Sign in to use this feature.

Years

Between: -

Subjects

remove_circle_outline
remove_circle_outline
remove_circle_outline
remove_circle_outline
remove_circle_outline
remove_circle_outline
remove_circle_outline
remove_circle_outline
remove_circle_outline

Journals

Article Types

Countries / Regions

Search Results (58)

Search Parameters:
Keywords = least squares support vector regression (LS-SVR)

Order results
Result details
Results per page
Select all
Export citation of selected articles as:
23 pages, 18453 KB  
Article
Efficient Short-Term Wind Power Prediction Using a Novel Hybrid Machine Learning Model: LOFVT-OVMD-INGO-LSSVR
by Zhouning Wei and Duo Zhao
Energies 2025, 18(7), 1849; https://doi.org/10.3390/en18071849 - 6 Apr 2025
Cited by 1 | Viewed by 686
Abstract
Accurate wind power forecasting (WPF) is crucial to enhance availability and reap the benefits of integration into power grids. The time lag of wind power generation lags the time of wind speed changes, especially in ultra-short-term forecasting. The prediction model is sensitive to [...] Read more.
Accurate wind power forecasting (WPF) is crucial to enhance availability and reap the benefits of integration into power grids. The time lag of wind power generation lags the time of wind speed changes, especially in ultra-short-term forecasting. The prediction model is sensitive to outliers and sudden changes in input historical meteorological data, which may significantly affect the robustness of the WPF model. To address this issue, this paper proposes a novel hybrid machine learning model for highly accurate forecasting of wind power generation in ultra-short-term forecasting. The raw wind power data were filtered and classified with the local outlier factor (LOF) and the voting tree (VT) model to obtain a subset of inputs with the best relevance. The time-varying properties of the fluctuating sub-signals of the wind power sequences were analyzed with the optimized variational mode decomposition (OVMD) algorithm. The Northern Goshawk optimization (NGO) algorithm was improved by incorporating a logical chaotic initialization strategy and chaotic adaptive inertia weights. The improved NGO algorithm was used to optimize the least squares support vector regression (LSSVR) prediction model to improve the computational speed and prediction results. The proposed model was compared with traditional machine learning models, deep learning models, and other hybrid models. The experimental results show that the proposed model has an average R2 of 0.9998. The average MSE, average MAE, and average MAPE are as low as 0.0244, 0.1073, and 0.3587, which displayed the best results in ultra-short-term WPF. Full article
Show Figures

Figure 1

34 pages, 1581 KB  
Article
A Multi-Output Ensemble Learning Approach for Multi-Day Ahead Index Price Forecasting
by Kartik Sahoo and Manoj Thakur
AppliedMath 2025, 5(1), 6; https://doi.org/10.3390/appliedmath5010006 - 10 Jan 2025
Cited by 1 | Viewed by 2014
Abstract
The stock market index future price forecasting is one of the imperative financial time series problems. Accurately estimated future closing prices can play important role in making trading decisions and investment plannings. This work proposes a new multi-output ensemble framework that integrates the [...] Read more.
The stock market index future price forecasting is one of the imperative financial time series problems. Accurately estimated future closing prices can play important role in making trading decisions and investment plannings. This work proposes a new multi-output ensemble framework that integrates the hybrid systems generated through importance score based feature weighted learning models through a continuous multi-colony ant colony optimization technique (MACO-LD) for multi-day ahead index future price forecasting. Importance scores are obtained through four different importance score generation strategies (F-test, Relief, Random Forest, and Grey correlation). Multi-output variants of three baseline learning algorithms are brought in to address multi-day ahead forecasting. This study uses three learning algorithms namely multi-output least square support vector regression (MO-LSSVR), multi-output proximal support vector regression (MO-PSVR) and multi-output ε-twin support vector regression (MO-ε-TSVR) as the baseline methods for the feature weighted hybrid models. For the purpose of forecasting the future price of an index, a comprehensive collection of technical indicators has been taken into consideration as the input features. The proposed study is tested over eight index futures to explore the forecasting performance of individual hybrid predictors obtained after incorporating importance scores over baseline methods. Finally, multi-colony ant colony optimization algorithm is employed to construct the ensemble results from the feature weighted hybrid models along with baseline algorithms. The experimental results for all the eight index futures established that the proposed ensemble of importance score based feature weighted models exhibits superior performance in index future price forecasting compared to the baseline methods and that of importance score based hybrid methods. Full article
Show Figures

Figure 1

17 pages, 5782 KB  
Article
A Novel Approach to High Stability Engine Control for Aero-Propulsion Systems in Supersonic Conditions
by Fengyong Sun, Jitai Han and Changpo Song
Aerospace 2024, 11(12), 1029; https://doi.org/10.3390/aerospace11121029 - 16 Dec 2024
Viewed by 1067
Abstract
In a supersonic state, the aero-engine operates under harsh circumstances of elevated temperature, high pressure, and rapid rotor speed. This work provides an innovative high-stability control technique for engines with fixed-geometry inlets, addressing stability control issues at the aero-propulsion system level. The discussion [...] Read more.
In a supersonic state, the aero-engine operates under harsh circumstances of elevated temperature, high pressure, and rapid rotor speed. This work provides an innovative high-stability control technique for engines with fixed-geometry inlets, addressing stability control issues at the aero-propulsion system level. The discussion begins with the importance of an integrated model for the intake and the aero-engine, introducing two stability indices (surge margin and buzz margin) to characterize inlet stability. A novel predictive model for engine air mass flow is developed to address the indeterminate issue of engine air mass flow. The integration of input parameters in the predictive model is refined using the least squares support vector regression (LSSVR) algorithm, and historical input data is used to enhance predictive performance, as validated by numerical simulation results. A data-driven adaptive augmented linear quadratic regulator (d-ALQR) control technique is suggested to adaptively modify the control parameters of the augmented linear quadratic regulator. A highly stable control strategy is finally proposed, integrating the predictive model with the d-ALQR controller. The simulation results conducted during maneuvering flight operations demonstrate that the developed high-stability controller can maintain the inlet in an efficient and safe condition, ensuring optimal compatibility between the engine and the inlet. Full article
(This article belongs to the Section Aeronautics)
Show Figures

Figure 1

16 pages, 3930 KB  
Article
Spectral Fingerprinting of Tencha Processing: Optimising the Detection of Total Free Amino Acid Content in Processing Lines by Hyperspectral Analysis
by Qinghai He, Yihang Guo, Xiaoli Li, Yong He, Zhi Lin and Hui Zeng
Foods 2024, 13(23), 3862; https://doi.org/10.3390/foods13233862 - 29 Nov 2024
Cited by 3 | Viewed by 1214
Abstract
The quality and flavor of tea leaves are significantly influenced by chemical composition, with the content of free amino acids serving as a key indicator for assessing the quality of Tencha. Accurately and quickly measuring free amino acids during tea processing is crucial [...] Read more.
The quality and flavor of tea leaves are significantly influenced by chemical composition, with the content of free amino acids serving as a key indicator for assessing the quality of Tencha. Accurately and quickly measuring free amino acids during tea processing is crucial for monitoring and optimizing production processes. However, traditional chemical analysis methods are often time-consuming and costly, limiting their application in real-time quality control. Hyperspectral imaging (HSI) has shown significant effectiveness as a component detection tool in various agricultural applications. This study employs VNIR-HSI combined with machine learning algorithms to develop a model for visualizing the total free amino acid content in Tencha samples that have undergone different processing steps on the production line. Four pretreating methods were employed to preprocess the spectra, and partial least squares regression (PLSR) and least squares support vector machine regression (LS–SVR) models were established from the perspectives of individual processes and the entire process. Combining competitive adaptive reweighted sampling (CARS) and variable iterative space shrinkage approach (VISSA) methods for characteristic band selection, specific bands were chosen to predict the amino acid content. By comparing modeling evaluation indicators for each model, the optimal model was identified: the overall model CT+CARS+PLSR, with predictive indicators Rc2 = 0.9885, Rp2 = 0.9566, RMSEC = 0.0956, RMSEP = 0.1749, RPD = 4.8021, enabling the visualization of total free amino acid content in processed Tencha leaves. Here, we establish a benchmark for machine learning-based HSI, integrating this technology into the tea processing workflow to provide a real-time decision support tool for quality control, offering a novel method for the rapid and accurate prediction of free amino acids during tea processing. This achievement not only provides a scientific basis for the tea processing sector but also opens new avenues for the application of hyperspectral imaging technology in food science. Full article
(This article belongs to the Section Food Engineering and Technology)
Show Figures

Figure 1

15 pages, 3352 KB  
Article
Adaptive Difference Least Squares Support Vector Regression for Urban Road Collapse Timing Prediction
by Yafang Han, Limin Quan, Yanchun Liu, Yong Zhang, Minghou Li and Jian Shan
Symmetry 2024, 16(8), 977; https://doi.org/10.3390/sym16080977 - 1 Aug 2024
Cited by 1 | Viewed by 1348
Abstract
The accurate prediction of urban road collapses is of paramount importance for public safety and infrastructure management. However, the complex and variable nature of road subsidence mechanisms, coupled with the inherent noise and non-stationarity in the data, poses significant challenges to the development [...] Read more.
The accurate prediction of urban road collapses is of paramount importance for public safety and infrastructure management. However, the complex and variable nature of road subsidence mechanisms, coupled with the inherent noise and non-stationarity in the data, poses significant challenges to the development of precise and real-time prediction models. To address these challenges, this paper develops an Adaptive Difference Least Squares Support Vector Regression (AD-LSSVR) model. The AD-LSSVR model employs a difference transformation to process the input and output data, effectively reducing noise and enhancing model stability. This transformation extracts trends and features from the data, leveraging the symmetrical characteristics inherent within it. Additionally, the model parameters were optimized using grid search and cross-validation techniques, which systematically explore the parameter space and evaluate model performance of multiple subsets of data, ensuring both precision and generalizability of the selected parameters. Moreover, a sliding window method was employed to address data sparsity and anomalies, ensuring the robustness and adaptability of the model. The experimental results demonstrate the superior adaptability and precision of the AD-LSSVR model in predicting road collapse timing, highlighting its effectiveness in handling the complex nonlinear data. Full article
(This article belongs to the Special Issue Applications Based on Symmetry/Asymmetry in Machine Learning)
Show Figures

Figure 1

15 pages, 2770 KB  
Article
Prediction of Geometric Characteristics of Laser Cladding Layer Based on Least Squares Support Vector Regression and Crested Porcupine Optimization
by Xiangpan Li, Junfei Xu, Junhua Wang, Yan Lu, Jianhai Han, Bingjing Guo and Tancheng Xie
Micromachines 2024, 15(7), 919; https://doi.org/10.3390/mi15070919 - 16 Jul 2024
Cited by 5 | Viewed by 1730
Abstract
The morphology size of laser cladding is a crucial parameter that significantly impacts the quality and performance of the cladding layer. This study proposes a predictive model for the cladding morphology size based on the Least Squares Support Vector Regression (LSSVR) and the [...] Read more.
The morphology size of laser cladding is a crucial parameter that significantly impacts the quality and performance of the cladding layer. This study proposes a predictive model for the cladding morphology size based on the Least Squares Support Vector Regression (LSSVR) and the Crowned Porcupine Optimization (CPO) algorithm. Specifically, the proposed model takes three key parameters as inputs: laser power, scanning speed, and powder feeding rate, with the width and height of the cladding layer as outputs. To further enhance the predictive accuracy of the LSSVR model, a CPO-based optimization strategy is applied to adjust the penalty factor and kernel parameters. Consequently, the CPO-LSSVR model is established and evaluated against the LSSVR model and the Genetic Algorithm-optimized Backpropagation Neural Network (GA-BP) model in terms of relative error metrics. The experimental results demonstrate that the CPO-LSSVR model can achieve a significantly improved relative error of no more than 2.5%, indicating a substantial enhancement in predictive accuracy compared to other methods and showcasing its superior predictive performance. The high accuracy of the CPO-LSSVR model can effectively guide the selection of laser cladding process parameters and thereby enhance the quality and efficiency of the cladding process. Full article
(This article belongs to the Special Issue Optical and Laser Material Processing)
Show Figures

Figure 1

21 pages, 11543 KB  
Article
A Multiscale Hybrid Wind Power Prediction Model Based on Least Squares Support Vector Regression–Regularized Extreme Learning Machine–Multi-Head Attention–Bidirectional Gated Recurrent Unit and Data Decomposition
by Yuan Sun and Shiyang Zhang
Energies 2024, 17(12), 2923; https://doi.org/10.3390/en17122923 - 14 Jun 2024
Cited by 8 | Viewed by 1196
Abstract
Ensuring the accuracy of wind power prediction is paramount for the reliable and stable operation of power systems. This study introduces a novel approach aimed at enhancing the precision of wind power prediction through the development of a multiscale hybrid model. This model [...] Read more.
Ensuring the accuracy of wind power prediction is paramount for the reliable and stable operation of power systems. This study introduces a novel approach aimed at enhancing the precision of wind power prediction through the development of a multiscale hybrid model. This model integrates advanced methodologies including Improved Intrinsic Mode Function with Ensemble Empirical Mode Decomposition with Adaptive Noise (ICEEMDAN), permutation entropy (PE), Least Squares Support Vector Regression (LSSVR), Regularized Extreme Learning Machine (RELM), multi-head attention (MHA), and Bidirectional Gated Recurrent Unit (BiGRU). Firstly, the ICEEMDAN technique is employed to decompose the non-stationary raw wind power data into multiple relatively stable sub-modes, while concurrently utilizing PE to assess the complexity of each sub-mode. Secondly, the dataset is reconstituted into three distinct components as follows: high-frequency, mid-frequency, and low-frequency, to alleviate data complexity. Following this, the LSSVR, RELM, and MHA-BiGRU models are individually applied to predict the high-, mid-, and low-frequency components, respectively. Thirdly, the parameters of the low-frequency prediction model are optimized utilizing the Dung Beetle Optimizer (DBO) algorithm. Ultimately, the predicted results of each component are aggregated to derive the final prediction. The empirical findings illustrate the exceptional predictive performance of the multiscale hybrid model incorporating LSSVR, RELM, and MHA-BiGRU. In comparison with other benchmark models, the proposed model exhibits a reduction in Root Mean Squared Error (RMSE) values of over 10%, conclusively affirming its superior predictive accuracy. Full article
(This article belongs to the Topic Advances in Wind Energy Technology)
Show Figures

Figure 1

18 pages, 867 KB  
Article
On Least Squares Support Vector Regression for Predicting Mechanical Properties of Steel Rebars
by Renan Bessa, Guilherme Alencar Barreto, David Nascimento Coelho, Elineudo Pinho de Moura and Raphaella Hermont Fonseca Murta
Metals 2024, 14(6), 695; https://doi.org/10.3390/met14060695 - 12 Jun 2024
Cited by 5 | Viewed by 2012
Abstract
Aiming at ensuring the quality of the product and reducing the cost of steel manufacturing, an increasing number of studies have been developing nonlinear regression models for the prediction of the mechanical properties of steel rebars using machine learning techniques. Bearing this in [...] Read more.
Aiming at ensuring the quality of the product and reducing the cost of steel manufacturing, an increasing number of studies have been developing nonlinear regression models for the prediction of the mechanical properties of steel rebars using machine learning techniques. Bearing this in mind, we revisit this problem by developing a design methodology that amalgamates two powerful concepts in parsimonious model building: (i) sparsity, in the sense that few support vectors are required for building the predictive model, and (ii) locality, in the sense that simpler models can be fitted to smaller data partitions. In this regard, two regression models based on the Least Squares Support Vector Regression (LSSVR) model are developed. The first one is an improved sparse version of the one introduced in a previous work. The second one is a novel local LSSVR-based regression model. The task of interest is the prediction of four output variables (the mechanical properties YS, UTS, UTS/YS, and PE) based on information about its chemical composition (12 variables) and the parameters of the heat treatment rolling (6 variables). The proposed LSSVR-based regression models are evaluated using real-world data collected from steel rebar manufacturing and compared with the global LSSVR model. The local sparse LSSVR approach was able to consistently outperform the standard single regression model approach in the task of interest, achieving improvements in the average R2 from previous studies: 5.04% for UTS, 5.19% for YS, 1.96% for UTS/YS, and 3.41% for PE. Furthermore, the sparsification of the dataset and the local modeling approach significantly reduce the number of SV operations on average, utilizing 34.0% of the total SVs available for UTS estimation, 44.0% for YS, 31.3% for UTS/YS, and 32.8% for PE. Full article
(This article belongs to the Special Issue Machine Learning Models in Metals)
Show Figures

Figure 1

11 pages, 1401 KB  
Article
Non-Destructive Testing of the Internal Quality of Korla Fragrant Pears Based on Dielectric Properties
by Yurong Tang, Hong Zhang, Qing Liang, Yifan Xia, Jikai Che and Yang Liu
Horticulturae 2024, 10(6), 572; https://doi.org/10.3390/horticulturae10060572 - 30 May 2024
Cited by 9 | Viewed by 1539
Abstract
This study provides a method for the rapid, non-destructive testing of the internal quality of Korla fragrant pears. The dielectric constant (ε′) and dielectric loss factor (ε″) of pear samples were tested at 100 frequency points (range = 0.1–26.5 GHz) using a vector [...] Read more.
This study provides a method for the rapid, non-destructive testing of the internal quality of Korla fragrant pears. The dielectric constant (ε′) and dielectric loss factor (ε″) of pear samples were tested at 100 frequency points (range = 0.1–26.5 GHz) using a vector network analyzer and coaxial probe. The variations in the dielectric parameters of fragrant pears were analyzed. The linear relationships between the dielectric parameters and internal quality were explored. Internal quality prediction models for Korla fragrant pears were built using partial least squares regression (PLSR), support vector regression (SVR) and particle swarm optimization–least squares support vector regression (PSO-LSSVR). The optimal model was then determined. There was a weak correlation between the dielectric parameters and soluble solid content (SSC) under a single frequency. The model based on PLSR and using ε′ as a variable predicted hardness the best, while the model based on PLSR using ε″ as a variable predicted SSC the best. Its R and MSE values were 0.77 and 0.073 in hardness prediction, respectively, and 0.91 and 0.087 in SSC prediction. This study provides a new method for the non-destructive online testing of the internal quality of Korla fragrant pears. Full article
Show Figures

Figure 1

20 pages, 6045 KB  
Article
Online Prediction Method of Transmission Line Icing Based on Robust Seasonal Decomposition of Time Series and Bilinear Temporal–Spectral Fusion and Improved Beluga Whale Optimization Algorithm–Least Squares Support Vector Regression
by Qiang Li, Xiao Liao, Wei Cui, Ying Wang, Hui Cao and Xianjing Zhong
Appl. Syst. Innov. 2024, 7(3), 40; https://doi.org/10.3390/asi7030040 - 16 May 2024
Cited by 2 | Viewed by 1669
Abstract
Due to the prevalent challenges of inadequate accuracy, unstandardized parameters, and suboptimal efficiency with regard to icing prediction, this study introduces an innovative online method for icing prediction based on Robust STL–BTSF and IBWO–LSSVR. Firstly, this study adopts the Robust Seasonal Decomposition of [...] Read more.
Due to the prevalent challenges of inadequate accuracy, unstandardized parameters, and suboptimal efficiency with regard to icing prediction, this study introduces an innovative online method for icing prediction based on Robust STL–BTSF and IBWO–LSSVR. Firstly, this study adopts the Robust Seasonal Decomposition of Time Series and Bilinear Temporal–Spectral Fusion (Robust STL–BTSF) approach, which is demonstrably effective for short-term and limited sample data preprocessing. Subsequently, injecting a multi-faceted enhancement approach to the Beluga Whale Optimization algorithm (BWO), which integrates a nonlinear balancing factor, a population optimization strategy, a whale fall mechanism, and an ascendant elite learning scheme. Then, using the Improved BWO (IBWO) above to optimize the key hyperparameters of Least Squares Support Vector Regression (LSSVR), a superior offline predictive part is constructed based on this approach. In addition, an Incremental Online Learning algorithm (IOL) is imported. Integrating the two parts, the advanced online icing prediction model for transmission lines is built. Finally, simulations based on actual icing data unequivocally demonstrate that the proposed method markedly enhances both the accuracy and speed of predictions, thereby presenting a sophisticated solution for the icing prediction on the transmission lines. Full article
Show Figures

Figure 1

17 pages, 3352 KB  
Article
Impact of PCA Pre-Normalization Methods on Ground Reaction Force Estimation Accuracy
by Amal Kammoun, Philippe Ravier and Olivier Buttelli
Sensors 2024, 24(4), 1137; https://doi.org/10.3390/s24041137 - 9 Feb 2024
Cited by 11 | Viewed by 2266
Abstract
Ground reaction force (GRF) components can be estimated using insole pressure sensors. Principal component analysis in conjunction with machine learning (PCA-ML) methods are widely used for this task. PCA reduces dimensionality and requires pre-normalization. In this paper, we evaluated the impact of twelve [...] Read more.
Ground reaction force (GRF) components can be estimated using insole pressure sensors. Principal component analysis in conjunction with machine learning (PCA-ML) methods are widely used for this task. PCA reduces dimensionality and requires pre-normalization. In this paper, we evaluated the impact of twelve pre-normalization methods using three PCA-ML methods on the accuracy of GRF component estimation. Accuracy was assessed using laboratory data from gold-standard force plate measurements. Data were collected from nine subjects during slow- and normal-speed walking activities. We tested the ANN (artificial neural network) and LS (least square) methods while also exploring support vector regression (SVR), a method not previously examined in the literature, to the best of our knowledge. In the context of our work, our results suggest that the same normalization method can produce the worst or the best accuracy results, depending on the ML method. For example, the body weight normalization method yields good results for PCA-ANN but the worst performance for PCA-SVR. For PCA-ANN and PCA-LS, the vector standardization normalization method is recommended. For PCA-SVR, the mean method is recommended. The final message is not to define a normalization method a priori independently of the ML method. Full article
(This article belongs to the Special Issue Signal Processing and Machine Learning for Sensor Systems)
Show Figures

Figure 1

18 pages, 23141 KB  
Article
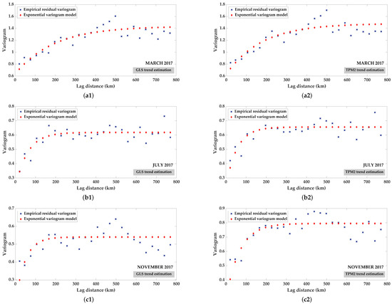
A Non-Linear Trend Function for Kriging with External Drift Using Least Squares Support Vector Regression
by Kanokrat Baisad, Nawinda Chutsagulprom and Sompop Moonchai
Mathematics 2023, 11(23), 4799; https://doi.org/10.3390/math11234799 - 28 Nov 2023
Cited by 3 | Viewed by 2350
Abstract
Spatial interpolation of meteorological data can have immense implications on risk management and climate change planning. Kriging with external drift (KED) is a spatial interpolation variant that uses auxiliary information in the estimation of target variables at unobserved locations. However, traditional KED methods [...] Read more.
Spatial interpolation of meteorological data can have immense implications on risk management and climate change planning. Kriging with external drift (KED) is a spatial interpolation variant that uses auxiliary information in the estimation of target variables at unobserved locations. However, traditional KED methods with linear trend functions may not be able to capture the complex and non-linear interdependence between target and auxiliary variables, which can lead to an inaccurate estimation. In this work, a novel KED method using least squares support vector regression (LSSVR) is proposed. This machine learning algorithm is employed to construct trend functions regardless of the type of variable interrelations being considered. To evaluate the efficiency of the proposed method (KED with LSSVR) relative to the traditional method (KED with a linear trend function), a systematic simulation study for estimating the monthly mean temperature and pressure in Thailand in 2017 was conducted. The KED with LSSVR is shown to have superior performance over the KED with the linear trend function. Full article
Show Figures

Figure 1

17 pages, 4440 KB  
Article
Evaluation of Landweber Coupled Least Square Support Vector Regression Algorithm for Electrical Capacitance Tomography for LN2–VN2 Flow
by Ze-Nan Tian, Xin-Xin Gao, Tao Xia and Xiao-Bin Zhang
Energies 2023, 16(22), 7661; https://doi.org/10.3390/en16227661 - 20 Nov 2023
Cited by 1 | Viewed by 1173
Abstract
The electric capacitance tomography (ECT) technique has been widely used in phase distribution reconstruction, while the practical application raised nonideal noise and other errors for cryogenic conditions, requiring a more accurate algorithm. This paper develops a new image reconstruction algorithm for ECT by [...] Read more.
The electric capacitance tomography (ECT) technique has been widely used in phase distribution reconstruction, while the practical application raised nonideal noise and other errors for cryogenic conditions, requiring a more accurate algorithm. This paper develops a new image reconstruction algorithm for ECT by coupling the traditional Landweber algorithm with the least square support vector regression (LSSVR) for cryogenic fluids. The performance of the algorithm is quantitatively evaluated by comparing the inversion images with the experimental results for both the room temperature working medium with the dielectric constant ratio close to cryogenic fluid and the cryogenic fluid of liquid nitrogen/nitrogen vapor (LN2-VN2). The inversion images based on the conventional LBP and Landweber algorithms are also presented for comparison. The benefits and drawbacks of the developed algorithms are revealed and discussed, according to the results. It is demonstrated that the correlated coefficients of the images based on the developed algorithm reach more than 0.88 and a maximum of 0.975. In addition, the minimum void fraction error of the algorithm is reduced to 0.534%, which indicates the significant optimization of the LSSVR coupled method over the Landweber algorithm. Full article
Show Figures

Figure 1

23 pages, 12796 KB  
Article
Research on Hyperspectral Modeling of Total Iron Content in Soil Applying LSSVR and CNN Based on Shannon Entropy Wavelet Packet Transform
by Weichao Liu, Hongyuan Huo, Ping Zhou, Mingyue Li and Yuzhen Wang
Remote Sens. 2023, 15(19), 4681; https://doi.org/10.3390/rs15194681 - 24 Sep 2023
Cited by 5 | Viewed by 2279
Abstract
The influence of some seemingly anomalous samples on modeling is often ignored in the quantitative prediction of soil composition modeling with hyperspectral data. Soil spectral transformation based on wavelet packet technology only performs pruning and threshold filtering based on experience. The feature bands [...] Read more.
The influence of some seemingly anomalous samples on modeling is often ignored in the quantitative prediction of soil composition modeling with hyperspectral data. Soil spectral transformation based on wavelet packet technology only performs pruning and threshold filtering based on experience. The feature bands selected by the Pearson correlation coefficient method often have high redundancy. To solve these problems, this paper carried out a study of the prediction of soil total iron composition based on a new method. First, regarding the problem of abnormal samples, the Monte Carlo method based on particle swarm optimization (PSO) is used to screen abnormal samples. Second, feature representation based on Shannon entropy is adopted for wavelet packet processing. The amount of information held by the wavelet packet node is used to decide whether to cut the node. Third, the feature bands selected based on the correlation coefficient and the competitive adaptive reweighted sampling (CARS) algorithm using the least squares support vector regression (LSSVR) are applied to the soil spectra before and after wavelet packet processing. Finally, the Fe content was calculated based on a 1D convolutional neural network (1D-CNN). The results show that: (1) The Monte Carlo method based on particle swarm optimization and modeling multiple times was able to handle the abnormal samples. (2) Based on the Shannon entropy wavelet packet transformation, simple operations could simultaneously preserve the spectral information while removing high-frequency noise from the spectrum, effectively improving the correlation between soil spectra and content. (3) The 1D-CNN with added residual blocks could also achieve better results in soil hyperspectral modeling with few samples. Full article
Show Figures

Figure 1

13 pages, 1310 KB  
Article
Synchronously Predicting Tea Polyphenol and Epigallocatechin Gallate in Tea Leaves Using Fourier Transform–Near-Infrared Spectroscopy and Machine Learning
by Sitan Ye, Haiyong Weng, Lirong Xiang, Liangquan Jia and Jinchai Xu
Molecules 2023, 28(14), 5379; https://doi.org/10.3390/molecules28145379 - 13 Jul 2023
Cited by 17 | Viewed by 2202
Abstract
Tea polyphenol and epigallocatechin gallate (EGCG) were considered as key components of tea. The rapid prediction of these two components can be beneficial for tea quality control and product development for tea producers, breeders and consumers. This study aimed to develop reliable models [...] Read more.
Tea polyphenol and epigallocatechin gallate (EGCG) were considered as key components of tea. The rapid prediction of these two components can be beneficial for tea quality control and product development for tea producers, breeders and consumers. This study aimed to develop reliable models for tea polyphenols and EGCG content prediction during the breeding process using Fourier Transform–near infrared (FT-NIR) spectroscopy combined with machine learning algorithms. Various spectral preprocessing methods including Savitzky–Golay smoothing (SG), standard normal variate (SNV), vector normalization (VN), multiplicative scatter correction (MSC) and first derivative (FD) were applied to improve the quality of the collected spectra. Partial least squares regression (PLSR) and least squares support vector regression (LS-SVR) were introduced to establish models for tea polyphenol and EGCG content prediction based on different preprocessed spectral data. Variable selection algorithms, including competitive adaptive reweighted sampling (CARS) and random forest (RF), were further utilized to identify key spectral bands to improve the efficiency of the models. The results demonstrate that the optimal model for tea polyphenols calibration was the LS-SVR with Rp = 0.975 and RPD = 4.540 based on SG-smoothed full spectra. For EGCG detection, the best model was the LS-SVR with Rp = 0.936 and RPD = 2.841 using full original spectra as model inputs. The application of variable selection algorithms further improved the predictive performance of the models. The LS-SVR model for tea polyphenols prediction with Rp = 0.978 and RPD = 4.833 used 30 CARS-selected variables, while the LS-SVR model build on 27 RF-selected variables achieved the best predictive ability with Rp = 0.944 and RPD = 3.049, respectively, for EGCG prediction. The results demonstrate a potential of FT-NIR spectroscopy combined with machine learning for the rapid screening of genotypes with high tea polyphenol and EGCG content in tea leaves. Full article
Show Figures

Figure 1

Back to TopTop