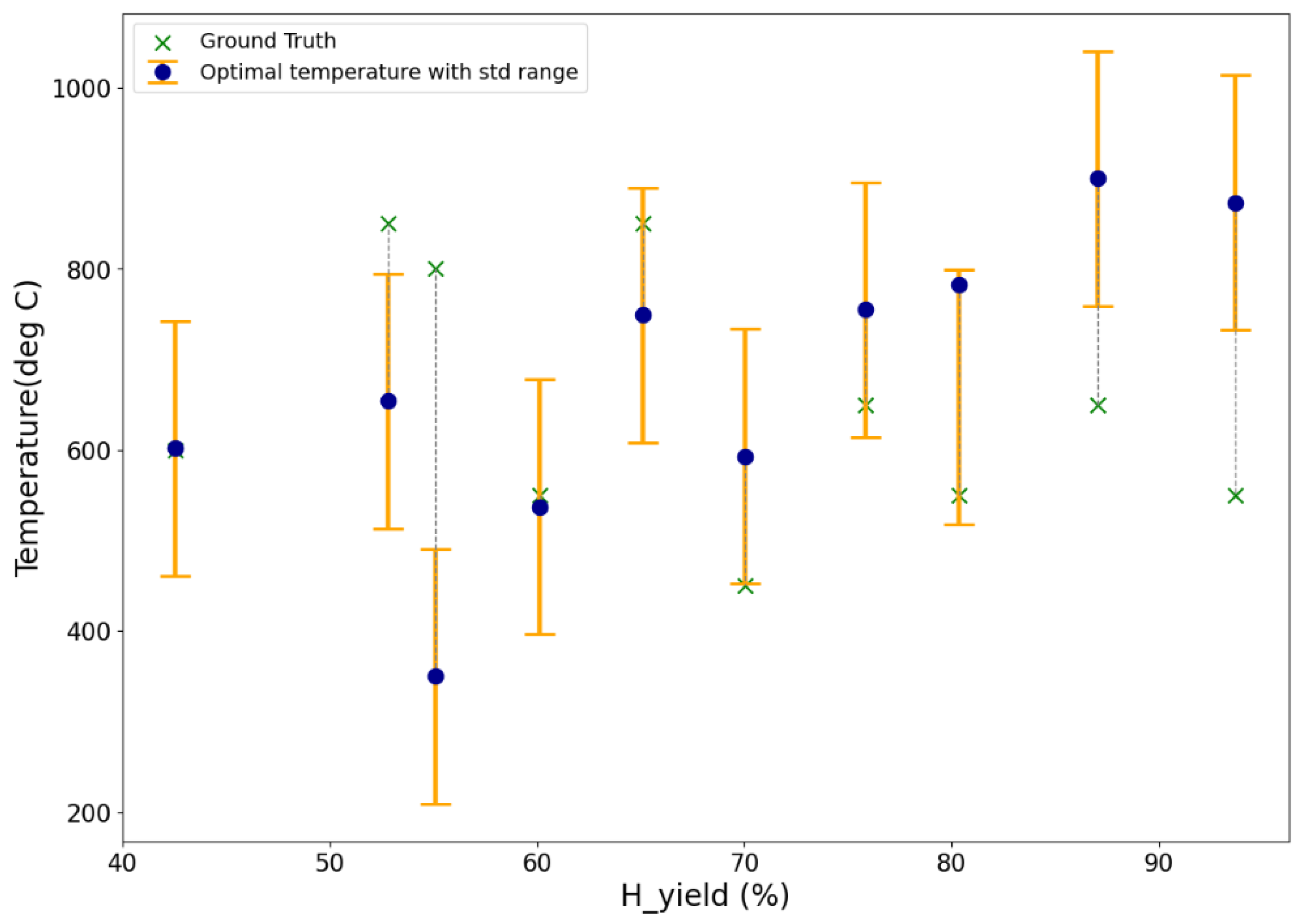
2.3.1. Temperature Optimization
2.3.2. Nickel Loading Optimization
2.3.3. Hydrogen Content in Biomass
2.3.4. Calcination Temperature Optimization
2.3.5. Catalyst Support Optimization
3. Discussion
4. Materials and Methods
4.1. Data Collection
Data Description
4.2. Data Preprocessing
4.3. Model Development
4.3.1. Stage 1—Classification
4.3.2. Stage 2—Regression
4.4. Forward Modelling Approach (FMA)
4.5. Inverse Analysis Through Bayesian Optimization
5. Conclusions
Author Contributions
Funding
Data Availability Statement
Acknowledgments
Conflicts of Interest
Appendix A
| Feature | Meaning | Units | Range |
|---|---|---|---|
| Biomass properties | |||
| MC | Moisture content | wt% | 0–23.1 |
| VM | Volatile matter | wt% | 0–93.37 |
| FC | Fixed carbon | wt% | 0–22 |
| AC | Ash content | wt% | 0–18 |
| C | Carbon | wt% | 29.86–61.33 |
| H | Hydrogen | wt% | 5.2–9.95 |
| O | Oxygen | wt% | 32.16–59.73 |
| N | Nitrogen | wt% | 0.1–2.26 |
| Reaction conditions | |||
| Itemp | Starting temperature | °C | 250–600 |
| Ftemp | Final/ending temperature | °C | 500–900 |
| t | Time | minutes | 30–180 |
| Catalyst properties | |||
| Ni_loading | Nickel loading | wt% | 5–38 |
| Cal_Temp | Calcination temperature | °C | 400–800 |
| Support | Catalyst support | - | - |
References
- IEA. Recommendations of the Global Commission on People-Centred Clean Energy Transitions. Available online: https://www.iea.org/reports/recommendations-of-the-global-commission-on-people-centred-clean-energy-transitions (accessed on 8 January 2026).
- International Energy Agency. Global Hydrogen Review 2022. Available online: https://www.iea.org/reports/global-hydrogen-review-2022 (accessed on 8 January 2026).
- Maniscalco, M.P.; Longo, S.; Cellura, M.; Miccichè, G.; Ferraro, M. Critical Review of Life Cycle Assessment of Hydrogen Production Pathways. Environments 2024, 11, 108. [Google Scholar] [CrossRef]
- Lopez, G.; Santamaria, L.; Lemonidou, A.; Zhang, S.; Wu, C.; Sipra, A.T.; Gao, N. Hydrogen Generation from Biomass by Pyrolysis. Nat. Rev. Methods Primers 2022, 2, 20. [Google Scholar] [CrossRef]
- Vuppaladadiyam, A.K.; Vuppaladadiyam, S.S.V.; Awasthi, A.; Sahoo, A.; Rehman, S.; Pant, K.K.; Murugavelh, S.; Huang, Q.; Anthony, E.; Fennel, P.; et al. Biomass Pyrolysis: A Review on Recent Advancements and Green Hydrogen Production. Bioresour. Technol. 2022, 364, 128087. [Google Scholar] [CrossRef] [PubMed]
- Morya, R.; Raj, T.; Lee, Y.; Kumar Pandey, A.; Kumar, D.; Rani Singhania, R.; Singh, S.; Prakash Verma, J.; Kim, S.-H. Recent Updates in Biohydrogen Production Strategies and Life–Cycle Assessment for Sustainable Future. Bioresour. Technol. 2022, 366, 128159. [Google Scholar] [CrossRef]
- Blanquet, E.; Williams, P.T. Biomass Pyrolysis Coupled with Non-Thermal Plasma/Catalysis for Hydrogen Production: Influence of Biomass Components and Catalyst Properties. J. Anal. Appl. Pyrolysis 2021, 159, 105325. [Google Scholar] [CrossRef]
- Yue, W.; Ma, X.; Yu, Z.; Liu, H.; Li, M.; Lu, X. Ni-CaO Bifunctional Catalyst for Biomass Catalytic Pyrolysis to Produce Hydrogen-Rich Gas. J. Anal. Appl. Pyrolysis 2023, 169, 105872. [Google Scholar] [CrossRef]
- Chen, W.-H.; Farooq, W.; Shahbaz, M.; Naqvi, S.R.; Ali, I.; Al-Ansari, T.; Saidina Amin, N.A. Current Status of Biohydrogen Production from Lignocellulosic Biomass, Technical Challenges and Commercial Potential through Pyrolysis Process. Energy 2021, 226, 120433. [Google Scholar] [CrossRef]
- Huang, F.; Baird, R.; Yi, W.; Sanna, A. Hydrogen Production by Sorption Enhanced Catalytic Pyrolysis of Lignin Waste in Presence of Novel Potassium Stannate. Int. J. Hydrogen Energy 2025, 103, 255–267. [Google Scholar] [CrossRef]
- Magoua Mbeugang, C.F.; Mahmood, F.; Ali, M.; Tang, J.; Li, B. H2-Rich Syngas Production and Tar Removal over Biochar-Supported Ni-Fe Bimetallic Catalysts during Catalytic Pyrolysis-Gasification of Biomass. Renew. Energy 2025, 243, 122547. [Google Scholar] [CrossRef]
- Xie, Y.; Zhang, Y.; He, L.; Jia, C.Q.; Yao, Q.; Sun, M.; Ma, X. Anti-Deactivation of Zeolite Catalysts for Residue Fluid Catalytic Cracking. Appl. Catal. A Gen. 2023, 657, 119159. [Google Scholar] [CrossRef]
- Efika, C.E.; Wu, C.; Williams, P.T. Syngas Production from Pyrolysis-Catalytic Steam Reforming of Waste Biomass in a Continuous Screw Kiln Reactor. J. Anal. Appl. Pyrolysis 2012, 95, 87–94. [Google Scholar] [CrossRef]
- Compagnoni, M.; Tripodi, A.; Di Michele, A.; Sassi, P.; Signoretto, M.; Rossetti, I. Low Temperature Ethanol Steam Reforming for Process Intensification: New Ni/MxO–ZrO2 Active and Stable Catalysts Prepared by Flame Spray Pyrolysis. Int. J. Hydrogen Energy 2017, 42, 28193–28213. [Google Scholar] [CrossRef]
- Tomczyk, A.; Sokołowska, Z.; Boguta, P. Biochar Physicochemical Properties: Pyrolysis Temperature and Feedstock Kind Effects. Rev. Environ. Sci. Bio.-Technol. 2020, 19, 191–215. [Google Scholar] [CrossRef]
- Waheed, Q.M.K.; Williams, P.T. Hydrogen Production from High Temperature Pyrolysis/Steam Reforming of Waste Biomass: Rice Husk, Sugar Cane Bagasse, and Wheat Straw. Energy Fuels 2013, 27, 6695–6704. [Google Scholar] [CrossRef]
- Ochoa, A.; Bilbao, J.; Gayubo, A.G.; Castaño, P. Coke Formation and Deactivation during Catalytic Reforming of Biomass and Waste Pyrolysis Products: A Review. Renew. Sustain. Energy Rev. 2020, 119, 109600. [Google Scholar] [CrossRef]
- Liu, H.; Tang, Y.; Ma, X.; Yue, W.; Chen, W. Catalytic Pyrolysis of Corncob with Ni/CaO Dual Functional Catalysts for Hydrogen-Rich Gas. J. Taiwan Inst. Chem. Eng. 2023, 150, 105059. [Google Scholar] [CrossRef]
- Chen, F.; Wu, C.; Dong, L.; Vassallo, A.; Williams, P.T.; Huang, J. Characteristics and Catalytic Properties of Ni/CaAlOx Catalyst for Hydrogen-Enriched Syngas Production from Pyrolysis-Steam Reforming of Biomass Sawdust. Appl. Catal. B 2016, 183, 168–175. [Google Scholar] [CrossRef]
- Ehinmowo, A.B.; Nwaneri, B.I.; Olaide, J.O. Predictive Modeling of Hydrogen Production and Methane Conversion from Biomass-Derived Methane Using Machine Learning and Optimisation Techniques. Next Energy 2025, 7, 100229. [Google Scholar] [CrossRef]
- Balsora, H.K.; Kartik, A.; Dua, V.; Joshi, J.B.; Kataria, G.; Sharma, A.; Chakinala, A.G. Machine Learning Approach for the Prediction of Biomass Pyrolysis Kinetics from Preliminary Analysis. J. Environ. Chem. Eng. 2022, 10, 108025. [Google Scholar] [CrossRef]
- Tang, Q.; Chen, Y.; Yang, H.; Liu, M.; Xiao, H.; Wang, S.; Chen, H.; Raza Naqvi, S. Machine Learning Prediction of Pyrolytic Gas Yield and Compositions with Feature Reduction Methods: Effects of Pyrolysis Conditions and Biomass Characteristics. Bioresour. Technol. 2021, 339, 125581. [Google Scholar] [CrossRef] [PubMed]
- Ding, C.; Zhang, Y.; Lu, B.; Feng, Y.; Li, W.; Peng, J.; Huang, H.; Cheng, Z.; Li, L.; Li, Y.; et al. AI Data-Driven Based In-Depth Interpretation and Inverse Design for Hydrogen Yield from Biogas Direct Reforming. ACS Sustain. Resour. Manag. 2024, 1, 2384–2393. [Google Scholar] [CrossRef]
- Hamrani, A.; Medarametla, A.; John, D.; Agarwal, A. Machine-Learning-Driven Optimization of Cold Spray Process Parameters: Robust Inverse Analysis for Higher Deposition Efficiency. Coatings 2024, 15, 12. [Google Scholar] [CrossRef]
- Salehi, E.; Azad, F.S.; Harding, T.; Abedi, J. Production of Hydrogen by Steam Reforming of Bio-Oil over Ni/Al2O3 Catalysts: Effect of Addition of Promoter and Preparation Procedure. Fuel Process. Technol. 2011, 92, 2203–2210. [Google Scholar] [CrossRef]
- Wu, C.; Wang, Z.; Huang, J.; Williams, P.T. Pyrolysis/Gasification of Cellulose, Hemicellulose and Lignin for Hydrogen Production in the Presence of Various Nickel-Based Catalysts. Fuel 2013, 106, 697–706. [Google Scholar] [CrossRef]
- Hu, Y.; Yu, Z.; Yue, W.; You, Z.; Ma, X. NiO-LaCoO3 Catalysts for Biomass Pyrolysis to Hydrogen-Rich Gas. J. Ind. Eng. Chem. 2024, 143, 382–391. [Google Scholar] [CrossRef]
- Hou, T.; Yuan, L.; Ye, T.; Gong, L.; Tu, J.; Yamamoto, M.; Torimoto, Y.; Li, Q. Hydrogen Production by Low-Temperature Reforming of Organic Compounds in Bio-Oil over a CNT-Promoting Ni Catalyst. Int. J. Hydrogen Energy 2009, 34, 9095–9107. [Google Scholar] [CrossRef]
- Fabrice Magoua Mbeugang, C.; Li, B.; Xie, X.; Wei, J.; Isa, Y.M.; Kozlov, A.; Penzik, M. Catalysis/Sorption Enhanced Pyrolysis-Gasification of Biomass for H2-Rich Gas Production: Effects of Various Nickel-Based Catalysts Addition and the Combination with Calcined Dolomite. Fuel 2024, 372, 132195. [Google Scholar] [CrossRef]
- Hamrani, A.; Agarwal, A.; Allouhi, A.; McDaniel, D. Applying Machine Learning to Wire Arc Additive Manufacturing: A Systematic Data-Driven Literature Review. J. Intell. Manuf. 2024, 35, 2407–2439. [Google Scholar] [CrossRef]
- Bilgiç, G.; Bendeş, E.; Öztürk, B.; Atasever, S. Recent Advances in Artificial Neural Network Research for Modeling Hydrogen Production Processes. Int. J. Hydrogen Energy 2023, 48, 18947–18977. [Google Scholar] [CrossRef]
- Liu, H.; Tang, Y.; Ma, X.; Yue, W. Catalytic Pyrolysis of Corncob with Ni/CaO Catalysts for Hydrogen-Rich Gas: Synthesis Modes and Catalyst/Biomass Ratios. J. Ind. Eng. Chem. 2023, 123, 51–61. [Google Scholar] [CrossRef]
- Akubo, K.; Nahil, M.A.; Williams, P.T. Pyrolysis-Catalytic Steam Reforming of Agricultural Biomass Wastes and Biomass Components for Production of Hydrogen/Syngas. J. Energy Inst. 2019, 92, 1987–1996. [Google Scholar] [CrossRef]
- Qinglan, H.; Chang, W.; Dingqiang, L.; Yao, W.; Dan, L.; Guiju, L. Production of Hydrogen-Rich Gas from Plant Biomass by Catalytic Pyrolysis at Low Temperature. Int. J. Hydrogen Energy 2010, 35, 8884–8890. [Google Scholar] [CrossRef]
- Ren, J.; Cao, J.-P.; Zhao, X.-Y.; Liu, Y.-L. Fundamentals and Applications of Char in Biomass Tar Reforming. Fuel Process. Technol. 2021, 216, 106782. [Google Scholar] [CrossRef]
- Yang, S.; Chen, L.; Sun, L.; Xie, X.; Zhao, B.; Si, H.; Zhang, X.; Hua, D. Novel Ni–Al Nanosheet Catalyst with Homogeneously Embedded Nickel Nanoparticles for Hydrogen-Rich Syngas Production from Biomass Pyrolysis. Int. J. Hydrogen Energy 2021, 46, 1762–1776. [Google Scholar] [CrossRef]
- Ochoa, A.; Barbarias, I.; Artetxe, M.; Gayubo, A.G.; Olazar, M.; Bilbao, J.; Castaño, P. Deactivation Dynamics of a Ni Supported Catalyst during the Steam Reforming of Volatiles from Waste Polyethylene Pyrolysis. Appl. Catal. B 2017, 209, 554–565. [Google Scholar] [CrossRef]
- García-Gómez, N.; Valecillos, J.; Remiro, A.; Valle, B.; Bilbao, J.; Gayubo, A.G. Effect of Reaction Conditions on the Deactivation by Coke of a NiAl2O4 Spinel Derived Catalyst in the Steam Reforming of Bio-Oil. Appl. Catal. B 2021, 297, 120445. [Google Scholar] [CrossRef]
- Ren, J.; Cao, J.-P.; Zhao, X.-Y.; Yang, F.-L.; Wei, X.-Y. Recent Advances in Syngas Production from Biomass Catalytic Gasification: A Critical Review on Reactors, Catalysts, Catalytic Mechanisms and Mathematical Models. Renew. Sustain. Energy Rev. 2019, 116, 109426. [Google Scholar] [CrossRef]
- Yue, W.; Ma, X.; Yu, Z.; Liu, H.; Li, W.; Li, C. CaMoO4-Enhanced Ni-CaO Bifunctional Catalyst for Biomass Pyrolysis to Produce Hydrogen-Rich Gas. Fuel Process. Technol. 2023, 250, 107900. [Google Scholar] [CrossRef]
- Li, P.; Wang, B.; Hu, J.; Zhang, Y.; Chen, W.; Chang, C.; Pang, S. Research on the Kinetics of Catalyst Coke Formation during Biomass Catalytic Pyrolysis: A Mini Review. J. Energy Inst. 2023, 110, 101315. [Google Scholar] [CrossRef]
- Fernandez, E.; Santamaria, L.; García, I.; Amutio, M.; Artetxe, M.; Lopez, G.; Bilbao, J.; Olazar, M. Elucidating Coke Formation and Evolution in the Catalytic Steam Reforming of Biomass Pyrolysis Volatiles at Different Fixed Bed Locations. Chin. J. Catal. 2023, 48, 101–116. [Google Scholar] [CrossRef]
- Pecha, M.B.; Arbelaez, J.I.M.; Garcia-Perez, M.; Chejne, F.; Ciesielski, P.N. Progress in Understanding the Four Dominant Intra-Particle Phenomena of Lignocellulose Pyrolysis: Chemical Reactions, Heat Transfer, Mass Transfer, and Phase Change. Green. Chem. 2019, 21, 2868–2898. [Google Scholar] [CrossRef]
- Saravana Sathiya Prabhahar, R.; Jeyasubramanian, K.; Nagaraj, P.; Sakthivel, A. Catalytic Pyrolysis of Rice Husk with Nickel Oxide Nano Particles: Kinetic Studies, Pyrolytic Products Characterization and Application in Composite Plates. Biomass Convers. Biorefinery 2024, 14, 2849–2866. [Google Scholar] [CrossRef]
- Persaud, V.V.; Hamrani, A.; Uzzi, M.; Munroe, N.D.H. Machine Learning-Guided Optimization of Nickel-Based Catalysts for Enhanced Biohydrogen Production through Catalytic Pyrolysis of Biomass. Int. J. Hydrogen Energy 2025, 144, 1085–1094. [Google Scholar] [CrossRef]










| Technology | Cost per kg/H2 (USD) | Carbon Footprint (kgCO2/kgH2) |
|---|---|---|
| Steam Methane Reforming | $1.21–$2.62 | 8–12 |
| Natural Gas Pyrolysis | $1.50–$2.50 | <1 |
| Coal Gasification | $1.50–$3.50 | 19–22 |
| Renewable Energy Electrolysis | $2.00–$4.00 | 2–3 |
| Biomass (Pyrolysis and Gasification) | $2.00–$6.00 | <1 |
| Electrolysis | $7.00–$8.00 | 9.3 |
| H Yield (vol%) | Ni Loading (wt%) | Support | Cal. Temp (°C) | Biomass H Content (wt%) | Temperature (°C) | Ref. |
|---|---|---|---|---|---|---|
| 42.5 | 10 | CaO | 650 | 6.1 | 600 | [8] |
| 51.8 | 10.7 | Al2O3 | 700 | 7.2 | 850 | [25] |
| 55.1 | 20 | Al2O3 | 800 | 5.7 | 800 | [26] |
| 60.1 | 24 | LaCoO3 | 800 | 6.1 | 550 | [27] |
| 65.1 | 14 | Al2O3 | 700 | 7.2 | 850 | [25] |
| 70.0 | 35 | CNT | 600 | 8.2 | 450 | [28] |
| 75.8 | 15 | Dolomite | 850 | 6.1 | 650 | [29] |
| 80.4 | 5 | CNT | 600 | 8.2 | 550 | [28] |
| 87.1 | 15 | Dolomite | 850 | 6.1 | 650 | [29] |
| 93.7 | 35 | CNT | 600 | 8.2 | 550 | [28] |
| Case | Experimental Support | Predicted Support | H Yield Vol% |
|---|---|---|---|
| 1 | CaO | MCM-41 | 42.5 |
| 2 | Al2O3 | SiO2 | 51.8 |
| 3 | Al2O3 | MCM-41 | 55.1 |
| 4 | LaCoO3 | CNT | 60.1 |
| 5 | Al2O3 | dolomite | 65.1 |
| 6 | CNT | CNT | 70.0 |
| 7 | dolomite | CNT | 75.8 |
| 8 | CNT | CNT | 80.4 |
| 9 | dolomite | CNT | 87.1 |
| 10 | CNT | CNT | 93.7 |
Disclaimer/Publisher’s Note: The statements, opinions and data contained in all publications are solely those of the individual author(s) and contributor(s) and not of MDPI and/or the editor(s). MDPI and/or the editor(s) disclaim responsibility for any injury to people or property resulting from any ideas, methods, instructions or products referred to in the content. |
© 2026 by the authors. Licensee MDPI, Basel, Switzerland. This article is an open access article distributed under the terms and conditions of the Creative Commons Attribution (CC BY) license.
Share and Cite
Persaud, V.V.; Hamrani, A.; Uzzi, M.; Munroe, N.D.H. Machine Learning-Guided Inverse Analysis for Optimal Catalytic Pyrolysis Parameters in Hydrogen Production from Biomass. Catalysts 2026, 16, 105. https://doi.org/10.3390/catal16010105
Persaud VV, Hamrani A, Uzzi M, Munroe NDH. Machine Learning-Guided Inverse Analysis for Optimal Catalytic Pyrolysis Parameters in Hydrogen Production from Biomass. Catalysts. 2026; 16(1):105. https://doi.org/10.3390/catal16010105
Chicago/Turabian StylePersaud, Vishal V., Abderrachid Hamrani, Medeba Uzzi, and Norman D. H. Munroe. 2026. "Machine Learning-Guided Inverse Analysis for Optimal Catalytic Pyrolysis Parameters in Hydrogen Production from Biomass" Catalysts 16, no. 1: 105. https://doi.org/10.3390/catal16010105
APA StylePersaud, V. V., Hamrani, A., Uzzi, M., & Munroe, N. D. H. (2026). Machine Learning-Guided Inverse Analysis for Optimal Catalytic Pyrolysis Parameters in Hydrogen Production from Biomass. Catalysts, 16(1), 105. https://doi.org/10.3390/catal16010105

