Sign in to use this feature.

Years

Between: -

Subjects

remove_circle_outline
remove_circle_outline
remove_circle_outline
remove_circle_outline
remove_circle_outline
remove_circle_outline
remove_circle_outline
remove_circle_outline
remove_circle_outline

Journals

Article Types

Countries / Regions

Search Results (42)

Search Parameters:
Keywords = lava flow characterization

Order results
Result details
Results per page
Select all
Export citation of selected articles as:
16 pages, 1141 KB  
Article
Flow Evolution in Magmatic Conduits: A Constructal Law Analysis of Stochastic Basaltic and Felsic Lava Dynamics
by Antonio F. Miguel, Vinícius R. Pepe and Luiz A. O. Rocha
Fluids 2025, 10(12), 319; https://doi.org/10.3390/fluids10120319 - 2 Dec 2025
Viewed by 461
Abstract
This study probabilistically assesses magma ascent by modeling dike propagation as a fully coupled fluid-flow, thermo-mechanical problem, explicitly accounting for the stochastic heterogeneity of the crustal host rock. We study felsic (rhyolite) lava flow and two distinct basaltic feeding regimes that correspond to [...] Read more.
This study probabilistically assesses magma ascent by modeling dike propagation as a fully coupled fluid-flow, thermo-mechanical problem, explicitly accounting for the stochastic heterogeneity of the crustal host rock. We study felsic (rhyolite) lava flow and two distinct basaltic feeding regimes that correspond to the conditions necessary to produce the contrasting pāhoehoe and ʻaʻā surface morphologies. Basaltic dikes demonstrate high propagation efficiency to the surface (pāhoehoe-feeding regime 99.5%; ʻaʻā-feeding regime 97.5%), whereas rhyolite dikes have an 89% failure rate, attributed to significant friction. Both regimes represent distinct constructal approaches aimed at maximizing flow persistence. The pāhoehoe-feeding regime is a thermally regulated, stable design characterized by low-velocity, cooling-dominated dynamics. Its slow, persistent flow allows for significant conductive heating of the surrounding rock wall, creating an efficient, pre-heated thermal conduit. In contrast, the ʻaʻā-feeding regime is a mechanically dominated design governed by high-velocity, stochastic dynamics. This morphology is driven by forceful flow, and its thermal budget is supplemented by intense viscous dissipation (internal friction). Rhyolite magma flow fails upon losing constructal viability, driven by a coupled mechanical–thermal cascade. The sequence begins when a mechanical barrier halts the magma velocity, which triggers a freezing event and leads to permanent arrest. Full article
Show Figures

Figure 1

19 pages, 7428 KB  
Article
Petrology of the 1952 Eruption and Ancient Lava and Pyroclastic Flows of Krenitsyn Peak Volcano, Onekotan Island, Kuril Arc, Russia
by Vesta O. Davydova, Anton A. Nuzhdaev, Ilya E. Bolshakov, Ruslan A. Kuznetsov, Andrey B. Ermolinskiy, Elena S. Zhitova and Vasiliy O. Yapaskurt
Geosciences 2025, 15(9), 358; https://doi.org/10.3390/geosciences15090358 - 12 Sep 2025
Viewed by 2019
Abstract
Krenitsyn Peak is one of the two active volcanoes on Onekotan Island (Greater Kuril Ridge). The inaccessibility of the island, along with the volcano being situated within a sizeable (7 km in diameter) and cold (3.7 °C) caldera lake, has led to minimal [...] Read more.
Krenitsyn Peak is one of the two active volcanoes on Onekotan Island (Greater Kuril Ridge). The inaccessibility of the island, along with the volcano being situated within a sizeable (7 km in diameter) and cold (3.7 °C) caldera lake, has led to minimal research on the area. We present the first detailed characterization of the rocks from the only historical eruption of Krenitsyn Peak (November 1952) and a brief description of the ancient lava and pyroclastic density current (PDC) deposits that make up the building of the volcano. The 1952 eruptive products are represented by two-pyroxene andesites (59.2–63.3 wt.% SiO2), and the older lava and pyroclastic flow rocks consist of two-pyroxene andesites and dacites (62–67.6 wt.% SiO2). Almost all samples belong to the calc-alkaline, medium-K, and medium-Fe series, and the pumiceous lapilli from the 1952 eruption fall into the low-Fe series. The minerals exhibit signs of magma mingling, including relic high-Ca (up to An92) plagioclase cores with signs of dissolution and recrystallization, and oscillatory-zoned pyroxene. Full article
(This article belongs to the Section Geochemistry)
Show Figures

Figure 1

21 pages, 7830 KB  
Article
The Connectedness of People and Geological Features in the El Malpais Lava Flows of New Mexico, USA
by Simon Larsson
Land 2025, 14(6), 1243; https://doi.org/10.3390/land14061243 - 10 Jun 2025
Cited by 3 | Viewed by 2442
Abstract
El Malpais National Monument in New Mexico, USA, is a landscape of significant cultural and geological importance, characterized by extensive lava flows, caves, and cinder cones. Despite its harsh terrain, El Malpais holds deep cultural and spiritual meanings for Native American communities, including [...] Read more.
El Malpais National Monument in New Mexico, USA, is a landscape of significant cultural and geological importance, characterized by extensive lava flows, caves, and cinder cones. Despite its harsh terrain, El Malpais holds deep cultural and spiritual meanings for Native American communities, including the Acoma, Zuni, Laguna, and Navajo tribes, whose cosmologies and histories are interwoven with this landscape. Employing a mixed-methods approach combining ethnographic fieldwork with comparative literature studies, this paper documents how these Indigenous groups perceive and interpret interconnected geological features as sacred and meaningful parts of their ancestral heritage. The findings reveal that volcanic landscapes are central not only to cultural origin narratives but also to ongoing rituals, resource use, and pilgrimage practices. This interconnectedness is exemplified by the cultural links between El Malpais and adjacent Mount Taylor, highlighting how geological features form a unified sacred geography. This study positions El Malpais as a culturally animated landscape, where Indigenous epistemologies and spiritual relationships with volcanic landforms challenge conventional notions of geoheritage and call for relational, community-informed approaches to heritage management. Full article
(This article belongs to the Special Issue Natural Landscape and Cultural Heritage (Second Edition))
Show Figures

Figure 1

20 pages, 43321 KB  
Article
Volcano–Sedimentary Processes on an Ancient Oceanic Seafloor: Insights from the Gimigliano Metaophiolite Succession (Calabria, Southern Italy)
by Federica Barilaro, Andrea Di Capua, Giuseppe Cianflone, Giovanni Turano, Gianluca Robertelli, Fabrizio Brutto, Giuseppe Ciccone, Alessandro Foti, Vincenzo Festa and Rocco Dominici
Minerals 2025, 15(6), 552; https://doi.org/10.3390/min15060552 - 22 May 2025
Cited by 1 | Viewed by 1859
Abstract
This study investigates the volcano–sedimentary processes that occurred in an oceanic branch of the Western Tethys, now part of the Gimigliano–Monte-Reventino metaophiolite Unit, exposed at the southeastern termination of the Sila Piccola Massif, within the northern sector of the Calabria–Peloritani terrane (Calabria, southern [...] Read more.
This study investigates the volcano–sedimentary processes that occurred in an oceanic branch of the Western Tethys, now part of the Gimigliano–Monte-Reventino metaophiolite Unit, exposed at the southeastern termination of the Sila Piccola Massif, within the northern sector of the Calabria–Peloritani terrane (Calabria, southern Italy). Fieldwork, petrography, and mineralogical analyses on the Gimigliano metaophiolite succession have identified five distinct volcano–sedimentary lithofacies. These lithofacies are characterized by mineral assemblages of epidote, chlorite, quartz, and albite, with minor amounts of muscovite and calcite, resulting from high-pressure–low-temperature (HP-LT) metamorphism followed by low-grade greenschist metamorphism of mid-oceanic ridge basalt (MORB)-type volcanic products. Based on their stratigraphic and textural features, these lithofacies have been interpreted as metabasaltic flow layers emplaced during effusive volcanic eruptions and metahyaloclastic and metavolcaniclastic deposits formed by explosion-driven processes. This lithofacies assemblage suggests that the Gimigliano area likely represented an oceanic sector with high rates of magmatic outflows, where interactions between magma and water facilitated explosive activity and the dispersion of primary volcaniclastic deposits, mainly from the water column, in addition to the emplacement of basaltic lava flow. In contrast, other metaophiolite complexes in the Calabria region, characterized by the presence of pillow basalts, were areas with low effusive rates. The coexistence of these differences, along with the extensive presence of metaultramafites, portrays the Calabrian branch of the Tethys as a slow-spreading oceanic ridge where variations in surficial volcanic processes were controlled by differences in the effusion rates across its structure. This study is a valuable example of how a volcano–sedimentary approach to reconstructing the emplacement mechanisms of metaophiolite successions can provide geodynamic insights into ancient oceanic ridges. Full article
(This article belongs to the Special Issue Volcaniclastic Sedimentation in Deep-Water Basins)
Show Figures

Figure 1

28 pages, 8684 KB  
Article
Rapid Response to Effusive Eruptions Using Satellite Infrared Data: The March 2024 Eruption of Fernandina (Galápagos)
by Diego Coppola, Simone Aveni, Adele Campus, Marco Laiolo, Francesco Massimetti and Benjamin Bernard
Remote Sens. 2025, 17(7), 1191; https://doi.org/10.3390/rs17071191 - 27 Mar 2025
Cited by 6 | Viewed by 2781
Abstract
On 3 March 2024, a new effusive eruption began from a sub-circular fissure on the southeast upper flank of the Fernandina volcano (Galápagos archipelago, Ecuador). Although the eruption posed no threat to people, as the island is uninhabited, it provided an opportunity to [...] Read more.
On 3 March 2024, a new effusive eruption began from a sub-circular fissure on the southeast upper flank of the Fernandina volcano (Galápagos archipelago, Ecuador). Although the eruption posed no threat to people, as the island is uninhabited, it provided an opportunity to test a rapid response system for effusive eruptions, based on satellite infrared (IR) data. In this work, we illustrate how the analysis of data from multiple IR sensors allowed us to monitor the eruption in near real-time (NRT), providing recurrent updates on key parameters, such as (i) lava discharge rate and trend, (ii) erupted lava volume, (iii) lava field area, (iv) active flow front position (v) flow velocity, (vi) location of active vents and breakouts, and (vii) emplacement style. Overall, the eruption lasted 68 days, during which 58.5 ± 29.2 Mm3 of lava was erupted and an area of 14.9 ± 0.5 km2 was invaded. The eruption was characterized by a peak effusion rate of 206 ± 103 m3/s, an initial velocity of ~2.3 km/h, and by an almost exponential decline in the effusion rate, accompanied by a transition from channel- to tube-fed emplacement style. The advance of the lava flow was characterized by three lengthening phases that allowed the front to reach the coast (~12.5 km from the vent) after 36 days (at an average velocity of ~0.015 km/h). The results demonstrate the efficiency of satellite thermal data in responding to effusive eruptions and maintaining situational awareness at remote volcanoes where ground-based data are limited or completely unavailable. The requirements, limitations, and future perspectives for applying this rapid response protocol on a global scale are finally discussed. Full article
(This article belongs to the Special Issue Satellite Monitoring of Volcanoes in Near-Real Time)
Show Figures

Figure 1

19 pages, 9749 KB  
Article
Numerical Simulation of Debris Flow Behavior over a Series of Groundsills
by Chyan-Deng Jan, Yi-Chao Zeng and Litan Dey
Water 2025, 17(3), 293; https://doi.org/10.3390/w17030293 - 21 Jan 2025
Cited by 3 | Viewed by 1767
Abstract
Debris flows propagating in natural environments often encounter irregular terrain features, such as bottom roughness and man-made structures like groundsills, which significantly influence their behavior and dynamics. In practice, groundsills are commonly used as debris flow mitigation structures. This study examines the effects [...] Read more.
Debris flows propagating in natural environments often encounter irregular terrain features, such as bottom roughness and man-made structures like groundsills, which significantly influence their behavior and dynamics. In practice, groundsills are commonly used as debris flow mitigation structures. This study examines the effects of a beam-type groundsill array on the flow behavior of sediment mixtures in an inclined channel using numerical simulations. The sediment mixtures, modeled as Bingham fluids, were tested as they flowed over groundsill arrays with varying densities, characterized by the spacing-to-height ratio (d/h) ranging from 2 to 10. The findings indicate that interaction with the groundsills produces a hydraulic jump-like flow, reaching a height approximately 2.2 times the approach flow depth across different array densities. High-density arrays (d/h4) substantially hindered flow propagation, reducing front velocities but leading to sediment buildup upstream of the groundsills. Conversely, low-density arrays (d/h>4) facilitated smoother flow with higher velocities. These insights into the relationship between array density, flow behavior, and sediment trapping provide valuable guidance for optimizing groundsill array designs to effectively reduce the mobility of gravity-driven flows of non-Newtonian fluids (such as snow avalanches, debris, lava, or mudflows) and mitigate the associated risks. Full article
(This article belongs to the Section Hydraulics and Hydrodynamics)
Show Figures

Figure 1

17 pages, 12159 KB  
Article
Numerical Study of Carreau Fluid Flow in Symmetrically Branched Tubes
by Vinicius Pepe, Antonio F. Miguel, Flávia Zinani and Luiz Rocha
Symmetry 2025, 17(1), 48; https://doi.org/10.3390/sym17010048 - 30 Dec 2024
Cited by 2 | Viewed by 2180
Abstract
The non-Newtonian Carreau fluid model is a suitable model for pseudoplastic fluids and can be used to characterize fluids not so different from biological fluids, such as the blood, and fluids involved in geological processes, such as lava and magma. These fluids are [...] Read more.
The non-Newtonian Carreau fluid model is a suitable model for pseudoplastic fluids and can be used to characterize fluids not so different from biological fluids, such as the blood, and fluids involved in geological processes, such as lava and magma. These fluids are frequently conveyed by complex flow structures, which consist of a network of channels that allow the fluid to flow from one place (source or sink) to a variety of locations or vice versa. These flow networks are not randomly arranged but show self-similarity at different spatial scales. Our work focuses on the design of self-similar branched flow networks that look the same on any scale. The flow is incompressible and stationary with a viscosity following the Carreau model, which is important for the study of complex flow systems. The flow division ratios, the flow resistances at different scales, and the geometric size ratios for maximum flow access are studied, based on Computational Fluid Dynamics (CFD). A special emphasis is placed on investigating the possible incidence of flow asymmetry in these symmetric networks. Our results show that asymmetries may occur for both Newtonian and non-Newtonian fluids and shear-thinning fluids most affect performance results. The lowest flow resistance occurs when the diameters of the parent and daughter ducts are equal, and the more uniform distribution of flow resistance occurs for a ratio between the diameters of the parent and daughter ducts equal to 0.75. Resistances for non-Newtonian fluids are 4.8 to 5.6 times greater than for Newtonian fluids at Reynolds numbers of 100 and 250, respectively. For the design of engineering systems and the assessment of biological systems, it is recommended that the findings presented are taken into account. Full article
(This article belongs to the Special Issue Symmetry in Thermal Fluid Sciences and Energy Applications)
Show Figures

Figure 1

29 pages, 19572 KB  
Article
Morphology, Internal Architecture, Facies Model, and Emplacement Mechanisms of Lava Flows from the Central Atlantic Magmatic Province (CAMP) of the Hartford and Deerfield Basins (USA)
by Abdelhak Moumou, Nasrrddine Youbi, Hind El Hachimi, Khalil El Kadiri, José Madeira, João Mata, Isma Amri and Abdelkarim Ait Baha
Geosciences 2024, 14(8), 204; https://doi.org/10.3390/geosciences14080204 - 31 Jul 2024
Viewed by 3627
Abstract
The morphology, internal architecture, and emplacement mechanisms of the Central Atlantic Magmatic Province (CAMP) lava flows of the Hartford and Deerfield basins (USA) are presented. The Talcott, Holyoke, and Hampden formations within the Hartford basin constitute distinct basaltic units, each exhibiting chemical, mineralogical, [...] Read more.
The morphology, internal architecture, and emplacement mechanisms of the Central Atlantic Magmatic Province (CAMP) lava flows of the Hartford and Deerfield basins (USA) are presented. The Talcott, Holyoke, and Hampden formations within the Hartford basin constitute distinct basaltic units, each exhibiting chemical, mineralogical, and structural differences corresponding to flow fields. Each flow field was the result of several sustained eruptions that produced both inflated pahoehoe flows and subaquatic extrusions: 1–5 eruptions in the Talcott formation and 1–2 in Holyoke and Hampden basalts, where simple flows are dominant. The Deerfield basin displays the Deerfield basalt unit, characterized by pillow lavas and sheet lobes, aligning chemically and mineralogically with the Holyoke basalt unit. Overall, the studied flow fields are composed of thick, simple pahoehoe flows that display the entire range of pahoehoe morphology, including inflated lobes. The three-partite structure of sheet lobes, vertical distribution of vesicles, and segregation structures are typical. The characteristics of the volcanic pile suggest slow emplacement during sustained eruptive episodes and are compatible with a continental basaltic succession facies model. The studied CAMP basalts of the eastern United States are correlated with the well-exposed examples on both sides of the Atlantic Ocean (Canada, Portugal, and Morocco). Full article
Show Figures

Figure 1

20 pages, 6106 KB  
Article
A Hidden Eruption: The 21 May 2023 Paroxysm of the Etna Volcano (Italy)
by Emanuela De Beni, Cristina Proietti, Simona Scollo, Massimo Cantarero, Luigi Mereu, Francesco Romeo, Laura Pioli, Mariangela Sciotto and Salvatore Alparone
Remote Sens. 2024, 16(9), 1555; https://doi.org/10.3390/rs16091555 - 27 Apr 2024
Cited by 11 | Viewed by 7639
Abstract
On 21 May 2023, a hidden eruption occurred at the Southeast Crater (SEC) of Etna (Italy); indeed, bad weather prevented its direct and remote observation. Tephra fell toward the southwest, and two lava flows propagated along the SEC’s southern and eastern flanks. The [...] Read more.
On 21 May 2023, a hidden eruption occurred at the Southeast Crater (SEC) of Etna (Italy); indeed, bad weather prevented its direct and remote observation. Tephra fell toward the southwest, and two lava flows propagated along the SEC’s southern and eastern flanks. The monitoring system of the Istituto Nazionale di Geofisica e Vulcanologia testified to its occurrence. We analyzed the seismic and infrasound signals to constrain the temporal evolution of the fountain, which lasted about 5 h. We finally reached Etna’s summit two weeks later and found an unexpected pyroclastic density current (PDC) deposit covering the southern lava flow at its middle portion. We performed unoccupied aerial system and field surveys to reconstruct in 3D the SEC, lava flows, and PDC deposits and to collect some samples. The data allowed for detailed mapping, quantification, and characterization of the products. The resulting lava flows and PDC deposit volumes were (1.54 ± 0.47) × 106 m3 and (1.30 ± 0.26) × 105 m3, respectively. We also analyzed ground-radar and satellite data to evaluate that the plume height ranges between 10 and 15 km. This work is a comprehensive analysis of the fieldwork, UAS, volcanic tremor, infrasound, radar, and satellite data. Our results increase awareness of the volcanic activity and potential dangers for visitors to Etna’s summit area. Full article
Show Figures

Figure 1

19 pages, 6008 KB  
Article
Study on the Reservoir Heterogeneity of Different Volcanic Facies Based on Electrical Imaging Log in the Liaohe Eastern Sag
by Zongli Liu, Huanping Wu, Shanyi Zhang and Xiaoqing Zhao
Processes 2023, 11(8), 2427; https://doi.org/10.3390/pr11082427 - 11 Aug 2023
Cited by 5 | Viewed by 1747
Abstract
The volcanic rocks of the Es3 Formation (the third member of the Eocene Shahejie) in the Liaohe Eastern Sag can be divided into four facies and twelve subfacies. The porosity spectrum, porosity bin, variation coefficient (VC), and porosity width derived from electrical imaging [...] Read more.
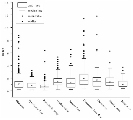
The volcanic rocks of the Es3 Formation (the third member of the Eocene Shahejie) in the Liaohe Eastern Sag can be divided into four facies and twelve subfacies. The porosity spectrum, porosity bin, variation coefficient (VC), and porosity width derived from electrical imaging log data were applied to study and characterize the heterogeneity of four facies and nine subfacies, both qualitatively and quantitatively. However, the VC and porosity width cannot be used to quantitatively classify heterogeneity when the VC is small and the porosity width is large. In the present study, the authors propose a new parameter, Pvcd = variation coefficient × porosity width. Based on this parameter, using a combination of porosity spectra, porosity bin features, VC, and porosity width, lithofacies heterogeneity is divided into three categories. The first is weak heterogeneity, which has a Pvcd < 1.1, a VC < 0.15, and a porosity width < 6. The second is moderate heterogeneity, which has a Pvcd 1.1–1.6, a VC 0.15–0.25, and a porosity width 6–9. The third is strong heterogeneity, which has a Pvcd > 1.6, a porosity VC > 0.25, and a porosity width > 9. In these three cases, the porosity spectra mainly display unimodal features, the porosity bins are concentrated, the bimodal features with tails and porosity bins are less concentrated, or the multimodal features with tails and porosity bins are scattered, respectively. Favorable reservoirs of volcanic rocks are controlled by lithofacies. In the study area, the favorable reservoirs appear to be the diatreme subfacies with low or medium heterogeneity, the pyroclastic flow subfacies with low heterogeneity, the compound lava flow subfacies with low or medium heterogeneity, and the outer zone subfacies with strong heterogeneity. Full article
Show Figures

Figure 1

23 pages, 14047 KB  
Article
Geochemistry and Petrology of the Bellecombe Lava Sequence, Enclos Fouqué Caldera, Piton de la Fournaise Volcano (Réunion, France)
by Gabriele Lanzafame, Alexander Bolam, Andrea Di Muro, Silvia Portale, Sandro Donato, Pascale Besson and Carmelo Ferlito
Minerals 2023, 13(6), 751; https://doi.org/10.3390/min13060751 - 31 May 2023
Viewed by 3437
Abstract
Piton de la Fournaise is an active shield volcano located in the eastern area of the Réunion Island (Indian Ocean) whose activity is characterized by effusive and explosive episodes with the emission of scarcely differentiated magmas with mostly tholeiitic affinity. The presently active [...] Read more.
Piton de la Fournaise is an active shield volcano located in the eastern area of the Réunion Island (Indian Ocean) whose activity is characterized by effusive and explosive episodes with the emission of scarcely differentiated magmas with mostly tholeiitic affinity. The presently active edifice has grown within the Enclos Fouqué caldera, a polylobate plain bounded on its western side by the 80–200 m high Bellecombe vertical cliffs. This escarpment exposes a vertical sequence of 12 lava flows cut by a dike with an age > 5.5 kyrs. In this work, the Bellecombe products were investigated by X-ray fluorescence, Inductively Coupled Plasma Mass Spectroscopy, a Scanning Electron Microscope and X-ray computed microtomography in order to characterize the evolution over time of the magmatic system feeding the eruptive activity prior to the Enclos Fouqué caldera collapse. The results indicate that lava flows share a geochemical affinity with the two main series documented at Piton de la Fournaise, namely, Steady State Basalts (SSB) at the bottom and top of the sequence and Abnormal basalt Group (AbG) with different degrees of differentiation in the central part. The emission of these two different products in both a restricted area and timespan testifies to the dynamic activity of the plumbing system, capable of shifting rapidly from central to eccentric activity in the recent past. Full article
Show Figures

Figure 1

28 pages, 40628 KB  
Article
Characterizing and Mapping Volcanic Flow Deposits on Mount St. Helens via Dual-Band SAR Imagery
by Nikola Rogic, Sylvain J. Charbonnier, Franco Garin, Guy W. Dayhoff II, Eric Gagliano, Mel Rodgers, Charles B. Connor, Sameer Varma and David Shean
Remote Sens. 2023, 15(11), 2791; https://doi.org/10.3390/rs15112791 - 27 May 2023
Cited by 2 | Viewed by 3683
Abstract
Mapping volcanic flow deposits can be achieved by considering backscattering characteristics as a metric of surface roughness. In this study, we developed an approach to extract a measure of surface roughness from dual-band airborne Synthetic Aperture Radar (ASAR) backscattering data to characterize and [...] Read more.
Mapping volcanic flow deposits can be achieved by considering backscattering characteristics as a metric of surface roughness. In this study, we developed an approach to extract a measure of surface roughness from dual-band airborne Synthetic Aperture Radar (ASAR) backscattering data to characterize and map various volcanic flow deposits—namely, debris avalanches, lahars, lava flows, and pyroclastic density currents. We employed ASAR and Indian Space Research Organization (ISRO) airborne SAR datasets, from a joint project (ASAR-ISRO), acquired in December 2019 at 2 m spatial resolution, to assess the role and importance of incorporating dual-band data, i.e., L-band and S-band, into surface roughness models. Additionally, we derived and analyzed surface roughness from a digital surface model (DSM) generated from unoccupied aircraft systems (UAS) acquisitions using Structure from Motion (SfM) photogrammetry techniques. These UAS-derived surface roughness outputs served as meter-scale calibration products to validate the radar roughness data over targeted areas. Herein, we applied our method to a region in the United States over the Mount St. Helens volcano in the Cascade Range of Washington state. Our results showed that dual-band systems can be utilized to characterize different types of volcanic deposits and range of terrain roughness. Importantly, we found that a combination of radar wavelengths (i.e., 9 and 24 cm), in tandem with high-spatial-resolution backscatter measurements, yields improved surface roughness maps, compared to single-band, satellite-based approaches at coarser resolution. The L-band (24 cm) can effectively differentiate small, medium, and large-scale structures, namely, blocks/boulders from fine-grained lahar deposits and hummocks from debris avalanche deposits. Additionally, variation in the roughness estimates of lahar and debris avalanche deposits can be identified and quantified individually. In contrast, the S-band (9 cm) can distinguish different soil moisture conditions across variable terrain; for example, identify wet active channels. In principle, this dual-band approach can also be employed with time series of various other SAR data of higher coherence (such as satellite SAR), using different wavelengths and polarizations, encompassing a wider range of surface roughness, and ultimately enabling additional applications at other volcanoes worldwide and even beyond volcanology. Full article
(This article belongs to the Special Issue Assessment and Prediction of Volcano Hazard Using Remote Sensing)
Show Figures

Graphical abstract

16 pages, 5195 KB  
Article
Detection of Geothermal Anomalies in Hydrothermal Systems Using ASTER Data: The Caldeiras da Ribeira Grande Case Study (Azores, Portugal)
by Jéssica Uchôa, Fátima Viveiros, Rafaela Tiengo and Artur Gil
Sensors 2023, 23(4), 2258; https://doi.org/10.3390/s23042258 - 17 Feb 2023
Cited by 7 | Viewed by 4784
Abstract
Current-day volcanic activity in the Azores archipelago is characterized by seismic events and secondary manifestations of volcanism. Remote sensing techniques have been widely employed to monitor deformation in volcanic systems, map lava flows, or detect high-temperature gas emissions. However, using satellite imagery, it [...] Read more.
Current-day volcanic activity in the Azores archipelago is characterized by seismic events and secondary manifestations of volcanism. Remote sensing techniques have been widely employed to monitor deformation in volcanic systems, map lava flows, or detect high-temperature gas emissions. However, using satellite imagery, it is still challenging to identify low-magnitude thermal changes in a volcanic system. In 2010, after drilling a well for geothermal exploration on the northern flank of Fogo Volcano on São Miguel Island, a new degassing and thermal area emerged with maximum temperatures of 100 °C. In the present paper, using the ASTER sensor, we observed changes in the near-infrared signals (15 m spatial resolution) six months after the anomaly emerged. In contrast, the thermal signal (90 m spatial resolution) only changed its threshold value one and a half years after the anomaly was recognized. The results show that wavelength and spatial resolution can influence the response time in detecting changes in a system. This paper reiterates the importance of using thermal imaging and high spatial resolution images to monitor and map thermal anomalies in hydrothermal systems such as those found in the Azores. Full article
(This article belongs to the Special Issue Satellite Remote Sensing for Volcanic Applications)
Show Figures

Figure 1

12 pages, 1903 KB  
Communication
A Multi-Sensor Satellite Approach to Characterize the Volcanic Deposits Emitted during Etna’s Lava Fountaining: The 2020–2022 Study Case
by Gaetana Ganci, Giuseppe Bilotta, Francesco Zuccarello, Sonia Calvari and Annalisa Cappello
Remote Sens. 2023, 15(4), 916; https://doi.org/10.3390/rs15040916 - 7 Feb 2023
Cited by 27 | Viewed by 3436
Abstract
Between December 2020 and February 2022, the South East Crater of Etna has been the source of numerous eruptions, mostly characterized by the emission of lava fountains, pyroclastic material and short-lasting lava flows. Here we estimate the volume and distribution of the lava [...] Read more.
Between December 2020 and February 2022, the South East Crater of Etna has been the source of numerous eruptions, mostly characterized by the emission of lava fountains, pyroclastic material and short-lasting lava flows. Here we estimate the volume and distribution of the lava deposits by elaborating multi-source satellite imagery. SEVIRI data have been elaborated using CL-HOTSAT to estimate the lava volume emitted during each event and calculate the cumulative volume; Pléiades and WorldView-1 data have been used to derive Digital Surface Models, whose differences provide thickness distributions and hence volumes of the volcanic deposits. We find a good agreement, with the total average lava volume obtained by SEVIRI reaching 73.2 × 106 m3 and the one from optical data amounting to 67.7 × 106 m3. This proves the robustness of both techniques and the accuracy of the volume estimates, which provide important information on the lava flooding history and evolution of the volcano. Full article
Show Figures

Figure 1

22 pages, 20353 KB  
Article
Satellite Radar and Camera Time Series Reveal Transition from Aligned to Distributed Crater Arrangement during the 2021 Eruption of Cumbre Vieja, La Palma (Spain)
by Valeria Muñoz, Thomas R. Walter, Edgar U. Zorn, Alina V. Shevchenko, Pablo J. González, Diego Reale and Eugenio Sansosti
Remote Sens. 2022, 14(23), 6168; https://doi.org/10.3390/rs14236168 - 6 Dec 2022
Cited by 18 | Viewed by 5525
Abstract
Magma-filled dikes may feed erupting fissures that lead to alignments of craters developing at the surface, yet the details of activity and migrating eruptions at the crater row are difficult to monitor and are hardly understood. The 2021 Tajogaite eruption at the Cumbre [...] Read more.
Magma-filled dikes may feed erupting fissures that lead to alignments of craters developing at the surface, yet the details of activity and migrating eruptions at the crater row are difficult to monitor and are hardly understood. The 2021 Tajogaite eruption at the Cumbre Vieja, La Palma (Spain), lasted 85 days and developed a pronounced alignment of craters that may be related to changes within the volcano edifice. Here, we use COSMO-SkyMed satellite radar data and ground-based time-lapse photographs, offering a high-resolution dataset to explore the locations and characteristics of evolving craters. Our results show that the craters evolve both gradually and suddenly and can be divided into three main phases. Phase 1, lasting the first 6 weeks of the eruption, was characterized by a NW–SE linear evolution of up to seven craters emerging on the growing cone. Following two partial collapses of the cone to the northwest and a seismicity increase at depth, Phase 2 started and caused a propagation of the main activity toward the southeastern side, together with the presence of up to 11 craters along this main NW–SE trend. Associated with strong deep and shallow earthquakes, Phase 3 was initiated and continued for the final 2 weeks of the eruption, expressed by the development of up to 18 craters, which became dominant and clustered in the southeastern sector in early December 2021. In Phase 3, a second and oblique alignment and surface fracture was identified. Our findings that crater and eruption changes coincide together with an increase in seismic activity at depth point to a deep driver leading to crater and morphology changes at the surface. These also suggest that crater distributions might allow for improved monitoring of changes occurring at depth, and vice versa, such that strong seismicity changes at depth may herald the migration and new formation of craters, which have major implications for the assessment of tephra and lava flow hazards on volcanoes. Full article
(This article belongs to the Special Issue Assessment and Prediction of Volcano Hazard Using Remote Sensing)
Show Figures

Graphical abstract

Back to TopTop