Sign in to use this feature.

Years

Between: -

Subjects

remove_circle_outline
remove_circle_outline
remove_circle_outline
remove_circle_outline
remove_circle_outline
remove_circle_outline
remove_circle_outline
remove_circle_outline
remove_circle_outline

Journals

remove_circle_outline
remove_circle_outline
remove_circle_outline

Article Types

Countries / Regions

remove_circle_outline
remove_circle_outline
remove_circle_outline
remove_circle_outline

Search Results (284)

Search Parameters:
Keywords = limit pressure differential

Order results
Result details
Results per page
Select all
Export citation of selected articles as:
11 pages, 1988 KB  
Article
Comparison of Invasive Versus Non-Invasive Pulse Contour-Based Cardiac Output Measurements at Rest and During Exercise in Pulmonary Hypertension
by Anna Titz, Julian Müller, Simon Raphael Schneider, Mona Lichtblau and Silvia Ulrich
J. Clin. Med. 2025, 14(24), 8971; https://doi.org/10.3390/jcm14248971 - 18 Dec 2025
Abstract
Background/Objectives: Measuring cardiac output (CO) is essential for diagnosis and therapeutic monitoring in pulmonary hypertension (PH). CO assessment based on thermodilution (TD) or Direct Fick (DF) during standard right heart catheterization (RHC) is impractical for regular follow-up. We evaluated the accuracy and agreement [...] Read more.
Background/Objectives: Measuring cardiac output (CO) is essential for diagnosis and therapeutic monitoring in pulmonary hypertension (PH). CO assessment based on thermodilution (TD) or Direct Fick (DF) during standard right heart catheterization (RHC) is impractical for regular follow-up. We evaluated the accuracy and agreement of non-invasive Modelflow (MF)-based CO assessment compared with TD and DF during rest and exercise RHC in PH. Methods: This post hoc analysis from a crossover RCT included 24 PH patients (7 females, 59 ± 14 years; mean pulmonary artery pressure 37 ± 11 mmHg) who underwent RHC with repetitive CO assessments at rest and during exercise. CO was measured by TD, DF, and non-invasive MF by fingertip pulse contour analysis at rest and during stepwise cycling to maximal exertion. Results: At rest, mean CO was comparable between methods: TD = 6.05 ± 1.80 L/min, DF = 5.68 ± 1.88 L/min, MF = 6.09 ± 1.84 L/min. At end-exercise, CO increased to TD = 11.18 ± 4.38 L/min, DF = 11.84 ± 4.74 L/min, MF = 8.38 ± 2.93 L/min. Bland–Altman showed minimal bias at rest (MF vs. TD: 0.04 L/min; MF vs. DF: −0.07 L/min) but substantial variability during exercise, with underestimation of CO by MF with increasing workloads (MF vs. TD bias = −2.80 L/min; MF vs. DF bias = −4.38 L/min). Limits of agreement were wide across all workloads. Linear regression confirmed an increasing CO with workload, but MF slope was shallower than TD/DF, suggesting proportional bias. Taffé analysis identified a significant differential (5.847) and proportional bias (0.195) indicative of CO overestimation by MF at low CO and underestimation at high CO. Conclusions: MF group-level agreement is acceptable, but individual-level accuracy is limited, indicating that MF may be suitable for trend monitoring but its applicability for clinical decision-making is restricted, especially during exercise. Full article
(This article belongs to the Section Respiratory Medicine)
Show Figures

Figure 1

30 pages, 12551 KB  
Article
Numerical Groundwater Flow Modeling in a Tropical Aquifer Under Anthropogenic Pressures: A Case Study in the Middle Magdalena Valley, Colombia
by Boris Lora-Ariza, Luis Silva Vargas, Juan Pescador, Mónica Vaca, Juan Landinez, Adriana Piña and Leonardo David Donado
Water 2025, 17(24), 3579; https://doi.org/10.3390/w17243579 - 17 Dec 2025
Abstract
Groundwater is one of the main sources of water supply in tropical developing countries; however, its integrated management is often constrained by limited hydrogeological information and increasing anthropogenic pressures on aquifer systems. This study presents the numerical modeling of groundwater flow in the [...] Read more.
Groundwater is one of the main sources of water supply in tropical developing countries; however, its integrated management is often constrained by limited hydrogeological information and increasing anthropogenic pressures on aquifer systems. This study presents the numerical modeling of groundwater flow in the Neogene–Quaternary aquifer system of the Middle Magdalena Valley (Colombia), focusing on the rural area of Puerto Wilches, which is characterized by strong surface–groundwater interactions, particularly with the Yarirí wetland and the Magdalena River. A three-dimensional model was implemented and calibrated in FEFLOW v.8.1 under steady-state and transient conditions, integrating both primary and secondary data. The dataset included piezometric levels measured with water level meters and automatic loggers, hydrometeorological records, 21 physicochemical and microbiological parameters analyzed in 45 samples collected during three field campaigns under contrasting hydrological conditions, 79 pumping tests, detailed lithological columns from drilled wells, and complementary geological and geophysical models. The results indicate a predominant east–west groundwater flow from the Eastern Cordillera toward the Magdalena River, with seasonal recharge and discharge patterns controlled by the bimodal rainfall regime. Microbiological contamination (total coliforms in 69% of groundwater samples) and nitrate concentrations above 10 mg/L in 21% of wells were detected, mainly due to agricultural fertilizers and domestic wastewater infiltration. Particle tracking revealed predominantly horizontal flow paths, with transit times of up to 800 years in intermediate units of the Real Group and around 60 years in shallow Quaternary deposits, highlighting the differential vulnerability of the system to contamination. These findings provide scientific foundations for strengthening integrated groundwater management in tropical regions under agroindustrial and hydrocarbon pressures and emphasize the need to consolidate monitoring networks, promote sustainable agricultural practices, and establish preventive measures to protect groundwater quality. Full article
(This article belongs to the Special Issue Groundwater Flow and Contaminant Transport Modeling)
Show Figures

Figure 1

38 pages, 5207 KB  
Article
A Deterministic Assurance Framework for Licensable Explainable AI Grid-Interactive Nuclear Control
by Ahmed Abdelrahman Ibrahim and Hak-Kyu Lim
Energies 2025, 18(23), 6268; https://doi.org/10.3390/en18236268 - 28 Nov 2025
Viewed by 250
Abstract
Deploying deep reinforcement learning (DRL) in safety-critical nuclear control is limited less by raw performance than by the absence of licensable, audit-ready evidence. We introduce a Deterministic Assurance Framework (DTAF) that converts controller behavior into licensing-grade proof by combining the following: (i) deterministic [...] Read more.
Deploying deep reinforcement learning (DRL) in safety-critical nuclear control is limited less by raw performance than by the absence of licensable, audit-ready evidence. We introduce a Deterministic Assurance Framework (DTAF) that converts controller behavior into licensing-grade proof by combining the following: (i) deterministic licensing gates tied to formal safety and performance limits (e.g., Total Time Unsafe (TTU) = 0; bounded Transient Severity Score (TSS); and minimum Grid Load-Following Index (GLFI)); (ii) a portfolio of adversarial stress tests representative of off-nominal operation; and (iii) a traceability and explainability package that renders every evaluated action auditable. The DTAF is demonstrated on a high-fidelity pressurized-water-reactor (PWR) simulation model used as a software-in-the-loop testbed. Three governor architectures are evaluated under identical, fixed scenarios: a curriculum-trained Soft Actor–Critic (SAC) agent, and Differential-Evolution-optimized Proportional–Integral–Derivative (PID-DE) and Fuzzy-Logic (FLC-DE) Controllers. Performance is assessed deterministically via gate-aligned metrics—TTU, TSS, GLFI, cumulative control effort (CE_sum), valve-reversal count (V_rev), and speed overshoot (OS_ω). Across the adversarial portfolio, the SAC controller meets the predeclared licensing gates in single-run evaluations, whereas the strong conventional baselines violate gates in specific high-severity cases; where all methods remain within the safe envelope, the SAC delivers a higher GLFI and lower CE_sum, with fewer reversals and reduced overshoot. All licensing conclusions derive from deterministic single-run tests; a small, fixed-seed check (three seeds with descriptive intervals) is reported separately as non-licensing supplementary analysis. By producing transparent, reproducible artifacts, the DTAF offers a regulator-oriented pathway for qualifying DRL controllers in grid-interactive nuclear operations. Full article
Show Figures

Figure 1

21 pages, 4210 KB  
Article
Formulation Optimization of Sinomenine-Loaded Nanostructured Lipid Carriers Based on Molecular Dynamics Simulations and Evaluation of Pharmacological Efficacy in Rheumatoid Arthritis
by Xinmeng Lin, Xuehui Ding, Yunlu Zou, Mingyang Sheng, Jingying Li, Yinghao Xiao, Jiahui Xu, Jixin Li, Lin Wang and Wei Xu
Int. J. Mol. Sci. 2025, 26(23), 11449; https://doi.org/10.3390/ijms262311449 - 26 Nov 2025
Viewed by 242
Abstract
Sinomenine (SIN), as a potential therapeutic agent for rheumatoid arthritis (RA), exhibits advantages such as non-addictiveness. However, its low aqueous solubility and poor membrane permeability result in limited bioavailability, which compromises its therapeutic efficacy in conventional formulations. To address these limitations, this study [...] Read more.
Sinomenine (SIN), as a potential therapeutic agent for rheumatoid arthritis (RA), exhibits advantages such as non-addictiveness. However, its low aqueous solubility and poor membrane permeability result in limited bioavailability, which compromises its therapeutic efficacy in conventional formulations. To address these limitations, this study developed nanostructured lipid carriers (NLCs) with optimized formulations and evaluated their pharmacodynamic performance. Molecular dynamics (MD) simulations were employed to screen excipients and analyze the blending system. SIN-loaded NLCs (SIN-NLCs) were prepared using high-pressure homogenization. Single-factor experiments were performed to optimize the processing conditions of SIN-NLCs. A three-factor, three-level experimental design was established using Design Expert 13 software and further refined through Box–Behnken design (BBD) response surface methodology. This approach enabled cross-validation between molecular dynamics simulations and conventional experiments. Additionally, transmission electron microscopy (TEM) was used to examine morphology, while X-ray diffraction analysis (XRD), differential scanning calorimetry (DSC), and Fourier-transform infrared spectroscopy (FT-IR) were employed to characterize the physicochemical state of SIN in NLCs. Pharmacodynamic evaluation was performed in a RA model, supplemented by single-pass intestinal perfusion study (SPIP). Initially, MD simulations were employed to evaluate drug–excipient compatibility, thereby identifying suitable formulation excipients: stearic acid and oleic acid as lipid components, and Poloxamer 188 as the surfactant. Subsequently, single-factor experiments combined with the BBD response surface methodology were employed to optimize preparation parameters, establishing the ideal process conditions: drug-to-lipid ratio of 1:42, solid-to-liquid lipid ratio of 5.58:4.42, and Poloxamer 188 concentration of 1.20%. The optimized SIN-NLCs exhibited spherical particles with uniform dispersion and no agglomeration. The average particle size was 173.90 ± 1.97 nm, with a polydispersity index (PDI) of 0.18 ± 0.01, a zeta potential of −22.65 ± 0.60 mV, and an encapsulation efficiency (EE%) of 91.27% ± 0.01. Spectroscopic analysis confirmed that SIN existed in an amorphous state and was successfully encapsulated within the lipid matrix. In vivo, SIN-NLCs significantly reduced paw swelling and arthritis scores in model rats, promoted synovial cell proliferation, and suppressed inflammatory cell infiltration. The intestinal perfusion study demonstrated that SIN-NLCs were primarily absorbed in the small intestine and markedly enhanced drug permeability. SIN-NLCs represent an effective delivery system to enhance the solubility and permeability of SIN. This study provides a novel strategy and methodology for the formulation of hydrophobic drugs, offering valuable insights for future pharmaceutical development. Full article
(This article belongs to the Section Molecular Pharmacology)
Show Figures

Figure 1

22 pages, 1320 KB  
Review
The Use of Myocardial Work in Athletes: A Novel Approach to Assess Cardiac Adaptations and Differentiate Physiological Remodeling from Pathology
by Simona Mega, Chiara Fossati, Andrea Segreti, Riccardo Cricco, Zlatan Lazarevic, Myriam Carpenito, Federica Coletti, Jacopo Valeri, Erika Lemme, Fabio Pigozzi and Francesco Grigioni
Appl. Sci. 2025, 15(23), 12490; https://doi.org/10.3390/app152312490 - 25 Nov 2025
Viewed by 341
Abstract
Myocardial work (MW), derived from non-invasive pressure–strain loop (PSL) analysis, has recently emerged as a promising echocardiographic index for assessing left ventricular performance. It integrates speckle-tracking echocardiography with estimated left ventricular pressure, providing a load-adjusted measure of myocardial performance. This technique addresses the [...] Read more.
Myocardial work (MW), derived from non-invasive pressure–strain loop (PSL) analysis, has recently emerged as a promising echocardiographic index for assessing left ventricular performance. It integrates speckle-tracking echocardiography with estimated left ventricular pressure, providing a load-adjusted measure of myocardial performance. This technique addresses the limitations of traditional parameters such as global longitudinal strain (GLS) and ejection fraction (EF), particularly in populations exposed to dynamic loading conditions, such as athletes. Athletic training induces a spectrum of cardiac adaptations, collectively referred to as the “athlete’s heart,” which may mimic or mask pathological conditions. In this context, MW represents a valuable tool to differentiate physiological remodeling from early myocardial dysfunction or underlying cardiovascular disease (e.g., cardiomyopathies, myocarditis). The aim of this review is to explore the physiological rationale for using MW in athletes, evaluate its relationship with performance metrics (e.g., VO2max, lactate threshold), and discuss its potential, yet still emerging and not fully validated, role in informing training adaptation and detecting subclinical cardiac conditions. Additionally, we examine MW applications across different sport disciplines (strength, mixed-sport, and endurance), highlighting its role in individualized assessment and risk stratification. By synthesizing current evidence and outlining future research directions, this work emphasizes the potential of MW to become a standard component of cardiovascular evaluation in sports cardiology. Full article
(This article belongs to the Special Issue Research of Sports Medicine and Health Care: Second Edition)
Show Figures

Figure 1

31 pages, 11934 KB  
Article
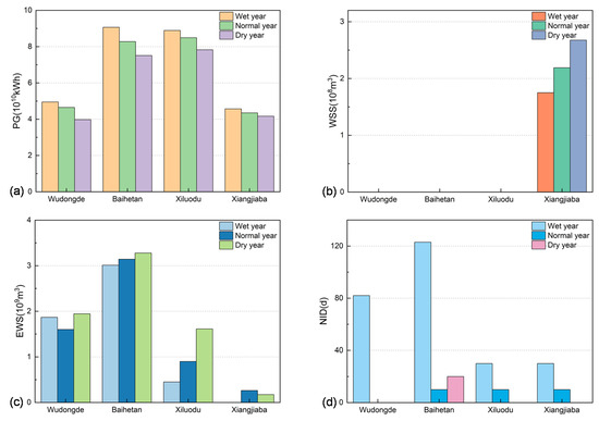
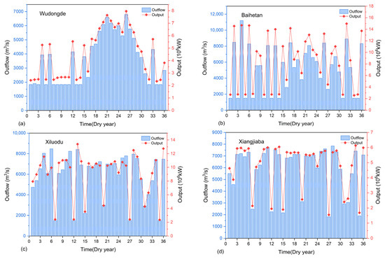
A Multi-Objective Optimization and Evaluation Framework for Sustainable Cascade Reservoir Operation: Evidence from the Lower Jinsha River
by Ziqiang Zeng and Wang Tian
Systems 2025, 13(12), 1053; https://doi.org/10.3390/systems13121053 - 23 Nov 2025
Viewed by 332
Abstract
Climate variability and growing competition for limited water resources have made the operation of cascade reservoirs increasingly complex. This study develops a comprehensive system-based multi-objective optimization and evaluation framework that simultaneously integrates five goals: power generation, water supply, ecological protection, navigation reliability, and [...] Read more.
Climate variability and growing competition for limited water resources have made the operation of cascade reservoirs increasingly complex. This study develops a comprehensive system-based multi-objective optimization and evaluation framework that simultaneously integrates five goals: power generation, water supply, ecological protection, navigation reliability, and flood control as a constraint. The framework employs the NSGA-III evolutionary algorithm to address the high-dimensional optimization problem and combines Analytic Hierarchy Process (AHP), Entropy Weight Method, and TOPSIS to integrate subjective expertise with objective data in the evaluation of alternatives. Applied to the lower Jinsha River cascade under wet, normal, and dry hydrological scenarios, the model reveals distinct conflicts between hydropower and ecological or navigational requirements, partial synergies between hydropower and water supply, and tension between ecological and supply demands. Hydrological variability alters these relationships, with wet years intensifying conflicts and dry years heightening supply and ecological pressures. Functional differentiation among reservoirs is also evident, with Baihetan and Xiluodu showing pronounced power–ecology tensions, while Xiangjiaba primarily supports supply and navigation. The study not only advances the theory of multi-objective decision-making in water resources systems but also offers actionable guidance for sustainable reservoir governance and regional development. Full article
(This article belongs to the Section Systems Engineering)
Show Figures

Figure 1

27 pages, 4100 KB  
Article
Analysis of Deep-Learning Methods in an ISO/TS 15066–Compliant Human–Robot Safety Framework
by David Bricher and Andreas Müller
Sensors 2025, 25(23), 7136; https://doi.org/10.3390/s25237136 - 22 Nov 2025
Viewed by 630
Abstract
Over the last years collaborative robots have gained great success in manufacturing applications where human and robot work together in close proximity. However, current ISO/TS-15066-compliant implementations often limit the efficiency of collaborative tasks due to conservative speed restrictions. For this reason, this paper [...] Read more.
Over the last years collaborative robots have gained great success in manufacturing applications where human and robot work together in close proximity. However, current ISO/TS-15066-compliant implementations often limit the efficiency of collaborative tasks due to conservative speed restrictions. For this reason, this paper introduces a deep-learning-based human–robot–safety framework (HRSF) that aims at a dynamical adaptation of robot velocities depending on the separation distance between human and robot while respecting maximum biomechanical force and pressure limits. The applicability of the framework was investigated for four different deep learning approaches that can be used for human body extraction: human body recognition, human body segmentation, human pose estimation, and human body part segmentation. Unlike conventional industrial safety systems, the proposed HRSF differentiates individual human body parts from other objects, enabling optimized robot process execution. Experiments demonstrated a quantitative reduction in cycle time of up to 15% compared to conventional safety technology. Full article
Show Figures

Figure 1

22 pages, 1749 KB  
Article
Pułtusk H5 Chondrite—A Compilation of Chemical, Physical, and Thermophysical Data
by Katarzyna Łuszczek and Radosław A. Wach
Geosciences 2025, 15(11), 438; https://doi.org/10.3390/geosciences15110438 - 18 Nov 2025
Viewed by 390
Abstract
The Pułtusk meteorite, classified as an H5 ordinary chondrite, is one of the best documented Polish falls, yet some important data on its physical and thermophysical properties remain limited. This study provides new measurements and derived parameters of its physical and thermophysical properties [...] Read more.
The Pułtusk meteorite, classified as an H5 ordinary chondrite, is one of the best documented Polish falls, yet some important data on its physical and thermophysical properties remain limited. This study provides new measurements and derived parameters of its physical and thermophysical properties that complement existing datasets for the Pułtusk meteorite and H chondrites in two important ways. Firstly, they cover a temperature range previously not explored. Secondly, using techniques generally applied in geology to validate the novel techniques developed recently, bulk and grain densities, porosity, and specific heat capacity were determined using the Archimedean method and differential scanning calorimetry, supported by bulk chemical analyses performed by ICP-MS and ICP-ES. The chemical composition of Pułtusk closely matches that of average H chondrites, though Fe and Ni contents are about 15–20% lower, likely due to weathering effects. Measured bulk density, grain density, and porosity are 3.30 g/cm3, 3.41 g/cm3, and 3.22%, respectively. The specific heat capacity increases from 564 to 1147 J/(kg·K) between 223 and 773 K, with 699 J/(kg·K) at 300 K. Derived thermophysical parameters include thermal conductivity, thermal diffusivity, and thermal inertia at 200 K, 300 K, and low pressure, and in ambient air. These results are consistent with previous data for H chondrites and confirm Pułtusk as a representative sample of this group. The new dataset can enhance the accuracy of models describing the Yarkovsky effect, meteoroid atmospheric entry, and the thermal evolution of ordinary chondrite parent bodies. Full article
Show Figures

Figure 1

22 pages, 4342 KB  
Article
Differential Single-Crystal Waveguide Ultrasonic Temperature Measurements Based on Magnetostriction
by Yanlong Wei, Gang Yang, Gao Wang, Haijian Liang, Hui Qi, Xiaofang Mu, Zhen Tian, Fujiang Yuan and Qianxiang Zhang
Micromachines 2025, 16(11), 1274; https://doi.org/10.3390/mi16111274 - 13 Nov 2025
Viewed by 382
Abstract
In extremely harsh high-temperature environments in aerospace, industrial manufacturing and other fields, traditional ultrasonic temperature measurement technology has certain limitations. This paper proposes a differential single crystal sapphire ultrasonic temperature measurement method based on the magnetostrictive effect. This method abandons the traditional sensitive [...] Read more.
In extremely harsh high-temperature environments in aerospace, industrial manufacturing and other fields, traditional ultrasonic temperature measurement technology has certain limitations. This paper proposes a differential single crystal sapphire ultrasonic temperature measurement method based on the magnetostrictive effect. This method abandons the traditional sensitive flexural structure and uses two single-crystal sapphire waveguides of the same material, same diameter, and slightly different lengths as sensing elements. By measuring the time delay difference between their end-face echoes, the sound velocity is inverted and the temperature is measured. COMSOL multi-physics v6.1 simulation was used to optimize the bias magnetic field design of the magnetostrictive transducer, which improved the system’s energy conversion efficiency and high-temperature stability. Experimental results show that in the range of 300–1200 °C, the sensor delay increases monotonically with increasing temperature, the sound speed shows a downward trend, and the repeatability error is less than 5%; the differential processing method effectively suppresses common mode noise in the range of 300–700 °C, and still shows high sensitivity above 800 °C. This research offers a technical solution with high reliability and accuracy for temperature monitoring in extreme environments such as those characterized by high temperatures and high pressures. Full article
(This article belongs to the Section A:Physics)
Show Figures

Figure 1

24 pages, 2296 KB  
Article
Well Pattern Optimization for Gas Reservoir Compressed Air Energy Storage Considering Multifactor Constraints
by Ming Yue, Chaoran Wei, Mingqi Jia, Kun Dai, Weiyao Zhu and Hongqing Song
Energies 2025, 18(22), 5953; https://doi.org/10.3390/en18225953 - 12 Nov 2025
Viewed by 293
Abstract
As an effective energy storage solution, gas reservoir compressed air energy storage (CAES) can efficiently utilize curtailed wind power to meet urban electricity demands. Well pattern optimization enables rational design and adjustment of well layouts to maximize productivity, efficiency, and economic benefits while [...] Read more.
As an effective energy storage solution, gas reservoir compressed air energy storage (CAES) can efficiently utilize curtailed wind power to meet urban electricity demands. Well pattern optimization enables rational design and adjustment of well layouts to maximize productivity, efficiency, and economic benefits while reducing energy losses and operational costs. To address limitations in conventional optimization methods—including oversimplified constraints, neglect of reservoir heterogeneity, and insufficient consideration of complex flow regimes—this study proposes an innovative multi-constraint well pattern optimization method incorporating productivity, energy conversion efficiency, drainage area, and economic performance for quantitative evaluation of well configurations. First, the reservoir flow domain was partitioned based on two flow regimes (Darcy and non-Darcy flow) near wells. Mathematical flow equations accounting for reservoir heterogeneity were established and solved using the rectangular grid method to determine productivity and formation pressure distributions for vertical and horizontal wells. Second, a drainage radius prediction model was developed based on pressure drop superposition principles to calculate gas drainage areas. Finally, an optimization function F, integrating productivity models and drainage radius calculations through ratio optimization criteria, was formulated to quantitatively characterize well pattern performance. An optimization workflow adhering to inter-well interference minimization principles was designed, culminating in a comprehensive CAES well pattern optimization framework. Case studies and sensitivity analyses on the depleted Mabei Block 8 CAES reservoir demonstrated the following: The quantitative optimization metric w decreases with increasing reservoir heterogeneity. w exhibits a unimodal relationship with production pressure differential, peaking at approximately 2.5 MPa. Optimal configuration was achieved with 3 horizontal wells and 23 vertical wells. Full article
(This article belongs to the Section D: Energy Storage and Application)
Show Figures

Figure 1

17 pages, 569 KB  
Article
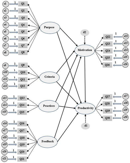
Evaluating Performance Appraisal Effects on Employee Motivation and Productivity: Insights from the Turkish Construction Industry via Covariance-Based Structural Equation Modeling
by Bayram Ali Temel, İpek Naz Semercioğlu, Hasan Basri Başağa, Aytaç Aydın, Vedat Toğan and Elif Ağcakoca
Buildings 2025, 15(22), 4040; https://doi.org/10.3390/buildings15224040 - 10 Nov 2025
Viewed by 803
Abstract
In the high-pressure environment of the construction industry, employee motivation and productivity are decisive for project success and organizational sustainability. However, performance appraisal (PA) systems tailored to the specific needs of construction workers remain underexplored, particularly in the context of Türkiye. This study [...] Read more.
In the high-pressure environment of the construction industry, employee motivation and productivity are decisive for project success and organizational sustainability. However, performance appraisal (PA) systems tailored to the specific needs of construction workers remain underexplored, particularly in the context of Türkiye. This study aims to evaluate the influence of PA on employee motivation and productivity by employing a quantitative survey of 401 construction workers and analyzing the data through covariance-based structural equation modeling (CB-SEM). A validated questionnaire, adapted from prior studies, was applied to test nine hypotheses concerning the relationships between PA dimensions—purpose of appraisal, appraisal criteria, appraisal practices, and feedback—and workers’ motivation and productivity. The results reveal that four hypotheses were supported: the purpose of PA significantly influences both motivation and productivity, feedback has a strong effect on productivity, and motivation is positively correlated with productivity. Conversely, appraisal criteria and practices did not exhibit statistically significant effects. These findings highlight the differentiated role of appraisal components and emphasize that clear appraisal objectives and constructive feedback mechanisms are key drivers of workforce performance. The study contributes to the construction management literature by addressing an overlooked employee group—construction workers—and provides practical implications for managers seeking to improve appraisal frameworks in labor-intensive sectors. Limitations regarding the cross-sectional design and self-reported data are acknowledged, with recommendations for longitudinal and cross-cultural research. Full article
(This article belongs to the Section Construction Management, and Computers & Digitization)
Show Figures

Figure 1

26 pages, 7058 KB  
Article
Geo-PhysNet: A Geometry-Aware and Physics-Constrained Graph Neural Network for Aerodynamic Pressure Prediction on Vehicle Fluid–Solid Surfaces
by Bowen Liu, Hao Wang, Liheng Xue and Yin Long
Appl. Sci. 2025, 15(21), 11645; https://doi.org/10.3390/app152111645 - 31 Oct 2025
Viewed by 561
Abstract
The aerodynamic pressure of a car is crucial for its shape design. To overcome the time-consuming and costly bottleneck of wind tunnel tests and computational fluid dynamics (CFD) simulations, deep learning-based surrogate models have emerged as highly promising alternatives. However, existing methods that [...] Read more.
The aerodynamic pressure of a car is crucial for its shape design. To overcome the time-consuming and costly bottleneck of wind tunnel tests and computational fluid dynamics (CFD) simulations, deep learning-based surrogate models have emerged as highly promising alternatives. However, existing methods that only predict on the surface of objects only learn the mapping of pressure. In contrast, a physically realistic field has values and gradients that are structurally unified and self-consistent. Therefore, existing methods ignore the crucial differential structure and intrinsic continuity of the physical field as a whole. This oversight leads to their predictions, even if locally numerically close, often showing unrealistic gradient distributions and high-frequency oscillations macroscopically, greatly limiting their reliability and practicality in engineering decisions. To address this, this study proposes the Geo-PhysNet model, a graph neural network framework specifically designed for complex surface manifolds with strong physical constraints. This framework learns a differential representation, and its network architecture is designed to simultaneously predict the pressure scalar field and its tangential gradient vector field on the surface manifold within a unified framework. By making the gradient an explicit learning target, we force the network to understand the local mechanical causes leading to pressure changes, thereby mathematically ensuring the self-consistency of the field’s intrinsic structure, rather than merely learning the numerical mapping of pressure. Finally, to solve the common noise problem in the predictions of existing methods, we introduce a physical regularization term based on the surface Laplacian operator to penalize non-smooth solutions, ensuring the physical rationality of the final output field. Experimental verification results show that Geo-PhysNet not only outperforms existing benchmark models in numerical accuracy but, more importantly, demonstrates superior advantages in the physical authenticity, field continuity, and gradient smoothness of the generated pressure fields. Full article
Show Figures

Figure 1

17 pages, 1956 KB  
Article
Pressure Control of Variable Air Volume System Based on Infiltration Rate
by Kyung-Won Kim, Min-Jun Kim, Jin-Hyun Lee, Hyo-Jun Kim and Young-Hum Cho
Appl. Sci. 2025, 15(21), 11430; https://doi.org/10.3390/app152111430 - 25 Oct 2025
Viewed by 402
Abstract
This study proposes an operational strategy to reduce building infiltration rates by predicting the infiltration rate in a variable air volume (VAV) system and implementing pressure control based on these predictions. To achieve this, a theoretical review of conventional VAV systems operations and [...] Read more.
This study proposes an operational strategy to reduce building infiltration rates by predicting the infiltration rate in a variable air volume (VAV) system and implementing pressure control based on these predictions. To achieve this, a theoretical review of conventional VAV systems operations and its impact on building pressure differences was conducted. A method for predicting infiltration rate based on airflow variations in the VAV system was proposed and validated. Furthermore, a pressure control algorithm that utilizes the predicted infiltration rate was developed and evaluated. Previous studies were limited in capturing real-time envelope pressure differentials and changes in infiltration rate. However, this study predicted infiltration rate based on the exponential relationship between the difference in supply and return airflow rates and pressure differential, and verified its reliability against measured values. Furthermore, pressure control based on predicted infiltration rate reduced the infiltration rate by up to 46.1% compared with fan tracking and volumetric tracking control systems, while also reducing fan energy consumption by 94.7%, confirming its effectiveness in reducing cooling load. Full article
Show Figures

Figure 1

22 pages, 10792 KB  
Review
How Grazing, Enclosure, and Mowing Intensities Shape Vegetation–Soil–Microbe Dynamics of Qinghai–Tibet Plateau Grasslands: Insights for Spatially Differentiated Integrated Management
by Wei Song
Land 2025, 14(11), 2122; https://doi.org/10.3390/land14112122 - 24 Oct 2025
Viewed by 539
Abstract
Grasslands provide essential forage, fuel, and ecosystem services, underpinning regional livestock husbandry and ecological integrity. However, improper utilization drives structural degradation and functional decline of the vegetation–soil–microbe system, particularly on the ecologically sensitive and fragile Qinghai–Tibet Plateau (QTP). The differential impacts of diverse [...] Read more.
Grasslands provide essential forage, fuel, and ecosystem services, underpinning regional livestock husbandry and ecological integrity. However, improper utilization drives structural degradation and functional decline of the vegetation–soil–microbe system, particularly on the ecologically sensitive and fragile Qinghai–Tibet Plateau (QTP). The differential impacts of diverse utilization practices on QTP grasslands remain inadequately understood, limiting scientific support for differentiated sustainable management. To address this, we conducted a comprehensive meta-analysis to clarify effects of grazing, enclosure, and mowing on QTP grasslands, integrating studies from Web of Science, Google Scholar, and CNKI. We constructed disturbance intensity indicators to quantify utilization pressure and used multiple ecological metrics to characterize heterogeneous responses of the vegetation–soil–microbe system. Moderate grazing enhanced vegetation coverage, biomass, diversity, soil total phosphorus, and organic matter; high-intensity grazing reduced vegetation traits, soil bulk density, moisture, nutrients, and microbial biomass/diversity, while increasing soil pH. Early enclosure mitigated anthropogenic disturbance to improve grassland functions, but long-term enclosure exacerbated nutrient/moisture competition, lowering vegetation biomass/diversity and degrading soil properties. Moderate mowing improved vegetation communities by suppressing dominant species overexpansion; excessive mowing caused vegetation homogenization, soil carbon loss, and microbial destabilization. Impacts showed environmental heterogeneity linked to climate, soil, vegetation type, and elevation. In humid and fertile alpine meadows, moderate grazing more effectively promoted vegetation diversity and soil nutrient cycling, while in arid and nutrient-poor desert grasslands, even light grazing led to visible declines in vegetation coverage and soil moisture. Low-elevation alpine grasslands exhibited stronger positive responses to moderate grazing, whereas high-elevation alpine desert grasslands showed high vulnerability even to light grazing. Based on these mechanisms, regionally tailored strategies integrating multiple practices are required to balance ecological conservation and livestock production, promoting QTP grassland sustainability. In future research, we will strengthen quantitative exploration of how specific environmental factors regulate the magnitude and direction of grassland ecosystem responses to grazing, enclosure, and mowing, thereby providing more precise scientific basis for differentiated grassland management. Full article
Show Figures

Figure 1

15 pages, 4391 KB  
Article
Magnetically Saturated Pulsed Eddy Current for Inner-Liner Collapse in Bimetal Composite Pipelines: Physics, Identifiability, and Field Validation
by Shuyi Xie, Peng Xu, Liya Ma, Tao Liang, Xiaoxiao Ma, Jinheng Luo and Lifeng Li
Processes 2025, 13(11), 3409; https://doi.org/10.3390/pr13113409 - 24 Oct 2025
Viewed by 380
Abstract
Underground gas storage (UGS) is critical to national reserves and seasonal peak-shaving, and its safe operation is integral to energy security. In UGS surface process pipelines, heterogeneous bimetal composite pipes—carbon-steel substrates lined with stainless steel—are widely used but susceptible under coupled thermal–pressure–flow loading [...] Read more.
Underground gas storage (UGS) is critical to national reserves and seasonal peak-shaving, and its safe operation is integral to energy security. In UGS surface process pipelines, heterogeneous bimetal composite pipes—carbon-steel substrates lined with stainless steel—are widely used but susceptible under coupled thermal–pressure–flow loading to geometry-induced instabilities (local buckling, adhesion, and collapse), which can restrict flow, concentrate stress, and precipitate rupture and unplanned shutdowns. Conventional ultrasonic testing and magnetic flux leakage have limited sensitivity to such instabilities, while standard eddy-current testing is impeded by the ferromagnetic substrate’s high permeability and electromagnetic shielding. This study introduces magnetically saturated pulsed eddy-current testing (MS-PECT). A quasi-static bias field drives the substrate toward magnetic saturation, reducing differential permeability and increasing effective penetration; combined with pulsed excitation and differential reception, the approach improves defect responsiveness and the signal-to-noise ratio. A prototype was developed and evaluated through mechanistic modeling, numerical simulation, laboratory pipe trials, and in-service demonstrations. Field deployment on composite pipelines at the Hutubi UGS (Xinjiang, China) enabled rapid identification and spatial localization of liner collapse under non-shutdown or minimally invasive conditions. MS-PECT provides a practical tool for composite-pipeline integrity management, reducing the risk of unplanned outages, enhancing peak-shaving reliability, and supporting resilient UGS operations. Full article
(This article belongs to the Special Issue Modeling, Simulation and Control in Energy Systems—2nd Edition)
Show Figures

Figure 1

Back to TopTop