Eco-Friendly Fabrication of 2D a-SnOx Thin-Film Transistors Derived from Deep Eutectic Solvents
Abstract
1. Introduction
2. Materials and Methods
2.1. DES and Solution Fabrications
2.2. Thin-Film Transistor Fabrication and Evaluation
2.3. DES and Thin-Film Analysis
3. Results and Discussions
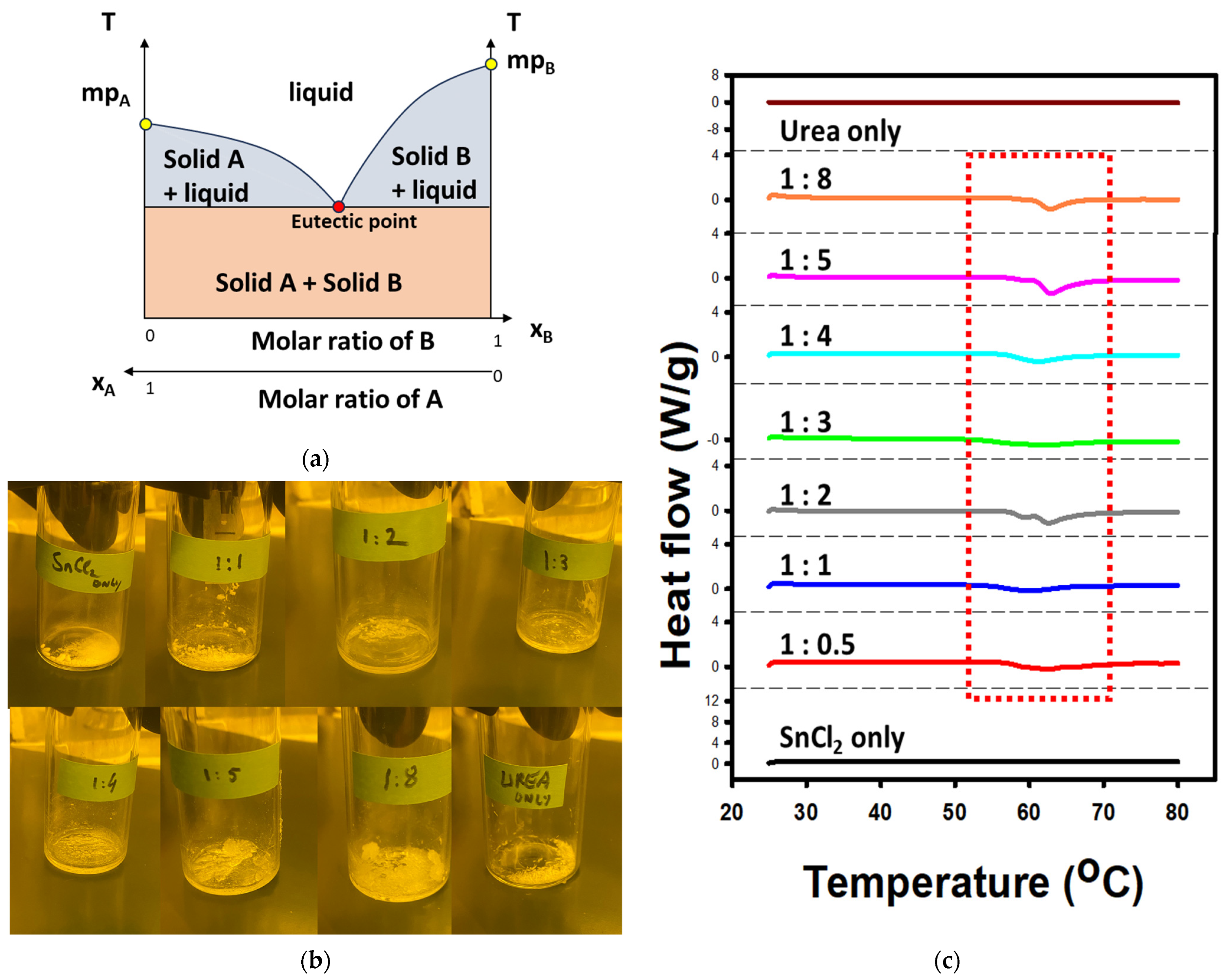
3.1. DES Analysis

3.2. Thin-Film Analysis Results and Discussions
3.3. TFTs Results
4. Conclusions
Supplementary Materials
Author Contributions
Funding
Data Availability Statement
Conflicts of Interest
References
- Abbott, A.; Capper, G.; Davies, D.; Rasheed, R.; Tambyrajah, V. Novel solvent properties of choline chloride/urea mixtures. Chem. Commun. 2003, 39, 70–71. [Google Scholar] [CrossRef]
- Achkar, T.; Greige-Gerges, H.; Fourmentin, S. Basics and properties of deep eutectic solvents: A review. Environ. Chem. Lett. 2021, 19, 3397–3408. [Google Scholar] [CrossRef]
- Hansen, B.; Spittle, S.; Chen, B.; Poe, D.; Zhang, Y.; Klein, J.; Horton, A.; Adhikari, L.; Zelovich, T.; Doherty, B.; et al. Deep Eutectic Solvents: A Review of Fundamentals and Applications. Chem. Rev. 2021, 121, 1232–1285. [Google Scholar] [CrossRef] [PubMed]
- Smith, E.; Abbott, A.; Ryder, K. Deep Eutectic Solvents (DESs) and Their Applications. Chem Rev. 2014, 114, 11060–11082. [Google Scholar] [CrossRef] [PubMed]
- Ferreira, C.; Sarraguca, M. A Comprehensive Review on Deep Eutectic Solvents and Its Use to Extract Bioactive Compounds of Pharmaceutical Interest. Pharmaceuticals 2024, 17, 124. [Google Scholar] [CrossRef] [PubMed]
- Stanisz, M.; Stanisz, B.; Piontek, J. A Comprehensive Review on Deep Eutectic Solvents: Their Current Status and Potential for Extracting Active Compounds from Adaptogenic Plants. Molecules 2024, 29, 4767. [Google Scholar] [CrossRef]
- Hadinoto, K.; Ling, J. Deep Eutectic Solvent as Green Solvent in Extraction of Biological Macromolecules: A Review. Int. J. Mol. Sci. 2022, 23, 3381. [Google Scholar] [CrossRef]
- Rabiei, M.; Hosseini, M.; Xu, G. Deep eutectic solvents: A review on their sensing applications. Microchem. J. 2024, 203, 110909. [Google Scholar] [CrossRef]
- Nomura, K.; Ohta, H.; Takagi, A.; Kamiya, T.; Hirano, M.; Hosono, H. Room-temperature fabrication of transparent flexible thin-film transistors using amorphous oxide semiconductors. Nature 2004, 432, 488–492. [Google Scholar] [CrossRef]
- Fortunato, E.; Barquinha, P.; Martins, R. Oxide Semiconductor Thin-Film Transistors: A Review of Recent advances. Adv. Mater. 2012, 24, 2945–2986. [Google Scholar] [CrossRef]
- Charnas, A.; Zhang, Z.; Lin, Z.; Zheng, D.; Zhang, J.; Si, M.; Ye, P. Review—Extremely Thin Amorphous Indium Oxide Transistors. Adv. Mater. 2024, 36, 2304044. [Google Scholar] [CrossRef]
- Kim, T.; Ryu, S.; Jeon, J.; Kim, T.; Baek, I.; Kim, S. Ultrahigh field-effect mobility of 147.5cm2/Vs in ultrathin In2O3 transistors via passivating the surface of polycrystalline HfO2 gate dielectrics. Appl. Phys. Lett. 2025, 126, 033501. [Google Scholar] [CrossRef]
- Si, M.; Hu, Y.; Lin, Z.; Sun, X.; Charnas, A.; Zheng, D.; Lyu, X.; Wang, H.; Cho, K.; Ye, P. Why In2O3 Can Make 0.7 nm Atomic Layer Thin Transistors. Nano Lett. 2021, 21, 500–506. [Google Scholar] [CrossRef]
- Rabbi, H.; Ali, A.; Park, C.; Jang, J. High performance amorphous In0.5Ga0.5O Thin-film transistor embedded with nanocrystalline In2O3 Dots for flexible display application. Adv. Electron. Mater. 2023, 9, 2300169. [Google Scholar] [CrossRef]
- Li, S.; Tian, M.; Gao, Q.; Wang, M.; Li, T.; Hu, Q.; Li, X.; Wu, Y. Nanometre-thin indium tin oxide for advanced high-performance electronics. Nat. Mat. 2019, 18, 1091–1097. [Google Scholar] [CrossRef] [PubMed]
- Magari, Y.; Kataoka, T.; Yeh, W.; Furuta, M. High-mobility hydrogenated polycrystalline In2O3 (In2O3:H) thin-film transistors. Nat. Commun. 2022, 13, 1078. [Google Scholar] [CrossRef] [PubMed]
- Chang, Y.; Wang, S.; Lee, Y.; Huang, C.; Hsu, C.; Weng, T.; Huang, C.; Chen, C.; Chou, T.; Chang, C.; et al. Breaking the Trade-Off Between Mobility and On–Off Ratio in Oxide Transistors. Adv. Mater. 2025, 37, 2413212. [Google Scholar] [CrossRef]
- Li, J.; Ju, S.; Tang, Y.; Li, J.; Li, X.; Tian, X.; Zhu, J.; Ge, Q.; Lu, L.; Zhang, S.; et al. Remarkable Bias-Stress Stability of Ultrathin Atomic-Layer- Deposited Indium Oxide Thin- Film Transistors Enabled by Plasma Fluorination. Adv. Funct. Mater. 2024, 34, 2401170. [Google Scholar] [CrossRef]
- Faber, H.; Das, S.; Lin, Y.; Pliatsikas, N.; Zhao, K.; Kehagias, T.; Dimitrakopulos, G.; Amassian, A.; Patsalas, P.; Anthopoulos, T. Heterojunction oxide thin-film transistors with unprecedented electron mobility grown from solution. Sci. Adv. 2017, 3, e1602640. [Google Scholar] [CrossRef]
- Saha, J.; Jang, J. Saturation Mobility of 100 cm2V−1s−1 in ZnO Thin-Film Transistors through Quantum Confinement by a Nanoscale In2O3 Interlayer Using Spray Pyrolysis. ACS Nano 2024, 18, 30484–30496. [Google Scholar] [CrossRef] [PubMed]
- Rao, M.; Meza-Arroyoa, J.; Reddy, K.; Murthy, L.; de Urquijo-Venturaa, M.; Garibay-Martínez, F.; Hsu, J.; Bon, R. Tuning the electrical performance of solution-processed In2O3TFTs by low-temperature with HfO2-PVP hybrid dielectric. Mater. Today Commun. 2021, 26, 102120. [Google Scholar] [CrossRef]
- Kirmani, A.; Roe, E.; Stafford, C.; Richter, L. Role of the electronically-active amorphous state in low-temperature processed In2O3 thin-film transistors. Mater. Adv. 2020, 1, 167. [Google Scholar] [CrossRef]
- Tewari, A.; Tukiainen, A.; Mäntysalo, M.; Berger, P. Direct PEALD Deposition of a HfO2 Gate Dielectric without the Passivation for TFTs on Rigid and Flexible Substrates. ACS Appl. Electron. Mater. 2025, 7, 7120–7130. [Google Scholar] [CrossRef]
- Park, J.; Park, W.; Na, J.; Lee, J.; Eun, J.; Feng, J.; Kim, D.; Bae, J. Atomically Thin Amorphous Indium–Oxide Semiconductor Film Developed Using a Solution Process for High-Performance Oxide Transistor. Nanomaterials 2023, 13, 2568. [Google Scholar] [CrossRef] [PubMed]
- Bhalerao, S.; Lupo, D.; Berger, P. Flexible, solution-processed, indium oxide (In2O3) thin film transistors (TFT) and circuits for internet-of-things (IoT). Mater. Sci. Semicon. Proc. 2022, 139, 106354. [Google Scholar] [CrossRef]
- Lee, H.; Hur, J.; Cho, I.; Choi, C.; Yoon, S.; Kwon, Y.; Shong, B.; Jeong, J. Comparative Study on Indium Precursors for Plasma-Enhanced Atomic Layer Deposition of In2O3 and Application to High Performance Field-Effect Transistors. ACS Appl. Mater. Interfaces 2023, 15, 51399–51410. [Google Scholar] [CrossRef] [PubMed]
- Kim, M.; Kanatzidis, M.; Facchetti, A.; Marks, T. Low-temperature fabrication of high-performance metal oxide thin-film electronics via combustion processing. Nat. Mat. 2011, 10, 382–388. [Google Scholar] [CrossRef]
- Kim, Y.; Heo, J.; Kim, T.; Park, S.; Yoon, M.; Kim, J.; Oh, M.; Yi, G.; Noh, Y.; Park, S. Flexible metal-oxide devices made by room temperature photo chemical activation of sol–gel films. Nature 2012, 489, 128–133. [Google Scholar] [CrossRef]
- Carlos, E.; Leppäniemi, J.; Sneck, A.; Alastalo, A.; Deuermeier, J.; Branquinho, R.; Martins, R.; Fortunato, E. Printed, Highly Stable Metal Oxide Thin-Film Transistors with Ultra-Thin High-κ Oxide Dielectric. Adv. Electron. Mater. 2020, 6, 1901071. [Google Scholar] [CrossRef]
- Quino, C.; Bermundo, J.; Kawanishi, H.; Uraoka, Y. Dual Role of AgNO3 as an Oxidizer and Chloride Remover toward Enhanced Combustion Synthesis of Low-Voltage and Low Temperature Amorphous Rare Metal-Free Oxide Thin-Film Transistors. ACS Appl. Electron. Mater. 2024, 6, 505–513. [Google Scholar] [CrossRef]
- Chakraborty, W.; Ye, H.; Grisafe, B.; Lightcap, I.; Datta, S. Low Thermal Budget (<250 °C) Dual-Gate Amorphous Indium Tungsten Oxide (IWO) Thin-Film Transistor for Monolithic 3-D Integration. IEEE Trans. Elec. Dev. 2020, 67, 5336–5342. [Google Scholar]
- Yang, J.; Lin, D.; Chen, Y.; Li, T.; Liu, J. Solution-Processed Metal Oxide Thin-Film Transistor at Low Temperature via A Combination Strategy of H2O2-Inducement Technique and Infrared Irradiation Annealing. Small Methods 2024, 8, 2301739. [Google Scholar] [CrossRef]
- Gupta, P.; Sharma, S. Facile DUV Irradiated Solution-Processed ZrO2/In2O3 for Low Voltages FET Applications. IEEE Trans. Elec. Dev. 2024, 71, 3705–3713. [Google Scholar] [CrossRef]
- Avis, C.; Jang, J. High-performance solution processed oxide TFT with aluminum oxide gate dielectric fabricated by a sol–gel method. J. Mater Chem. 2011, 21, 10649–10652. [Google Scholar] [CrossRef]
- Khim, D.; Lin, Y.; Nam, S.; Faber, H.; Tetzner, K.; Li, R.; Zhang, Q.; Li, J.; Zhang, X.; Anthopoulos, T. Modulation-Doped In2O3/ZnO Heterojunction Transistors Processed from Solution. Adv. Mater. 2017, 29, 1605837. [Google Scholar] [CrossRef]
- Huang, G.; Duan, L.; Dong, G.; Zhang, D.; Qiu, Y. High-Mobility Solution-Processed Tin Oxide Thin-Film Transistors with High κ Alumina Dielectric Working in Enhancement Mode. ACS Appl. Mater. Interfaces 2014, 6, 20786–20794. [Google Scholar] [CrossRef] [PubMed]
- Shih, C.; Chin, A.; Lu, C.F.; Su, W.F. Remarkably high mobility ultrathin-film metal-oxide transistor with strongly overlapped orbitals. Sci. Rep. 2016, 6, 19023. [Google Scholar]
- Avis, C.; Jang, J. Amorphous Tin Oxide Applied to Solution Processed Thin-Film Transistors. Materials 2019, 12, 3341. [Google Scholar] [CrossRef]
- Lee, S.; Chang, S.; Lee, J. Role of high-k gate insulators for oxide thin film transistors. Thin Solid Film. 2010, 518, 3030–3032. [Google Scholar] [CrossRef]
- Xu, W.; Wang, H.; Ye, Y.; Xu, J. The role of solution-processed high-κ gate dielectrics in electrical performance of oxide thin-film transistors. J. Mater. Chem. C 2014, 2, 5389–5396. [Google Scholar] [CrossRef]
- Kim, T.; Choi, C.; Hur, J.; Ha, D.; Kuh, B.; Kim, Y.; Cho, M.; Kim, S.; Jeong, J. Progress, Challenges, and Opportunities in Oxide Semiconductor Devices: A Key Building Block for Applications Ranging from Display Backplanes to 3D Integrated Semiconductor Chips. Adv. Mater. 2023, 35, 2204663. [Google Scholar] [CrossRef]
- Kuo, Y. Thin Film Transistors: Materials and Processes; Springer: New York, NY, USA, 2004. [Google Scholar]
- Zhang, F.; Wang, Z.; Xu, Y.; Zhao, B.; Shi, A.; Lao, J.; Wang, H.; Wu, Q.; Yu, H.; Liu, Y.; et al. One-pot realisation of reaction-extraction coupling: Innovative application and mechanistic insights of InCl3 deep eutectic solvents in Beckmann rearrangement reactions. Fuel 2025, 384, 133977. [Google Scholar] [CrossRef]
- Liu, X.; Li, X.; Zhao, R.; Zhang, H. A facile sol–gel method based on urea–SnCl2 deep eutectic solvents for the synthesis of SnO2/SiO2 with high oxidation desulfurization activity. New J. Chem. 2021, 45, 15901. [Google Scholar] [CrossRef]
- Isakov, I.; Faber, H.; Mottram, A.; Das, S.; Grell, M.; Regoutz, A.; Kilmurray, R.; McLachan, M.; Payne, D.; Anthopoulos, T. Quantum Confinement and Thickness-Dependent Electron Transport in Solution-Processed In2O3 Transistors. Adv. Electron. Mater. 2022, 6, 2000682. [Google Scholar] [CrossRef]
- Cvetkovic, V.; Vukicevic, N.; Jovicevic, N.; Stevanovic, J.; Jovicevic, J. Aluminium electrodeposition under novel conditions from AlCl3−urea deep eutectic solvent at room temperature. Trans. Nonferrous Met. Soc. China 2019, 30, 823–834. [Google Scholar] [CrossRef]
- Chen, W.; Xu, C.; Li, J.; Gu, D.; Zhang, Q.; Hua, Y. Eco-Friendly Electrodeposition of Al-Zn Alloy from AlCl3-Urea Deep Eutectic Solvent. J. Elec. Chem. Soc. 2024, 171, 022503. [Google Scholar] [CrossRef]
- Ammar, M.; Ashraf, S.; Gonzalez-casamachin, D.A.; Awotoye, D.T.; Baltrusaitis, J. Recent Progress of Urea-Based Deep Eutectic Solvents as Electrolytes in Battery Technology: A Critical Review. Batteries 2024, 10, 45. [Google Scholar] [CrossRef]
- Robertson, J. High dielectric constant oxides. Eur. Phys. J. Appl. Phys. 2004, 28, 265–291. [Google Scholar] [CrossRef]
- Tappertzhofen, S. Impact of electrode materials on the performance of amorphous IGZO thin-film transistors. MRS Adv. 2022, 7, 723–728. [Google Scholar] [CrossRef]
- Lin, J.; Niu, C.; Lin, Z.; Lee, S.; Kim, T.; Lee, J.; Liu, C.; Lu, J.; Wang, H.; Alam, M.; et al. Analyzing the Contact-Doping Effect in In2O3 FETs: Unveiling the Mechanisms Behind the Threshold-Voltage Roll-Off in Oxide Semiconductor Transistors. IEEE Trans. Elec. Dev. 2025, 72, 3004–3011. [Google Scholar] [CrossRef]
- Choi, C.-H.; Han, S.-Y.; Su, Y.-W.; Fang, Z.; Lin, L.-Y.; Cheng, C.-C.; Chang, C.-H. Fabrication of high-performance, low-temperature solution processed amorphous indium oxide thin-film transistors using a volatile nitrate precursor. J. Mater. Chem. C 2015, 3, 854. [Google Scholar] [CrossRef]
- Rabbi, M.; Ali, A.; Park, C.; Bae, J.; Jang, J. Growth of high quality polycrystalline InGaO thin films by spray pyrolysis for coplanar thin-film transistors on polyimide substrate. J. Alloys Comp. 2024, 1002, 175203. [Google Scholar] [CrossRef]




Disclaimer/Publisher’s Note: The statements, opinions and data contained in all publications are solely those of the individual author(s) and contributor(s) and not of MDPI and/or the editor(s). MDPI and/or the editor(s) disclaim responsibility for any injury to people or property resulting from any ideas, methods, instructions or products referred to in the content. |
© 2025 by the authors. Licensee MDPI, Basel, Switzerland. This article is an open access article distributed under the terms and conditions of the Creative Commons Attribution (CC BY) license (https://creativecommons.org/licenses/by/4.0/).
Share and Cite
Avis, C.; Jang, J. Eco-Friendly Fabrication of 2D a-SnOx Thin-Film Transistors Derived from Deep Eutectic Solvents. Materials 2025, 18, 5349. https://doi.org/10.3390/ma18235349
Avis C, Jang J. Eco-Friendly Fabrication of 2D a-SnOx Thin-Film Transistors Derived from Deep Eutectic Solvents. Materials. 2025; 18(23):5349. https://doi.org/10.3390/ma18235349
Chicago/Turabian StyleAvis, Christophe, and Jin Jang. 2025. "Eco-Friendly Fabrication of 2D a-SnOx Thin-Film Transistors Derived from Deep Eutectic Solvents" Materials 18, no. 23: 5349. https://doi.org/10.3390/ma18235349
APA StyleAvis, C., & Jang, J. (2025). Eco-Friendly Fabrication of 2D a-SnOx Thin-Film Transistors Derived from Deep Eutectic Solvents. Materials, 18(23), 5349. https://doi.org/10.3390/ma18235349
