Stochastic Modelling of Dry-Clutch Coefficient of Friction for a Wide Range of Operating Conditions
Abstract
1. Introduction
2. Experimental Setup
2.1. Mechanical Subsystem
2.2. Control Subsystem
3. Design of Experiments
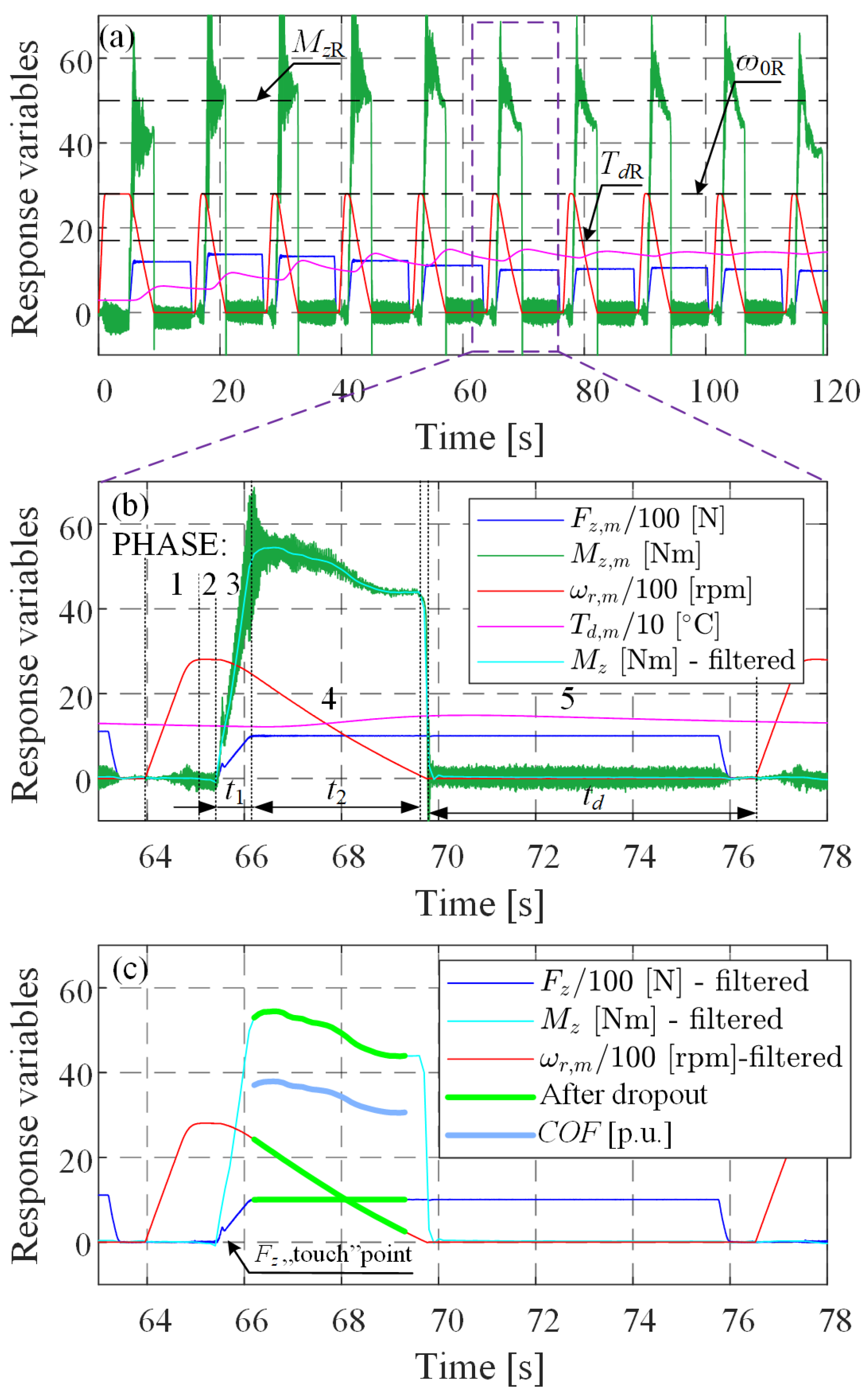
3.1. Characterization Experiments
3.2. Cycle-Wise Validation Experiments
4. COF Characterization
4.1. Data Preprocessing
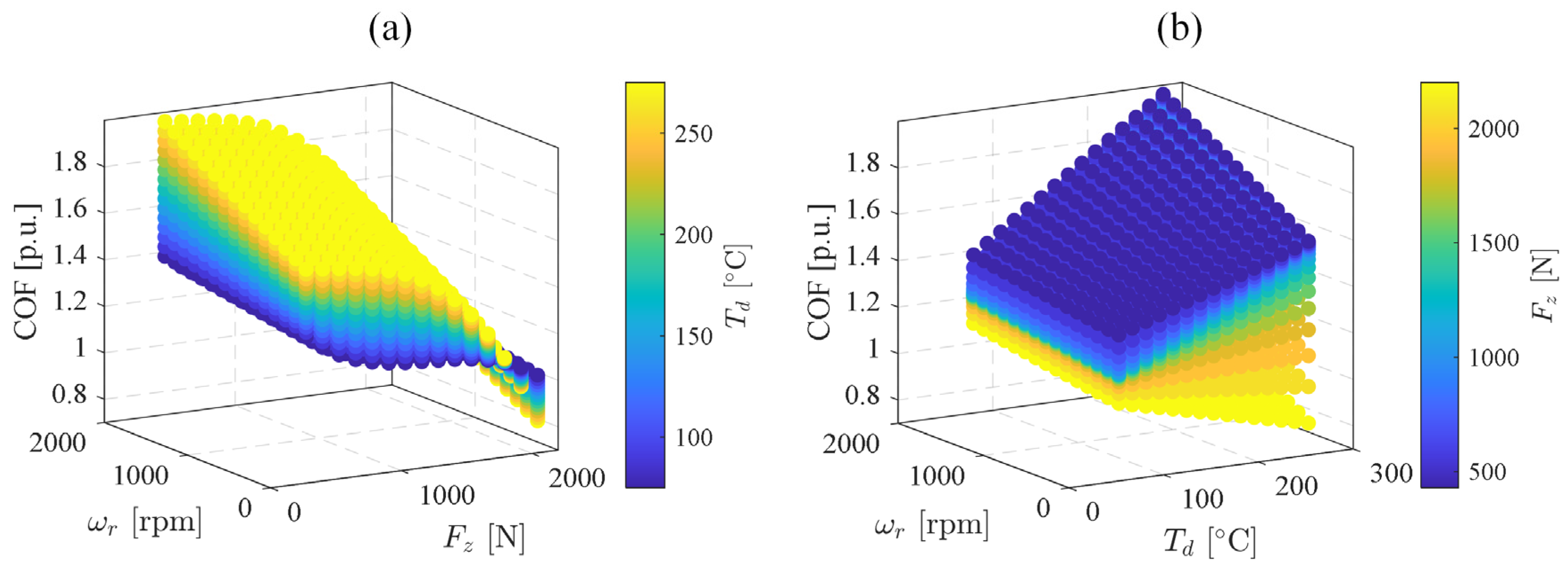
4.2. Analysis of Influence of Individual Operating Parameters on COF
4.3. Specific Effects of COF Behaviour
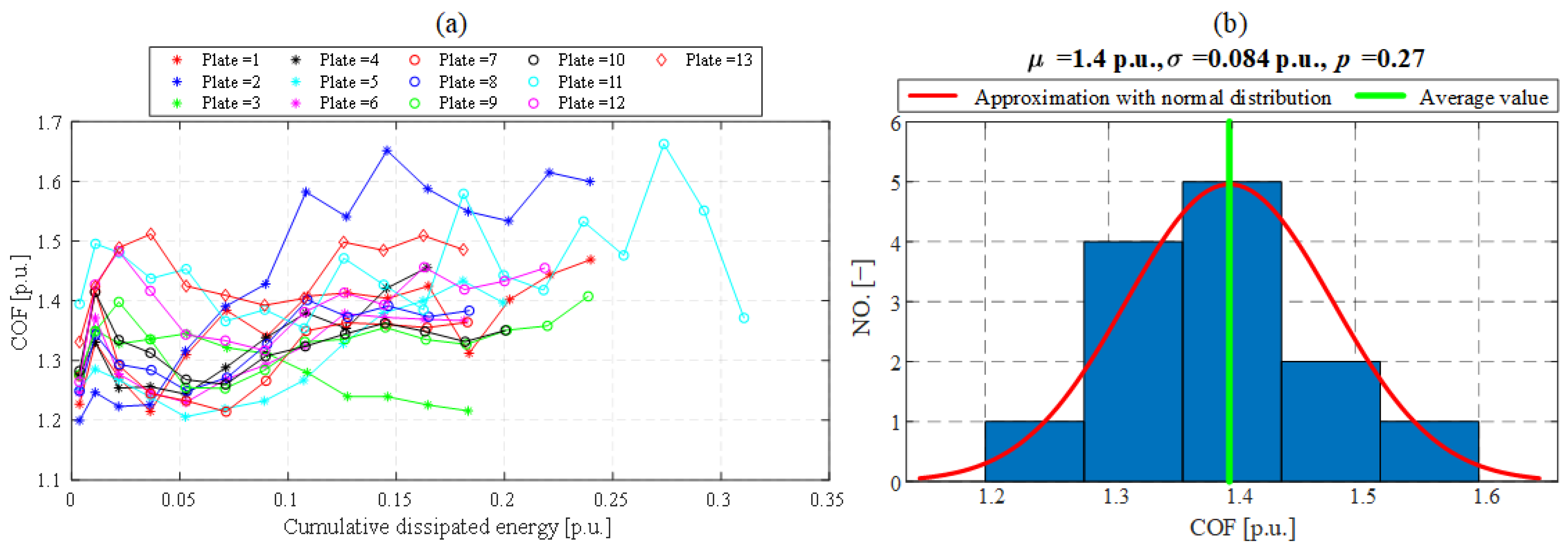
4.4. COF Variability Among Different Friction Plates
5. Modelling of COF Expectation
5.1. Modelling Methodology
5.2. Model Selection
5.3. Analysis of Selected Model
6. COF Variability Modelling
6.1. Methodology
6.2. Analysis of Selected Model
7. Model Validation
8. Conclusions
Author Contributions
Funding
Institutional Review Board Statement
Informed Consent Statement
Data Availability Statement
Conflicts of Interest
List of Abbreviations and Mathematical Symbols
| AMT | Automated Manual Transmission |
| CI | Confidence interval |
| COF | Coefficient of friction |
| CVT | Continuously Variable Transmission |
| DCT | Dual-Clutch Transmission |
| LASSO | Least absolute shrinkage and selector operator |
| NLL | Negative log likelihood |
| Probability density function | |
| RMSE | Root mean square error |
| VIF | Variance Inflation Factor |
| Coefficient of friction | |
| Coefficient of friction expectation | |
| Coefficient of friction standard deviation | |
| Clutch normal force | |
| Clutch normal force reference | |
| Negative log likelihood function | |
| Clutch torque | |
| Clutch torque reference | |
| Number of experimental points in a dataset | |
| Wear-rate variability-model parameters | |
| Effective radius of friction plate | |
| Coefficient of determination | |
| Time of normal-force ramping-up | |
| Clutch closing time | |
| Clutch closing time reference | |
| Friction interface temperature | |
| Friction interface temperature reference | |
| Cooling delay | |
| General model inputs | |
| Design matrix | |
| Dependent response variable | |
| Input features | |
| COF expectation-model parameters | |
| COF variability-model parameter vector | |
| LASSO regularization parameter | |
| Initial slip speed | |
| Initial slip speed reference | |
| Slip speed |
Appendix A. Comparative Performance Analysis of COF Models Obtained for Different Friction Materials
| Model Performance | Modelling Dataset | Testing Dataset | |||
|---|---|---|---|---|---|
| Friction Material | Number of Model Features | RMSE [−] | R2 [−] | RMSE [−] | R2 [−] |
| A | 7 | 0.194 | 0.461 | 0.194 | 0.460 |
| B | 6 | 0.191 | 0.617 | 0.191 | 0.616 |
| C | 9 | 0.194 | 0.636 | 0.194 | 0.636 |

Appendix B. COF Variability Model Based on Weibull Distribution
| Model | L(θ) | Share of Points Outside 95%CI |
|---|---|---|
| Normal distribution—three-input model | −39.86 (−0.0%) | 4.6% |
| Weibull distribution—three-input model | −40.26 (−0.98%) | 4.9% |

References
- Chen, Y.; Wang, X.; He, K.; Yang, C. Model reference self-learning fuzzy control method for automated mechanical clutch. Int. J. Adv. Manuf. Technol. 2018, 94, 3163–3172. [Google Scholar] [CrossRef]
- Shi, J.; Li, L.; Wang, X.; Liu, C. Robust output feedback controller with high-gain observer for automatic clutch. Mech. Syst. Signal Process. 2019, 132, 806–822. [Google Scholar] [CrossRef]
- Kob, M.; Supriyo, B.; Tawi, K.; Mazali, I. Engagement Slip Controller Development Based on Actuator Displacement for an Electro-Mechanical Friction Clutch System. Int. J. Automot. Mech. Eng. 2015, 11, 2664–2674. [Google Scholar] [CrossRef]
- Liauw, Y.; Roozegar, M.; Zou, T.; Morozov, A.; Angeles, J. A topology-change model of multi-speed transmissions in electric vehicles during gear-shifting. Mechatronics 2018, 55, 151–161. [Google Scholar] [CrossRef]
- Pisaturo, M.; Senatore, A. Thermal Compensation Control Strategy in Automated Dry Clutch Engagement Dynamics and Launch Manoeuvre. Int. J. Automot. Technol. 2019, 20, 1089–1101. [Google Scholar] [CrossRef]
- Vasca, F.; Iannelli, L.; Senatore, A.; Reale, G. Torque Transmissibility Assessment for Automotive Dry-Clutch Engagement. IEEE-ASME Trans. Mechatron. 2011, 16, 564–573. [Google Scholar] [CrossRef]
- Hoic, M.; Hrgetic, M.; Deur, J. Design of a pin-on-disc-type CNC tribometer including an automotive dry clutch application. Mechatronics 2016, 40, 220–232. [Google Scholar] [CrossRef]
- Minas, I.; Morris, N.; Theodossiades, S.; O’Mahony, M. Noise, vibration and harshness during dry clutch engagement oscillations. Proc. Inst. Mech. Eng. Part C J. Mech. Eng. Sci. 2020, 234, 4572–4588. [Google Scholar] [CrossRef]
- Della Gatta, A.; Iannelli, L.; Pisaturo, M.; Senatore, A.; Vasca, F. A survey on modeling and engagement control for automotive dry clutch. Mechatronics 2018, 55, 63–75. [Google Scholar] [CrossRef]
- Bezzazi, M.; Khamlichi, A.; Jabbouri, A.; Reis, P.; Davim, J. Experimental characterization of frictional behaviour of clutch facings using Pin-on-disk machine. Mater. Des. 2007, 28, 2148–2153. [Google Scholar] [CrossRef]
- Kim, S.; Jang, H. Friction and wear of friction materials containing two different phenolic resins reinforced with aramid pulp. Tribol. Int. 2000, 33, 477–484. [Google Scholar] [CrossRef]
- Lin, X.; Xi, J.; Hao, S. The calculation model of the friction torque on a dry clutch. Proc. Inst. Mech. Eng. Part D J. Automob. Eng. 2017, 231, 1796–1805. [Google Scholar] [CrossRef]
- Senatore, A.; D’Agostino, V.; Di Giuda, R.; Petrone, V. Experimental investigation and neural network prediction of brakes and clutch material frictional behaviour considering the sliding acceleration influence. Tribol. Int. 2011, 44, 1199–1207. [Google Scholar] [CrossRef]
- Humphrey, E.; Gkinis, T.; Morris, N.; Leighton, M.; Rahmani, R.; Rahnejat, H. Clutch Lining Frictional Characteristics Under Thermal Tribodynamic Conditions. In Proceedings of the 3rd BiennialInternational Conference on Powertrain Modelling and Control (PMC 2016), Loughborough, UK, 7–9 September 2016; Available online: https://repository.lboro.ac.uk/articles/conference_contribution/Clutch_lining_frictional_characteristics_under_thermal_tribodynamic_conditions/9552611 (accessed on 19 January 2026).
- Wu, J.; Ma, B.; Li, H.; Stanciulescu, I. The Running-in Micro-Mechanism and Efficient Work Conditions of Cu-Based Friction Material against 65Mn Steel. Exp. Tech. 2019, 43, 667–676. [Google Scholar] [CrossRef]
- Biczó, R.; Kalácska, G. Effects of Automotive Test Parameters on Dry Friction Fiber-Reinforced Clutch Facing Surface Microgeometry and Wear-Part 2. Polymers 2022, 14, 1757. [Google Scholar] [CrossRef] [PubMed]
- Fidlin, A.; Bäuerle, S.; Boy, F. Modelling of the gas induced fading of organic linings in dry clutches. Tribol. Int. 2015, 92, 559–566. [Google Scholar] [CrossRef]
- Hoić, M.; Škugor, B.; Miklik, A.; Deur, J.; Tissot, A. Experimental characterization and modeling of dry clutch wear with emphasis on fading effect: Wear modeling and Fading characterization. Forsch. Im Ingenieurwesen-Eng. Res. 2021, 85, 895–903. [Google Scholar] [CrossRef]
- Clausnizer, H.; Fidlin, A.; Figuli, R.; Jehle, G.; Wilhelm, M.; Keller, J.S. Experimental investigation of the permeability of a tribo-contact in dry friction clutches. Tribol. Int. 2018, 118, 157–162. [Google Scholar] [CrossRef]
- Zhao, E.H.; Ma, B.; Li, H.Y. Study on the High Temperature Friction and Wear Behaviors of Cu-Based Friction Pairs in Wet Clutches by Pin-on-Disc Tests. Adv. Mater. Sci. Eng. 2017, 2017, 6373190. [Google Scholar] [CrossRef]
- Khamlichi, A.; Bezzazi, M.; Jabbouri, A.; Reis, P.; Davim, J. Optimizing friction behavior of clutch facings using pin-on-disk test. Int. J. Phys. Sci. 2008, 3, 65–70. [Google Scholar]
- Abdullah, O.I.; Schlattmann, J. Temperature analysis of a pin-on-disc tribology test using experimental and numerical approaches. Friction 2016, 4, 135–143. [Google Scholar] [CrossRef]
- Ramesh, M.R.; Ravindra, K.A.; Ashok, B.; Kannan, C. Optimizing thermal performance of a dry rigid clutch by varying groove pattern and friction material. Mater. Today-Proc. 2021, 46, 7459–7467. [Google Scholar] [CrossRef]
- Sabri, L.; Stojanovic, N.; Senatore, A.; Jweeg, M.; Abed, A.; Abdullah, O. Three-Dimensional Finite Element Analysis of Contact Problem in Dry Friction Clutches. Lubricants 2021, 9, 115. [Google Scholar] [CrossRef]
- Jin, Y.; Chen, L.; Cheng, C. Thermal behavior of friction discs in dry clutches based on a non-uniform pressure model. Case Stud. Therm. Eng. 2022, 32, 101895. [Google Scholar] [CrossRef]
- Fernandes, G.; Zanotto, P.; Sinatora, A. The Role of Counter-Face Roughness on the Tribological Performance of a Clutch System Tested with a Pin-On-Disc Tribometer. Lubricants 2016, 4, 18. [Google Scholar] [CrossRef]
- Hoic, M.; Hrgetic, M.; Kranjcevic, N.; Deur, J.; Tissot, A.; Astolfi, D. Redesign of a Disc-on-Disc Computer Numerical Control Tribometer for a Wide-Range and Shudder-Resistant Operation. Machines 2024, 12, 14. [Google Scholar] [CrossRef]
- Hoic, M.; Hrgetic, M.; Kranjcevic, N.; Kostelac, M.; Deur, J.; Tissot, A. Design of a Disc-on-disc-type CNC Tribometer Targeted at Dry Clutch Friction Plate Wear Characterization. Int. J. Automot. Technol. 2022, 23, 55–71. [Google Scholar] [CrossRef]
- Haramina, K.; Škugor, B.; Hoić, M.; Kranjčević, N.; Deur, J.; Tissot, A. Modeling of Dry Clutch Wear for a Wide Range of Operating Parameters. Appl. Sci. 2025, 15, 31. [Google Scholar] [CrossRef]
- Voelkel, K.; Pflaum, H.; Stahl, K. Running-In Behavior of Wet Multi-plate Clutches: Introduction of a New Test Method for Investigation and Characterization. Chin. J. Mech. Eng. 2020, 33, 34. [Google Scholar] [CrossRef]
- Biczo, R.; Kalacska, G.; Mankovits, T. Micromechanical Model and Thermal Properties of Dry-Friction Hybrid Polymer Composite Clutch Facings. Materials 2020, 13, 4508. [Google Scholar] [CrossRef]
- Hoic, M.; Miklik, A.; Kostelac, M.; Deur, J.; Tissot, A. Analysis of the Accuracy of Mass Difference-Based Measurement of Dry Clutch Friction Material Wear. Materials 2021, 14, 5356. [Google Scholar] [CrossRef] [PubMed]
- Weisberg, S. Applied Linear Regression, 4th ed.; John Wiley & Sons, Inc.: Hoboken, NJ, USA, 2013; 368p. [Google Scholar]
- Hastie, T.; Tibshirani, R.; Friedman, J. The Elements of Statistical Learning, Data Mining, Inference, and Prediction, 2nd ed.; Springer: New York, NY, USA, 2009; 745p. [Google Scholar]
- Wasserman, L. All of Statistics, A Concise Course in Statistical Inference; Springer Texts in Statistics; Springer: New York, NY, USA, 2004; 442p. [Google Scholar]



















| Correlation | COF | Normal Force | Slip Speed | Temperature |
|---|---|---|---|---|
| COF | - | −0.377 | 0.385 | 0.483 |
| Normal force | −0.377 | - | −0.102 | 0.025 |
| Slip speed | 0.385 | −0.102 | - | 0.234 |
| Temperature | 0.483 | 0.025 | 0.234 | - |
| VIF | - | 1.013 | 1.071 | 1.060 |
| Specific COF Behaviour Effects | Number of Wear-Characterization Points in Which Specific Effect Occurs out of 121 Points from Figure 3 | ||
|---|---|---|---|
| Material A | Material B | Material C | |
| COF creep | 14 (11%) | 32 (26%) | 26 (21%) |
| Mid-speed COF drop and scattering | 5 (4%) | 27 (22%) | 9 (7%) |
| Negative COF vs. slip speed correlation | 17 (14%) correlation < −0.2: 6 (5%) | 34 (28%) correlation < −0.2: 14 (11%) | 27 (22%) correlation < −0.2: 8 (7%) |
| Modelling Dataset | Testing Dataset | ||||
|---|---|---|---|---|---|
| Model | Number of Model Features | RMSE [−] | R2 [−] | RMSE [−] | R2 [−] |
| Basic linear model | 4 | 0.197 | 0.442 | 0.198 | 0.441 |
| Linear model with interaction features | 7 | 0.196 | 0.445 | 0.197 | 0.445 |
| Full cubic model | 20 | 0.191 | 0.477 | 0.191 | 0.476 |
| Selected model | 7 | 0.194 | 0.461 | 0.194 | 0.460 |
| Selected model, full dataset | 7 | 0.194 | 0.460 | - | - |
| Model | L(θ) |
|---|---|
| Exponential, Equation (13) | −39,593 (0.0%) |
| Linear, Equation (14) | −39,698 (−0.27%) |
| Quadratic, Equation (15) | −39,702 (−0.28%) |
| Three-input linear model, Equation (16) | −39,864 (−0.68%) |
| Characterization Plates | Validation Plates | ||||
|---|---|---|---|---|---|
| Dataset | Modelling | Testing | I | II | Both |
| Residuals mean | 0.005 | 0.004 | −0.054 | 0.063 | −0.003 |
| RMSE | 0.194 | 0.194 | 0.220 | 0.189 | 0.214 |
| Normalized residuals mean | 0.029 | 0.030 | −0.200 | 0.368 | 0.042 |
| Normalized residual st. deviation | 1.122 | 1.124 | 0.989 | 0.890 | 0.989 |
| St. deviation of recorded COF | 0.264 | 0.264 | 0.280 | 0.231 | 0.268 |
| R2 | 0.461 | 0.460 | 0.345 | 0.263 | 0.356 |
| Points outside of 95% CI | 4.64% | 4.67% | 5.86% | 4.48% | 5.28% |
Disclaimer/Publisher’s Note: The statements, opinions and data contained in all publications are solely those of the individual author(s) and contributor(s) and not of MDPI and/or the editor(s). MDPI and/or the editor(s) disclaim responsibility for any injury to people or property resulting from any ideas, methods, instructions or products referred to in the content. |
© 2026 by the authors. Licensee MDPI, Basel, Switzerland. This article is an open access article distributed under the terms and conditions of the Creative Commons Attribution (CC BY) license.
Share and Cite
Haramina, K.; Škugor, B.; Hoić, M.; Kranjčević, N.; Deur, J.; Tissot, A. Stochastic Modelling of Dry-Clutch Coefficient of Friction for a Wide Range of Operating Conditions. Appl. Sci. 2026, 16, 1177. https://doi.org/10.3390/app16031177
Haramina K, Škugor B, Hoić M, Kranjčević N, Deur J, Tissot A. Stochastic Modelling of Dry-Clutch Coefficient of Friction for a Wide Range of Operating Conditions. Applied Sciences. 2026; 16(3):1177. https://doi.org/10.3390/app16031177
Chicago/Turabian StyleHaramina, Krunoslav, Branimir Škugor, Matija Hoić, Nenad Kranjčević, Joško Deur, and Andreas Tissot. 2026. "Stochastic Modelling of Dry-Clutch Coefficient of Friction for a Wide Range of Operating Conditions" Applied Sciences 16, no. 3: 1177. https://doi.org/10.3390/app16031177
APA StyleHaramina, K., Škugor, B., Hoić, M., Kranjčević, N., Deur, J., & Tissot, A. (2026). Stochastic Modelling of Dry-Clutch Coefficient of Friction for a Wide Range of Operating Conditions. Applied Sciences, 16(3), 1177. https://doi.org/10.3390/app16031177

