On Least Squares Support Vector Regression for Predicting Mechanical Properties of Steel Rebars
Abstract
1. Introduction
2. Materials and Methods
2.1. Steel Rebar Manufacturing Dataset
2.2. Least Squares Support Vector Regression
2.3. Support Vector Reduction Methods
2.3.1. K-Means for Vector Quantization
2.3.2. K-Medoids for Vector Quantization
2.3.3. ALD for Pruning SVs Instead of Inserting Them
2.4. Cluster-Based Local Modeling
2.5. Methodology
3. Results and Discussions
3.1. Impact of Varying the Percentage of Training Data on the Accuracy Using the LSSVR Model
3.2. About the Improvement of LSSVR Model Results
3.3. About the Sparsification of the LSSVR Model
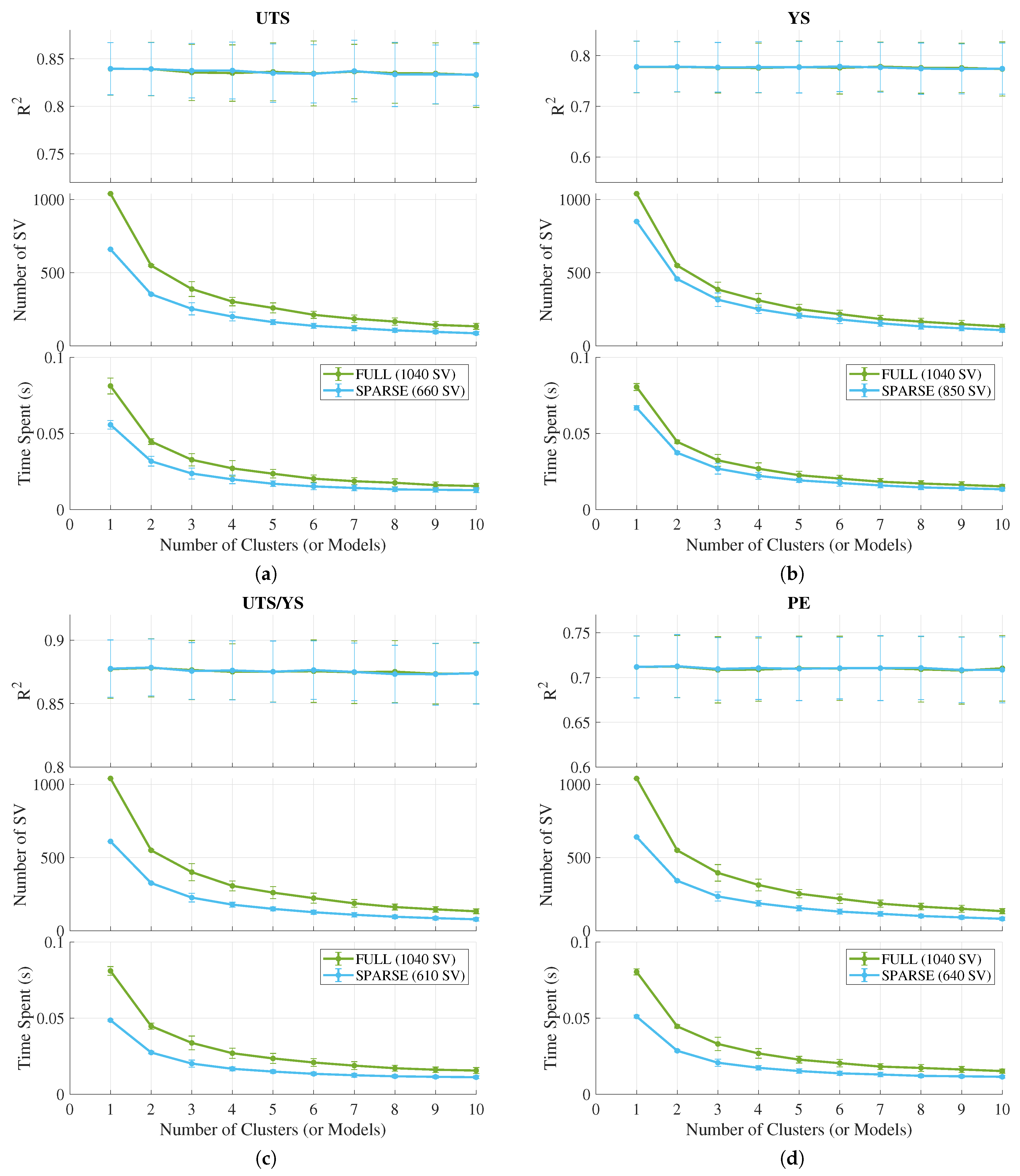
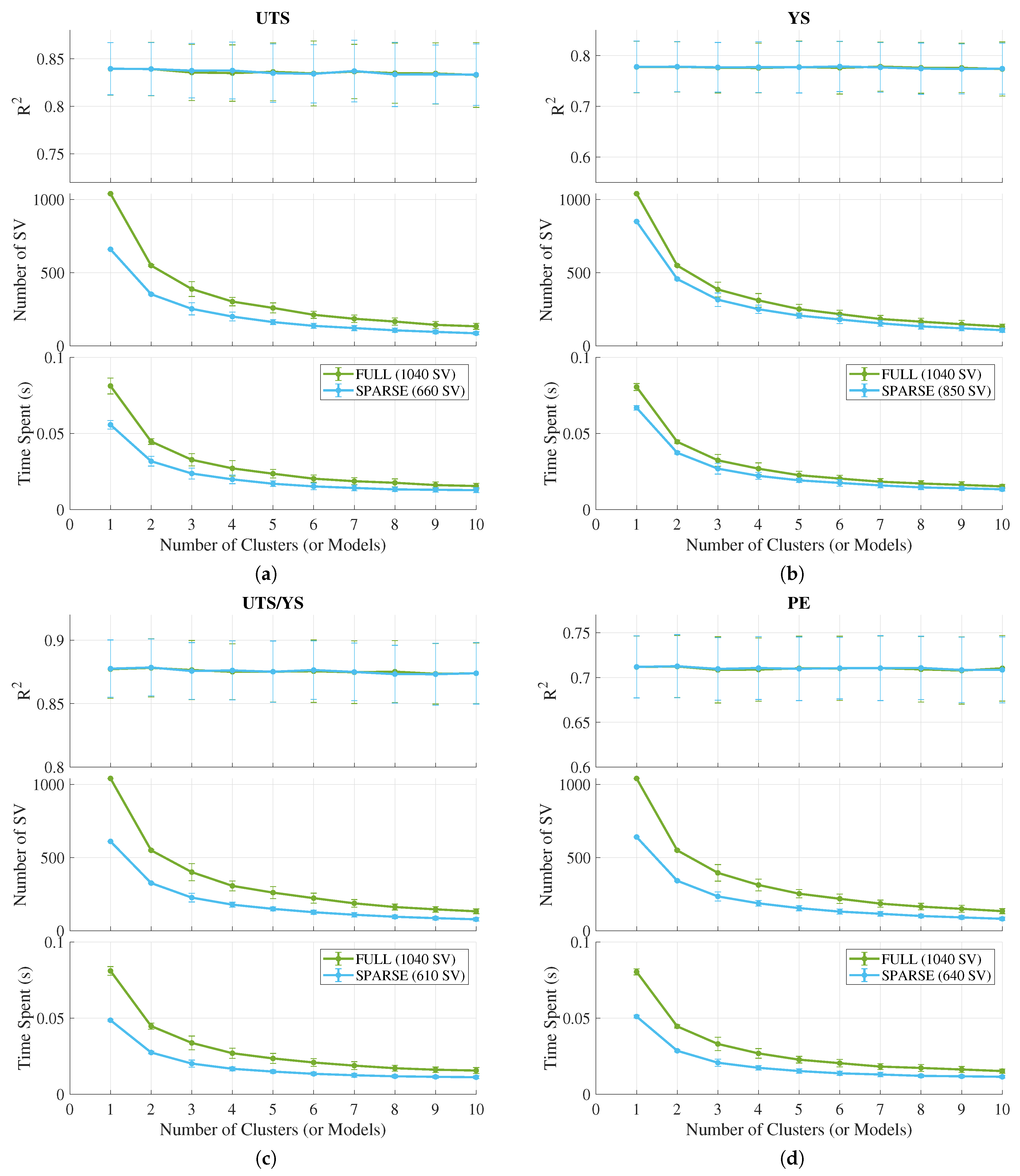
3.4. About the Local Sparse LSSVR Model
4. Conclusions
Author Contributions
Funding
Data Availability Statement
Conflicts of Interest
References
- Murta, R.H.F.; de Moura, E.P.; Barreto, G.A. Mechanical properties prediction in rebar using kernel-based regression models. Ironmak. Steelmak. 2022, 49, 1011–1020. [Google Scholar] [CrossRef]
- Murta, R.H.F.; Braga, F.D.; Maia, P.P.N.; Diogenes, O.B.F.; de Moura, E.P. Mathematical modelling for predicting mechanical properties in rebar manufacturing. Ironmak. Steelmak. 2021, 48, 161–169. [Google Scholar] [CrossRef]
- Black, J.T.; Kohser, R.A. DeGarmo’s Materials and Processes in Manufacturing; John Wiley & Sons: Hoboken, NJ, USA, 2019. [Google Scholar]
- Silva, K.; Serpa, P.; Sgrott, D.; Cerqueira, F.; Miranda, F.; Silva Filho, J.F.; Parpinelli, R. Ensemble of Artificial Neural Networks and AutoML for Predicting Steel Properties. In Proceedings of the Anais do XVI Congresso Brasileiro de Inteligência Computacional (CBIC 2023), Salvador, Brazil, 8–11 October 2023. [Google Scholar] [CrossRef]
- Arumugam, D.; Naik, D.L.; Sajid, H.U.; Kiran, R. Relationship between Nano and Macroscale Properties of Postfire ASTM A36 Steels. J. Mater. Civ. Eng. 2022, 34, 04022100. [Google Scholar] [CrossRef]
- Sajid, H.U.; Naik, D.L.; Kiran, R. Microstructure–Mechanical Property Relationships for Post-Fire Structural Steels. J. Mater. Civ. Eng. 2020, 32, 04020133. [Google Scholar] [CrossRef]
- Xie, Q.; Suvarna, M.; Li, J.; Zhu, X.; Cai, J.; Wang, X. Online prediction of mechanical properties of hot rolled steel plate using machine learning. Mater. Des. 2021, 197, 109201. [Google Scholar] [CrossRef]
- Lalam, S.; Tiwari, P.K.; Sahoo, S.; Dalal, A.K. Online prediction and monitoring of mechanical properties of industrial galvanised steel coils using neural networks. Ironmak. Steelmak. 2019, 46, 89–96. [Google Scholar] [CrossRef]
- Sgrott, D.M.; Cerqueira, F.M.; Miranda, F.J.F.; Filho, J.F.S.; Parpinelli, R.S. Modelling IF Steels Using Artificial Neural Networks and Automated Machine Learning. In Advances in Intelligent Systems and Computing; Springer International Publishing: Cham, Switzerland, 2021; pp. 659–668. [Google Scholar] [CrossRef]
- Sayed, A.M.; Diab, H.M. Modeling of the Axial Load Capacity of RC Columns Strengthened with Steel Jacketing under Preloading Based on FE Simulation. Model. Simul. Eng. 2019, 2019, 1–8. [Google Scholar] [CrossRef]
- Zhu, Z.; Liang, Y.; Zou, J. Modeling and Composition Design of Low-Alloy Steel’s Mechanical Properties Based on Neural Networks and Genetic Algorithms. Materials 2020, 13, 5316. [Google Scholar] [CrossRef] [PubMed]
- Boto, F.; Murua, M.; Gutierrez, T.; Casado, S.; Carrillo, A.; Arteaga, A. Data Driven Performance Prediction in Steel Making. Metals 2022, 12, 172. [Google Scholar] [CrossRef]
- Wang, X.; Li, H.; Pan, T.; Su, H.; Meng, H. Material Quality Filter Model: Machine Learning Integrated with Expert Experience for Process Optimization. Metals 2023, 13, 898. [Google Scholar] [CrossRef]
- Wang, L.; Mu, Z.; Guo, H. Application of support vector machine in the prediction of mechanical property of steel materials. J. Univ. Sci. Technol. Beijing Miner. Metall. Mater. 2006, 13, 512–515. [Google Scholar] [CrossRef]
- Chou, P.Y.; Tsai, J.T.; Chou, J.H. Modeling and Optimizing Tensile Strength and Yield Point on a Steel Bar Using an Artificial Neural Network With Taguchi Particle Swarm Optimizer. IEEE Access 2016, 4, 585–593. [Google Scholar] [CrossRef]
- Hong, D.; Kwon, S.; Yim, C. Exploration of Machine Learning to Predict Hot Ductility of Cast Steel from Chemical Composition and Thermal Conditions. Met. Mater. Int. 2021, 27, 298–305. [Google Scholar] [CrossRef]
- Du, J.L.; Feng, Y.L.; Zhang, M. Construction of a machine-learning-based prediction model for mechanical properties of ultra-fine-grained Fe–C alloy. J. Mater. Res. Technol. 2021, 15, 4914–4930. [Google Scholar] [CrossRef]
- Dabiri, H.; Kheyroddin, A.; Faramarzi, A. Predicting tensile strength of spliced and non-spliced steel bars using machine learning- and regression-based methods. Constr. Build. Mater. 2022, 325, 126835. [Google Scholar] [CrossRef]
- Dabiri, H.; Farhangi, V.; Moradi, M.J.; Zadehmohamad, M.; Karakouzian, M. Applications of Decision Tree and Random Forest as Tree-Based Machine Learning Techniques for Analyzing the Ultimate Strain of Spliced and Non-Spliced Reinforcement Bars. Appl. Sci. 2022, 12, 4851. [Google Scholar] [CrossRef]
- Zhang, G.; Li, Y.; Cui, D.; Mao, S.; Huang, G.B. R-ELMNet: Regularized extreme learning machine network. Neural Netw. 2020, 130, 49–59. [Google Scholar] [CrossRef] [PubMed]
- Xiong, Z.; Li, J.; Zhao, P.; Li, Y. Prediction of Mechanical Properties of Aluminium Alloy Strip Using the Extreme Learning Machine Model Optimized by the Gray Wolf Algorithm. Adv. Mater. Sci. Eng. 2023, 2023, 1–16. [Google Scholar] [CrossRef]
- Li, Y.; Lu, Y.; Chen, J. A deep learning approach for real-time rebar counting on the construction site based on YOLOv3 detector. Autom. Constr. 2021, 124, 103602. [Google Scholar] [CrossRef]
- Terven, J.; Córdova-Esparza, D.M.; Romero-González, J.A. A Comprehensive Review of YOLO Architectures in Computer Vision: From YOLOv1 to YOLOv8 and YOLO-NAS. Mach. Learn. Knowl. Extr. 2023, 5, 1680–1716. [Google Scholar] [CrossRef]
- Xu, Z.W.; Liu, X.M.; Zhang, K. Mechanical Properties Prediction for Hot Rolled Alloy Steel Using Convolutional Neural Network. IEEE Access 2019, 7, 47068–47078. [Google Scholar] [CrossRef]
- Suykens, J.; Vandewalle, J. Least Squares Support Vector Machine Classifiers. Neural Process. Lett. 1999, 9, 293–300. [Google Scholar] [CrossRef]
- Oliveira, S.A.; Gomes, J.P.; Neto, A.R.R. Sparse Least-Squares Support Vector Machines via Accelerated Segmented Test: A dual approach. Neurocomputing 2018, 321, 308–320. [Google Scholar] [CrossRef]
- Ismail, S.; Shabri, A.; Samsudin, R. A hybrid model of self-organizing maps (SOM) and least square support vector machine (LSSVM) for time-series forecasting. Expert Syst. Appl. 2011, 38, 10574–10578. [Google Scholar] [CrossRef]
- Neto, A.R.; Barreto, G.A. Opposite Maps: Vector Quantization Algorithms for Building Reduced-Set SVM and LSSVM Classifiers. Neural Process. Lett. 2012, 37, 3–19. [Google Scholar] [CrossRef]
- Engel, Y.; Mannor, S.; Meir, R. The kernel recursive least squares algorithm. IEEE Trans. Signal Process. 2004, 52, 2275–2285. [Google Scholar] [CrossRef]
- Liang, D.; Xue, F. Integrating automated machine learning and interpretability analysis in architecture, engineering and construction industry: A case of identifying failure modes of reinforced concrete shear walls. Comput. Ind. 2023, 147, 103883. [Google Scholar] [CrossRef]
- Crawford, B.; Sourki, R.; Khayyam, H.; Milani, A.S. A machine learning framework with dataset-knowledgeability pre-assessment and a local decision-boundary crispness score: An industry 4.0-based case study on composite autoclave manufacturing. Comput. Ind. 2021, 132, 103510. [Google Scholar] [CrossRef]
- Abonyi, J.; Nemeth, S.; Vincze, C.; Arva, P. Process analysis and product quality estimation by Self-Organizing Maps with an application to polyethylene production. Comput. Ind. 2003, 52, 221–234. [Google Scholar] [CrossRef]
- Bahleda, F.; Bujňáková, P.; Koteš, P.; Hasajová, L.; Nový, F. Mechanical Properties of Cast-in Anchor Bolts Manufactured of Reinforcing Tempcore Steel. Materials 2019, 12, 2075. [Google Scholar] [CrossRef]
- Zheng, W.; Wang, C.; Liu, D. Combustion process modeling based on deep sparse least squares support vector regression. Eng. Appl. Artif. Intell. 2024, 132, 107869. [Google Scholar] [CrossRef]
- MacQueen, J. Classification and analysis of multivariate observations. In Proceedings of the 5th Berkeley Symposium on Mathematical Statistics and Probability, Los Angeles, CA, USA, 21 June–18 July 1967; pp. 281–297. [Google Scholar]
- Kaufman, L.; Rousseeuw, P.J. Finding Groups in Data: An Introduction to Cluster Analysis; Wiley: Hoboken, NJ, USA, 1990. [Google Scholar] [CrossRef]
- Coelho, D.N.; Barreto, G.A. Approximate Linear Dependence as a Design Method for Kernel Prototype-Based Classifiers. In Advances in Self-Organizing Maps, Learning Vector Quantization, Clustering and Data Visualization; Springer International Publishing: Cham, Switzerland, 2019; pp. 241–250. [Google Scholar] [CrossRef]
- Jacobs, R.A.; Jordan, M.I.; Nowlan, S.J.; Hinton, G.E. Adaptive Mixtures of Local Experts. Neural Comput. 1991, 3, 79–87. [Google Scholar] [CrossRef] [PubMed]
- Alpaydin, E.; Jordan, M. Local linear perceptrons for classification. IEEE Trans. Neural Netw. 1996, 7, 788–794. [Google Scholar] [CrossRef] [PubMed]
- Ferraro, M.B.; Giordani, P. Soft clustering. WIREs Comput. Stat. 2020, 12, e1480. [Google Scholar] [CrossRef]
- De Brabanter, K.; Karsmakers, P.; Ojeda, F.; Alzate, C.; De Brabanter, J.; Pelckmans, K.; De Moor, B.; Vandewalle, J.; Suykens, J.A. LS-SVMlab Toolbox User’s Guide: Version 1.8; Katholieke Universiteit Leuven: Leuven, Belgium, 2011. [Google Scholar]
- Kennedy, J.; Eberhart, R. Particle swarm optimization. In Proceedings of the ICNN’95-International Conference on Neural Networks, Perth, WA, Australia, 27 November–1 December 1995; IEEE: Piscataway, NJ, USA, 1995. [Google Scholar] [CrossRef]
- Rustam, Z.; Kintandani, P. Application of Support Vector Regression in Indonesian Stock Price Prediction with Feature Selection Using Particle Swarm Optimisation. Model. Simul. Eng. 2019, 2019, 1–5. [Google Scholar] [CrossRef]
- Nelder, J.A.; Mead, R. A Simplex Method for Function Minimization. Comput. J. 1965, 7, 308–313. [Google Scholar] [CrossRef]
- Lagarias, J.C.; Reeds, J.A.; Wright, M.H.; Wright, P.E. Convergence Properties of the Nelder–Mead Simplex Method in Low Dimensions. SIAM J. Optim. 1998, 9, 112–147. [Google Scholar] [CrossRef]








| Input Variables | Min. | Max. | Mean | S.D. |
|---|---|---|---|---|
| Cross-sectional area : | 50 | 199 | 93.2 | 46.5 |
| Finishing rolling temperature [°C]: | 742.7 | 1081.5 | 1031.9 | 21.9 |
| Initial heat treatment temperature [°C]: | 654.7 | 961.8 | 920.7 | 21.1 |
| Final heat treatment temperature [°C]: | 337.6 | 584.1 | 436.8 | 47.5 |
| Pressure of the heat treatment water : | 0 | 15.5 | 5.8 | 5.0 |
| Flow of the heat treatment water : | 0 | 68.2 | 29.2 | 23.7 |
| Input Variables | Min. | Max. | Mean | S.D. |
|---|---|---|---|---|
| Carbon | 0.156 | 0.474 | 0.3216 | 0.039 |
| Niobium | 0.000 | 0.008 | 0.0026 | 0.001 |
| Phosphorus | 0.002 | 0.013 | 0.0064 | 0.002 |
| Silicon | 0.099 | 0.208 | 0.1567 | 0.021 |
| Molybdenum | 0.006 | 0.029 | 0.0111 | 0.002 |
| Copper | 0.187 | 0.445 | 0.2814 | 0.040 |
| Manganese | 0.456 | 1.149 | 0.9001 | 0.229 |
| Vanadium | 0.002 | 0.019 | 0.0081 | 0.006 |
| Sulfur | 0.020 | 0.050 | 0.0370 | 0.006 |
| Chromium | 0.056 | 0.271 | 0.1314 | 0.036 |
| Nickel | 0.049 | 0.143 | 0.0745 | 0.011 |
| Tin | 0.001 | 0.040 | 0.0193 | 0.003 |
| Predicted Variables | Min. | Max. | Mean | S.D. |
|---|---|---|---|---|
| UTS []: | 421 | 661 | 521.7 | 41.6 |
| YS []: | 596 | 914 | 682.8 | 35.1 |
| UTS/YS ratio: | 1.12 | 1.55 | 1.314 | 0.072 |
| PE [%]: | 8 | 20 | 15.1 | 1.897 |
| UTS | YS | UTS/YS | PE | |||||
|---|---|---|---|---|---|---|---|---|
| Models (Train–Test) | ||||||||
| LSSVR (50–50%) | 0.7507 | 0.0255 | 0.5943 | 0.0545 | 0.8265 | 0.0425 | 0.6303 | 0.0264 |
| LSSVR (60–40%) | 0.7802 | 0.0233 | 0.6613 | 0.0592 | 0.8444 | 0.0172 | 0.6607 | 0.0252 |
| LSSVR (70–30%) | 0.8084 | 0.0256 | 0.7224 | 0.0569 | 0.8604 | 0.0186 | 0.6876 | 0.0250 |
| LSSVR (80–20%) | 0.8392 | 0.0276 | 0.7773 | 0.0506 | 0.8772 | 0.0230 | 0.7118 | 0.0346 |
| LSSVR (90–10%) | 0.8697 | 0.0323 | 0.8303 | 0.0551 | 0.8910 | 0.0350 | 0.7296 | 0.0489 |
| UTS | YS | UTS/YS | PE | |||||||||
|---|---|---|---|---|---|---|---|---|---|---|---|---|
| Models | ||||||||||||
| LSSVR (Ref. [1]) | 0.7989 | 0.0342 | 86.4 | 0.7389 | 0.0630 | 87.1 | 0.8603 | 0.0240 | 85.5 | 0.6883 | 0.0315 | 86.1 |
| LSSVR | 0.8392 | 0.0276 | 100 | 0.7773 | 0.0506 | 100 | 0.8772 | 0.0230 | 100 | 0.7118 | 0.0346 | 100 |
| SLSSVR | 0.8394 | 0.0274 | 63.5 | 0.7776 | 0.0507 | 81.7 | 0.8776 | 0.0226 | 58.7 | 0.7119 | 0.0347 | 61.5 |
| 2L-SLSSVR | 0.8391 | 0.0279 | 34.0 | 0.7779 | 0.0495 | 44.0 | 0.8785 | 0.0224 | 31.3 | 0.7126 | 0.0353 | 32.8 |
| 10L-SLSSVR | 0.8332 | 0.0323 | 8.3 | 0.7740 | 0.0504 | 10.3 | 0.8740 | 0.0243 | 7.5 | 0.7085 | 0.0369 | 7.8 |
| UTS | YS | UTS/YS | PE | |||||
|---|---|---|---|---|---|---|---|---|
| Models | ||||||||
| LR (Ref. [2]) | 0.5072 | 0.0515 | 0.2398 | 0.0440 | 0.7618 | 0.0289 | 0.4950 | 0.0424 |
| ANN (Ref. [2]) | 0.7472 | 0.0540 | 0.4455 | 0.0971 | 0.8428 | 0.0289 | 0.5978 | 0.0636 |
| MLM (Ref. [1]) | 0.8022 | 0.0368 | 0.5416 | 0.2165 | 0.8426 | 0.0317 | 0.6679 | 0.0595 |
| SVM (Ref. [1]) | 0.7296 | 0.0338 | 0.5180 | 0.0588 | 0.8469 | 0.0271 | 0.6456 | 0.0383 |
| 2L-SLSSVR | 0.8391 | 0.0279 | 0.7779 | 0.0495 | 0.8785 | 0.0224 | 0.7126 | 0.0353 |
Disclaimer/Publisher’s Note: The statements, opinions and data contained in all publications are solely those of the individual author(s) and contributor(s) and not of MDPI and/or the editor(s). MDPI and/or the editor(s) disclaim responsibility for any injury to people or property resulting from any ideas, methods, instructions or products referred to in the content. |
© 2024 by the authors. Licensee MDPI, Basel, Switzerland. This article is an open access article distributed under the terms and conditions of the Creative Commons Attribution (CC BY) license (https://creativecommons.org/licenses/by/4.0/).
Share and Cite
Bessa, R.; Barreto, G.A.; Coelho, D.N.; de Moura, E.P.; Murta, R.H.F. On Least Squares Support Vector Regression for Predicting Mechanical Properties of Steel Rebars. Metals 2024, 14, 695. https://doi.org/10.3390/met14060695
Bessa R, Barreto GA, Coelho DN, de Moura EP, Murta RHF. On Least Squares Support Vector Regression for Predicting Mechanical Properties of Steel Rebars. Metals. 2024; 14(6):695. https://doi.org/10.3390/met14060695
Chicago/Turabian StyleBessa, Renan, Guilherme Alencar Barreto, David Nascimento Coelho, Elineudo Pinho de Moura, and Raphaella Hermont Fonseca Murta. 2024. "On Least Squares Support Vector Regression for Predicting Mechanical Properties of Steel Rebars" Metals 14, no. 6: 695. https://doi.org/10.3390/met14060695
APA StyleBessa, R., Barreto, G. A., Coelho, D. N., de Moura, E. P., & Murta, R. H. F. (2024). On Least Squares Support Vector Regression for Predicting Mechanical Properties of Steel Rebars. Metals, 14(6), 695. https://doi.org/10.3390/met14060695

