Characterizing and Mapping Volcanic Flow Deposits on Mount St. Helens via Dual-Band SAR Imagery
Abstract
1. Introduction
2. Materials and Methods
2.1. Airborne SAR Data Properties
2.2. Roughness Discrimination
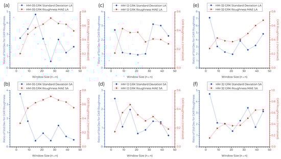
2.3. Roughness Computation
2.4. Dual-Band Map Generation
3. Airborne SAR Data Calibration Using Unoccupied Aircraft Systems (UAS)
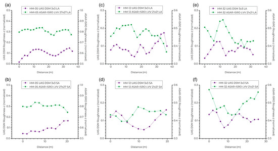
3.1. Calibration Methodology
3.2. Calibration Results
4. Results
4.1. ASAR-ISRO Backscatter Results

Focused Studies: Backscatter Results
4.2. ASAR-ISRO Surface Roughness Results
Dual-Band Surface Roughness Results
5. Discussion
5.1. Surface Roughness
5.2. Impact of Snow on ASAR-ISRO Data and Results
6. Conclusions
Supplementary Materials
Author Contributions
Funding
Data Availability Statement
Acknowledgments
Conflicts of Interest
References
- Pyle, D.M.; Mather, T.A.; Biggs, J. Remote sensing of volcanoes and volcanic processes: Integrating observation and modelling—Introduction. Geol. Soc. Spec. Publ. 2013, 380, 1–13. [Google Scholar] [CrossRef]
- Sparks, R.S.J.; Biggs, J.; Neuberg, J.W. Monitoring volcanoes. Science 2012, 335, 1310–1311. [Google Scholar] [CrossRef] [PubMed]
- Hooper, A.; Prata, F.; Sigmundsson, F. Remote Sensing of Volcanic Hazards and Their Precursors. Proc. IEEE 2012, 100, 2908–2930. [Google Scholar] [CrossRef]
- Wadge, G.; Cole, P.; Stinton, A.; Komorowski, J.C.; Stewart, R.; Toombs, A.C.; Legendre, Y. Rapid topographic change measured by high-resolution satellite radar at Soufriere Hills Volcano, Montserrat, 2008–2010. J. Volcanol. Geotherm. Res. 2011, 199, 142–152. [Google Scholar] [CrossRef]
- Arnold, D.W.D.; Biggs, J.; Wadge, G.; Ebmeier, S.K.; Odbert, H.M.; Poland, M.P. Dome growth, collapse, and valley fill at Soufrière Hills Volcano, Montserrat, from 1995 to 2013: Contributions from satellite radar measurements of topographic change. Geosphere 2016, 12, 1300–1315. [Google Scholar] [CrossRef]
- NISAR. NASA-ISRO SAR (NISAR) Mission Science Users’ Handbook; NASA Jet Propulsion Laboratory: Pasadena, CA, USA, 2018; 261p. [Google Scholar]
- Zebker, H.A.; van Zyl, J.J.; Held, D.N. Imaging radar polarimetry from wave synthesis. J. Geophys. Res. Solid Earth 1987, 92, 683–701. [Google Scholar] [CrossRef]
- Gaddis, L.R. Lava-flow characterization at Pisgah Volcanic Field, California, with multiparameter imaging radar. Geol. Soc. Am. Bull. 1992, 104, 695–703. [Google Scholar] [CrossRef]
- Pinel, V.; Poland, M.P.; Hooper, A. Volcanology: Lessons learned from Synthetic Aperture Radar imagery. J. Volcanol. Geotherm. Res. 2014, 289, 81–113. [Google Scholar] [CrossRef]
- Pedersen, G.B.M.; Höskuldsson, A.; Dürig, T.; Thordarson, T.; Jónsdóttir, I.; Riishuus, M.S.; Óskarsson, B.V.; Dumont, S.; Magnusson, E.; Gudmundsson, M.T.; et al. Lava field evolution and emplacement dynamics of the 2014–2015 basaltic fissure eruption at Holuhraun, Iceland. J. Volcanol. Geotherm. Res. 2017, 340, 155–169. [Google Scholar] [CrossRef]
- Wadge, G.; Saunders, S.; Itikarai, I. Pulsatory andesite lava flow at Bagana Volcano. Geochem. Geophys. Geosystems 2012, 13. [Google Scholar] [CrossRef]
- Di Traglia, F.; Nolesini, T.; Ciampalini, A.; Solari, L.; Frodella, W.; Bellotti, F.; Fumagalli, A.; De Rosa, G.; Casagli, N. Tracking morphological changes and slope instability using spaceborne and ground-based SAR data. Geomorphology 2018, 300, 95–112. [Google Scholar] [CrossRef]
- Delgado, F.; Kubanek, J.; Anderson, K.; Lundgren, P.; Pritchard, M. Physicochemical models of effusive rhyolitic eruptions constrained with InSAR and DEM data: A case study of the 2011-2012 Cordón Caulle eruption. Earth Planet. Sci. Lett. 2019, 524, 115736. [Google Scholar] [CrossRef]
- Plank, S.; Walter, T.R.; Martinis, S.; Cesca, S. Growth and collapse of a littoral lava dome during the 2018/19 eruption of Kadovar Volcano, Papua New Guinea, analyzed by multi-sensor satellite imagery. J. Volcanol. Geotherm. Res. 2019, 388, 106704. [Google Scholar] [CrossRef]
- Aufaristama, M.; Höskuldsson, Á.; Ulfarsson, M.O.; Jónsdóttir, I.; Thordarson, T. Lava flow roughness on the 2014–2015 lava flow-field at Holuhraun, Iceland, derived from airborne LiDAR and photogrammetry. Geosciences 2020, 10, 125. [Google Scholar] [CrossRef]
- Terunuma, T.; Nishida, K.; Amada, T.; Mizuyama, T.; Sato, I.; Urai, M. Detection of traces of pyroclastic flows and lahars with satellite synthetic aperture radars. Int. J. Remote Sens. 2005, 26, 1927–1942. [Google Scholar] [CrossRef]
- Carn, S.A. Application of synthetic aperture radar (SAR) imagery to volcano mapping in the humid tropics: A case study in East Java, Indonesia. Bull. Volcanol. 1999, 61, 92–105. [Google Scholar] [CrossRef]
- Saepuloh, A.; Aisyah, N.; Urai, M. Detecting Surface Structures after Large Eruption of Mt. Merapi in 2010 Using ALOS/PALSAR Data. Procedia Earth Planet. Sci. 2015, 12, 84–92. [Google Scholar] [CrossRef]
- Solikhin, A.; Pinel, V.; Vandemeulebrouck, J.; Thouret, J.C.; Hendrasto, M. Mapping the 2010 Merapi pyroclastic deposits using dual-polarization Synthetic Aperture Radar (SAR) data. Remote Sens. Environ. 2015, 158, 180–192. [Google Scholar] [CrossRef]
- Wadge, G.; Scheuchl, B.; Stevens, N.F. Spaceborne radar measurements of the eruption of Soufrière Hills Volcano, Montserrat. Geol. Soc. Lond. Mem. 2002, 21, 583–594. [Google Scholar] [CrossRef]
- Schumann, G.; Matgen, P.; Hoffmann, L.; Hostache, R.; Pappenberger, F.; Pfister, L. Deriving distributed roughness values from satellite radar data for flood inundation modelling. J. Hydrol. 2007, 344, 96–111. [Google Scholar] [CrossRef]
- Poland, M.P. Synthetic aperture radar volcanic flow maps (SAR VFMs): A simple method for rapid identification and mapping of volcanic mass flows. Bull. Volcanol. 2022, 84, 32. [Google Scholar] [CrossRef]
- Orynbaikyzy, A.; Plank, S.; Vetrita, Y.; Martinis, S.; Santoso, I.; Dwi Ismanto, R.; Chusnayah, F.; Tjahjaningsih, A.; Suwarsono; Genzano, N.; et al. Joint use of Sentinel-2 and Sentinel-1 data for rapid mapping of volcanic eruption deposits in Southeast Asia. Int. J. Appl. Earth Obs. Geoinf. 2023, 116, 103166. [Google Scholar] [CrossRef]
- James, M.R.; Carr, B.B.; D’Arcy, F.; Diefenbach, A.K.; Dietterich, H.R.; Fornaciai, A.; Lev, E.; Liu, E.J.; Pieri, D.C.; Rodgers, M.; et al. Volcanological applications of unoccupied aircraft systems (UAS): Developments, strategies, and future challenges. Volcanica 2020, 3, 64–114. [Google Scholar] [CrossRef]
- Stott, E.; Williams, R.D.; Hoey, T.B. Ground control point distribution for accurate kilometre-scale topographic mapping using an rtk-gnss unmanned aerial vehicle and sfm photogrammetry. Drones 2020, 4, 55. [Google Scholar] [CrossRef]
- Esri Imagery and Remote Sensing Team An Introduction to Synthetic Aperture Radar. Available online: https://storymaps.arcgis.com/stories/fd77b1daf91a4ef99d6f176183e4154a (accessed on 4 January 2022).
- Arab-Sedze, M.; Heggy, E.; Bretar, F.; Berveiller, D.; Jacquemoud, S. Quantification of L-band InSAR coherence over volcanic areas using LiDAR and in situ measurements. Remote Sens. Environ. 2014, 152, 202–216. [Google Scholar] [CrossRef]
- Evans, D.L.; Farr, T.G.; van Zyl, J.J. Estimates of Surface Roughness Derived from Synthetic Aperature Radar (SAR) Data. IEEE Trans. Geosci. Remote Sens. 1992, 30, 382–389. [Google Scholar] [CrossRef]
- Ulaby, F.T.; Long, D.G.; Blackwell, W.J.; Elachi, C.; Fung, A.K.; Ruf, C.S.; Sarabandi, K.; Zebker, H.A.; van Zyl, J.J. Microwave Radar and Radiometric Remote Sensing; University of Michigan Press: Ann Arbor, MI, USA, 2013. [Google Scholar]
- Campbell, B.A.; Shepard, M.K. Lava flow surface roughness and depolarized radar scattering. J. Geophys. Res. Planets 1996, 101, 18941–18951. [Google Scholar] [CrossRef]
- Shepard, M.K.; Campbell, B.A.; Bulmer, M.H.; Farr, T.G.; Gaddis, L.R.; Plaut, J.J. The roughness of natural terrain: A planetary and remote sensing perspective. J. Geophys. Res. E. Planets 2001, 106, 32777–32795. [Google Scholar] [CrossRef]
- Neish, C.D.; Hamilton, C.W.; Hughes, S.S.; Nawotniak, S.K.; Garry, W.B.; Skok, J.R.; Elphic, R.C.; Schaefer, E.; Carter, L.M.; Bandfield, J.L.; et al. Terrestrial analogues for lunar impact melt flows. Icarus 2017, 281, 73–89. [Google Scholar] [CrossRef]
- Tolometti, G.D.; Neish, C.D.; Osinski, G.R.; Hughes, S.S.; Nawotniak, S.E.K. Interpretations of lava flow properties from radar remote sensing data. Planet. Space Sci. 2020, 190, 104991. [Google Scholar] [CrossRef]
- Morris, A.R.; Anderson, F.S.; Mouginis-Mark, P.J.; Haldemann, A.F.C.; Brooks, B.A.; Foster, J. Roughness of Hawaiian volcanic terrains. J. Geophys. Res. Planets 2008, 113, 1–20. [Google Scholar] [CrossRef]
- Campbell, B.A. Radar backscatter from Mars: Properties of rock-strewn surfaces. Icarus 2001, 150, 38–47. [Google Scholar] [CrossRef]
- Whelley, P.L.; Garry, W.B.; Hamilton, C.W.; Bleacher, J.E. LiDAR-derived surface roughness signatures of basaltic lava types at the Muliwai a Pele Lava Channel, Mauna Ulu, Hawai‘i. Bull. Volcanol. 2017, 79, 75. [Google Scholar] [CrossRef]
- Voigt, J.R.C.; Hamilton, C.W.; Steinbrügge, G.; Scheidt, S.P. Surface roughness characterization of the 2014–2015 Holuhraun lava flow-field in Iceland: Implications for facies mapping and remote sensing. Bull. Volcanol. 2021, 83, 82. [Google Scholar] [CrossRef]
- NASA/JPL-Caltech ASAR Product: Helens_27126_A1908_002_191215. Available online: https://uavsar.jpl.nasa.gov/cgi-bin/asar.py?jobName=helens_27126_A1908_002_191215_V1.3.B (accessed on 21 April 2022).
- Lipman, P.W.; Mullineaux, D.R. The 1980 Eruptions of Mount St. Helens, Washington; Lipman, P.W., Mullineaux, D.R., Eds.; Geological Survey Professional Paper; 1250; U.S. Dept. of the Interior, U.S. Geological Survey: Reston, VA, USA, 1982.
- Pallister, J.S.; Clynne, M.A.; Wright, H.M.; Van Eaton, A.R.; Vallance, J.W.; Sherrod, D.R.; Kokelaar, B.P. Field-Trip Guide to Mount St. Helens, Washington—An Overview of the Eruptive History and Petrology, Tephra Deposits, 1980 Pyroclastic Density Current Deposits, and the Crater; Scientific Investigations Report; U.S. Geological Survey: Reston, VA, USA, 2017; Volume 23, pp. 1–62.
- Whelley, P.L.; Glaze, L.S.; Calder, E.S.; Harding, D.J. LiDAR-derived surface roughness texture mapping: Application to mount St. Helens pumice plain deposit analysis. IEEE Trans. Geosci. Remote Sens. 2014, 52, 426–438. [Google Scholar] [CrossRef]
- USGS Mount St Helens LiDAR map. Available online: https://wagda.lib.washington.edu/data/type/elevation/lidar/st_helens/ (accessed on 3 January 2022).
- Lipman, P.W. Geologic Map of Proximal Deposits and Features of 1980 Eruptions of Mount St. Helens, Washington; United States Department of the Interior: Washington, DC, USA, 1981.
- Blum, A.; Kalai, A.; Langford, J. Beating the hold-out. In Proceedings of the COLT99: The 12th Annual Conference on Computation Learning Theory, Santa Cruz, CA, USA, 7–9 July 1999; pp. 203–208. [Google Scholar] [CrossRef]
- European Space Agency PolSAR. Available online: https://step.esa.int/main/toolboxes/polsarpro-v6-0-biomass-edition-toolbox/ (accessed on 6 August 2021).
- Moreira, A.; Prats-iraola, P.; Younis, M.; Krieger, G.; Hajnsek, I.; Papathanassiou, K.P. SAR-Tutorial-March-2013. IEEE Geosci. Remote Sens. Mag. 2013, 1, 6–43. [Google Scholar] [CrossRef]
- World Meteorological Organisation of the United Nations 1-2 Observing Systems Capability Analysis and Review Tool—MSI. Available online: https://space.oscar.wmo.int/instruments/view/msi_sentinel_2a (accessed on 25 September 2022).
- United States Department of Agriculture Natural Resources Conservation Services Snow Telemetry Network (SNOTEL). Available online: https://www.nrcs.usda.gov/wps/portal/wcc/home/snowClimateMonitoring/snowpack (accessed on 9 February 2023).
- Jennings, K.S.; Winchell, T.S.; Livneh, B.; Molotch, N.P. Spatial variation of the rain-snow temperature threshold across the Northern Hemisphere. Nat. Commun. 2018, 9, 1148. [Google Scholar] [CrossRef]
- Nagler, T.; Rott, H. Retrieval of wet snow by means of multitemporal SAR data. IEEE Trans. Geosci. Remote Sens. 2000, 38, 754–765. [Google Scholar] [CrossRef]
- European Space Agency Sentinel-1 Synthetic Aperature Radar (SAR) Datasets. Available online: https://space.oscar.wmo.int/satellites/view/sentinel_1a (accessed on 9 February 2023).
- Nagler, T.; Rott, H.; Ripper, E.; Bippus, G.; Hetzenecker, M. Advancements for snowmelt monitoring by means of Sentinel-1 SAR. Remote Sens. 2016, 8, 348. [Google Scholar] [CrossRef]
- Awasthi, S.; Varade, D. Recent advances in the remote sensing of alpine snow: A review. GIScience Remote Sens. 2021, 58, 852–888. [Google Scholar] [CrossRef]
- Tsai, Y.L.S.; Dietz, A.; Oppelt, N.; Kuenzer, C. Remote sensing of snow cover using spaceborne SAR: A review. Remote Sens. 2019, 11, 1456. [Google Scholar] [CrossRef]
- Casey, J.A.; Howell, S.E.L.; Tivy, A.; Haas, C. Separability of sea ice types from wide swath C- and L-band synthetic aperture radar imagery acquired during the melt season. Remote Sens. Environ. 2016, 174, 314–328. [Google Scholar] [CrossRef]


















| L-BAND POLARIZATION MODE | S-BAND POLARIZATION MODE | |||||||||
|---|---|---|---|---|---|---|---|---|---|---|
| STRIP ID | DATE/TIME (PST UTC -8) | HH | HV | VH | VV | HH | HV | VH | VV | |
| 27124 | 16 December 2019 | Min | 41.5 | 26.6 | 26.3 | 38.5 | 41.0 | 22.9 | 24.3 | 36.1 |
| 09:56 | Max | −97.4 | −112.4 | −107.8 | −102.5 | −100.5 | −101.8 | −101.2 | −97.3 | |
| 27126 | 15 December 2019 | Min | 30.5 | 20.3 | 20.0 | 30.1 | 32.6 | 17.2 | 18.1 | 33.1 |
| 13:25 | Max | −98.4 | −99.4 | −98.6 | −94.8 | −94.3 | −100.7 | −97.1 | −90.2 | |
| 27127 | 15 December 2019 | Min | 33.6 | 19.0 | 18.5 | 32.9 | 37.1 | 19.6 | 20.2 | 38.6 |
| 13:54 | Max | −96.4 | −106.0 | −111.0 | −109.5 | −104.7 | −103.9 | −103.8 | −91.6 | |
| 27128 | 15 December 2019 | Min | 34.0 | −18.0 | 16.9 | 30.7 | 41.6 | 27.6 | 28.1 | 35.0 |
| 14:28 | Max | −117.3 | −101.8 | −114.6 | −95.5 | −101.1 | −100.8 | −105.7 | −97.6 | |
| Deposits | Max | Min |
|---|---|---|
| (a) Lahars | −20.9 | −57.1 |
| (b) Lava Flows | −15.6 | −53.0 |
| (c) PDCs | −25.2 | −62.8 |
| Type of Deposit | Sensor Band * | Polarization | Backscatter Range (Actual) | Type of Scattering ** |
|---|---|---|---|---|
| Lahars | L-band | HH | Max: 0.0 Min: −90.6 | SB |
| HV | Max: 0.0 Min: −96.9 | SB | ||
| VV | Max: 0.0 Min: −85.3 | SB | ||
| S-band | HH | Max 0.1 Min −83.1 | SB | |
| HV | Max: 0.0 Min: −95.8 | SB | ||
| VV | Max: 0.1 Min: −83.5 | SB | ||
| Lava Flows | L-band | HH | Max: 0.0 Min: −96.8 | SB |
| HV | Max: 0.0 Min: −86.8 | SB | ||
| VV | Max: 0.0 Min: −82.6 | SB | ||
| S-band | HH | Max: 0.1 Min: −100.5 | SB | |
| HV | Max: 0.00 Min: −98.0 | SB | ||
| VV | Max:0.0 Min: −79.1 | SB | ||
| Pyroclastic Density Currents | L-band | HH | Max: 0.0 Min: −75.0 | SB |
| HV | Max: 0.0 Min: −98.0 | SB | ||
| VV | Max: 0.0 Min: −91.7 | SB | ||
| S-band | HH | Max: 0.1 Min: −77.2 | SB | |
| HV | Max: 0.0 Min: −84.5 | SB | ||
| VV | Max: 0.1 Min: −81.0 | SB |
Disclaimer/Publisher’s Note: The statements, opinions and data contained in all publications are solely those of the individual author(s) and contributor(s) and not of MDPI and/or the editor(s). MDPI and/or the editor(s) disclaim responsibility for any injury to people or property resulting from any ideas, methods, instructions or products referred to in the content. |
© 2023 by the authors. Licensee MDPI, Basel, Switzerland. This article is an open access article distributed under the terms and conditions of the Creative Commons Attribution (CC BY) license (https://creativecommons.org/licenses/by/4.0/).
Share and Cite
Rogic, N.; Charbonnier, S.J.; Garin, F.; Dayhoff II, G.W.; Gagliano, E.; Rodgers, M.; Connor, C.B.; Varma, S.; Shean, D. Characterizing and Mapping Volcanic Flow Deposits on Mount St. Helens via Dual-Band SAR Imagery. Remote Sens. 2023, 15, 2791. https://doi.org/10.3390/rs15112791
Rogic N, Charbonnier SJ, Garin F, Dayhoff II GW, Gagliano E, Rodgers M, Connor CB, Varma S, Shean D. Characterizing and Mapping Volcanic Flow Deposits on Mount St. Helens via Dual-Band SAR Imagery. Remote Sensing. 2023; 15(11):2791. https://doi.org/10.3390/rs15112791
Chicago/Turabian StyleRogic, Nikola, Sylvain J. Charbonnier, Franco Garin, Guy W. Dayhoff II, Eric Gagliano, Mel Rodgers, Charles B. Connor, Sameer Varma, and David Shean. 2023. "Characterizing and Mapping Volcanic Flow Deposits on Mount St. Helens via Dual-Band SAR Imagery" Remote Sensing 15, no. 11: 2791. https://doi.org/10.3390/rs15112791
APA StyleRogic, N., Charbonnier, S. J., Garin, F., Dayhoff II, G. W., Gagliano, E., Rodgers, M., Connor, C. B., Varma, S., & Shean, D. (2023). Characterizing and Mapping Volcanic Flow Deposits on Mount St. Helens via Dual-Band SAR Imagery. Remote Sensing, 15(11), 2791. https://doi.org/10.3390/rs15112791

