Sign in to use this feature.

Years

Between: -

Subjects

remove_circle_outline
remove_circle_outline
remove_circle_outline
remove_circle_outline
remove_circle_outline
remove_circle_outline
remove_circle_outline
remove_circle_outline
remove_circle_outline

Journals

remove_circle_outline
remove_circle_outline
remove_circle_outline
remove_circle_outline
remove_circle_outline
remove_circle_outline
remove_circle_outline
remove_circle_outline
remove_circle_outline
remove_circle_outline
remove_circle_outline
remove_circle_outline
remove_circle_outline

Article Types

Countries / Regions

remove_circle_outline
remove_circle_outline
remove_circle_outline
remove_circle_outline
remove_circle_outline
remove_circle_outline

Search Results (1,535)

Search Parameters:
Keywords = lattice simulation

Order results
Result details
Results per page
Select all
Export citation of selected articles as:
22 pages, 8900 KB  
Article
Photocatalytic Evaluation of Fe2O3–TiO2 Nanocomposites: Influence of TiO2 Content on Their Structure and Activity
by Israel Águila-Martínez, Pablo Eduardo Cardoso-Avila, Isaac Zarazúa, Héctor Pérez Ladrón de Guevara, José Antonio Pérez-Tavares, Efrén González-Aguiñaga and Rita Patakfalvi
Molecules 2025, 30(21), 4309; https://doi.org/10.3390/molecules30214309 - 5 Nov 2025
Abstract
In this study, Fe2O3–TiO2 nanocomposites with different TiO2 contents (1–50%) were synthesized via a solvothermal method using pre-formed α-Fe2O3 nanoparticles as cores. We systematically evaluated the influence of TiO2 loading on the nanocomposites’ [...] Read more.
In this study, Fe2O3–TiO2 nanocomposites with different TiO2 contents (1–50%) were synthesized via a solvothermal method using pre-formed α-Fe2O3 nanoparticles as cores. We systematically evaluated the influence of TiO2 loading on the nanocomposites’ structural, morphological, optical, and photocatalytic properties. X-ray diffraction revealed the coexistence of hematite and anatase phases, with an increase in TiO2 content inducing reduced crystallite size, enhanced dislocation density, and microstrain, indicating interfacial lattice distortion. Scanning electron microscopy (SEM) and energy-dispersive X-ray spectroscopy (EDS) showed a uniform elemental distribution at low TiO2 contents, evolving into irregular agglomerates at higher loadings. Fourier-transform infrared (FTIR) spectra indicated the suppression of Fe–O vibrations and the appearance of hydroxyl-related bands with TiO2 enrichment. Diffuse reflectance spectroscopy (DRS) analysis confirmed the simultaneous presence of hematite (~2.0 eV) and anatase (3.2–3.35 eV) absorption edges, with a slight blue shift in the TiO2 band gap at higher concentrations. Photocatalytic activity, assessed using methylene blue degradation under xenon lamp irradiation, demonstrated a strong dependence on the TiO2 fraction. The composite containing 33% TiO2 achieved the best performance, with 98% dye removal and a pseudo-first-order rate constant of 0.045 min−1, outperforming both pure hematite and commercial P25 TiO2. These results highlight that intermediate TiO2 content (~33%) provides an optimal balance between structural integrity and photocatalytic efficiency, making Fe2O3–TiO2 heterostructures promising candidates for water purification under simulated solar irradiation. Full article
Show Figures

Graphical abstract

22 pages, 4815 KB  
Article
Study on Spontaneous Capillary Imbibition in Irregular Geometries Using the Lattice Boltzmann Approach
by Fei Peng, Shengting Zhang and Keliu Wu
Processes 2025, 13(11), 3527; https://doi.org/10.3390/pr13113527 - 3 Nov 2025
Viewed by 167
Abstract
Spontaneous liquid–liquid capillary imbibition in axially varying capillaries is central to petroleum engineering applications such as water-driven enhanced oil recovery, where the dynamic contact angle (DCA) governs interfacial motion. We extend the classical Lucas–Washburn (LW) formulation to account for axial variations in the [...] Read more.
Spontaneous liquid–liquid capillary imbibition in axially varying capillaries is central to petroleum engineering applications such as water-driven enhanced oil recovery, where the dynamic contact angle (DCA) governs interfacial motion. We extend the classical Lucas–Washburn (LW) formulation to account for axial variations in the hydraulic radius, early-time inertia, and viscous dissipation in the displaced non-wetting phase. In parallel, we develop a cascaded multicomponent Shan–Chen lattice Boltzmann model (LBM) that resolves the in situ evolution of the DCA and simulate imbibition in three area-matched geometries: convergent conical, divergent conical, and parabolic. The axial profile is shown to control both the imbibition rate and the DCA. For a viscosity-matched binary fluid, the temporal variation in the DCA is set by the local contraction rate: the DCA decreases as the capillary widens and increases as it narrows. Stronger intrinsic wettability enlarges the discrepancy between the DCA and the static contact angle (SCA). Moreover, at fixed non-wetting-phase viscosity, decreasing the wetting/non-wetting viscosity ratio reduces the imbibition rate and drives the DCA toward the SCA. Predictions from the extended LW equation that neglect DCA exhibit systematic deviations from LBM results, whereas supplying the time-resolved DCA yields close quantitative agreement across all geometries. These findings identify the DCA as a critical state variable for reduced-order prediction of imbibition in axially varying capillaries and inform the design of enhanced-oil-recovery and microfluidic systems. Full article
(This article belongs to the Special Issue Structure Optimization and Transport Characteristics of Porous Media)
Show Figures

Figure 1

33 pages, 20282 KB  
Article
Effect of Laser Surface Melting on the Microstructure and Corrosion Resistance of Laser Powder Bed Fusion and Wrought Ti-6Al-4V Alloys
by Angeliki G. Lekatou, Vaia Sarika, Bohdan Efremenko, Yuliia Chabak, Vasily Efremenko, Ivan Petrišinec, Sevasti Emmanouilidou and Kyriaki Tsirka
Coatings 2025, 15(11), 1285; https://doi.org/10.3390/coatings15111285 - 3 Nov 2025
Viewed by 215
Abstract
Ti-6Al-4V, a popular biomedical alloy, is increasingly fabricated by additive manufacturing methods, like laser powder bed fusion (LPBF). However, rapid thermal cycling and steep temperature gradients often induce mechanical degradation, corrosion, and wear. To address these challenges, laser surface modification is explored. This [...] Read more.
Ti-6Al-4V, a popular biomedical alloy, is increasingly fabricated by additive manufacturing methods, like laser powder bed fusion (LPBF). However, rapid thermal cycling and steep temperature gradients often induce mechanical degradation, corrosion, and wear. To address these challenges, laser surface modification is explored. This study investigates the microstructure and corrosion behaviour (simulated body fluid, 37 °C) of LPBF and wrought Ti-6Al-4V after laser surface melting (LSM) treatment. LSM produced modified layers of 1250–1350 µm (LPBF) and 1530–1600 µm (wrought), with gradients from remelted dendrites to acicular martensite. Microhardness in the layers increased to 655–680 HV due to lattice expansion, crystallite refinement, and higher dislocation density. However, LSM-treated alloys showed higher corrosion rates and weaker passive films, attributed to increased surface roughness, martensite formation, residual stresses, and microstructural inhomogeneity. Aluminium silicate surface films/residues further compromised passivity. Nevertheless, both LSM-LPBF and LSM-wrought specimens displayed low corrosion current densities (10−4 mA/cm2), true passivity (10−3–10−4 mA/cm2), and high resistance to localised corrosion. After cyclic polarisation, rutile-rich TiO2 surface films with aluminium silicate hydrates were observed. LSM-LPBF specimens showed slightly inferior general corrosion resistance compared to LSM-wrought counterparts, due to pronounced surface texture variations, phase/composition differences, higher microstrains and dislocation density. Full article
Show Figures

Figure 1

26 pages, 2178 KB  
Article
Hierarchical Parallelization of Rigid Body Simulation with Soft Blocking Method on GPU
by Rikuya Tomii and Tetsu Narumi
Computation 2025, 13(11), 250; https://doi.org/10.3390/computation13110250 - 2 Nov 2025
Viewed by 165
Abstract
This paper proposes and implements a method to efficiently parallelize constraint solving in rigid body simulation using GPUs. Rigid body simulation is widely used in robot development, computer games, movies, and other fields, and there is a growing need for faster computation. As [...] Read more.
This paper proposes and implements a method to efficiently parallelize constraint solving in rigid body simulation using GPUs. Rigid body simulation is widely used in robot development, computer games, movies, and other fields, and there is a growing need for faster computation. As current computers are reaching their limits in terms of scale-up, such as clock frequency improvements, performance improvements are being sought through scale-out, which increases parallelism. However, rigid body simulation is difficult to parallelize efficiently due to its characteristics. This is because, unlike fluid or molecular physics simulations, where each particle or lattice can be independently extracted and processed, rigid bodies can interact with a large number of distant objects depending on the instance. This characteristic causes significant load imbalance, making it difficult to evenly distribute computational resources using simple methods such as spatial partitioning. Therefore, this paper proposes and implements a computational method that enables high-speed computation of large-scale scenes by hierarchically clustering rigid bodies based on their number and associating the hierarchy with the hardware structure of GPUs. In addition, to effectively utilize parallel computing resources, we considered a more relaxed parallelization condition for the conventional Gauss–Seidel block parallelization method and demonstrated that convergence is guaranteed. We investigated how speed and convergence performance change depending on how much computational cost is allocated to each hierarchy and discussed the desirable parameter settings. By conducting experiments comparing our method with several widely used software packages, we demonstrated that our approach enables calculations at speeds previously unattainable with existing techniques, while leveraging GPU computational resources to handle multiple rigid bodies simultaneously without significantly compromising accuracy. Full article
(This article belongs to the Section Computational Engineering)
Show Figures

Figure 1

16 pages, 3165 KB  
Article
Comparison of Compressive Properties of 3D-Printed Triply Periodic Minimal Surfaces and Honeycomb Lattice Structures
by Julia Wagner, Joshua Hall, Christopher Billings and Yingtao Liu
J. Compos. Sci. 2025, 9(11), 586; https://doi.org/10.3390/jcs9110586 - 1 Nov 2025
Viewed by 227
Abstract
Additive manufacturing has enabled the fabrication of complex, bioinspired lattice structures, such as Triply Periodic Minimal Surfaces (TPMSs), for use in lightweight structural applications. To assess their engineering viability, this study benchmarks the compressive properties of isotropic Gyroid and Primitive TPMS lattices against [...] Read more.
Additive manufacturing has enabled the fabrication of complex, bioinspired lattice structures, such as Triply Periodic Minimal Surfaces (TPMSs), for use in lightweight structural applications. To assess their engineering viability, this study benchmarks the compressive properties of isotropic Gyroid and Primitive TPMS lattices against those of the conventional, anisotropic Honeycomb structure, which is widely used in the aerospace industry. We employed a combined computational and experimental approach, using Finite Element Analysis (FEA) for initial evaluation followed by mechanical compression testing of stereolithography (SLA)-printed polymer samples. Full-field strain was measured using Digital Image Correlation (DIC) to validate the simulations. The results show that the Gyroid has a strength-to-density of 5.692, the Primitive has a ratio of 5.182, the Honeycomb in the axial direction has a ratio of 26.144, and the Honeycomb in the transverse direction has a ratio of 1.008, all in units of N·kg1m3. These results clearly indicate that the Honeycomb is best when uniaxially loaded. For other applications where the load paths will vary in multiple directions, the Gyroid is the better option. Full article
(This article belongs to the Special Issue Additive Manufacturing of Composites and Nanocomposites, 2nd Edition)
Show Figures

Figure 1

15 pages, 4678 KB  
Article
Dislocation Behavior in TiVTa Multi-Principal Element Alloys: A Nanoindentation Simulation Study
by Shumin Wang, Jin Wang, Jinli Cao, Xinfu He and Yankun Dou
Crystals 2025, 15(11), 941; https://doi.org/10.3390/cryst15110941 - 31 Oct 2025
Viewed by 77
Abstract
Molecular dynamics simulations of nanoindentation were conducted to compare the dislocation behavior in a pure V and a TiVTa multi-principal element alloy (MPEA) with [100] and [111] crystal orientations. It is found that the significant resistance to dislocation motion and loop formation in [...] Read more.
Molecular dynamics simulations of nanoindentation were conducted to compare the dislocation behavior in a pure V and a TiVTa multi-principal element alloy (MPEA) with [100] and [111] crystal orientations. It is found that the significant resistance to dislocation motion and loop formation in the TiVTa MPEA compared to pure V, attributed to its substantial lattice distortion. While dislocation nucleation was heterogeneous in both materials with similar activation volumes and nucleation stresses (approximately 0.2 G), the dislocation density and plastic zone volume in TiVTa were substantially lower. Under standard indentation conditions, independent dislocation loops readily formed in pure V but were absent in TiVTa. With a larger indenter size and a greater nanoindentation depth, the results demonstrated that forming loops in TiVTa requires significantly higher force, directly linking this effect to the hindrance of dislocation glide by chemical disorder and lattice distortion. This study provides atomic-scale insights into the deformation mechanisms of TiVTa MPEAs, offering guidelines for future alloy design. Full article
Show Figures

Figure 1

20 pages, 2925 KB  
Article
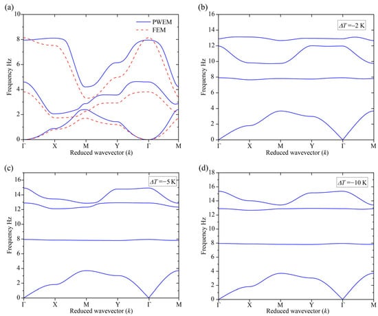
Thermal Stress Effects on Band Structures in Elastic Metamaterial Lattices for Low-Frequency Vibration Control in Space Antennas
by Shenfeng Wang, Mengxuan Li, Zhe Han, Chafik Fadi, Kailun Wang, Yue Shen, Xiong Wang, Xiang Li and Ying Wu
Crystals 2025, 15(11), 937; https://doi.org/10.3390/cryst15110937 - 30 Oct 2025
Viewed by 193
Abstract
This paper theoretically and numerically investigates temperature-dependent band structures in elastic metamaterial lattices using a plane wave expansion method incorporating thermal effects. We first analyze a one-dimensional (1D) elastic metamaterials beam, demonstrating that band frequencies decrease with rising temperature and increase with cooling. [...] Read more.
This paper theoretically and numerically investigates temperature-dependent band structures in elastic metamaterial lattices using a plane wave expansion method incorporating thermal effects. We first analyze a one-dimensional (1D) elastic metamaterials beam, demonstrating that band frequencies decrease with rising temperature and increase with cooling. Then, the method is extended to square and rectangular 2D lattices, where temperature variations show remarkable influence on individual bands; while all bands shift to higher frequencies monotonically with cooling, their rates of change diminish asymptotically as they approach characteristic limiting values. Band structure predictions are validated against frequency response simulations of finite-structure. We further characterize temperature dependence of bands and bandgap widths, and quantify thermal sensitivity for the first four bands. These findings establish passive, robust thermal tuning strategies for ultralow frequency vibration suppression, offering new design routes for space-deployed lattice structures. Full article
(This article belongs to the Section Crystalline Metals and Alloys)
Show Figures

Figure 1

18 pages, 1860 KB  
Article
Centrosymmetric Double-Q Skyrmion Crystals Under Uniaxial Distortion and Bond-Dependent Anisotropy
by Satoru Hayami
Crystals 2025, 15(11), 930; https://doi.org/10.3390/cryst15110930 - 29 Oct 2025
Viewed by 325
Abstract
We theoretically investigate the stability of double-Q square skyrmion crystals under uniaxial distortion. Using an effective spin model with frustrated exchange interactions and bond-dependent anisotropy in momentum space, we construct the low-temperature magnetic phase diagram via simulated annealing. Our results reveal that [...] Read more.
We theoretically investigate the stability of double-Q square skyrmion crystals under uniaxial distortion. Using an effective spin model with frustrated exchange interactions and bond-dependent anisotropy in momentum space, we construct the low-temperature magnetic phase diagram via simulated annealing. Our results reveal that uniaxial distortion drives a phase transition from the skyrmion crystal to a single-Q conical spiral state when the ratio of exchange interactions parallel and perpendicular to the uniaxial axis is reduced to about 95%. We further find that topologically trivial double-Q states, which emerge in the low- and high-field regimes, are more robust against uniaxial distortion than the skyrmion crystal appearing in the intermediate-field regime. Finally, we examine the role of bond-dependent anisotropy and demonstrate that a finite relative magnitude of this anisotropy is crucial for stabilizing the skyrmion crystal, even under uniaxial distortion. These findings highlight the delicate interplay between lattice distortions and bond-dependent interactions in determining the stability of multiple-Q magnetic textures, and they provide useful guidance for experimental efforts to manipulate skyrmion crystal phases in centrosymmetric magnets. Full article
(This article belongs to the Section Inorganic Crystalline Materials)
Show Figures

Figure 1

16 pages, 7791 KB  
Article
Design and Comparative Numerical Analysis of AlSi10Mg PBF-LB/M Manufactured TPMS Lattice Structures for Improved Mechanical Performance
by Laura Luran Sun, Nikola Milenkovski, Kartikay Awasthi, Xuan Bach Nghiem, Nicola Mongelli, Eckhard Kirchner and Christian Mittelstedt
Materials 2025, 18(21), 4934; https://doi.org/10.3390/ma18214934 - 28 Oct 2025
Viewed by 292
Abstract
Additive manufacturing enables the fabrication of lightweight structures with complex geometries, offering significant potential in aerospace and biomedical applications. Triply periodic minimal surface (TPMS) lattice structures are of particular interest due to their geometry. However, their intricate geometries pose challenges for both experimental [...] Read more.
Additive manufacturing enables the fabrication of lightweight structures with complex geometries, offering significant potential in aerospace and biomedical applications. Triply periodic minimal surface (TPMS) lattice structures are of particular interest due to their geometry. However, their intricate geometries pose challenges for both experimental characterization and numerical simulation. This study numerically investigates the effective mechanical properties and dynamic response of AlSi10Mg TPMS structures produced by laser powder bed fusion (PBF-LB/M). Using a micro–mesoscale approach with periodic boundary conditions, Young’s modulus, shear modulus, and Poisson’s ratio in the elastic region using the Johnson–Cook plasticity model are analyzed. Finite element simulations of the representative volume element (RVE) are employed to assess energy absorption and damage evolution under high strain rates, incorporating a ductile damage model. The performance of sheet-based TPMS lattices, namely, Schwarz–Primitive, Gyroid, Schwarz–Diamond, and IWP, is compared with strut-based lattices, namely, BCC and FCC, across volume fractions of 20–40%. Results demonstrate the superior stiffness and energy absorption of TPMS lattices, where Schwarz–Diamond and IWP outperformed the other structures, highlighting their advantages over conventional strut-based designs. This comprehensive numerical framework provides new insights into the high strain-rate behavior of TPMS structures and supports their design for demanding engineering applications. Full article
(This article belongs to the Section Materials Simulation and Design)
Show Figures

Figure 1

14 pages, 2956 KB  
Article
Influence of AlSi10Mg Thermophysical Properties on the Melt Pool Morphology During High-Fidelity Simulation of Laser Powder Bed Fusion
by Ivan A. Pelevin, Maria V. Bogdanova, Andrey V. Zakirov, Dmitriy D. Zherebtsov and Stanislav V. Chernyshikhin
Modelling 2025, 6(4), 135; https://doi.org/10.3390/modelling6040135 - 28 Oct 2025
Viewed by 213
Abstract
Laser powder bed fusion (LPBF) is an advanced additive manufacturing method, but its productivity is relatively low, which limits its application. Performance can be increased without hardware modifications by enlarging the powder-layer thickness. However, this approach requires deeper investigation because the probability of [...] Read more.
Laser powder bed fusion (LPBF) is an advanced additive manufacturing method, but its productivity is relatively low, which limits its application. Performance can be increased without hardware modifications by enlarging the powder-layer thickness. However, this approach requires deeper investigation because the probability of defects (keyhole porosity, lack of fusion) rises substantially, and experiments become costly since each thickness value requires a separate LPBF run. High-fidelity simulation under such conditions can reduce the experimental workload. Reliable predictions, however, require numerous thermophysical parameters; reported values are often inconsistent or unavailable, and few studies have quantified their influence on simulation outcomes. A Lattice Boltzmann-based model is adopted to simulate the keyhole melting mode of AlSi10Mg. The effects of laser spot diameter, laser absorptivity, and the temperature dependence of thermal diffusivity and surface tension on the results are investigated. Predicted melt-pool morphologies are compared with cross-sections of experimental single tracks. Full article
(This article belongs to the Special Issue Recent Advances in Computational Fluid Mechanics)
Show Figures

Graphical abstract

29 pages, 4828 KB  
Article
A Novel Solution- and Moving Boundary-Adaptive Cartesian Grid Strategy for Efficient and High-Fidelity Simulations of Complex Flow with Moving Boundaries
by Zhiwei Guo, Lincheng Xu, Yuan Gao and Naizhen Zhou
Aerospace 2025, 12(11), 957; https://doi.org/10.3390/aerospace12110957 - 26 Oct 2025
Viewed by 283
Abstract
In this paper, a novel solution- and moving boundary-adaptive Cartesian grid strategy is proposed and used to develop a computational fluid dynamics (CFD) solver. The new Cartesian grid strategy is based on a multi-block structure without grid overlapping or ghost grids in non-fluid [...] Read more.
In this paper, a novel solution- and moving boundary-adaptive Cartesian grid strategy is proposed and used to develop a computational fluid dynamics (CFD) solver. The new Cartesian grid strategy is based on a multi-block structure without grid overlapping or ghost grids in non-fluid areas. In particular, the dynamic grid adaptive operations, as well as the adaptive criteria calculations, are restricted to the grid block boundaries. This reduces the grid adaptation complexity to one dimension lower than that of CFD simulations and also facilitates an intrinsic compatibility with moving boundaries since they are natural grid block boundaries. In addition, an improved hybrid immersed boundary method enforcing a physical constraint of pressure is proposed to robustly implement boundary conditions. The recursively regularized lattice Boltzmann method is applied to solve for fluid dynamics. The performance of the proposed method is validated in simulations of flow induced by a series of two- (2D) and three-dimensional (3D) moving boundaries. Results confirm that the proposed method is adequate to provide efficient and effective dynamical grid refinements for flow solutions and moving boundaries simultaneously. The considered unsteady flow physics are accurately and efficiently reproduced. Particularly, the 3D multiscale flow induced by two tandem flapping wings is simulated at a computational time cost about one order lower than that of a reported adaptive Cartesian strategy. Notably, the grid adaptations only account for a small fraction of CFD time consumption, about 0.5% for pure flow characteristics and 5.0% when moving boundaries are involved. In addition, favorable asymptotic convergence with decreasing minimum grid spacing is observed in the 2D cases. Full article
(This article belongs to the Special Issue Aerospace Vehicles and Complex Fluid Flow Modelling)
Show Figures

Figure 1

18 pages, 9691 KB  
Article
Solitons in a One-Dimensional Rhombic Waveguide Array
by Dmitry V. Shaykin and Nikita V. Bykov
Photonics 2025, 12(11), 1054; https://doi.org/10.3390/photonics12111054 - 24 Oct 2025
Viewed by 251
Abstract
We present an analytical and numerical study of nonlinear wave localization in a one-dimensional rhombic (diamond) waveguide array that combines forward- and backward-propagating channels. This mixed-index configuration, realizable through Bragg-type couplers or corrugated waveguides, produces a tunable spectral gap and supports nonlinear self-localized [...] Read more.
We present an analytical and numerical study of nonlinear wave localization in a one-dimensional rhombic (diamond) waveguide array that combines forward- and backward-propagating channels. This mixed-index configuration, realizable through Bragg-type couplers or corrugated waveguides, produces a tunable spectral gap and supports nonlinear self-localized states in both transmission and forbidden-band regimes. Starting from the full set of coupled-mode equations, we derive the effective evolution model, identify the role of coupling asymmetry and nonlinear coefficients, and obtain explicit soliton solutions using the method of multiple scales. The resulting envelopes satisfy a nonlinear Schrödinger equation with an effective nonlinear parameter θ, which determines the conditions for soliton existence (θ>0) for various combinations of focusing and defocusing nonlinearities. We distinguish solitons formed outside and inside the bandgap and analyze their dependence on the dispersion curvature and nonlinear response. Direct numerical simulations confirm the analytical predictions and reveal robust propagation and interactions of counter-propagating soliton modes. Order-of-magnitude estimates show that the predicted effects are accessible in realistic integrated photonic platforms. These results provide a unified theoretical framework for soliton formation in mixed-index lattices and suggest feasible routes for realizing controllable nonlinear localization in Bragg-type photonic structures. Full article
(This article belongs to the Section Lasers, Light Sources and Sensors)
Show Figures

Figure 1

19 pages, 4246 KB  
Article
Development of a Machine Learning Interatomic Potential for Zirconium and Its Verification in Molecular Dynamics
by Yuxuan Wan, Xuan Zhang and Liang Zhang
Nanomaterials 2025, 15(21), 1611; https://doi.org/10.3390/nano15211611 - 22 Oct 2025
Viewed by 535
Abstract
Molecular dynamics (MD) can dynamically reveal the structural evolution and mechanical response of Zirconium (Zr) at the atomic scale under complex service conditions such as high temperature, stress, and irradiation. However, traditional empirical potentials are limited by their fixed function forms and parameters, [...] Read more.
Molecular dynamics (MD) can dynamically reveal the structural evolution and mechanical response of Zirconium (Zr) at the atomic scale under complex service conditions such as high temperature, stress, and irradiation. However, traditional empirical potentials are limited by their fixed function forms and parameters, making it difficult to accurately describe the multi-body interactions of Zr under conditions such as multi-phase structures and strong nonlinear deformation, thereby limiting the accuracy and generalization ability of simulation results. This paper combines high-throughput first-principles calculations (DFT) with the machine learning method to develop the Deep Potential (DP) for Zr. The developed DP of Zr was verified by performing molecular dynamic simulations on lattice constants, surface energies, grain boundary energies, melting point, elastic constants, and tensile responses. The results show that the DP model achieves high consistency with DFT in predicting multiple key physical properties, such as lattice constants and melting point. Also, it can accurately capture atomic migration, local structural evolution, and crystal structural transformations of Zr under thermal excitation. In addition, the DP model can accurately capture plastic deformation and stress softening behavior in Zr under large strains, reproducing the characteristics of yielding and structural rearrangement during tensile loading, as well as the stress-induced phase transition of Zr from HCP to FCC, demonstrating its strong physical fidelity and numerical stability. Full article
(This article belongs to the Section Theory and Simulation of Nanostructures)
Show Figures

Figure 1

17 pages, 1775 KB  
Article
Self-Diffusion in Two-Dimensional Colloidal Systems: A Computer Simulation Study
by Piotr Polanowski and Andrzej Sikorski
Entropy 2025, 27(11), 1091; https://doi.org/10.3390/e27111091 - 22 Oct 2025
Viewed by 348
Abstract
The dynamics of dense colloidal systems are not fully understood. In the study of these types of systems, computer simulations based on the so-called hard sphere model play a significant role. In the presented work, we consider a system of hard spheres of [...] Read more.
The dynamics of dense colloidal systems are not fully understood. In the study of these types of systems, computer simulations based on the so-called hard sphere model play a significant role. In the presented work, we consider a system of hard spheres of the same size but different mobilities (molecules with high mobility correspond to solvent molecules, while molecules with reduced mobility are colloid particles) at varying concentrations. For this purpose, a two-dimensional lattice and an thermal model of such systems was designed. In order to determine the properties of such systems, a Monte Carlo computer simulation was used, employing the Dynamic Lattice Liquid (DLL) algorithm. Our main aim was to determine how the dynamic behavior of the system in the short time affects the long-time behavior. For this purpose, we investigated the cross-ratios of the diffusion coefficients in the short and long time of the considered system elements. It was found that the reduction in the solvent mobility with increasing concentration of colloidal particles in a short time leads to a very similar reduction in the mobility of the colloid particles in a long time, but we do not observe such behavior in the case of the solvent, i.e., there is a decrease in the value of the solvent diffusion coefficient in the long time with the change in the concentration of colloid particles, but it is difficult to connect it in a simple way with the decrease in the diffusion coefficient in the short time. Full article
(This article belongs to the Special Issue Statistical Mechanics of Lattice Gases)
Show Figures

Figure 1

16 pages, 2401 KB  
Article
Thermal Rectification in One-Dimensional Atomic Chains with Mass Asymmetry and Nonlinear Interactions
by Arseny M. Kazakov, Elvir Z. Karimov, Galiia F. Korznikova and Elena A. Korznikova
Computation 2025, 13(10), 243; https://doi.org/10.3390/computation13100243 - 17 Oct 2025
Viewed by 279
Abstract
Understanding and controlling thermal rectification is pivotal for designing phononic devices that guide heat flow in a preferential direction. This study investigates one-dimensional atomic chains with binary mass asymmetry and nonlinear interatomic potentials, focusing on how energy propagates under thermal and wave excitation. [...] Read more.
Understanding and controlling thermal rectification is pivotal for designing phononic devices that guide heat flow in a preferential direction. This study investigates one-dimensional atomic chains with binary mass asymmetry and nonlinear interatomic potentials, focusing on how energy propagates under thermal and wave excitation. Two potential models—the β-FPU and Morse potentials—were employed to examine the role of nonlinearity and bond softness in energy transport. Simulations reveal strong directional energy transport governed by the interplay of mass distribution, nonlinearity, and excitation type. In FPU chains, pronounced rectification occurs: under “cold-heavy” conditions, energy in the left segment increases from ~1% to over 63%, while reverse (“hot-heavy”) cases show less than 4% net transfer. For wave-driven excitation, the rectification coefficient reaches ~0.58 at 100:1. In contrast, Morse-based systems exhibit weaker rectification (∆E < 1%) and structural instabilities at high asymmetry due to bond breaking. A comprehensive summary and heatmap visualization highlight how system parameters govern rectification efficiency. These findings provide mechanistic insights into nonreciprocal energy transport in nonlinear lattices and offer design principles for nanoscale thermal management strategies based on controlled asymmetry and potential engineering. Full article
(This article belongs to the Section Computational Chemistry)
Show Figures

Graphical abstract

Back to TopTop