Sign in to use this feature.

Years

Between: -

Subjects

remove_circle_outline
remove_circle_outline
remove_circle_outline
remove_circle_outline
remove_circle_outline
remove_circle_outline
remove_circle_outline
remove_circle_outline
remove_circle_outline

Journals

remove_circle_outline
remove_circle_outline
remove_circle_outline
remove_circle_outline
remove_circle_outline
remove_circle_outline
remove_circle_outline
remove_circle_outline
remove_circle_outline
remove_circle_outline
remove_circle_outline
remove_circle_outline

Article Types

Countries / Regions

remove_circle_outline
remove_circle_outline
remove_circle_outline
remove_circle_outline

Search Results (1,488)

Search Parameters:
Keywords = layered semiconductor

Order results
Result details
Results per page
Select all
Export citation of selected articles as:
16 pages, 3028 KB  
Article
Simulation of a Multiband Stacked Antiparallel Solar Cell with over 70% Efficiency
by Rehab Ramadan, Kin Man Yu and Nair López Martínez
Materials 2025, 18(24), 5625; https://doi.org/10.3390/ma18245625 - 15 Dec 2025
Abstract
Multiband solar cells offer a promising route to surpass the Shockley-Queisser limit by harnessing sub-bandgap photons through three active energy band transitions. However, realizing their full potential requires overcoming key challenges in material design and device architecture. Here, we propose a novel multiband [...] Read more.
Multiband solar cells offer a promising route to surpass the Shockley-Queisser limit by harnessing sub-bandgap photons through three active energy band transitions. However, realizing their full potential requires overcoming key challenges in material design and device architecture. Here, we propose a novel multiband stacked anti-parallel junction solar cell structure based on highly mismatched alloys (HMAs), in particular dilute GaAsN with ~1–4% N. An anti-parallel junction consists of two semiconductor junctions connected with opposite polarity, enabling bidirectional current control. The structures of the proposed devices are based on dilute GaAsN with anti-parallel junctions, which allow the elimination of tunneling junctions—a critical yet complex component in conventional multijunction solar cells. Semiconductors with three active energy bands have demonstrated the unique properties of carrier transport through the stacked anti-parallel junctions via tunnel currents. By leveraging highly mismatched alloys with tailored electronic properties, our design enables bidirectional carrier generation through forward- and reverse-biased diodes in series, significantly enhancing photocurrent extraction. Through detailed SCAPS-1D simulations, we demonstrate that strategically placed blocking layers prevent carrier recombination at contacts while preserving the three regions of photon absorption in a single multiband semiconductor p/n junction. Remarkably, our optimized five-stacked anti-parallel junctions structure achieves a maximum theoretical conversion efficiency of 70% under 100 suns illumination, rivaling the performance of state-of-the-art six-junctions III-V solar cells—but without the fabrication complexity of multijunction solar cells associated with tunnel junctions. This work establishes that highly mismatched alloys are a viable platform for high efficiency solar cells with simplified structures. Full article
Show Figures

Figure 1

42 pages, 9085 KB  
Review
In2O3: An Oxide Semiconductor for Thin-Film Transistors, a Short Review
by Christophe Avis and Jin Jang
Molecules 2025, 30(24), 4762; https://doi.org/10.3390/molecules30244762 - 12 Dec 2025
Viewed by 421
Abstract
With the discovery of amorphous oxide semiconductors, a new era of electronics opened. Indium gallium zinc oxide (IGZO) overcame the problems of amorphous and poly-silicon by reaching mobilities of ~10 cm2/Vs and demonstrating thin-film transistors (TFTs) are easy to manufacture on [...] Read more.
With the discovery of amorphous oxide semiconductors, a new era of electronics opened. Indium gallium zinc oxide (IGZO) overcame the problems of amorphous and poly-silicon by reaching mobilities of ~10 cm2/Vs and demonstrating thin-film transistors (TFTs) are easy to manufacture on transparent and flexible substrates. However, mobilities over 30 cm2/Vs have been difficult to reach and other materials have been introduced. Recently, polycrystalline In2O3 has demonstrated breakthroughs in the field. In2O3 TFTs have attracted attention because of their high mobility of over 100 cm2/Vs, which has been achieved multiple times, and because of their use in scaled devices with channel lengths down to 10 nm for high integration in back-end-of-the-line (BEOL) applications and others. The present review focuses first on the material properties with the understanding of the bandgap value, the importance of the position of the charge neutrality level (CNL), the doping effect of various atoms (Zr, Ge, Mo, Ti, Sn, or H) on the carrier concentration, the optical properties, the effective mass, and the mobility. We introduce the effects of the non-parabolicity of the conduction band and how to assess them. We also introduce ways to evaluate the CNL position (usually at ~EC + 0.4 eV). Then, we describe TFTs’ general properties and parameters, like the field effect mobility, the subthreshold swing, the measurements necessary to assess the TFT stability through positive and negative bias temperature stress, and the negative bias illumination stress (NBIS), to finally introduce In2O3 TFTs. Then, we will introduce vacuum and non-vacuum processes like spin-coating and liquid metal printing. We will introduce the various dopants and their applications, from mobility and crystal size improvements with H to NBIS improvements with lanthanides. We will also discuss the importance of device engineering, introducing how to choose the passivation layer, the source and drain, the gate insulator, the substrate, but also the possibility of advanced engineering by introducing the use of dual gate and 2 DEG devices on the mobility improvement. Finally, we will introduce the recent breakthroughs where In2O3 TFTs are integrated in neuromorphic applications and 3D integration. Full article
Show Figures

Figure 1

9 pages, 3632 KB  
Article
Low-Temperature Synthesis of Highly Preferentially Oriented ε-Ga2O3 Films for Solar-Blind Detector Application
by He Tian, Yijun Zhang, Hong Wang, Daogui Liao, Jiale Di, Chao Liu, Wei Ren and Zuo-Guang Ye
Nanomaterials 2025, 15(24), 1867; https://doi.org/10.3390/nano15241867 - 12 Dec 2025
Viewed by 150
Abstract
As one of the polymorphs of the gallium oxide family, ε gallium oxide (ε-Ga2O3) demonstrates promising potential in high-power electronic devices and solar-blind photodetection applications. However, the synthesis of pure-phase ε-Ga2O3 remains challenging through low-energy consumption [...] Read more.
As one of the polymorphs of the gallium oxide family, ε gallium oxide (ε-Ga2O3) demonstrates promising potential in high-power electronic devices and solar-blind photodetection applications. However, the synthesis of pure-phase ε-Ga2O3 remains challenging through low-energy consumption methods, due to its metastable phase of gallium oxide. In this study, we have fabricated pure-phase and highly oriented ε-Ga2O3 thin films on c-plane sapphire substrates via thermal atomic layer deposition (ALD) at a low temperature of 400 °C, utilizing low-reactive trimethylgallium (TMG) as the gallium precursor and ozone (O3) as the oxygen source. X-ray diffraction (XRD) results revealed that the in situ-grown ε-Ga2O3 films exhibit a preferred orientation parallel to the (002) crystallographic plane, and the pure ε phase remains stable following a post-annealing up to 800 °C, but it completely transforms into β-Ga2O3 once the thermal treatment temperature reaches 900 °C. Notably, post-annealing at 800 °C significantly enhanced the crystalline quality of ε-Ga2O3. To evaluate the optoelectronic characteristics, metal–semiconductor–metal (MSM)-structured solar-blind photodetectors were fabricated using the ε-Ga2O3 films. The devices have an extremely low dark current (<1 pA), a high photo-to-dark current ratio (>106), a maximum responsivity (>1 A/W), and the optoelectronic properties maintained stability under varying illumination intensities. This work provides valuable insights into the low-temperature synthesis of high-quality ε-Ga2O3 films and the development of ε-Ga2O3-based solar-blind photodetectors for practical applications. Full article
(This article belongs to the Special Issue Dielectric and Ferroelectric Properties of Ceramic Nanocomposites)
Show Figures

Graphical abstract

24 pages, 1956 KB  
Article
Mobility of Carriers in Strong Inversion Layers Associated with Threshold Voltage for Gated Transistors
by Hsin-Chia Yang, Sung-Ching Chi, Bo-Hao Huang, Tung-Cheng Lai and Han-Ya Yang
Micromachines 2025, 16(12), 1393; https://doi.org/10.3390/mi16121393 - 9 Dec 2025
Viewed by 196
Abstract
NMOSFET, whose gate is on the top of the n-p-n junction with gate oxide in between, is called the n-channel transistor. This bipolar junction underneath the gate oxide may provide an n-n-n-conductive channel as the gate is applied with a positive bias over [...] Read more.
NMOSFET, whose gate is on the top of the n-p-n junction with gate oxide in between, is called the n-channel transistor. This bipolar junction underneath the gate oxide may provide an n-n-n-conductive channel as the gate is applied with a positive bias over the threshold voltage (Vth). Conceptually, the definition of an n-type or p-type semiconductor depends on whether the corresponding Fermi energy is higher or lower than the intrinsic Fermi energy, respectively. The positive bias applied to the gate would bend down the intrinsic Fermi energy until it is lower than the original p-type Fermi energy, which means that the p-type becomes strongly inverted to become an n-type. First, the thickness of the inversion layer is derived and presented in a planar 40 nm MOSFET, a 3D 240 nm FinFET, and a power discrete IGBT, with the help of the p (1/m3) of the p-type semiconductor. Different ways of finding p (1/m3) are, thus, proposed to resolve the strong inversion layers. Secondly, the conventional formulas, including the triode region and saturation region, are already modified, especially in the triode region from a continuity point of view. The modified formulas then become necessary and available for fitting the measured characteristic curves at different applied gate voltages. Nevertheless, they work well but not well enough. Thirdly, the electromagnetic wave (EM wave) generated from accelerating carriers (radiation by accelerated charges, such as synchrotron radiation) is proposed to demonstrate phonon scattering, which is responsible for the Source–Drain current reduction at the adjoining of the triode region and saturation region. This consideration of reduction makes the fitting more perfect. Fourthly, the strongly inverted layer may be formed but not conductive. The existing trapping would stop carriers from moving (nearly no mobility, μ) unless the applied gate bias is over the threshold voltage. The quantum confinement addressing the quantum well, which traps the carriers, is to be estimated. Full article
(This article belongs to the Section D1: Semiconductor Devices)
Show Figures

Figure 1

28 pages, 4051 KB  
Review
Application of Terahertz Detection Technology in Non-Destructive Thickness Measurement
by Hongkai Li, Zichen Zhang, Hongkai Nian, Zhixuan Chen, Shichuang Jiang, Fan Ding, Dong Sun and Hongyi Lin
Photonics 2025, 12(12), 1191; https://doi.org/10.3390/photonics12121191 - 3 Dec 2025
Viewed by 483
Abstract
Terahertz (THz) waves, situated between the infrared and microwave regions, possess distinctive properties such as non-contact, high penetration, and high resolution. These properties render them highly advantageous for non-destructive thickness measurement of multilayer structural materials. In comparison with conventional ultrasound or X-ray techniques, [...] Read more.
Terahertz (THz) waves, situated between the infrared and microwave regions, possess distinctive properties such as non-contact, high penetration, and high resolution. These properties render them highly advantageous for non-destructive thickness measurement of multilayer structural materials. In comparison with conventional ultrasound or X-ray techniques, THz thickness measurement has the capacity to acquire thickness data for multilayer structures without compromising the integrity of the specimen and is characterized by its environmental sustainability. The extant THz thickness measurement techniques principally encompass time-domain spectroscopy, frequency-domain spectroscopy, and model-based inversion and deep learning methods. A variety of methodologies have been demonstrated to possess complementary advantages in addressing subwavelength-scale thin layers, overlapping multilayer interfaces, and complex environmental interferences. These methodologies render them suitable for a range of measurement scenarios and precision requirements. A wide range of technologies related to this field have been applied in various disciplines, including aerospace thermal barrier coating inspection, semiconductor process monitoring, automotive coating quality assessment, and oil film thickness monitoring. The ongoing enhancement in system integration and continuous algorithm optimization has led to significant advancements in THz thickness measurement, propelling it towards high resolution, real-time performance, and intelligence. This development offers a wide range of engineering applications with considerable potential for future growth and innovation. Full article
(This article belongs to the Special Issue Terahertz (THz) Science in Photonics)
Show Figures

Figure 1

17 pages, 3142 KB  
Article
Novel Organosilicon Tetramers with Dialkyl-Substituted [1]Benzothieno[3,2-b]benzothiophene Moieties for Solution-Processible Organic Electronics
by Irina O. Gudkova, Evgeniy A. Zaborin, Alexander I. Buzin, Artem V. Bakirov, Yaroslava O. Titova, Oleg V. Borshchev, Sergey N. Chvalun and Sergey A. Ponomarenko
Molecules 2025, 30(23), 4639; https://doi.org/10.3390/molecules30234639 - 3 Dec 2025
Viewed by 283
Abstract
The synthesis, phase behavior and semiconductor properties of two novel organosilicon tetramers with dialkyl-substituted [1]benzothieno[3,2-b]benzothiophene (BTBT) moieties, D4-Und-BTBT-Hex and D4-Hex-BTBT-Oct, are described. The synthesis of these molecules was carried out by sequential modification of the BTBT core by carbonyl-containing functional alkyl substituents [...] Read more.
The synthesis, phase behavior and semiconductor properties of two novel organosilicon tetramers with dialkyl-substituted [1]benzothieno[3,2-b]benzothiophene (BTBT) moieties, D4-Und-BTBT-Hex and D4-Hex-BTBT-Oct, are described. The synthesis of these molecules was carried out by sequential modification of the BTBT core by carbonyl-containing functional alkyl substituents using the Friedel–Crafts reaction, followed by the reduction in the keto group. The target tetramers, D4-Und-BTBT-Hex and D4-Hex-BTBT-Oct, were obtained by the hydrosilylation reaction between tetraallylsilane and corresponding 1,1,3,3-tetramethyl-1-(ω-(7-alkyl[1]benzothieno[3,2-b]benzothiophen-2-yl)alkyl)disiloxanes. The chemical structure of the compounds obtained was confirmed by NMR 1H-, 13C- and 29Si-spectroscopy, gel permeation chromatography and elemental analysis. Their phase behavior was investigated by differential scanning calorimetry, polarization optical microscopy and X-ray diffraction analysis. It was found that D4-Und-BTBT-Hex shows higher crystallinity at room temperature as compared to D4-Hex-BTBT-Oct, while both molecules possess smectic ordering favorable for active layer formation in organic field-effect transistors (OFETs). The active layers were applied by spin-coating under conditions of a homogeneous thin layer formation with a low content of defects. The devices obtained from D4-Und-BTBT-Hex have demonstrated good semiconductor characteristics in OFETs with a hole mobility up to 3.5 × 10−2 cm2 V−1 s−1, a low threshold voltage and an on/off ratio up to 107. Full article
(This article belongs to the Section Cross-Field Chemistry)
Show Figures

Figure 1

10 pages, 1467 KB  
Article
High-Efficiency Polariton Organic Photodetectors via Trap-Assisted Photomultiplication
by Jui-Fen Chang, Sung-Jung Lin, Yang-Ching Huang and Sheng-Ping Lin
Micromachines 2025, 16(12), 1372; https://doi.org/10.3390/mi16121372 - 1 Dec 2025
Viewed by 306
Abstract
We report a high-performance photomultiplication-type organic photodetector (OPD) based on a poly[2-methoxy-5-(3,7-dimethyloctyloxy)-1,4-phenylenevinylene]:[6,6]-phenyl-C61-butyric acid methyl ester (MDMO-PPV:PC61BM) active layer operating in the ultrastrong coupling regime. Systematic optimization of the PC61BM ratio in reference non-cavity devices confirms that trap-assisted [...] Read more.
We report a high-performance photomultiplication-type organic photodetector (OPD) based on a poly[2-methoxy-5-(3,7-dimethyloctyloxy)-1,4-phenylenevinylene]:[6,6]-phenyl-C61-butyric acid methyl ester (MDMO-PPV:PC61BM) active layer operating in the ultrastrong coupling regime. Systematic optimization of the PC61BM ratio in reference non-cavity devices confirms that trap-assisted hole injection from the Ag contact enables external quantum efficiencies (EQEs) exceeding 2000% and fast transient responses under 521 nm illumination, close to the absorption peak of MDMO-PPV. Incorporation of the optimized PC61BM ratio into a λ/2 microcavity produces well-resolved lower (LP) and upper (UP) polariton branches with a pronounced Rabi splitting of approximately 0.9 eV, confirming the establishment of ultrastrong light–matter coupling. The resulting cavity OPD exhibits a distinct wavelength-dependent response compared with its non-cavity counterpart, achieving maximum EQEs of 838% at 450 nm (near the UP mode) and 445% at 628 nm (corresponding to the LP mode). These spectral responses are attributed to cavity-induced field modulation, which enhances exciton generation beyond the primary absorption band of MDMO-PPV. Overall, this work demonstrates that combining photomultiplication mechanisms with cavity-field engineering provides an effective strategy for realizing narrowband, high-gain polaritonic photodetectors that surpass the spectral response limitations of conventional organic semiconductors. Full article
(This article belongs to the Special Issue Nanostructured Optoelectronic and Nanophotonic Devices)
Show Figures

Figure 1

21 pages, 19150 KB  
Article
Preparation and Properties of Plasma Etching-Resistant Y2O3 Films
by Rui Zhang, Jiaxing Peng, Xiaobo Zhang, Kesheng Guo, Zecui Gao, Wei Dai, Zhengtao Wu, Yuxiang Xu and Qimin Wang
Coatings 2025, 15(12), 1397; https://doi.org/10.3390/coatings15121397 - 29 Nov 2025
Viewed by 453
Abstract
Yttrium oxide (Y2O3) films have been widely used as protective layers in plasma etching equipment, but achieving stoichiometric films with high deposition rates remains a challenge. In this study, Y2O3 films were fabricated by a medium-frequency [...] Read more.
Yttrium oxide (Y2O3) films have been widely used as protective layers in plasma etching equipment, but achieving stoichiometric films with high deposition rates remains a challenge. In this study, Y2O3 films were fabricated by a medium-frequency reactive magnetron sputtering (MF-RMS) technique. The oxygen flow and target control voltage were regulated through a closed-loop feedback control system, which effectively solved the problem. The microstructure, mechanical, optical, and plasma etching properties were systematically investigated. The results showed that near-stoichiometric films can achieve a relatively high deposition rate. Increasing the deposition temperature induced a structural transition in the Y2O3 film from a predominantly cubic phase to a mixture of cubic and monoclinic phases. For Y2O3 films deposited at room temperature, increasing the bias voltage increased the deposition rate but reduced hardness and elastic modulus. The Y2O3 film deposited at 300 °C in the near-metallic mode exhibited the highest hardness and elastic modulus, reaching 13.3 GPa and 222.0 GPa, respectively. All Y2O3 films exhibited excellent transmittance and resistance to plasma etching. This study provides an effective protective strategy for semiconductor etching chambers. Full article
Show Figures

Figure 1

36 pages, 2307 KB  
Article
From Energy Efficiency to Energy Intelligence: Power Electronics as the Cognitive Layer of the Energy Transition
by Nikolay Hinov
Electronics 2025, 14(23), 4673; https://doi.org/10.3390/electronics14234673 - 27 Nov 2025
Viewed by 253
Abstract
The exponential growth of artificial intelligence (AI), electrified transport, and renewable generation is accelerating a structural shift in how societies produce, deliver, and consume electricity. We argue that the next frontier is not incremental efficiency but Energy Intelligence (EI): the embedding of predictive [...] Read more.
The exponential growth of artificial intelligence (AI), electrified transport, and renewable generation is accelerating a structural shift in how societies produce, deliver, and consume electricity. We argue that the next frontier is not incremental efficiency but Energy Intelligence (EI): the embedding of predictive analytics, adaptive control, and material-aware design directly into power-conversion hardware. In this view, power electronics functions as the cognitive layer that links digital intelligence to the physical flow of energy. Wide-bandgap (WBG) semiconductors—gallium nitride (GaN) and silicon carbide (SiC)—provide the material foundation for higher switching frequencies, superior power density, and real-time controllability, enabling compact and efficient converters for data-centers, EV charging, and grid-interactive resources. We formalize an EI reference architecture (predictive, adaptive, material-efficient, data-driven), review the convergence of AI methods with converter design and operation, and outline a GaN/SiC-enabled data-center power path as an illustrative case. Finally, we examine sustainability and sovereignty, highlighting exposure to critical materials (Ga, Si, In, rare earths) and proposing a roadmap that integrates technology, policy, and education. By reframing power electronics as an intelligent, learning infrastructure, this work sets an agenda for systems that are not only efficient but also self-optimizing, explainable, and resilient. Full article
Show Figures

Figure 1

12 pages, 2917 KB  
Article
Eco-Friendly Fabrication of 2D a-SnOx Thin-Film Transistors Derived from Deep Eutectic Solvents
by Christophe Avis and Jin Jang
Materials 2025, 18(23), 5349; https://doi.org/10.3390/ma18235349 - 27 Nov 2025
Viewed by 405
Abstract
We have fabricated amorphous tin oxide (a-SnOx) thin-film transistors (TFTs) with Al2O3 gate insulator from deep eutectic solvents (DESs). DESs were formed using the chloride derivates of each precursor (SnCl2, or AlCl3) mixed with [...] Read more.
We have fabricated amorphous tin oxide (a-SnOx) thin-film transistors (TFTs) with Al2O3 gate insulator from deep eutectic solvents (DESs). DESs were formed using the chloride derivates of each precursor (SnCl2, or AlCl3) mixed with urea. The DESs were then used as precursors for the semiconductor and dielectric. Our target was to form extremely thin semiconductor film, and a sufficient high capacitance insulator. We characterized the physical and chemical properties of the DES-derived thin films by X-ray diffraction (XRD), atomic force microscopy (AFM), and X-ray photoelectron spectroscopy (XPS). We could evaluate that the highest content of metal–oxygen bonds was from the DES condition SnCl2–urea = 1:3. At a low 300 °C budget temperature, we could fabricate a 3.2 nm thick a-SnOx layer and 30 nm thick Al2O3, from which the TFT demonstrated a mobility of 80 ± 17 cm2/Vs, threshold voltage of −0.29 ± 0.06 V, and subthreshold swing of 88 ± 11 mV/dec. The proposed process is adequate with the back-end of the line (BEOL) process, but it is also eco-friendly because of the use of DESs. Full article
Show Figures

Figure 1

21 pages, 54365 KB  
Article
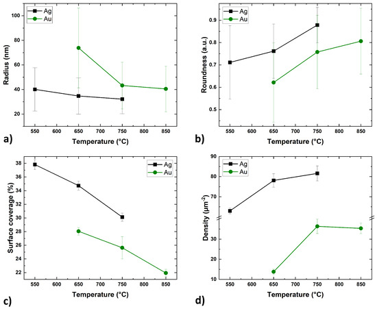
Thermal Stability of Thin Metal Films on GaN Surfaces: Morphology and Nanostructuring
by Andrzej Stafiniak, Wojciech Macherzyński, Adam Szyszka, Radosław Szymon, Mateusz Wośko and Regina Paszkiewicz
Nanomaterials 2025, 15(23), 1789; https://doi.org/10.3390/nano15231789 - 27 Nov 2025
Viewed by 377
Abstract
The development of metal nanostructures on large-area Gallium Nitride (GaN) surfaces has the potential to enable new, low-cost technologies for III-N semiconductor layer nanostructuring. Self-assembled nanostructures are typically formed through the thermal activation of solid-state dewetting (SSD) in thin metal layers. However, such [...] Read more.
The development of metal nanostructures on large-area Gallium Nitride (GaN) surfaces has the potential to enable new, low-cost technologies for III-N semiconductor layer nanostructuring. Self-assembled nanostructures are typically formed through the thermal activation of solid-state dewetting (SSD) in thin metal layers. However, such thermal processing can induce degradation of the metal-GaN material system. This comprehensive study investigated the thermal stability of thin metal films on GaN surfaces, focusing on their morphology and nanostructuring for high-temperature processing. The research expands and systematizes the understanding of the thin metal layers on GaN surface interactions at high temperatures by categorizing metals based on their behaviour: those that exhibit self-assembly, those that catalyze GaN decomposition, and those that remain thermally stable. Depending on the annealing temperature and metal type, varying degrees of GaN layer decomposition were observed, ranging from partial surface modification to significant volumetric degradation of the material. A wide range of metals was investigated: Au, Ag, Pt, Ni, Ru, Mo, Ti, Cr, V, Nb. These materials were selected based on criteria such as high work function and chemical resistance. In this studies metal layers with a target thickness of 10 nm deposited by vacuum evaporation on 2.2 μm thick GaN layers grown by metal organic vapor phase epitaxy were applied. The surface morphology and composition were analyzed using AFM, SEM, EDS, and Raman spectroscopy measurement techniques. Full article
(This article belongs to the Section Nanofabrication and Nanomanufacturing)
Show Figures

Graphical abstract

28 pages, 2358 KB  
Review
A Review of All-Optical Pattern Matching Systems
by Mingming Sun, Xin Li, Lin Bao, Wensheng Zhai, Ying Tang and Shanguo Huang
Photonics 2025, 12(12), 1166; https://doi.org/10.3390/photonics12121166 - 27 Nov 2025
Viewed by 382
Abstract
As optical networks continue to evolve toward higher speed and larger capacity, conventional security mechanisms relying on optoelectronic conversion are facing increasing limitations. The optical photonic firewall, as an emerging optical-layer security device, enables direct inspection in the optical domain, making its core [...] Read more.
As optical networks continue to evolve toward higher speed and larger capacity, conventional security mechanisms relying on optoelectronic conversion are facing increasing limitations. The optical photonic firewall, as an emerging optical-layer security device, enables direct inspection in the optical domain, making its core technology—All-Optical Pattern Matching (AOPM)—a focal point of current research. This review provides a comprehensive survey of AOPM systems. It first introduces the main components of AOPM, namely symbol matching and system architectures, and analyzes their representative implementations. For low-order modulation formats such as OOK and BPSK, the review highlights matching schemes enabled by semiconductor optical amplifier (SOA) and highly nonlinear fiber (HNLF) logic gates, as well as their potential for reconfigurable extension. Building upon this foundation, the paper focuses on systems for high-order modulation formats including QPSK, 8PSK, and 16QAM, covering dimensionality-reduction-based approaches (e.g., PSA-based phase compression, squarer-based phase multiplication, constellation-mapping-based format conversion), direct symbol matching methods (e.g., phase interference, generalized XNOR, real-time Fourier transform correlation), and reconfigurable designs for multi-format adaptability. Furthermore, the review discusses optimization challenges under non-ideal conditions, such as noise accumulation, phase misalignment, and phase-locking-free operation. Finally, it outlines future directions in robust high-order modulation handling, photonic integration, and AI-driven intelligent matching, offering guidance for the development of optical-layer security technologies. Full article
Show Figures

Figure 1

13 pages, 1451 KB  
Article
A Theoretical Solution for Analyzing Bi-Layer Structures with Differing Thermal Properties
by Qianhua Peng, Siyuan Zhou, Yan Shi and Xiaohui Qian
Micromachines 2025, 16(12), 1320; https://doi.org/10.3390/mi16121320 - 25 Nov 2025
Viewed by 224
Abstract
Based on the Hilbert–Riemann theory, this paper develops a simplified model to address interfacial fracture in bi-layer laminated solar cells with significantly dissimilar thermal properties. The model is used to analyze interfacial normal stress distributions and identify critical stress points, taking into account [...] Read more.
Based on the Hilbert–Riemann theory, this paper develops a simplified model to address interfacial fracture in bi-layer laminated solar cells with significantly dissimilar thermal properties. The model is used to analyze interfacial normal stress distributions and identify critical stress points, taking into account the substantial mismatch in the coefficients of thermal expansion between the semiconductor and encapsulation layers. The predicted temperature and stress fields are validated through finite element simulations. Furthermore, by investigating commonly used encapsulation films and solar cell modules, the coupled effects of the thermal expansion coefficient and elastic modulus are elucidated. The results demonstrate that, under a constant layer thickness, the position of the stress critical point is governed by two dimensionless parameters: the ratio of thermal expansion coefficients and the ratio of elastic moduli. This work offers an efficient and practical approach for predicting thermal stress concentration trends in laminated solar cell structures, thereby providing useful insights for the design and fabrication of solar modules. Full article
(This article belongs to the Section D:Materials and Processing)
Show Figures

Figure 1

19 pages, 8013 KB  
Article
XPS Study of Nanostructured Pt Catalytic Layer Surface of Gas Sensor Dubbed GMOS
by Hanin Ashkar, Sara Stolyarova, Tanya Blank and Yael Nemirovsky
Chemosensors 2025, 13(12), 407; https://doi.org/10.3390/chemosensors13120407 - 24 Nov 2025
Viewed by 368
Abstract
The long-term reliability of catalytic gas sensors is strongly influenced by changes in the chemical state and cleanliness of the catalyst surface. In this work, we investigate the surface composition and stability of the platinum (Pt) nanoparticle catalytic layer in Gas Metal-Oxide-Semiconductor (GMOS) [...] Read more.
The long-term reliability of catalytic gas sensors is strongly influenced by changes in the chemical state and cleanliness of the catalyst surface. In this work, we investigate the surface composition and stability of the platinum (Pt) nanoparticle catalytic layer in Gas Metal-Oxide-Semiconductor (GMOS) sensors under varying environmental conditions. Using X-ray Photoelectron Spectroscopy (XPS) and High-Resolution (HR) XPS, we compared fresh, aged samples, thermally treated samples, and samples stored with or without a mechanical filter. The results show that prolonged ambient storage leads to the accumulation of adventitious carbon and nitrogen-containing species, as well as partial oxidation of platinum, which reduces the number of active metallic Pt sites. Thermal treatment at 300 °C for 30 min restores metallic Pt exposure by removing surface contaminants and narrowing the Pt 4f peaks. However, recontamination occurs during subsequent storage, with significant differences depending on surface protection. Sensors equipped with a mechanical filter exhibited obvious Pt metallic peaks in HR-XPS analysis, with lower carbon and nitrogen levels, compared to unprotected samples. These findings demonstrate that while heating refreshes catalytic activity, long-term stability requires complementary filtration to prevent re-adsorption of airborne species. The combined approach of heating and filtration is thus essential to ensure reliable performance of GMOS sensors for indoor and outdoor air quality monitoring. Full article
Show Figures

Figure 1

15 pages, 1536 KB  
Article
Role of CF4 Addition in Gas-Phase Variations in HF Plasma for Cryogenic Etching: Insights from Plasma Simulation and Experimental Correlation
by Shigeyuki Takagi, Shih-Nan Hsiao, Yusuke Imai, Makoto Sekine and Fumihiko Matsunaga
Plasma 2025, 8(4), 48; https://doi.org/10.3390/plasma8040048 - 24 Nov 2025
Viewed by 422
Abstract
The fabrication of semiconductor devices with three-dimensional architectures imposes unprecedented demands on advanced plasma dry etching processes. These include the simultaneous requirements of high throughput, high material selectivity, and precise profile control. In conventional reactive ion etching (RIE), fluorocarbon plasma provides both accelerated [...] Read more.
The fabrication of semiconductor devices with three-dimensional architectures imposes unprecedented demands on advanced plasma dry etching processes. These include the simultaneous requirements of high throughput, high material selectivity, and precise profile control. In conventional reactive ion etching (RIE), fluorocarbon plasma provides both accelerated ion species and reactive neutrals that etch the feature front, while the CFx radicals promote polymerization that protects sidewalls and enhance selectivity to the amorphous carbon layer (ACL) mask. In this work, we present computational results on the role of CF4 addition to hydrogen fluoride (HF) plasma for next-generation RIE, specifically cryogenic etching. Simulations were performed by varying the CF4 concentration in the HF plasma to evaluate its influence on ion densities, neutral species concentration, and electron density. The results show that the densities of CFx (x = 1–3) ions and radicals increase significantly with CF4 addition (up to 20%), while the overall plasma density and the excited HF species remain nearly unchanged. The results of plasma density and atomic fluorine density are consistent with the experimental observations of the HF/CF4 plasma using an absorption probe and the actimetry method. It was verified that the gas-phase reaction model proposed in this study can accurately reproduce the plasma characteristics of the HF/CF4 system. The coupling of HF-based etchants with CFx radicals enables polymerization that preserves SiO2 etching throughput while significantly enhancing etch selectivity against the ACL mask from 1.86 to 5.07, with only a small fraction (~10%) of fluorocarbon gas added. The plasma simulation provides new insights into enhancing the etching performance of HF-based cryogenic plasma etching by controlling the CF2 radicals and HF reactants through the addition of fluorocarbon gases. Full article
(This article belongs to the Special Issue Feature Papers in Plasma Sciences 2025)
Show Figures

Figure 1

Back to TopTop