Association between Phase Angle and Body Composition of Children and Adolescents Diagnosed with HIV Infection
Abstract
1. Introduction
2. Method
2.1. Study Design
2.2. Population and Sample
2.3. Phase Angle
2.4. Body Composition
2.5. Covariates
2.6. Statistical Analysis
3. Results
4. Discussion
Author Contributions
Funding
Institutional Review Board Statement
Informed Consent Statement
Data Availability Statement
Conflicts of Interest
References
- Gratão, L.H.A.; Nascimento, G.N.L.D.; Pereira, R.J. Effects of HAART in the nutritional status of children and adolescents infected by HIV in Brazil: A systematic review. Ciênc. Saúde Colet. 2021, 26, 1346–1354. [Google Scholar] [CrossRef]
- Shiau, S.; Yin, M.T.; Strehlau, R.; Patel, F.; Mbete, N.; Kuhn, L.; Coovadia, A.; Arpadi, S.M. Decreased bone turnover in HIV-infected children on antiretroviral therapy. Arch. Osteoporos. 2018, 13, 40. [Google Scholar] [CrossRef] [PubMed]
- Manavalan, J.S.; Arpadi, S.; Tharmarajah, S.; Shah, J.; Zhang, C.A.; Foca, M.; Neu, N.; Bell, D.L.; Nishiyama, K.K.; Kousteni, S.; et al. Abnormal bone acquisition with early-life HIV infection: Role of immune activation and senescent osteogenic precursors. J. Bone Miner. Res. 2016, 31, 1988–1996. [Google Scholar] [CrossRef] [PubMed]
- Chirindza, N.; Leach, L.; Mangona, L.; Nhaca, G.; Daca, T.; Prista, A. Body composition, physical fitness and physical activity in Mozambican children and adolescents living with HIV. PLoS ONE 2022, 17, e0275963. [Google Scholar] [CrossRef]
- Bellavia, A.; Williams, P.L.; DiMeglio, L.A.; Hazra, R.; Abzug, M.J.; Patel, K.; Jacobson, D.L.; Geffner, M.E. Delay in sexual maturation in perinatally HIV-infected youth is mediated by poor growth. Aids 2017, 31, 1333. [Google Scholar] [CrossRef] [PubMed]
- Da Silva, G.M.; Andaki, A.A.C.R. Nível de atividade física de adolescentes brasileiros vivendo com HIV/aids: Uma revisão sistemática. Arq. Ciênc. Esporte 2019, 7, 3. [Google Scholar]
- Schwenk, A.; Beisenherz, A.; Römer, K.; Kremer, G.; Salzberger, B.; Elia, M. Phase angle from bioelectrical impedance analysis remains an independent predictive marker in HIV-infected patients in the era of highly active antiretroviral treatment. Am. J. Clin. Nutr. 2000, 72, 496–501. [Google Scholar] [CrossRef]
- Norman, K.; Stobäus, N.; Zocher, D.; Bosy-Westphal, A.; Szramek, A.; Scheufele, R.; Smoliner, C.; Pirlich, M. Cutoff percentiles of bioelectrical phase angle predict functionality, quality of life, and mortality in patients with cancer. Am. J. Clin. Nutr. 2010, 92, 612–619. [Google Scholar] [CrossRef]
- Norman, K.; Stobäus, N.; Pirlich, M.; Bosy-Westphal, A. Bioelectrical phase angle and impedance vector analysis–clinical relevance and applicability of impedance parameters. Clin. Nutr. 2012, 31, 854–861. [Google Scholar] [CrossRef]
- Garlini, L.M.; Alves, F.D.; Ceretta, L.B.; Perry, I.S.; Souza, G.C.; Clausell, N.O. Phase angle and mortality: A systematic review. Eur. J. Clin. Nutr. 2019, 73, 495–508. [Google Scholar] [CrossRef]
- Shah, S.; Whalen, C.; Kotler, D.P.; Mayanja, H.; Namale, A.; Melikian, G.; Mugerwa, R.; Semba, R.D. Severity of human immunodeficiency virus infection is associated with decreased phase angle, fat mass and body cell mass in adults with pulmonary tuberculosis infection in Uganda. J. Nutr. 2001, 131, 2843–2847. [Google Scholar] [CrossRef] [PubMed]
- Scheunemann, L.; Wazlawik, E.; Bastos, J.L.; Cardinal, T.R.; Nakazora, L.M. Agreement and association between the phase angle and parameters of nutritional status assessment in surgical patients. Nutr. Hosp. 2011, 26, 480–487. [Google Scholar] [PubMed]
- De Moraes, A.M.; Quinaud, R.T.; Ferreira, G.O.; Lima, A.B.; Carvalho, H.M.; Guerra-Júnior, G. Age-, sex-, and maturity-associated variation in the phase angle after adjusting for size in adolescents. Front. Nutr. 2023, 145, 16648714. [Google Scholar] [CrossRef]
- 1Koury, J.C.; Trugo, N.M.; Torres, A.G. Phase angle and bioelectrical impedance vectors in adolescent and adult male athletes. Int. J. Sports Physiol. Perform. 2014, 9, 798–804. [Google Scholar]
- Mundstock, E.; Amaral, M.A.; Baptista, R.R.; Sarria, E.E.; Dos Santos, R.R.G.; Detoni Filho, A.; Rodrigues, C.A.; Forte, G.C.; Castro, L.; Padoin, A.V.; et al. Association between phase angle from bioelectrical impedance analysis and level of physical activity: Systematic review and meta-analysis. Clin. Nutr. 2019, 38, 1504–1510. [Google Scholar] [CrossRef]
- Lukaski, H.C.; Talluri, A. Phase angle as an index of physiological status: Validating bioelectrical assessments of hydration and cell mass in health and disease. Rev. Endocr. Metab. Disord. 2022, 24, 371–379. [Google Scholar] [CrossRef]
- Antunes, M.; Cyrino, E.S.; Silva, D.R.; Tomeleri, C.M.; Nabuco, H.C.; Cavalcante, E.F.; Cunha, P.M.; Cyrino, L.T.; Dos Santos, L.; Silva, A.M.; et al. Total and regional bone mineral density are associated with cellular health in older men and women. Arch. Gerontol. Geriatr. 2020, 90, 104156. [Google Scholar] [CrossRef]
- Barrea, L.; Pugliese, G.; de Alteriis, G.; Colao, A.; Savastano, S.; Muscogiuri, G. Phase angle: Could be an easy tool to detect low-grade systemic inflammation in adults affected by Prader–Willi syndrome? Nutrients 2020, 12, 2065. [Google Scholar] [CrossRef]
- Cornejo-Pareja, I.; Vegas-Aguilar, I.M.; García-Almeida, J.M.; Bellido-Guerrero, D.; Talluri, A.; Lukaski, H.; Tinahones, F.J. Phase angle and standardized phase angle from bioelectrical impedance measurements as a prognostic factor for mortality at 90 days in patients with COVID-19: A longitudinal cohort study. Clin. Nutr. 2022, 41, 3106–3114. [Google Scholar] [CrossRef] [PubMed]
- Langer, R.D.; da Costa, K.G.; Bortolotti, H.; Fernandes, G.A.; de Jesus, R.S.; Gon¸calves, E.M. Phase angle is associated with cardiorespiratory fitness and body composition in children aged between 9 and 11 years. Physiol. Behav. 2020, 215, 112772. [Google Scholar] [CrossRef]
- Martins, P.C.; de Lima, L.R.A.; Silva, A.M.; Petroski, E.L.; Moreno, Y.M.F.; Silva, D.A.S. Phase angle is associated with the physical fitness of HIV-infected children and adolescents. Scand. J. Med. Sci. Sports 2019, 29, 1006–1012. [Google Scholar] [CrossRef]
- Martins, P.C.; Alves Junior, C.A.S.; Silva, A.M.; Silva, D.A.S. Phase Angle and Body Composition: A Scoping Review. Clin. Nutr. ESPEN 2023, 56, 237–250. [Google Scholar] [CrossRef]
- Wells, J.C.; Fewtrell, M.S. Is body composition important for paediatricians? Arch. Dis. Child. 2008, 93, 168–172. [Google Scholar] [CrossRef]
- Faul, F.; Erdfelder, E.; Lang, A.G.; Buchner, A. G* Power 3: A flexible statistical power analysis program for the social, behavioral, and biomedical sciences. Behav. Res. Methods 2007, 39, 175–191. [Google Scholar] [CrossRef]
- Cohen, J. Statistical power analysis. Curr. Dir. Psychol. Sci. 1992, 1, 98–101. [Google Scholar] [CrossRef]
- Kyle, U.G.; Bosaeus, I.; De Lorenzo, A.D.; Deurenberg, P.; Elia, M.; Gómez, J.M.; Heitmann, B.L.; Kent-Smith, L.; Melchior, J.C.; Pirlich, M.; et al. Composition of the ESPEN Working Group. Bioelectrical impedance analysis—Part I: Review of principles and methods. Clin. Nutr. 2004, 23, 1226–1243. [Google Scholar] [CrossRef] [PubMed]
- Ge Healthcare. Ge Healthcare. Manual do operador enCORE: Instruções de uso para densitômetro ósseo lunar prodigy dos modelos Prodigy/Prodigyadvance/Prodigy Pro/Prodigy Primo. GE Medical Systems Lunar. Madison, Estados Unidos. 2011. [Google Scholar]
- Wang, Z.; Heymsfield, S.B.; Chen, Z.; Zhu, S.; Pierson, R.N. Estimation of percentage body fat by dual-energy x-ray absorptiometry: Evaluation by in vivo human elemental composition. Phys. Med. Biol. 2010, 55, 2619. [Google Scholar] [CrossRef] [PubMed]
- de Lima, L.R.A.; Back, I.D.C.; Nunes, E.A.; Silva, D.A.S.; Petroski, E.L. Aerobic fitness and physical activity are inversely associated with body fat, dyslipidemia and inflammatory mediators in children and adolescents living with HIV. J. Sports Sci. 2019, 37, 50–58. [Google Scholar] [CrossRef]
- Greulich, W.W.; Pyle, S.I. Radiographic Atlas of Skeletal Development of the Hand and Wrist, 2nd ed.; Stanford University Press: Stanford, CA, USA, 1959; p. 255. [Google Scholar]
- Malina, R.M.; Beunen, G. Growth and maturation: Methods of monitoring. In The Young Athlete; Blackwell Publishing: Malden, MA, USA, 2008; pp. 430–442. [Google Scholar]
- Sirard, J.R.; Pate, R.R. Physical activity assessment in children and adolescents. Sports Med. 2001, 31, 439–454. [Google Scholar] [CrossRef]
- Riddoch, C.J.; Andersen, L.B.; Wedderkopp, N.; Harro, M.; Klasson-Heggebø, L.; Sardinha, L.B.; Cooper, A.R.; Ekelund, U.L.F. Physical activity levels and patterns of 9-and 15-yr-old European children. Med. Sci. Sports Exerc. 2004, 36, 86–92. [Google Scholar] [CrossRef]
- Evenson, K.R.; Catellier, D.J.; Gill, K.; Ondrak, K.S.; McMurray, R.G. Calibration of two objective measures of physical activity for children. J. Sports Sci. 2008, 26, 1557–1565. [Google Scholar] [CrossRef] [PubMed]
- Carson, C. The effective use of effect size indices in institutional research. In Proceedings of the 31st Annual Conference Proceedings, Cambridge, UK, 15–19 April 2012; Volume 41. [Google Scholar]
- Choulakian, V.; Lockhart, R.A.; Stephens, M.A. Cramér-von Mises statistics for discrete distributions. Can. J. Stat. /Rev. Can. Stat. 1994, 22, 125–137. [Google Scholar] [CrossRef]
- Han, B.G.; Pak, D.; Lee, J.Y.; Kim, J.S.; Yang, J.W.; Kim, S. Interaction Effect of Phase Angle and Age on Femoral Neck Bone Mineral Density in Patients with Non-Dialysis Chronic Kidney Disease Stage. Nutrients 2023, 15, 1680. [Google Scholar] [CrossRef]
- Matur, F.; Ülgen, Y. The complex impedance phase angle of dominant arm: A useful parameter in bone mineral density (BMD) assessment of group 1 post-menopausal women. Med. Biol. Eng. Comput. 2023, 61, 25–32. [Google Scholar] [CrossRef]
- Sarkis, K.S.; de Medeiros Pinheiro, M.; Szejnfeld, V.L.; Martini, L.A. High bone density and bone health. Endocrinol. Nutr. 2012, 59, 207–214. [Google Scholar] [CrossRef] [PubMed]
- Boivin, G.; Meunier, P.J. Effects of bisphosphonates on matrix mineralization. J. Musculoskelet. Neuronal Interact. 2002, 2, 538–543. [Google Scholar] [PubMed]
- Bourne, G.H. (Ed.) . The Biochemistry and Physiology of Bone; Elsevier: Amsterdam, The Netherlands, 2014. [Google Scholar]
- Gonzalez, M.C.; Barbosa-Silva, T.G.; Bielemann, R.M.; Gallagher, D.; Heymsfield, S.B. Phase angle and its determinants in healthy subjects: Influence of body composition. Am. J. Clin. Nutr. 2016, 103, 712–716. [Google Scholar] [CrossRef]
- Frigati, L.J.; Ameyan, W.; Cotton, M.F.; Gregson, C.L.; Hoare, J.; Jao, J.; Majonga, E.D.; Myer, L.; Penazzato, M.; Rukuni , R.; et al. Chronic comorbidities in children and adolescents with perinatally acquired HIV infection in sub-Saharan Africa in the era of antiretroviral therapy. Lancet Child Adolesc. Health 2020, 4, 688–698. [Google Scholar] [CrossRef]
- Yan, Y.; Liu, J.; Zhao, X.; Cheng, H.; Huang, G.; Mi, J.; Dong, H.; Hou, D.; Chen, F.; Meng, L.; et al. Regional adipose compartments confer different cardiometabolic risk in children and adolescents: The China child and adolescent cardiovascular health study. Mayo Clin. Proc. 2019, 94, 1974–1982. [Google Scholar] [CrossRef]
- He, Q.; Horlick, M.; Thornton, J.; Wang, J.; Pierson, R.N., Jr.; Heshka, S.; Gallagher, D. Sex and race differences in fat distribution among Asian, African-American, and Caucasian prepubertal children. J. Clin. Endocrinol. Metab. 2002, 87, 2164–2170. [Google Scholar] [CrossRef]
- Siddiqui, N.I.; Khan, S.A.; Shoeb, M.; Bose, S. Anthropometric predictors of bio-impedance analysis (BIA) phase angle in healthy adults. J. Clin. Diagn. Res. 2016, 10, CC01. [Google Scholar] [CrossRef] [PubMed]
- Nescolarde, L.; Yanguas, J.; Lukaski, H.; Alomar, X.; Rosell-Ferrer, J.; Rodas, G. Localized bioimpedance to assess muscle injury. Physiol. Meas. 2013, 34, 237. [Google Scholar] [CrossRef] [PubMed]
- Cruz, M.L.; Bergman, R.N.; Goran, M.I. Unique effect of visceral fat on insulin sensitivity in obese Hispanic children with a family history of type 2 diabetes. Diabetes Care 2002, 25, 1631–1636. [Google Scholar] [CrossRef] [PubMed]



| Male (n = 29) | Female (n = 35) | |||||
|---|---|---|---|---|---|---|
| Mean (±SD) | Min; Max | Mean (±SD) | Min; Max | p-Value | Cohen’D | |
| Age (years) | 12.24 (2.19) | 08; 15.00 | 12.22 (2.09) | 08; 15.00 | 0.97 | 0.01 |
| Bone age (years) | 11.74 (2.66) | 06. 15.00 | 12.40 (2.73) | 06. 17.00 | 0.34 | 0.24 |
| Body mass (kg) | 39.45 (12.24) | 21.09; 72.40 | 40.38 (10.94 | 18.70; 65.10 | 0.758 | 0.08 |
| Height (cm) | 147.72 (13.78) | 116.80; 173.10 | 147.00 (12.63) | 114.20; 167.00 | 0.83 | 0.05 |
| Body mass index (kg.m−2) | 17.61 (2.67) | 12.52; 24.16 | 18.31 (2.73) | 14.33; 24.80 | 0.31 | 0.25 |
| Resistance (Ω/m) | 592.5.65 (119.01) | 352.26; 815.61 | 640.22 (75.92) | 468.62; 799.78 | 0.06 | 0.50 |
| Reactance (Ω/m) | 53. 36 (8.35) | 41.23; 69.74 | 53.65 (7.95) | 38.35; 69.63 | 0.87 | 0.03 |
| Phase angle (degrees) | 5.18 (0.74) | 3.64; 6.91 | 4.84 (0.51) | 3.79; 5.81 | 0.03 | 0.53 |
| Lean soft tissue mass (kg) | 31.00 (10.21) | 17.00; 59.86 | 27.94 (6.13) | 14.46; 42.30 | 0.14 | 0.36 |
| Total fat mass (kg) | 6.26 (3.28) | 1.3 (14.41) | 10.44 (5.65) | 3.02 (27.27) | <0.01 | 0.88 |
| Android fat (%) | 17.84 (9.00) | 6.70; 40.60 | 26.33 (10.87) | 10.50; 48.60 | 0.01 | 0.84 |
| Gynoid fat (%) | 26.01 (9.43) | 13.20; 46.10 | 37.74 (7.03) | 25.60; 53.50 | <0.01 | 1.42 |
| Subtotal bone mineral density (g/cm²) | 0.83 (0.12) | 0.58; 1.11 | 0.84 (0.10) | 0.60; 1.09 | 0.84 | 0.06 |
| Lumbar mineral density L1–L4 (g/cm²) | 0.78 (0.11) | 0.56; 1.06 | 0.84 (0.15) | 0.60; 1.17 | 0.06 | 0.47 |
| Subtotal bone mineral content (g) | 1150.81 (474.05) | 394.40; 2462.70 | 1202 (434.03) | 338.30; 2073.6 | 0.64 | 0.11 |
| Lumbar mineral content L1–L4 (g) | 119.17 (52.79) | 46.90; 276.40 | 136.20 (59.72) | 38.40 267.70 | 0.23 | 0.30 |
| Viral load (log) | 2241.72 (1042.78) | 1602.00; 5040.00 | 2118. 34 (932.83) | 1602.00; 4971.00 | 0.61 | 0.12 |
| CD4 T lymphocytes (cells.mm−3) | 861.50 (364.55) | 196.00; 1811.00 | 854.31 (375.71) | 135.00; 1731.00 | 0.93 | 0.09 |
| CD8 T lymphocytes (cells.mm−3) | 1204.25 (489.30) | 402.00; 2698.00 | 1125.25 (580.90) | 495.00; 3583.00 | 0.57 | 0.14 |
| Moderate-vigorous physical activity (min.day) | 48.87 (26.46) | 12.50 141.80 | 47.24 (27.47) | 10.50; 128.50 | 0.83 | 0.06 |
| n (%) | n (%) | p-value | V Cramér | |||
| ART | 0.18 | 0.16 | ||||
| Yes | 26 (49.06) | 27 (50.94) | ||||
| No | 03 (27.27) | 08 (72.73) | ||||
| Skeletal maturation * | ||||||
| Early | 02 (16.67) | 10 (83.33) | 0.03 | 0.32 | ||
| Normal | 16 (54.29) | 19 (45.71) | ||||
| Late | 10 (66.67) | 05 (33.33) | ||||
| Boys (n = 29) | Girls (n = 35) | |||||||||
|---|---|---|---|---|---|---|---|---|---|---|
| β (CI95%) | β Pad | R² | p-Value | f² | β (CI95%) | β Pad | R² | p-Value | f² | |
| Subtotal bone mineral density | ||||||||||
| Simple model | 3.93 (2.18; 5.67) | 0.66 | 0.42 | <0.01 | 0.72 | 2.19 (0.73; 3.65) | 0.21 | 0.20 | 0.02 | 0.25 |
| Adjusted model | 4.04 (1.65; 6.16) | 0.65 | 0.38 | <0.01 | 0.61 | 2.23 0.63; 3.81) | 0.46 | 0.17 | <0.01 | 0.20 |
| Lumbar mineral density L1–L4 | ||||||||||
| Simple model | 3.59 (1.54; 5.64) | 0.57 | 0.29 | <0.01 | 0.40 | 1.76 (0.74; 2.78) | 0.62 | 0.25 | <0.01 | 0.33 |
| Adjusted model | 3.38 (0.74; 6.02) | 0.53 | 0.22 | 0.01 | 0.28 | 1.71 (0.55; 2.86) | 0.48 | 0.19 | <0.01 | 0.23 |
| Lean soft tissue mass | ||||||||||
| Simple model | 0.05 (0.03; 0.07) | 0.71 | 0.49 | <0.01 | 0.96 | 0.01 (−0.01; 0.04) | 0.22 | 0.05 | 0.19 | 0.05 |
| Adjusted model | 0.05 (0.02; 0.84) | 0.76 | 0.46 | <0.01 | 0.85 | 0.01 (−0.01; 0.04) | −0.12 | 0.20 | 0.26 | 0.25 |
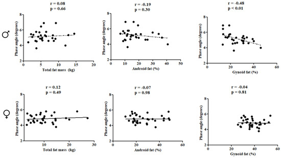
| Total fat mass | ||||||||||
| Simple model | 0.02 (−0.07; 0.11) | 0.08 | 0.01 | 0.67 | 0.01 | 0.01 (−0.02; 0.04) | 0.12 | 0.01 | 0.49 | 0.01 |
| Adjusted model | −0.02 (−0.10; 0.11) | 0.01 | 0.01 | 0.96 | 0.01 | 0.01 (−0.02; 0.01) | 0.09 | 0.01 | 0.61 | 0.01 |
| Android fat | ||||||||||
| Simple model | −0.01 (−0.04; 0.01) | −0.19 | 0.04 | 0.30 | 0.04 | −0.01 (−0.04; 0.02) | −0.01 | 0.01 | 0.96 | 0.01 |
| Adjusted model | −0.01 (−0.04; 0.02) | −0.26 | 0.01 | 0.51 | 0.01 | 0.01 (−0.01; 0.02) | −0.04 | 0.01 | 0.65 | 0.01 |
| Gynoid fat | ||||||||||
| Simple model | −0.04 (−0.06; −0.01) | −0.48 | 0.23 | <0.01 | 0.30 | −0.02 (−0.02; 0.02) | −0.04 | 0.01 | 0.81 | 0.01 |
| Adjusted model | −0.03 (−0.07; −0.01) | −0.47 | 0.21 | 0.01 | 0.26 | −0.01 (−0.02; 0.01) | −0.03 | 0.01 | 0.73 | 0.01 |
Disclaimer/Publisher’s Note: The statements, opinions and data contained in all publications are solely those of the individual author(s) and contributor(s) and not of MDPI and/or the editor(s). MDPI and/or the editor(s) disclaim responsibility for any injury to people or property resulting from any ideas, methods, instructions or products referred to in the content. |
© 2023 by the authors. Licensee MDPI, Basel, Switzerland. This article is an open access article distributed under the terms and conditions of the Creative Commons Attribution (CC BY) license (https://creativecommons.org/licenses/by/4.0/).
Share and Cite
Martins, P.C.; de Lima, L.R.A.; Silva, A.M.; Silva, D.A.S. Association between Phase Angle and Body Composition of Children and Adolescents Diagnosed with HIV Infection. Children 2023, 10, 1309. https://doi.org/10.3390/children10081309
Martins PC, de Lima LRA, Silva AM, Silva DAS. Association between Phase Angle and Body Composition of Children and Adolescents Diagnosed with HIV Infection. Children. 2023; 10(8):1309. https://doi.org/10.3390/children10081309
Chicago/Turabian StyleMartins, Priscila Custódio, Luiz Rodrigo Augustemak de Lima, Analiza Mónica Silva, and Diego Augusto Santos Silva. 2023. "Association between Phase Angle and Body Composition of Children and Adolescents Diagnosed with HIV Infection" Children 10, no. 8: 1309. https://doi.org/10.3390/children10081309
APA StyleMartins, P. C., de Lima, L. R. A., Silva, A. M., & Silva, D. A. S. (2023). Association between Phase Angle and Body Composition of Children and Adolescents Diagnosed with HIV Infection. Children, 10(8), 1309. https://doi.org/10.3390/children10081309

