Sign in to use this feature.

Years

Between: -

Subjects

remove_circle_outline
remove_circle_outline
remove_circle_outline
remove_circle_outline
remove_circle_outline
remove_circle_outline
remove_circle_outline
remove_circle_outline

Journals

Article Types

Countries / Regions

Search Results (23)

Search Parameters:
Keywords = lean soft tissue mass

Order results
Result details
Results per page
Select all
Export citation of selected articles as:
14 pages, 781 KB  
Article
Associations Between Gut Microbiota and Mitochondrial Metabolites, with Growth Differentiation Factor-15 as a Marker of Oxidative Stress in Heart Failure vs. Healthy Ageing
by Konstantinos Prokopidis, Adam Burke, Beyza Gulsah Altinpinar, Sima Jalali Farahani, Omid Khaiyat, Gregory Y. H. Lip, Rajiv Sankaranarayanan, Vanja Pekovic-Vaughan, Howbeer Muhamadali and Masoud Isanejad
Antioxidants 2026, 15(2), 199; https://doi.org/10.3390/antiox15020199 - 2 Feb 2026
Viewed by 1253
Abstract
Growth differentiation factor-15 (GDF-15) is an established marker of oxidative stress and a general stress-response mitokines. In this study, we aim to investigate the association of GDF-15 with the metabolic signature of gut and mitochondrial activity in HF and ageing population. A total [...] Read more.
Growth differentiation factor-15 (GDF-15) is an established marker of oxidative stress and a general stress-response mitokines. In this study, we aim to investigate the association of GDF-15 with the metabolic signature of gut and mitochondrial activity in HF and ageing population. A total of 25 HF (67.9 ± 10.0 years) and 29 age-matched healthy participants (HPs) (67.8 ± 11.1 years) were recruited and underwent detailed body composition assessment via dual X-ray absorptiometry; total fat mass and appendicular lean soft tissue index (ALSTI/body mass index (BMI)) were calculated. Utilizing semi-targeted Gas Chromatography–Mass Spectrometry on fasting plasma, a panel of gut microbial-derived (e.g., hippuric acid, indole derivatives, and sarcosine) and tricarboxylic acid cycle metabolites was identified. Results showed higher GDF-15 tertiles were associated with greater HF prevalence, fat mass, NT-proBNP, and TNF-α (p < 0.05). Gut-derived metabolites exhibited phenotype-specific patterns; 3-hydroxyindole predicted higher fat mass in HP; hippuric acid was inversely related in HF; and sarcosine correlated with GDF-15 only in HP. In HF, GDF-15 was strongly driven by pyruvic and fumaric acid, indicating disease-specific mitochondrial stress. In conclusion, these observed associations could be evaluated in future mechanistic studies as sensitive biomarkers of systemic oxidative stress markers, informing potential microbiome-targeted therapeutic avenues. Full article
(This article belongs to the Special Issue Oxidative Stress in Age-Related Diseases)
Show Figures

Figure 1

11 pages, 202 KB  
Article
The Impact of the Menopausal Transition on Body Composition and Abdominal Fat Redistribution
by Anna Szeliga, Peter Chedraui and Blazej Meczekalski
J. Clin. Med. 2026, 15(2), 740; https://doi.org/10.3390/jcm15020740 - 16 Jan 2026
Cited by 1 | Viewed by 2948
Abstract
Objective: To evaluate the impact of the menopausal transition on body composition across different body mass categories and to identify menopause-related changes in lean and fat tissue distribution. Methods: This retrospective cross-sectional study included 325 women whose clinical and body composition data were [...] Read more.
Objective: To evaluate the impact of the menopausal transition on body composition across different body mass categories and to identify menopause-related changes in lean and fat tissue distribution. Methods: This retrospective cross-sectional study included 325 women whose clinical and body composition data were extracted from existing records. Participants were classified as premenopausal (controls), perimenopausal, or postmenopausal and further stratified by body mass index (BMI) into normal-weight, overweight, and obesity groups. Body composition had been assessed using bioelectrical impedance analysis. Results: Across all BMI categories, postmenopausal women demonstrated significantly lower lean body mass, soft lean mass, skeletal muscle mass, total body water, protein, and mineral content compared with premenopausal and perimenopausal women (p < 0.05). Total and visceral fat area (VFA), body fat percentage (BF), and waist-to-hip ratio were significantly higher, indicating a shift toward central adiposity. These changes were most pronounced in normal-weight women (VFA: 36.4 ± 17.0, 48.3 ± 22.3, and 55.7 ± 23.5 cm2; BF: 24.8 ± 5.3%, 27.2 ± 5.2%, and 28.8 ± 4.6% in pre-, peri-, and postmenopause, respectively), and less marked among overweight women (VFA: 91.5 ± 36.3, 106.1 ± 38.2, and 111.7 ± 28.6 cm2; BF: 36.0 ± 3.6%, 36.4 ± 3.9%, and 37.2 ± 3.2%) and with obesity (VFA: 180.3 ± 62.4, 212.6 ± 96.2, and 175.5 ± 54.4 cm2; BF: 44.5 ± 4.5%, 44.5 ± 5.7%, and 41.9 ± 3.3%), suggesting a relative attenuation of muscle loss at higher BMI. Conclusions: Postmenopausal women showed a clear shift toward lower lean mass and greater central adiposity across BMI categories. These patterns indicate a consistent deterioration in body composition during the menopausal transition. Assessment of visceral fat in postmenopausal women is crucial, as its accumulation is closely linked to cardiometabolic risk. Menopause-related hormonal changes favor central adiposity, supporting the use of visceral fat as a key indicator for early risk stratification and preventive interventions in midlife women. Full article
(This article belongs to the Section Obstetrics & Gynecology)
10 pages, 928 KB  
Article
Reliability of Quadriceps and Hamstring Soft Tissue Measures Using Dual-Energy X-Ray Absorptiometry (DXA) Scans
by Trey R. Naylor, Mariana V. Jacobs, Cameron J. Elder, Michael A. Samaan and Jody L. Clasey
J. Imaging 2025, 11(5), 127; https://doi.org/10.3390/jimaging11050127 - 22 Apr 2025
Cited by 1 | Viewed by 967
Abstract
Purpose: The purpose of this study was to determine the intra- and interrater reliability of quadriceps and hamstring soft tissue measures using DXA scans. Methods: A total of 44 subjects (23 males) participated in this study. The first total body DXA scan was [...] Read more.
Purpose: The purpose of this study was to determine the intra- and interrater reliability of quadriceps and hamstring soft tissue measures using DXA scans. Methods: A total of 44 subjects (23 males) participated in this study. The first total body DXA scan was performed in the standard anterior/posterior scanning position, followed by two additional total body scans while the subjects were lying on their left and right sides with the leg of interest extended and the contralateral leg bent. Unique regions of interest were created for analyses of mineral-free lean masses (MFL) using custom analysis software with manual tracing (by two investigators) of the quadriceps (QUADS) and hamstrings (HAMS) of the right and left thighs. Between–within repeated measure analysis of variance (ANOVA) was used to determine if there were significant differences among the MFL measures, while intraclass correlation coefficients (ICC) and coefficients of variation (CV) were used to assess the intra- and interrater reliability. Results: Between-group analyses revealed that Investigator 2 had small yet significantly higher mean differences for right QUADS (2346.6 ± 602.4 g vs. 2327.4 ± 587.9 g), left QUADS (2337.3 ± 581.9 g vs. 2312.8 ± 581.2 g), right HAMS (2655.9 ± 626.3 g vs. 2543.0 ± 593.5 g), and left HAMS (2686.1 ± 628.1 g vs. 2562.8 ± 596.5 g) when compared to Investigator 1. Intraclass correlation coefficients between (≥0.984) and within (≥0.992) raters were high for all MFL measures, with low variation across all MFL measures (≤1.62%). Conclusions: Despite having significant group mean differences, our results revealed strong and significant reliability, and we recommend that a single investigator analyze the scans twice and that the mean of the two measures be used for final reporting within a given study. Full article
(This article belongs to the Section Medical Imaging)
Show Figures

Figure 1

20 pages, 530 KB  
Review
Body Composition and Its Outcomes and Management in Multiple Sclerosis: Narrative Review
by Ariel Kidwell-Chandler, Justin Jackson, Brenda Jeng, Stephanie L. Silveira, Lara A. Pilutti, Paul R. Hibbing and Robert W. Motl
Nutrients 2025, 17(6), 1021; https://doi.org/10.3390/nu17061021 - 14 Mar 2025
Cited by 4 | Viewed by 4133
Abstract
Background: There is emerging interest in obesity and its prevalence, outcomes, and management in people with multiple sclerosis (MS). Body mass index (BMI) is the traditional marker of obesity in MS, whereas body composition, inclusive of specific body tissue compartments (e.g., fat, [...] Read more.
Background: There is emerging interest in obesity and its prevalence, outcomes, and management in people with multiple sclerosis (MS). Body mass index (BMI) is the traditional marker of obesity in MS, whereas body composition, inclusive of specific body tissue compartments (e.g., fat, bone, and muscle), is often overlooked despite its relevance. Objective: This narrative review (a) underscored the use and utility of dual-energy X-ray absorptiometry (DEXA) as an accurate and reliable measure of body composition; (b) thematically analyzed and synthesized the current evidence regarding body composition (using DEXA); and (c) determined gaps to be addressed in future research. Methods: The structure and reporting of this narrative review followed the guiding criteria outlined in the Scale for the Assessment of Narrative Review Articles (SANRA). The relevant literature for this narrative review was identified via a PubMed search utilizing combined search terms such as ‘body composition’ and ‘multiple sclerosis’. The identified research was then organized by the authors into major themes and sub-themes. The articles described within the narrative review were based on saturation of the identified themes and sub-themes. Results: Three major themes were identified, namely (1) comparison of body composition between people with MS and non-MS controls (2 meta-analyses); (2) examination of the relationships between body composition and a range of outcomes (14 cross-sectional studies); and (3) interventions that report and/or target body composition in MS (11 clinical trials). Conclusions: This narrative review mapped the existing evidence regarding body composition in MS, and posits body composition as a novel, informative, and targeted concept for this population. The narrative review underscores the importance of randomized controlled trials that focus on body composition as a significant and modifiable outcome. Such research could improve the understanding of obesity and poor body composition in MS and identify useful clinical recommendations for diagnosis and management. Full article
Show Figures

Figure 1

11 pages, 576 KB  
Article
Nutrient Intake and Its Association with Appendicular Total Lean Mass and Muscle Function and Strength in Older Adults: A Population-Based Study
by Miguel Germán Borda, Jessica Samuelsson, Tommy Cederholm, Jonathan Patricio Baldera, Mario Ulises Pérez-Zepeda, George E. Barreto, Anna Zettergren, Silke Kern, Lina Rydén, Mariana Gonzalez-Lara, Salomón Salazar-Londoño, Gustavo Duque, Ingmar Skoog and Dag Aarsland
Nutrients 2024, 16(4), 568; https://doi.org/10.3390/nu16040568 - 19 Feb 2024
Cited by 15 | Viewed by 6518
Abstract
Treatment options for sarcopenia are currently limited, and primarily rely on two main therapeutic approaches: resistance-based physical activity and dietary interventions. However, details about specific nutrients in the diet or supplementation are unclear. We aim to investigate the relationship between nutrient intake and [...] Read more.
Treatment options for sarcopenia are currently limited, and primarily rely on two main therapeutic approaches: resistance-based physical activity and dietary interventions. However, details about specific nutrients in the diet or supplementation are unclear. We aim to investigate the relationship between nutrient intake and lean mass, function, and strength. Data were derived from the Gothenburg H70 birth cohort study in Sweden, including 719,70-year-olds born in 1944 (54.1% females). For independent variables, the diet history method (face-to-face interviews) was used to estimate habitual food intake during the preceding three months. Dependent variables were gait speed (muscle performance), hand grip strength (muscle strength), and the appendicular lean soft tissue index (ALSTI). Linear regression analyses were performed to analyze the relationship between the dependent variables and each of the covariates. Several nutrients were positively associated with ALSTI, such as polyunsaturated fatty acids (DHA, EPA), selenium, zinc, riboflavin, niacin equivalent, vitamin B12, vitamin D, iron, and protein. After correction for multiple comparisons, there were no remaining correlations with handgrip and gait speed. Findings of positive correlations for some nutrients with lean mass suggest a role for these nutrients in maintaining muscle volume. These results can be used to inform clinical trials to expand the preventive strategies and treatment options for individuals at risk of muscle loss and sarcopenia. Full article
(This article belongs to the Special Issue Geriatric Nursing Nutrition)
Show Figures

Figure 1

12 pages, 495 KB  
Review
Body Composition in Chronic Liver Disease
by Hiroki Nishikawa, Soo Ki Kim and Akira Asai
Int. J. Mol. Sci. 2024, 25(2), 964; https://doi.org/10.3390/ijms25020964 - 12 Jan 2024
Cited by 6 | Viewed by 3856
Abstract
Body composition has recently been attracting people’s attention, not only from a cosmetic standpoint but also from the perspective of health and longevity. The body is classified into three components: fat, bone, and lean soft tissue, and it is common to see an [...] Read more.
Body composition has recently been attracting people’s attention, not only from a cosmetic standpoint but also from the perspective of health and longevity. The body is classified into three components: fat, bone, and lean soft tissue, and it is common to see an increase in body fat and a decrease in total body muscle mass with aging. Aging-related loss of muscle mass and muscle function is referred to as primary sarcopenia, while sarcopenia caused by disease-specific conditions is referred to as secondary sarcopenia. On the other hand, the liver-muscle axis has been attracting attention in recent years, and it has become clear that the liver and the skeletal muscles interact with each other. In particular, patients with cirrhosis are prone to secondary sarcopenia due to protein-energy malnutrition, which is a characteristic pathophysiology of the disease, suggesting the importance of the organ–organ network. In this review, we would like to outline the latest findings in this field, with a focus on body composition in liver diseases such as liver cirrhosis, fatty liver disease, alcoholic liver disease, and hepatocellular carcinoma. Full article
Show Figures

Figure 1

11 pages, 305 KB  
Article
Relationship between Body Composition Asymmetry and Specific Performance in Taekwondo Athletes: A Cross-Sectional Study
by Alex Ojeda-Aravena, Alberto Warnier-Medina, Caroline Brand, Jorge Morales-Zúñiga, Gladys Orellana-Lepe, José Zapata-Bastias and Marcelo Tuesta
Symmetry 2023, 15(11), 2087; https://doi.org/10.3390/sym15112087 - 20 Nov 2023
Cited by 14 | Viewed by 4710
Abstract
Currently, there is interest in investigating how interlimb asymmetries (IA) of body composition impact sport-specific performance outcomes. This study aimed to examine the relationship between body composition inter-limb asymmetry and specific performance outcomes in taekwondo athletes. Seventeen national and international athletes (males, n [...] Read more.
Currently, there is interest in investigating how interlimb asymmetries (IA) of body composition impact sport-specific performance outcomes. This study aimed to examine the relationship between body composition inter-limb asymmetry and specific performance outcomes in taekwondo athletes. Seventeen national and international athletes (males, n = 8, mean age = 23.3 ± 3.1 years, mean stature = 177.2 ± 8.5 cm, mean body mass = 80.0 ± 7.3 kg; females, n = 9, mean age = 25.0 ± 4.0 years, mean stature = 161.1 ± 4.4 cm, mean body mass = 59.8 ± 5.7 kg) participated in the study. During a non-consecutive 2-day period, body composition (BC) and IA were assessed using dual X-ray absorptiometry, and the magnitude (%) of IA was calculated. Specific-performance included taekwondo specific agility test (TSAT) and Frequency Speed of Kick Test Multiple (FSKTMULT). The relationship between BC asymmetry and performance outcomes was analyzed using a partial correlation approach (controlling for gender, age, and training time). The influence of the significant results was examined using forward stepwise linear regression models. The main results showed no significant differences between the lower limbs (p < 0.05). The IA ranged from 1.37% to 2.96%. Moderate to large negative correlations (r = −0.56 to −0.76, p < 0.05) were documented between IA of body mass, free fat mass (FFM), and lean soft tissue mass (LSTM) with most FSKTMULT outcomes. Bone mineral density (BMD) was correlated with set 5 (rho = −0.49, p = 0.04). The FFM and LSTM asymmetries influenced the KDI reduction by 21%. Meanwhile, IA BMD negatively influenced set 5 performance by 48%. The findings of our study indicate that asymmetries independent of the magnitude of muscle and bone mass-related outcomes may have detrimental effects on high-intensity performance in taekwondo athletes. This underscores the importance of implementing comprehensive training programs and paying attention to achieving body composition inter-limb symmetry to improve overall performance levels in this sport. Full article
(This article belongs to the Special Issue Symmetry and Asymmetry in Sport Sciences)
13 pages, 1987 KB  
Article
Association between Phase Angle and Body Composition of Children and Adolescents Diagnosed with HIV Infection
by Priscila Custódio Martins, Luiz Rodrigo Augustemak de Lima, Analiza Mónica Silva and Diego Augusto Santos Silva
Children 2023, 10(8), 1309; https://doi.org/10.3390/children10081309 - 29 Jul 2023
Cited by 3 | Viewed by 2515
Abstract
The aim of the study was to investigate how phase angle (PhA) is associated with subtotal and lumbar spine bone mineral density [BMD], lean soft tissue mass [LSTM], total body fat mass, android and gynoid in children and adolescents with HIV according to [...] Read more.
The aim of the study was to investigate how phase angle (PhA) is associated with subtotal and lumbar spine bone mineral density [BMD], lean soft tissue mass [LSTM], total body fat mass, android and gynoid in children and adolescents with HIV according to sex. A cross-sectional study was conducted in Florianópolis, Brazil, involving 64 children and adolescents vertically transmitted with HIV. Resistance and reactance values were obtained using bioelectrical impedance analysis, and PhA was subsequently calculated. Dual emission X-ray absorptiometry was used to assess body composition. Antiretroviral medication, physical activity (accelerometers) and skeletal maturation (wrist-carpal radiography) were used in the adjusted model. In males, PhA was directly associated with subtotal BMD (βadj: 0.65; R²: 0.38, p < 0.01) and lumbar spine BMD (βadj: 0.53; R²: 0.22, p = 0.01), directly associated with LSTM (βadj: 0.76; R²: 0.46, p < 0.01), and inversely associated with gynoid fat (βadj: −0.47; R²: 0.2, p = 0.01), in adjusted models. In females, PhA was directly associated with subtotal BMD (βadj: 0.46; R²: 0.17, p < 0.01) and lumbar spine BMD (βadj: 0.48; R²: 0.19, p < 0.01). It is concluded that PhA was directly associated with subtotal and regional BMD, LSTM, and inversely with gynoid fat in boys with HIV. In girls, PA was directly associated only with subtotal and regional BMD. Full article
(This article belongs to the Special Issue Advances in Research on Nutrition and Childhood Obesity: 2nd Edition)
Show Figures

Figure 1

10 pages, 1558 KB  
Article
Assessment of Standing Multi-Frequency Bioimpedance Analyzer to Measure Body Composition of the Whole Body and Limbs in Elite Male Wrestlers
by Yeong-Kang Lai, Chu-Ying Ho, Chung-Liang Lai, Chih-Yang Taun and Kuen-Chang Hsieh
Int. J. Environ. Res. Public Health 2022, 19(23), 15807; https://doi.org/10.3390/ijerph192315807 - 28 Nov 2022
Cited by 9 | Viewed by 3138
Abstract
We investigated differences in body composition measurements for the whole body and limb segments in elite male wrestlers between results of multi-frequency bioelectrical impedance analyses (MFBIA) and dual energy X-ray absorptiometry (DXA). Sixty-six elite male wrestlers from Taiwan were recruited. Wrestlers’ [...] Read more.
We investigated differences in body composition measurements for the whole body and limb segments in elite male wrestlers between results of multi-frequency bioelectrical impedance analyses (MFBIA) and dual energy X-ray absorptiometry (DXA). Sixty-six elite male wrestlers from Taiwan were recruited. Wrestlers’ body fat percentage (PBFWB), whole body fat-free mass (FFMWB), whole body lean soft tissue mass (LSTMWB), and fat-free mass of arms, legs and trunk (FMArms, FFMLegs, FFMTrunk) were measured by MFBIA and DXA, and analyzed using Pearson correlation coefficient and Bland–Altman plot. Correlations of FFMWB, LSTMWB, and PBFWB between devices were 0.958, 0.954, and 0.962, respectively. Limits of agreement (LOA) of Bland–Altman plot were −4.523 to 4.683 kg, −4.332 to 4.635 kg and −3.960 to 3.802%, respectively. Correlations of body composition parameters FFMArms, FFMLegs and FFMTurnk between devices in each limb segment were 0.237, 0.809, and 0.929, respectively; LOAs were −2.877 to 2.504 kg, −7.173 to −0.015 kg and −5.710 to 0.777 kg, respectively. Correlation and consistency between the devices are high for FFM, LSTM and PBF but relatively low for limb segment FFM. MFBIA may be an alternative device to DXA for measuring male wrestlers’ total body composition but limb segment results should be used cautiously. Full article
Show Figures

Figure 1

10 pages, 686 KB  
Article
Association between Phase Angle from Bioelectric Impedance and Muscular Strength and Power in Physically Active Adults
by Aryanne Hydeko Fukuoka, Núbia Maria de Oliveira, Catarina N. Matias, Filipe J. Teixeira, Cristina P. Monteiro, Maria J. Valamatos, Joana F. Reis and Ezequiel Moreira Gonçalves
Biology 2022, 11(9), 1255; https://doi.org/10.3390/biology11091255 - 24 Aug 2022
Cited by 13 | Viewed by 4364
Abstract
This study aimed to compare muscle strength and power indicators according to bioimpedance spectroscopy’s phase angle (PhA) values, in resistance-trained (RT) men, while exploring associations between PhA and performance. Forty-four men aged 18–45 years, engaged in RT, were allocated according to PhA tertiles. [...] Read more.
This study aimed to compare muscle strength and power indicators according to bioimpedance spectroscopy’s phase angle (PhA) values, in resistance-trained (RT) men, while exploring associations between PhA and performance. Forty-four men aged 18–45 years, engaged in RT, were allocated according to PhA tertiles. Lean soft tissue (LST) and fat mass (%FM) were assessed using dual-energy x-ray absorptiometry; dynamic muscle strength using 1 repetition maximum (1RM) of bench press (BP) and back squat (BS) and muscle power using Wingate test (WT) and countermovement jump (CMJ). For WT and CMJ, the 3rd tertile was significantly higher than the 1st tertile (p = 0.027 and p = 0.018, respectively). Regarding BP 1RM, the 3rd tertile was significantly higher than the 2nd tertile (p = 0.037). LST better explained the variability in the WT, BS and BP (p =< 0.001), while %FM better accounted for jump height in CMJ (p =< 0.001). PhA was a predictor of performance in both CMJ (p = 0.040) and BP (p = 0.012), independently of LST and %FM. Participants with higher PhA also displayed superior muscle strength of the upper limbs and greater muscle power of the lower limbs. PhA displayed significant moderate associations with performance in CMJ and BP, even after controlling for body composition. Still, LST was the most important predictor of muscle strength and power. Full article
Show Figures

Figure 1

11 pages, 4953 KB  
Article
Regional Lean Soft Tissue and Intracellular Water Are Associated with Changes in Lower-Body Neuromuscular Performance: A Pilot Study in Elite Soccer Players
by Tindaro Bongiovanni, Grant Tinsley, Giulia Martera, Carmine Orlandi, Federico Genovesi, Giuseppe Puleo, Alessio Rossi and Athos Trecroci
Eur. J. Investig. Health Psychol. Educ. 2022, 12(8), 882-892; https://doi.org/10.3390/ejihpe12080064 - 22 Jul 2022
Cited by 8 | Viewed by 3872
Abstract
The assessment of body composition over a competitive season provides valuable information that can help sports professionals to evaluate the efficacy of training and nutritional strategies, as well as monitoring athletes’ health status. The purpose of this study was to examine the association [...] Read more.
The assessment of body composition over a competitive season provides valuable information that can help sports professionals to evaluate the efficacy of training and nutritional strategies, as well as monitoring athletes’ health status. The purpose of this study was to examine the association of changes in body composition and hydration status with changes in lower-body neuromuscular performance in soccer. Twenty-two male professional soccer players (mean ± SD; age: 26.4 ± 4.8 years; height: 184.3 ± 5.7 cm; body mass: 81.1 ± 6.5 kg; body fat: 11.6 ± 1.5%) took part in the study, for which they were tested at the initial and final stage of the competitive season. Total (whole body) and regional (arms and legs) lean soft tissue (LST) were estimated to obtain the body composition profile. Total body water (TBW) content, including extracellular (ECW) and intracellular (ICW) water, was obtained to monitor players’ hydration status. Countermovement jump (CMJ) height, power, and strength were used to derive players’ lower-body neuromuscular performance. The results showed that changes in legs LST and ICW significantly (p < 0.01) explained (r2 = 0.39) the improvements in CMJ height, power, and strength from the initial to the final stage of the season. Given the high demand imposed on the lower limbs during a soccer season, being more susceptible to change compared to whole-body LST, assessing regional LST and ICW would be more appropriate to provide extended information on players’ readiness. Full article
Show Figures

Figure 1

19 pages, 2459 KB  
Article
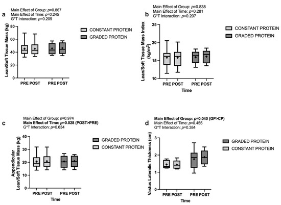
The Effects of Graded Protein Intake in Conjunction with Progressive Resistance Training on Skeletal Muscle Outcomes in Older Adults: A Preliminary Trial
by J. Max Michel, Kristy K. Lievense, Sam C. Norton, Juliana V. Costa, Kathryn H. Alphin, Lydia A. Bailey and Gary D. Miller
Nutrients 2022, 14(13), 2739; https://doi.org/10.3390/nu14132739 - 30 Jun 2022
Cited by 7 | Viewed by 6542
Abstract
Many studies have evaluated the effects of resistance training (RT) and protein intake to attenuate the age-related loss of skeletal muscle. However, the effects of graded protein intake with conjunctive RT in older adults are unclear. Older adults (n = 18) performed [...] Read more.
Many studies have evaluated the effects of resistance training (RT) and protein intake to attenuate the age-related loss of skeletal muscle. However, the effects of graded protein intake with conjunctive RT in older adults are unclear. Older adults (n = 18) performed 10 weeks of whole-body RT with progressions to intensity and volume while consuming either a constant protein (CP) diet (0.8–1.0 g/kg/d) with no protein supplement or a graded protein (GP) diet progressing from 0.8 g/kg/d at week 1 to 2.2 g/kg/d at week 10 with a whey protein supplement. Data were collected prior to commencement of the RT protocol (PRE), after week 5 (MID), and after week 10 (POST). Dual Energy X-ray Absorptiometry derived lean/soft tissue mass, ultrasonography derived muscle thickness, and a proxy of muscle quality were taken at PRE and POST, while isokinetic dynamometry derived peak torque were taken at PRE, MID, and POST. This study demonstrated the feasibility of the RT protocol (attendance = 96%), and protein intake protocol (CP in range all weeks; GP deviation from prescribed = 7%). Peak torque, muscle quality scores, and appendicular lean/soft tissue mass demonstrated the main effects of time (p < 0.05) while no other main effects of time or group * time interactions were seen for any measure. In conclusion, RT improved appendicular lean/soft tissue mass, peak torque, and muscle quality, with no differential effects of graded or constant protein intake. Full article
(This article belongs to the Section Proteins and Amino Acids)
Show Figures

Figure 1

17 pages, 1692 KB  
Article
Early Life Factors Associated with Lean Body Mass in Spanish Children: CALINA Study
by Diana Paola Córdoba-Rodríguez, Iris Iglesia, Alejandro Gómez-Bruton, María Luisa Álvarez Sauras, María L. Miguel-Berges, Paloma Flores-Barrantes, José Antonio Casajús, Luis A. Moreno and Gerardo Rodríguez
Children 2022, 9(5), 585; https://doi.org/10.3390/children9050585 - 20 Apr 2022
Cited by 1 | Viewed by 3230
Abstract
Early life is critical for the programming of body composition. The literature links perinatal factors with fat mass development and its future effects (e.g., obesity); however, little evidence exists between early life factors and lean body mass (LBM). This study follows up on [...] Read more.
Early life is critical for the programming of body composition. The literature links perinatal factors with fat mass development and its future effects (e.g., obesity); however, little evidence exists between early life factors and lean body mass (LBM). This study follows up on a cohort of 416 Spanish children at ages six to eight, previously evaluated at birth in the CALINA study. Here, we studied the association between early life factors, LBM, and limb strength. Parental origin/nutritional status, maternal smoking during pregnancy, gestational diabetes/weight gain/age, birth weight (BW), early feeding, and rapid weight gain (RWG) were collected from primary care records. Bioimpedance analysis, dual-energy X-ray absorptiometry, peripheral quantitative computed tomography, and a handgrip/standing long jump test were used to assess fat-free mass index (FFMI), total lean soft tissue mass index (TLSTMI), muscle cross-sectional area index (MCSAI), and limb strength, respectively. In girls, maternal smoking, gestational age, and BW were positively associated with FFM/LSTM. In boys, the parents’ BMI, BW, and RWG were positively associated with FFM/LSTM. BW was associated with handgrip strength in both. Maternal BMI in girls and RWG in boys were negatively associated with the standing long jump. Early life programming plays a key role in determining LBM in children. Full article
Show Figures

Graphical abstract

18 pages, 325 KB  
Article
Olympic Cycle Comparison of the Nutritional and Cardiovascular Health Status of an Elite-Level Female Swimmer: Case Study Report from Slovenia
by Boštjan Jakše, Silvester Lipošek, Nataša Zenić and Dorica Šajber
Sports 2022, 10(5), 63; https://doi.org/10.3390/sports10050063 - 20 Apr 2022
Cited by 6 | Viewed by 5034
Abstract
Monitoring the many aspects that are crucial to an athlete’s performance progress is vital for further training planning and for the development of performance and the sport. We evaluated a four-year change (2018 vs. 2022) in the current nutritional and cardiovascular health status [...] Read more.
Monitoring the many aspects that are crucial to an athlete’s performance progress is vital for further training planning and for the development of performance and the sport. We evaluated a four-year change (2018 vs. 2022) in the current nutritional and cardiovascular health status of the most successful elite-level female swimmer in Slovenia. Body composition and dietary intake were assessed using dual-energy X-ray absorptiometry and a standardized food questionnaire. The concentration of blood lipids, blood pressure, and serum micronutrients (B12, 25(OH)D), potassium, calcium, phosphorus, magnesium, and iron) were measured. The four-year comparison showed an improved body composition status (i.e., increased body mass and decreased body fat (percentage and mass), increased lean soft tissue and total bone mineral density (BMD) (i.e., significantly decreased BMD of a left femoral neck and increased BMD of a spine and head)). We also measured an improvement in the cardiovascular health status of some markers (i.e., decreased total cholesterol, triglycerides, and blood pressure but increased low-density lipoprotein cholesterol), most likely due to the differences in assessed dietary intake (i.e., lower carbohydrate intake, higher total and saturated fat intake, and lower sodium intake). Notably, nutrient intakes that are generally of concern (eicosapentaenoic acid (EPA) and docosahexaenoic acid (DHA), vitamin B12 and D, calcium, iron, and zinc (except for fiber intake)) were all within recommended ranges. However, the athlete’s vitamin K and potassium intake were not adequate. Furthermore, in 2018, the athlete did not consume dietary supplements, while she now regularly uses several dietary supplements, including EPA and DHA omega-3, vitamin D, multivitamins, carbohydrate powder, and sports drink. Moreover, from the micronutrient serum, only iron levels deviated from the reference values (37 μmol/L vs. 10.7–28.6 μmol/L). The presented screening example using valid, sensitive, and affordable methods and with rapid organizational implementation may be a viable format for regular monitoring. Full article
11 pages, 1027 KB  
Article
Effect of Physical Training on Body Composition in Brazilian Military
by Luis Alberto Gobbo, Raquel David Langer, Elisabetta Marini, Roberto Buffa, Juliano Henrique Borges, Mauro A. Pascoa, Vagner X. Cirolini, Gil Guerra-Júnior and Ezequiel Moreira Gonçalves
Int. J. Environ. Res. Public Health 2022, 19(3), 1732; https://doi.org/10.3390/ijerph19031732 - 2 Feb 2022
Cited by 13 | Viewed by 4426
Abstract
The military are selected on the basis of physical standards and are regularly involved in strong physical activities, also related to particular sports training. The aims of the study were to analyze the effect of a 7-month military training program on body composition [...] Read more.
The military are selected on the basis of physical standards and are regularly involved in strong physical activities, also related to particular sports training. The aims of the study were to analyze the effect of a 7-month military training program on body composition variables and the suitability of specific ‘bioelectrical impedance vector analysis’ (spBIVA), compared to DXA, to detect the changes in body composition. A sample of 270 male Brazilian cadets (19.1 ± 1.1 years), composed of a group practicing military physical training routine only (MT = 155) and a group involved in a specific sport training (SMT = 115), were measured by body composition assessments (evaluated by means of DXA and spBIVA) at the beginning and the end of the military routine year. The effect of training on body composition was similar in SMT and MT groups, with an increase in LST. DXA and spBIVA were correlated, with specific resistance (Rsp) and reactance (Xcsp) positively related to fat mass (FM), FM%, LST, and lean soft tissue index (LSTI), and phase angle positively related to LST and LSTI. Body composition variations due to physical training were recognized by spBIVA: the increase in muscle mass was indicated by the phase angle and Xcsp increase, and the stability of FM% was consistent with the unchanged values of Rsp. Military training produced an increase in muscle mass, but no change in FM%, independently of the sample characteristics at baseline and the practice of additional sports. SpBIVA is a suitable technique for the assessment of body composition in military people. Full article
Show Figures

Figure 1

Back to TopTop