Research on Hyperspectral Modeling of Total Iron Content in Soil Applying LSSVR and CNN Based on Shannon Entropy Wavelet Packet Transform
Abstract
:1. Introduction
2. Materials
2.1. Study Area
2.2. Data Sources
2.2.1. Soil Sampling and Fe Content Measurement
2.2.2. Soil Spectral Data Acquisition
3. Methodology
3.1. Data Preprocessing
3.1.1. Particle Swarm Optimization Algorithm
3.1.2. Monte Carlo Outlier Removal
3.1.3. Wavelet Packet Transformation Based on Shannon Entropy
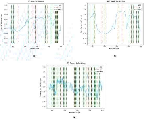
3.2. Extraction of Feature Bands Based on CARS Algorithm
3.3. Modeling Method
3.3.1. Least Squares Support Vector Machine Modeling
3.3.2. CNN Modeling Based on ResNet
4. Results and Discussion
4.1. Processing of Spectral Data
4.1.1. Mathematical Transformation of Spectrum
4.1.2. The Results of Wavelet Packet Enhancement Based on Shannon Entropy
4.2. Feature Band Extraction Based on CARS Algorithm
4.3. Analysis of Modeling
4.3.1. PSO-LSSVR Modeling
4.3.2. CNN Modeling Based on ResNet
5. Conclusions
- (1)
- In the process of using machine learning to perform quantitative inversion modeling of soil composition on hyperspectral data, before using the box plot to remove outliers, it was necessary to combine the sample content and spectral characteristics for multiple pre-modeling stages until the optimal sample modeling method was selected.
- (2)
- Compared with the Pearson correlation coefficient, when the CARS algorithm extracted feature bands, R2 increased by 0.035–0.072. The feature bands selected based on the correlation coefficient were equivalent to the subset of feature bands selected by CARS. This shows that the Pearson correlation coefficient method selected a high degree of information redundancy between the characteristic bands and may have led to the loss of information on many important characteristic bands, and the accuracy of the model established accordingly will also decrease.
- (3)
- Compared with the optimal model trained by LSSVR, WP-FD had the highest accuracy. After the Shannon entropy wavelet packet transformation of FD, the R2 increased by 0.069, the R2 of WP-MSC increased by 0.132, and the R2 of WP-SD increased by 0.081. This shows that the Shannon entropy wavelet packet transformation had a significant positive impact on the modeling accuracy. In ResNet training, the R2 of WP-FD-CNN was 0.023 higher than that of the FD-CNN model, and the R2 value of WP-FD-CNN was 0.073 and 0.027 higher than those of FD-CARS-LSSVR and WP-FD-CARS-LSSVR respectively. This shows that the residual neural network still had high retrieval accuracy in the case of a small sample size.
Author Contributions
Funding
Data Availability Statement
Conflicts of Interest
References
- Viscarra Rossel, R.A.; Bui, E.N.; De Caritat, P.; McKenzie, N.J. Mapping iron oxides and the color of Australian soil using visible–near-infrared reflectance spectra. J. Geophys. Res. Earth Surf. 2010, 115, F4. [Google Scholar] [CrossRef]
- Zhu, F.; Li, Y.; Xue, S.; Hartley, W.; Wu, H. Effects of iron-aluminium oxides and organic carbon on aggregate stability of bauxite residues. Environ. Sci. Pollut. Res. 2016, 23, 9073–9081. [Google Scholar] [CrossRef] [PubMed]
- Rossel, R.V.; Walvoort, D.J.J.; McBratney, A.B.; Janik, L.J.; Skjemstad, J.O. Visible, near infrared, mid infrared or combined diffuse reflectance spectroscopy for simultaneous assessment of various soil properties. Geoderma 2006, 131, 59–75. [Google Scholar] [CrossRef]
- Demattê, J.A.M.; Sousa, A.A.; Alves, M.C.; Nanni, M.R.; Fiorio, P.R.; Campos, R.C. Determining soil water status and other soil characteristics by spectral proximal sensing. Geoderma 2006, 135, 179–195. [Google Scholar] [CrossRef]
- Reeves, J.B. Near-versus mid-infrared diffuse reflectance spectroscopy for soil analysis emphasizing carbon and laboratory versus on-site analysis: Where are we and what needs to be done? Geoderma 2010, 158, 3–14. [Google Scholar] [CrossRef]
- Ben-Dor, E.; Banin, A. Near-infrared analysis as a rapid method to simultaneously evaluate several soil properties. Soil Sci. Soc. Am. J. 1995, 59, 364–372. [Google Scholar] [CrossRef]
- Shepherd, K.D.; Walsh, M.G. Development of reflectance spectral libraries for characterization of soil properties. Soil Sci. Soc. Am. J. 2002, 66, 988–998. [Google Scholar] [CrossRef]
- Nishad, A.; Upadhyay, A.; Ravi Shankar Reddy, G.; Bajaj, V. Classification of epileptic EEG signals using sparse spectrum based empirical wavelet transform. Electron. Lett. 2020, 56, 1370–1372. [Google Scholar] [CrossRef]
- Martini, A.; Pankin, I.A.; Marsicano, A.; Lomachenko, K.A.; Borfecchia, E. Wavelet analysis of a Cu-oxo zeolite EXAFS simulated spectrum. Radiat. Phys. Chem. 2020, 175, 108333. [Google Scholar] [CrossRef]
- Zheng, L.; Li, M.; An, X.; Pan, L.; Sun, H. Spectral feature extraction and modeling of soil total nitrogen content based on NIR technology and wavelet packet analysis. Multispectral Hyperspectral Ultraspectral Remote Sens. Technol. Tech. Appl. III 2010, 7857, 362–369. [Google Scholar]
- Liu, W.; Chang, Q.R.; Guo, M.; Xing, D.X.; Yuan, Y.S. Extraction of first derivative spectrum features of soil organic matter via wavelet de-noising. Spectrosc. Spectr. Anal. 2011, 31, 100–104. [Google Scholar]
- Meng, X.; Bao, Y.; Liu, J.; Liu, H.; Zhang, X.; Zhang, Y.; Wang, P.; Tang, H.; Kong, F. Regional soil organic carbon prediction model based on a discrete wavelet analysis of hyperspectral satellite data. Int. J. Appl. Earth Obs. Geoinf. 2020, 89, 102111. [Google Scholar] [CrossRef]
- Wickerhauser, M.V. INRIA Lectures on Wavelet Packet Algorithms; Yale University Department of Mathematics: New Haven, CT, USA, 1991. [Google Scholar]
- Zheng, L.H.; Li, M.Z.; Pan, L.; Sun, J.Y.; Tang, N. Application of wavelet packet analysis in estimating soil parameters based on NIR spectra. Spectrosc. Spectr. Anal. 2009, 29, 1549–1552. [Google Scholar]
- Narváez, P.; Gutierrez, S.; Percybrooks, W.S. Automatic segmentation and classification of heart sounds using modified empirical wavelet transform and power features. Appl. Sci. 2020, 10, 4791. [Google Scholar] [CrossRef]
- Zhang, R.; Li, Z.F.; Pan, J.J. Coupling discrete wavelet packet transformation and local correlation maximization improving prediction accuracy of soil organic carbon based on hyperspectral reflectance. Trans. Chin. Soc. Agric. Eng. 2017, 33, 175–181. [Google Scholar]
- Shen, L.; Gao, M.; Yan, J.; Li, Z.-L.; Leng, P.; Yang, Q.; Duan, S.-B. Hyperspectral Estimation of Soil Organic Matter Content using Different Spectral Preprocessing Techniques and PLSR Method. Remote Sens. 2020, 12, 1206. [Google Scholar] [CrossRef]
- Bai, Z.; Xie, M.; Hu, B.; Luo, D.; Wan, C.; Peng, J.; Shi, Z. Estimation of Soil Organic Carbon Using Vis-NIR Spectral Data and Spectral Feature Bands Selection in Southern Xinjiang, China. Sensors 2022, 22, 6124. [Google Scholar] [CrossRef] [PubMed]
- Xie, S.; Ding, F.; Chen, S.; Wang, X.; Li, Y.; Ma, K. Prediction of soil organic matter content based on characteristic band selection method. Spectrochim. Acta A Mol. Biomol. Spectrosc. 2022, 273, 120949. [Google Scholar] [CrossRef]
- Hong, Y.; Chen, Y.; Yu, L.; Liu, Y.; Liu, Y.; Zhang, Y.; Liu, Y.; Cheng, H. Combining fractional order derivative and spectral variable selection for organic matter estimation of homogeneous soil samples by VIS–NIR spectroscopy. Remote Sens. 2018, 10, 479. [Google Scholar] [CrossRef]
- Xie, S.; Li, Y.; Wang, X.; Liu, Z.; Ma, K.; Ding, L. Research on estimation models of the spectral characteristics of soil organic matter based on the soil particle size. Spectrochim. Acta A Mol. Biomol. Spectrosc. 2021, 260, 119963. [Google Scholar] [CrossRef]
- Li, H.; Liang, Y.; Xu, Q.; Cao, D. Key wavelengths screening using competitive adaptive reweighted sampling method for multivariate calibration. Analytica Chimica Acta. 2009, 648, 77–84. [Google Scholar] [CrossRef]
- Wei, L.; Yuan, Z.; Zhong, Y.; Yang, L.; Hu, X.; Zhang, Y. An improved gradient boosting regression tree estimation model for soil heavy metal (Arsenic) pollution monitoring using hyperspectral remote sensing. Appl. Sci. 2019, 9, 1943. [Google Scholar] [CrossRef]
- Cherkassky, V.; Ma, Y. Practical selection of SVM parameters and noise estimation for SVM regression. Neural Netw. 2004, 17, 113–126. [Google Scholar] [CrossRef] [PubMed]
- Zhang, L.; Juyang, L.; Qilin, Z.; Yudong, W. Using genetic algorithm to optimize parameters of support vector machine and its application in material fatigue life prediction. Adv. Nat. Sci. 2015, 8, 21–26. [Google Scholar]
- Awad, M.; Khanna, R.; Awad, M.; Khanna, R. Support Vector Regression. Efficient Learning Machines: Theories, Concepts, and Applications for Engineers and System Designers; Apress: Berkeley, CA, USA, 2015; pp. 67–80. [Google Scholar]
- Huang, C.L.; Dun, J.F. A distributed PSO–SVM hybrid system with feature selection and parameter optimization. Appl. Soft Comput. 2008, 8, 1381–1391. [Google Scholar] [CrossRef]
- Van Gestel, T.; Suykens, J.A.; Baesens, B.; Viaene, S.; Vanthienen, J.; Dedene, G.; Demoor, B.; Vandewalle, J. Benchmarking least squares support vector machine classifiers. Mach. Learn. 2004, 54, 5–32. [Google Scholar] [CrossRef]
- Guo, X.C.; Yang, J.H.; Wu, C.G.; Wang, C.Y.; Liang, Y.C. A novel LS-SVMs hyper-parameter selection based on particle swarm optimization. Neurocomputing 2008, 71, 3211–3215. [Google Scholar] [CrossRef]
- Lin, T.; Wu, P.; Gao, F.; Yu, Y.; Wang, L. Study on SVM temperature compensation of liquid ammonia volumetric flowmeter based on variable weight PSO. Int. J. Heat Technol. 2015, 33, 151–156. [Google Scholar] [CrossRef]
- Xu, X.; Du, C.; Ma, F.; Qiu, Z.; Zhou, J. A Framework for High-Resolution Mapping of Soil Organic Matter (SOM) by the Integration of Fourier Mid-Infrared Attenuation Total Reflectance Spectroscopy (FTIR-ATR), Sentinel-2 Images, and DEM Derivatives. Remote Sens. 2023, 15, 1072. [Google Scholar] [CrossRef]
- Yang, P.; Hu, J.; Hu, B.; Luo, D.; Peng, J. Estimating Soil Organic Matter Content in Desert Areas Using In Situ Hyperspectral Data and Feature Variable Selection Algorithms in Southern Xinjiang, China. Remote Sens. 2022, 14, 5221. [Google Scholar] [CrossRef]
- Dian, R.; Li, S.; Kang, X. Regularizing hyperspectral and multispectral image fusion by CNN denoiser. IEEE Trans. Neural Netw. Learn. Syst. 2020, 32, 1124–1135. [Google Scholar] [CrossRef] [PubMed]
- Dian, R.; Guo, A.; Li, S. Zero-Shot Hyperspectral Sharpening. IEEE Trans. Pattern Anal. Mach. Intell. 2023, 45, 12650–12666. [Google Scholar] [CrossRef] [PubMed]
- Ng, W.; Minasny, B.; Montazerolghaem, M.; Padarian, J.; Ferguson, R.; Bailey, S.; McBratney, A.B. Convolutional neural network for simultaneous prediction of several soil properties using visible/near-infrared, mid-infrared, and their combined spectra. Geoderma 2019, 352, 251–267. [Google Scholar] [CrossRef]
- Xu, Z.; Zhao, X.; Guo, X.; Guo, J. Deep learning application for predicting soil organic matter content by VIS-NIR spectroscopy. Comput. Intell. Neurosci. 2019, 2019, 3563761. [Google Scholar] [CrossRef]
- He, K.; Zhang, X.; Ren, S.; Sun, J. Deep residual learning for image recognition. In Proceedings of the IEEE Conference on Computer Vision and Pattern Recognition, Las Vegas, NV, USA, 27–30 June 2016; pp. 770–778. [Google Scholar]
- Hu, W.; Huang, Y.; Wei, L.; Zhang, F.; Li, H. Deep convolutional neural networks for hyperspectral image classification. J. Sens. 2015, 2015, 1–12. [Google Scholar] [CrossRef]
- Fang, N.; Yang, Z.; Liu, G.; Dai, M.; Liu, K. Spatial heterogeneity and influencing factors of the ecological stoichiometry of soil nitrogen and phosphorus in the Jiansanjiang area. Geophys. Geochem. Explor. 2022, 46, 1121–1131. [Google Scholar]
- Li, X.; Coles, B.J.; Ramsey, M.H.; Thornton, I. Sequential extraction of soils for multielement analysis by ICP-AES. Chem. Geol. 1995, 124, 109–123. [Google Scholar] [CrossRef]
- Danner, M.; Locherer, M.; Hank, T.; Richter, K. Spectral Sampling with the ASD FieldSpec 4 – Theory, Measurement, Problems, Interpretation; EnMAP Field Guides Technical Report; GFZ Data Services: Potsdam, Germany, 2015. [Google Scholar]
- Tsai, F.; Philpot, W. Derivative analysis of hyperspectral data. Remote Sens. Environ. 1998, 1, 41–51. [Google Scholar] [CrossRef]
- Marini, F.; Walczak, B. Particle swarm optimization (PSO). A tutorial. Chemom. Intell. Lab. Syst. 2015, 149, 153–165. [Google Scholar] [CrossRef]
- Liu, C.; Sun, X.; Wu, J.; Wu, S.; Miao, Y. Study on Elimination of Abnormal Wheat Powder Samples Based on NIR. J. Agric. Mech. Res. 2014, 36, 46–48+56. [Google Scholar]
- Zhou, W.; Yang, H.; Xie, L.; Li, H.; Huang, L.; Zhao, Y.; Yue, T. Hyperspectral inversion of soil heavy metals in Three-River Source Region based on random forest model. Catena 2021, 202, 105222. [Google Scholar] [CrossRef]
- Liu, J.; Zhang, Y.; Wang, H.; Du, Y. Study on the prediction of soil heavy metal elements content based on visible near-infrared spectroscopy. Spectrochim. Acta Part A Mol. Biomol. Spectrosc. 2018, 199, 43–49. [Google Scholar] [CrossRef]
- Vašát, R.; Kodešová, R.; Klement, A.; Borůvka, L. Simple but efficient signal pre-processing in soil organic carbon spectroscopic estimation. Geoderma 2017, 298, 46–53. [Google Scholar] [CrossRef]
- Yen, G.G.; Lin, K.C. Wavelet packet feature extraction for vibration monitoring. IEEE Trans. Ind. Electron. 2000, 3, 650–667. [Google Scholar] [CrossRef]
- Coifman, R.R.; Meyer, Y.; Quake, S.; Wickerhauser, M.V. Signal Processing and Compression with Wavelet Packets. Wavelets and Their Applications; Springer: Dordrecht, The Netherlands, 1994; pp. 363–379. [Google Scholar]
- Jiang, C.; Qian, L.; Wu, Z.; Wen, Y.; Deng, N. Multi-scale correlation analysis of soil organic carbon with its influence factors using wavelet transform. Chin. J. Appl. Ecol. 2013, 24, 3415–3422. [Google Scholar]
- Hoang, V.D. Wavelet-based spectral analysis. TrAC Trends Anal. Chem. 2014, 62, 144–153. [Google Scholar] [CrossRef]
- Zheng, L.H.; Li, M.Z.; Sun, H. Development of an analyzing system for soil parameters based on NIR spectroscopy. Spectrosc. Spectr. Anal. 2009, 29, 2633–2636. [Google Scholar]
- Qu, D.; Li, W.; Zhang, Y.; Sun, B.; Zhong, Y.; Liu, J.; Yu, D.; Li, M. Support vector machines combined with wavelet-based feature extraction for identification of drugs hidden in anthropomorphic phantom. Measurement 2013, 46, 284–293. [Google Scholar] [CrossRef]
- Walczak, B.; Van Den Bogaert, B.; Massart, D.L. Application of wavelet packet transform in pattern recognition of near-IR data. Anal. Chem. 1996, 68, 1742–1747. [Google Scholar] [CrossRef]
- Ali, K.M.; Khan, M. Application based construction and optimization of substitution boxes over 2D mixed chaotic maps. Int. J. Theor. Phys. 2019, 58, 3091–3117. [Google Scholar] [CrossRef]
- Cai, L.; Ding, J. Wavelet transformation coupled with CARS algorithm improving prediction accuracy of soil moisture content based on hyperspectral reflectance. Trans. Chin. Soc. Agric. Eng. 2017, 33, 144–151. [Google Scholar]
- Cortes, C.; Vapnik, V. Support-vector networks. Mach. Learn. 1995, 20, 273–297. [Google Scholar] [CrossRef]
- Liu, S.; Xu, L.; Jiang, Y.; Li, D.; Chen, Y.; Li, Z. A hybrid WA–CPSO-LSSVR model for dissolved oxygen content prediction in crab culture. Eng. Appl. Artif. Intell. 2014, 29, 114–124. [Google Scholar] [CrossRef]
- Wu, Z.; Shen, C.; Van Den Hengel, A. Wider or deeper: Revisiting the resnet model for visual recognition. Pattern Recognit. 2019, 90, 119–133. [Google Scholar] [CrossRef]
- Qu, J.; Yu, L.; Yuan, T.; Tian, Y.; Gao, F. Adaptive fault diagnosis algorithm for rolling bearings based on one-dimensional convolutional neural network. Chin. J. Sci. Instrum. 2018, 39, 134–143. [Google Scholar]
- Szegedy, C.; Liu, W.; Jia, Y.; Sermanet, P.; Reed, S.; Anguelov, D.; Erhan, D.; Vanhoucke, V.; Rabinovich, A. Going deeper with convolutions. In Proceedings of the IEEE Conference on Computer Vision and Pattern Recognition, Boston, MA, USA, 7–12 June 2015; pp. 1–9. [Google Scholar]
- Hanbay, D.; Turkoglu, I.; Demir, Y. Prediction of wastewater treatment plant performance based on wavelet packet decomposition and neural networks. Expert Syst. Appl. 2008, 2, 1038–1043. [Google Scholar] [CrossRef]
- Hinge, G.; Piplodiya, J.; Sharma, A.; Hamouda, M.A.; Mohamed, M.M. Evaluation of Hybrid Wavelet Models for Regional Drought Forecasting. Remote Sens. 2022, 14, 6381. [Google Scholar] [CrossRef]
- Shen, L.; Gao, M.; Yan, J.; Wang, Q.; Shen, H. Winter Wheat SPAD Value Inversion Based on Multiple Pretreatment Methods. Remote Sens. 2022, 14, 4660. [Google Scholar] [CrossRef]
- Baldi, P. Gradient descent learning algorithm overview: A general dynamical systems perspective. IEEE Trans. Neural Netw. 1995, 6, 182–195. [Google Scholar] [CrossRef]
- Zeng, P.; Song, X.; Yang, H.; Wei, N.; Du, L. Digital Soil Mapping of Soil Organic Matter with Deep Learning Algorithms. ISPRS Int. J. Geo-Inf. 2022, 11, 299. [Google Scholar] [CrossRef]
- Zhao, Y.; Zhang, X.; Feng, W.; Xu, J. Deep Learning Classification by ResNet-18 Based on the Real Spectral Dataset from Multispectral Remote Sensing Images. Remote Sens. 2022, 14, 4883. [Google Scholar] [CrossRef]
- Liu, H.; Cui, Y.; Wang, J.; Yu, H. Analysis and Research on Rice Disease Identification Method Based on Deep Learning. Sustainability 2023, 15, 9321. [Google Scholar] [CrossRef]















| Method | Particles Size | Max Iterations | Inertia Weight | Acceleration Coefficients | Topology | Fitness Function | Binary Mask |
|---|---|---|---|---|---|---|---|
| Feature extraction | 20 | 300 | 0.9 | c1 = 1.5 c2 = 1.5 | Global Topology | PLS Validation accuracy | 0.5 |
| Hyperparameter tuning | 20 | 300 | 0.8 | c1 = 2.0 c2 = 2.0 | Global Topology | PLSVR Validation accuracy | 0.5 |
| Hyperparameters | Value |
|---|---|
| Batch size | 30 |
| Loss | MSE |
| Weight decay | L2 regularization |
| Constraint rate | 0.03 |
| optimizer | Adam |
| Learning rate | 0.05 |
| Learning rate decay | 0.4 |
| Max epochs | 500 |
| Feature Extraction Method | Spectral Pretreatments | Whether it Undergoes Wavelet Packet Transformation | Calibration R2 | Validation R2 |
|---|---|---|---|---|
| CARS | FD | NO | 0.690 | 0.690 |
| YES | 0.749 | 0.748 | ||
| MSC | NO | 0.639 | 0.647 | |
| YES | 0.641 | 0.640 | ||
| SD | NO | 0.645 | 0.643 | |
| YES | 0.756 | 0.754 | ||
| Correlation Coefficient | FD | NO | 0.655 | 0.654 |
| YES | 0.688 | 0.688 | ||
| MSC | NO | 0.567 | 0.567 | |
| YES | 0.602 | 0.601 | ||
| SD | NO | 0.601 | 0.600 | |
| YES | 0.712 | 0.712 |
Disclaimer/Publisher’s Note: The statements, opinions and data contained in all publications are solely those of the individual author(s) and contributor(s) and not of MDPI and/or the editor(s). MDPI and/or the editor(s) disclaim responsibility for any injury to people or property resulting from any ideas, methods, instructions or products referred to in the content. |
© 2023 by the authors. Licensee MDPI, Basel, Switzerland. This article is an open access article distributed under the terms and conditions of the Creative Commons Attribution (CC BY) license (https://creativecommons.org/licenses/by/4.0/).
Share and Cite
Liu, W.; Huo, H.; Zhou, P.; Li, M.; Wang, Y. Research on Hyperspectral Modeling of Total Iron Content in Soil Applying LSSVR and CNN Based on Shannon Entropy Wavelet Packet Transform. Remote Sens. 2023, 15, 4681. https://doi.org/10.3390/rs15194681
Liu W, Huo H, Zhou P, Li M, Wang Y. Research on Hyperspectral Modeling of Total Iron Content in Soil Applying LSSVR and CNN Based on Shannon Entropy Wavelet Packet Transform. Remote Sensing. 2023; 15(19):4681. https://doi.org/10.3390/rs15194681
Chicago/Turabian StyleLiu, Weichao, Hongyuan Huo, Ping Zhou, Mingyue Li, and Yuzhen Wang. 2023. "Research on Hyperspectral Modeling of Total Iron Content in Soil Applying LSSVR and CNN Based on Shannon Entropy Wavelet Packet Transform" Remote Sensing 15, no. 19: 4681. https://doi.org/10.3390/rs15194681
APA StyleLiu, W., Huo, H., Zhou, P., Li, M., & Wang, Y. (2023). Research on Hyperspectral Modeling of Total Iron Content in Soil Applying LSSVR and CNN Based on Shannon Entropy Wavelet Packet Transform. Remote Sensing, 15(19), 4681. https://doi.org/10.3390/rs15194681

